Determinants of Interpatient Variability in Treosulfan Pharmacokinetics in AML Patients Undergoing Autologous Stem Cell Transplantation
Abstract
1. Introduction
2. Results
2.1. Patient Characteristics
2.2. Treatment Details
2.3. Treosulfan Plasma Concentration
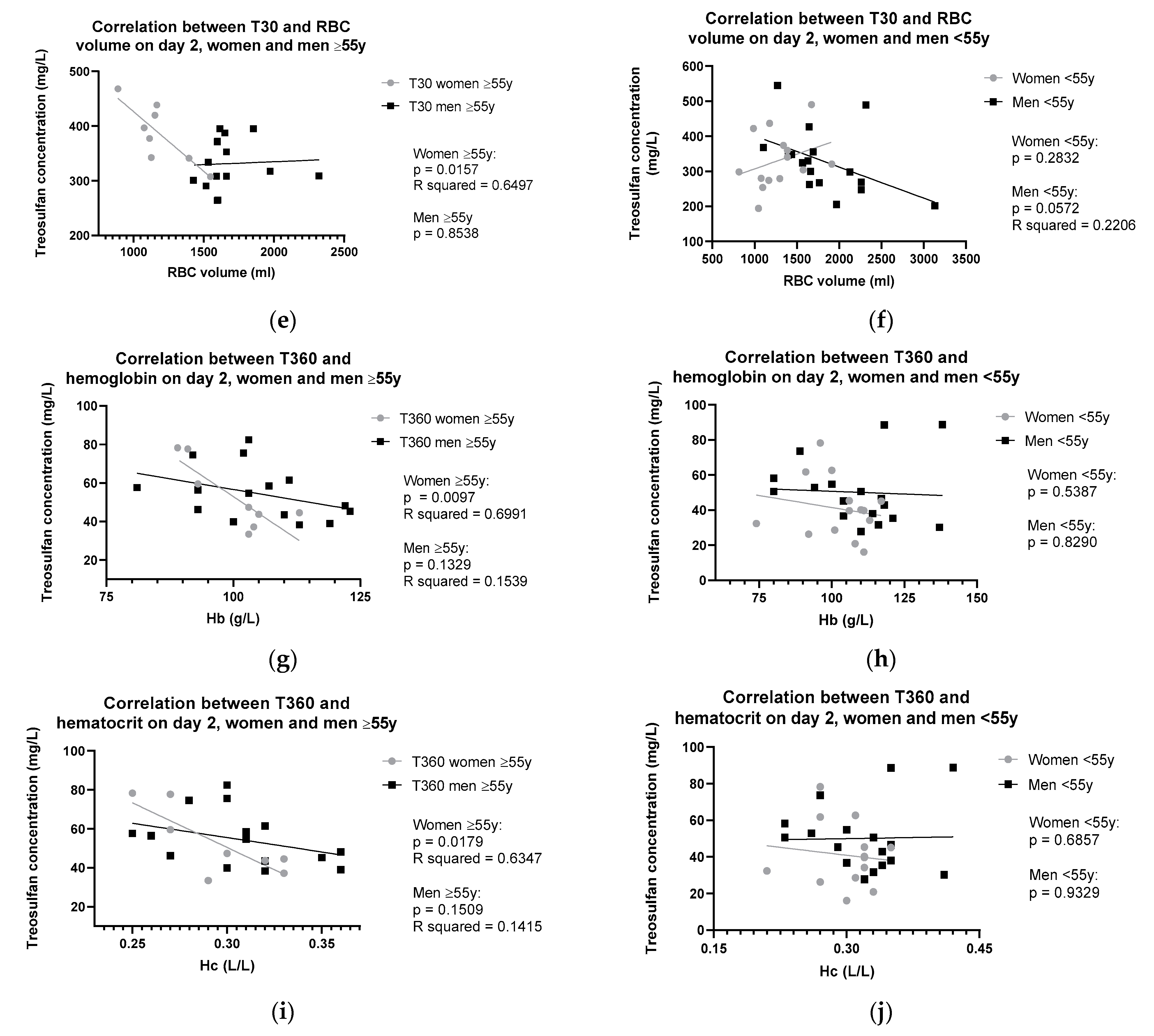
2.4. Correlations between Covariates and Treosulfan Levels
2.5. Adverse Events
2.6. Hematologic Response and Clinical Outcome
3. Discussion
4. Materials and Methods
4.1. Study Design, Patient Cohort and Endpoints
4.2. Treatment and HDCT Schedule
4.3. Treosulfan Pharmacokinetics and Calculations
4.4. Covariates
4.5. Assessment of Adverse Events, Hematologic Recovery and Survival Rates
4.6. Statistical Analysis
5. Conclusions
Supplementary Materials
Author Contributions
Funding
Institutional Review Board Statement
Informed Consent Statement
Data Availability Statement
Acknowledgments
Conflicts of Interest
References
- National Cancer Institute at the National Institutes of Health. Surveillance, Epidemiology, and End Results (SEER) Program. 2023. Available online: https://seer.cancer.gov/statfacts/html/amyl.html (accessed on 31 January 2024).
- Döhner, H.; Weisdorf, D.J.; Bloomfield, C.D. Acute Myeloid Leukemia. N. Engl. J. Med. 2015, 373, 1136–1152. [Google Scholar] [CrossRef] [PubMed]
- O’Donnell, M.R.; Abboud, C.N.; Altman, J.; Appelbaum, F.R.; Arber, D.A.; Attar, E.; Borate, U.; Coutre, S.E.; Damon, L.E.; Goorha, S.; et al. NCCN Clinical Practice Guidelines Acute Myeloid Leukemia. J. Natl. Compr. Cancer Netw. 2012, 10, 984–1021. [Google Scholar] [CrossRef]
- Di Nardo, C.D.; Cortes, J.E. Mutations in AML: Prognostic and Therapeutic Implications. Hematology 2016, 2016, 348–355. [Google Scholar] [CrossRef] [PubMed]
- Fröhling, S.; Schlenk, R.F.; Kayser, S.; Morhardt, M.; Benner, A.; Döhner, K.; Döhner, H. Cytogenetics and Age Are Major Determinants of Outcome in Intensively Treated Acute Myeloid Leukemia Patients Older than 60 Years: Results from AMLSG Trial AML HD98-B. Blood 2006, 108, 3280–3288. [Google Scholar] [CrossRef] [PubMed]
- Papaemmanuil, E.; Gerstung, M.; Bullinger, L.; Gaidzik, V.I.; Paschka, P.; Roberts, N.D.; Potter, N.E.; Heuser, M.; Thol, F.; Bolli, N.; et al. Genomic Classification and Prognosis in Acute Myeloid Leukemia. N. Engl. J. Med. 2016, 374, 2209–2221. [Google Scholar] [CrossRef] [PubMed]
- Patel, J.P.; Gönen, M.; Figueroa, M.E.; Fernandez, H.; Sun, Z.; Racevskis, J.; Van Vlierberghe, P.; Dolgalev, I.; Thomas, S.; Aminova, O.; et al. Prognostic Relevance of Integrated Genetic Profiling in Acute Myeloid Leukemia. N. Engl. J. Med. 2012, 366, 1079–1089. [Google Scholar] [CrossRef] [PubMed]
- Liersch, R.; Müller-Tidow, C.; Berdel, W.E.; Krug, U. Prognostic Factors for Acute Myeloid Leukaemia in Adults-Biological Significance and Clinical Use. Br. J. Haematol. 2014, 165, 17–38. [Google Scholar] [CrossRef] [PubMed]
- Ge, S.; Wang, J.; He, Q.; Zhu, J.; Liu, P.; Wang, H.; Zhang, F. Auto-Hematopoietic Stem Cell Transplantation or Chemotherapy? Meta-Analysis of Clinical Choice for AML. Ann. Hematol. 2024. [Google Scholar] [CrossRef] [PubMed]
- Heini, A.D.; Berger, M.D.; Seipel, K.; Taleghani, B.M.; Baerlocher, G.M.; Leibundgut, K.; Banz, Y.; Novak, U.; Pabst, T. Consolidation with Autologous Stem Cell Transplantation in First Remission Is Safe and Effective in AML Patients above 65 Years. Leuk. Res. 2017, 53, 28–34. [Google Scholar] [CrossRef]
- Vellenga, E.; Van Putten, W.; Ossenkoppele, G.J.; Verdonck, L.F.; Theobald, M.; Cornelissen, J.J.; Huijgens, P.C.; Maertens, J.; Gratwohl, A.; Schaafsma, R.; et al. Autologous Peripheral Blood Stem Cell Transplantation for Acute Myeloid Leukemia. Blood 2011, 118, 6037–6042. [Google Scholar] [CrossRef]
- Döhner, H.; Wei, A.H.; Appelbaum, F.R.; Craddock, C.; DiNardo, C.D.; Dombret, H.; Ebert, B.L.; Fenaux, P.; Godley, L.A.; Hasserjian, R.P.; et al. Diagnosis and Management of AML in Adults: 2022 Recommendations from an International Expert Panel on Behalf of the ELN. Blood 2022, 140, 1345–1377. [Google Scholar] [CrossRef] [PubMed]
- Capria, S.; Trisolini, S.M.; Diverio, D.; Minotti, C.; Breccia, M.; Cartoni, C.; Carmini, D.; Gozzer, M.; La Rocca, U.; Shafii Bafti, M.; et al. Autologous Stem Cell Transplantation in Favorable-Risk Acute Myeloid Leukemia: Single-Center Experience and Current Challenges. Int. J. Hematol. 2022, 116, 586–593. [Google Scholar] [CrossRef] [PubMed]
- Gurevich, E.; Hayoz, M.; Aebi, Y.; Largiadèr, C.R.; Taleghani, B.M.; Bacher, U.; Pabst, T. Comparison of Melphalan Combined with Treosulfan or Busulfan as High-Dose Chemotherapy before Autologous Stem Cell Transplantation in AML. Cancers 2022, 14, 1024. [Google Scholar] [CrossRef]
- Beelen, D.W.; Stelljes, M.; Reményi, P.; Wagner-Drouet, E.M.; Dreger, P.; Bethge, W.; Ciceri, F.; Stölzel, F.; Junghanß, C.; Labussiere-Wallet, H.; et al. Treosulfan Compared with Reduced-Intensity Busulfan Improves Allogeneic Hematopoietic Cell Transplantation Outcomes of Older Acute Myeloid Leukemia and Myelodysplastic Syndrome Patients: Final Analysis of a Prospective Randomized Trial. Am. J. Hematol. 2022, 97, 1023–1034. [Google Scholar] [CrossRef] [PubMed]
- Shimoni, A.; Shem-Tov, N.; Volchek, Y.; Danylesko, I.; Yerushalmi, R.; Nagler, A. Allo-SCT for AML and MDS with Treosulfan Compared with BU-Based Regimens: Reduced Toxicity vs Reduced Intensity. Bone Marrow Transplant. 2012, 47, 1274–1282. [Google Scholar] [CrossRef] [PubMed]
- Danylesko, I.; Shimoni, A.; Nagler, A. Treosulfan-Based Conditioning before Hematopoietic SCT: More than a BU Look-Alike. Bone Marrow Transplant. 2012, 47, 5–14. [Google Scholar] [CrossRef]
- Nagler, A.; Labopin, M.; Beelen, D.; Ciceri, F.; Volin, L.; Shimoni, A.; Foá, R.; Milpied, N.; Peccatori, J.; Polge, E.; et al. Long-Term Outcome after a Treosulfan-Based Conditioning Regimen for Patients with Acute Myeloid Leukemia: A Report from the Acute Leukemia Working Party of the European Society for Blood and Marrow Transplantation. Cancer 2017, 123, 2671–2679. [Google Scholar] [CrossRef] [PubMed]
- Romański, M.; Wachowiak, J.; Główka, F.K. Treosulfan Pharmacokinetics and Its Variability in Pediatric and Adult Patients Undergoing Conditioning Prior to Hematopoietic Stem Cell Transplantation: Current State of the Art, In-Depth Analysis, and Perspectives. Clin. Pharmacokinet. 2018, 57, 1255–1265. [Google Scholar] [CrossRef]
- van der Stoep, M.Y.E.C.; Bertaina, A.; ten Brink, M.H.; Bredius, R.G.; Smiers, F.J.; Wanders, D.C.M.; Moes, D.J.A.R.; Locatelli, F.; Guchelaar, H.J.; Zwaveling, J.; et al. High Interpatient Variability of Treosulfan Exposure Is Associated with Early Toxicity in Paediatric HSCT: A Prospective Multicentre Study. Br. J. Haematol. 2017, 179, 772–780. [Google Scholar] [CrossRef]
- Główka, F.; Kasprzyk, A.; Romański, M.; Wróbel, T.; Wachowiak, J.; Szpecht, D.; Kałwak, K.; Wiela-Hojeńska, A.; Dziatkiewicz, P.; Tezyk, A.; et al. Pharmacokinetics of Treosulfan and Its Active Monoepoxide in Pediatric Patients after Intravenous Infusion of High-Dose Treosulfan Prior to HSCT. Eur. J. Pharm. Sci. 2015, 68, 87–93. [Google Scholar] [CrossRef]
- Danielak, D.; Twardosz, J.; Kasprzyk, A.; Wachowiak, J.; Kałwak, K.; Główka, F. Population Pharmacokinetics of Treosulfan and Development of a Limited Sampling Strategy in Children Prior to Hematopoietic Stem Cell Transplantation. Eur. J. Clin. Pharmacol. 2018, 74, 79–89. [Google Scholar] [CrossRef] [PubMed]
- Mohanan, E.; Panetta, J.C.; Lakshmi, K.M.; Edison, E.S.; Korula, A.; Fouzia, N.A.; Abraham, A.; Viswabandya, A.; George, B.; Mathews, V.; et al. Pharmacokinetics and Pharmacodynamics of Treosulfan in Patients With Thalassemia Major Undergoing Allogeneic Hematopoietic Stem Cell Transplantation. Clin. Pharmacol. Ther. 2018, 104, 575–583. [Google Scholar] [CrossRef] [PubMed]
- Scheulen, M.E.; Hilger, R.A.; Oberhoff, C.; Casper, J.; Freund, M.; Josten, K.M.; Bornhäuser, M.; Ehninger, G.; Berdel, W.E.; Baumgart, J.; et al. Clinical Phase I Dose Escalation and Pharmacokinetic Study of High-Dose Chemotherapy with Treosulfan and Autologous Peripheral Blood Stem Cell Transplantation in Patients with Advanced Malignancies. Clin. Cancer Res. 2000, 6, 4209–4216. [Google Scholar] [PubMed]
- Beelen, D.W.; Trenschel, R.; Casper, J.; Freund, M.; Hilger, R.A.; Scheulen, M.E.; Basara, N.; Fauser, A.A.; Hertenstein, B.; Mylius, H.A.; et al. Dose-Escalated Treosulphan in Combination with Cyclophosphamide as a New Preparative Regimen for Allogeneic Haematopoietic Stem Cell Transplantation in Patients with an Increased Risk for Regimen-Related Complications. Bone Marrow Transplant. 2005, 35, 233–241. [Google Scholar] [CrossRef] [PubMed]
- Nemecek, E.R.; Guthrie, K.A.; Sorror, M.L.; Wood, B.L.; Doney, K.C.; Hilger, R.A.; Scott, B.L.; Kovacsovics, T.J.; Maziarz, R.T.; Woolfrey, A.E.; et al. Conditioning with Treosulfan and Fludarabine Followed by Allogeneic Hematopoietic Cell Transplantation for High-Risk Hematologic Malignancies. Biol. Blood Marrow Transplant. 2011, 17, 341–350. [Google Scholar] [CrossRef]
- Główka, F.K.; Karaźniewicz-Łada, M.; Grund, G.; Wróbel, T.; Wachowiak, J. Pharmacokinetics of High-Dose i.v. Treosulfan in Children Undergoing Treosulfan-Based Preparative Regimen for Allogeneic Haematopoietic SCT. Bone Marrow Transplant. 2008, 42, S67–S70. [Google Scholar] [CrossRef] [PubMed][Green Version]
- Van den Berg, P.J. A Preliminary Population Pharmacokinetic Model for Dose Selection of Treosulfan Used in Conditioning Treatment Prior to Haematopoietic Stem Cell Transplantation (HSCT) in Children [Abstract PH-P543]. Bone Marrow Transplant. 2014, 49 (Suppl. S1), S360–S361. [Google Scholar]
- Hartley, J.A.; O’Hare, C.C.; Baumgart, J. DNA Alkylation and Interstrand Cross-Linking by Treosulfan. Br. J. Cancer 1999, 79, 264–266. [Google Scholar] [CrossRef] [PubMed]
- Feit, P.W.; Rastrup-Andersen, N.; Matagne, R. Studies on Epoxide Formation from (2S,3S)-Threitol 1,4-Bismethanesulfonate. The Preparation and Biological Activity of (2S,3S)-1,2-Epoxy-3,4-Butanediol 4-Methanesulfonate. J. Med. Chem. 1970, 13, 1173–1175. [Google Scholar] [CrossRef]
- Romański, M.; Urbaniak, B.; Kokot, Z.; Główka, F.K. Activation of Prodrug Treosulfan at PH 7.4 and 37 °C Accompanied by Hydrolysis of Its Active Epoxides: Kinetic Studies with Clinical Relevance. J. Pharm. Sci. 2015, 104, 4433–4442. [Google Scholar] [CrossRef]
- Hilger, R.A.; Harstrick, A.; Eberhardt, W.; Oberhoff, C.; Skorzec, M.; Baumgart, J.; Seeber, S.; Scheulen, M.E. Clinical Pharmacokinetics of Intravenous Treosulfan in Patients with Advanced Solid Tumors. Cancer Chemother. Pharmacol. 1998, 42, 99–104. [Google Scholar] [CrossRef]
- Chiesa, R.; Winter, R.; Nademi, Z.; Standing, J.; Amrolia, P.; Veys, P.; Silva, J.; Nikolajeva, O.; Prunty, H.; Heales, S.; et al. Pharmacokinetics of High Dose Intravenous Treosulfan in Children Prior to Allogeneic HCT. Bone Marrow Transplant. 2014, 49, S380–S381. [Google Scholar]
- Gillich, C.; Akhoundova, D.; Hayoz, M.; Aebi, Y.; Largiadèr, C.R.; Seipel, K.; Daskalakis, M.; Bacher, U.; Pabst, T. Efficacy and Safety of High-Dose Chemotherapy with Treosulfan and Melphalan in Multiple Myeloma. Cancers 2023, 15, 2699. [Google Scholar] [CrossRef]
- Danielak, D.; Romański, M.; Kasprzyk, A.; Teżyk, A.; Główka, F. Population Pharmacokinetic Approach for Evaluation of Treosulfan and Its Active Monoepoxide Disposition in Plasma and Brain on the Basis of a Rat Model. Pharmacol. Rep. 2020, 72, 1297–1309. [Google Scholar] [CrossRef]
- Romański, M.; Kasprzyk, A.; Walczak, M.; Ziółkowska, A.; Główka, F. Disposition of Treosulfan and Its Active Monoepoxide in a Bone Marrow, Liver, Lungs, Brain, and Muscle: Studies in a Rat Model with Clinical Relevance. Eur. J. Pharm. Sci. 2017, 109, 616–623. [Google Scholar] [CrossRef] [PubMed]
- Romański, M.; Mikołajewski, J.; Główka, F.K. Effect of Temperature on the Kinetics of the Activation of Treosulfan and Hydrolytic Decomposition of Its Active Epoxy Derivatives. J. Pharm. Sci. 2017, 106, 3156–3160. [Google Scholar] [CrossRef] [PubMed]
- Romański, M.; Zacharzewska, A.; Teżyk, A.; Główka, F.K. In Vivo Red Blood Cells/Plasma Partition Coefficient of Treosulfan and Its Active Monoepoxide in Rats. Eur. J. Drug Metab. Pharmacokinet. 2018, 43, 565–571. [Google Scholar] [CrossRef] [PubMed]
- van der Stoep, M.Y.E.C.; Bertaina, A.; Moes, D.J.A.R.; Algeri, M.; Bredius, R.G.M.; Smiers, F.J.W.; Berghuis, D.; Buddingh, E.P.; Mohseny, A.B.; Guchelaar, H.J.; et al. Impact of Treosulfan Exposure on Early and Long-Term Clinical Outcomes in Pediatric Allogeneic Hematopoietic Stem Cell Transplantation Recipients: A Prospective Multicenter Study. Transplant. Cell. Ther. 2022, 28, 99.e1–99.e7. [Google Scholar] [CrossRef]
- Fülöp, T.; Wórum, I.; Csongor, J.; Fóris, G.; Leövey, A. Body Composition in Elderly People: I. Determination of Body Composition by Multiisotope Method and the Elimination Kinetics of These Isotopes in Healthy Elderly Subjects. Gerontology 1985, 31, 6–14. [Google Scholar] [CrossRef]
- Fernandez, E.; Perez, R.; Hernandez, A.; Tejada, P.; Arteta, M.; Ramos, J. Factors and Mechanisms for Pharmacokinetic Differences between Pediatric Population and Adults. Pharmaceutics 2011, 3, 53–72. [Google Scholar] [CrossRef]
- Silvaggio, T.; Mattison, D.R. Setting Occupational Health Standards: Toxicokinetic Differences among and between Men and Women. J. Occup. Med. 1994, 36, 849–854. [Google Scholar] [PubMed]
- Hoang, K.; Tan, J.C.; Derby, G.; Blouch, K.L.; Masek, M.; Ma, I.; Lemley, K.V.; Myers, B.D. Determinants of Glomerular Hypofiltration in Aging Humans. Kidney Int. 2003, 64, 1417–1424. [Google Scholar] [CrossRef] [PubMed]
- Weinstein, J.R.; Anderson, S. The Aging Kidney: Physiological Changes. Adv. Chronic Kidney Dis. 2010, 17, 302–307. [Google Scholar] [CrossRef] [PubMed]
- Noronha, I.L.; Santa-Catharina, G.P.; Andrade, L.; Coelho, V.A.; Jacob-Filho, W.; Elias, R.M. Glomerular Filtration in the Aging Population. Front. Med. 2022, 9, 769329. [Google Scholar] [CrossRef] [PubMed]
- Soldin, O.P.; Mattison, D.R. Sex Differences in Pharmacokinetics and Pharmacodynamics. Clin. Pharmacokinet. 2009, 48, 143–157. [Google Scholar] [CrossRef] [PubMed]
- Romański, M.; Główka, F.K. In Vitro Study of the Enzymatic and Nonenzymatic Conjugation of Treosulfan with Glutathione. Eur. J. Drug Metab. Pharmacokinet. 2019, 44, 653–657. [Google Scholar] [CrossRef] [PubMed]
- Sweeney, L.M.; Schlosser, P.M.; Medinsky, M.A.; Bond, J.A. Physiologically Based Pharmacokinetic Modeling of 1,3-Butadiene, 1,2-Epoxy-3-Butene, and 1,2:3,4-Diepoxybutane Toxicokinetics in Mice and Rats. Carcinogenesis 1997, 18, 611–625. [Google Scholar] [CrossRef] [PubMed][Green Version]
- Boogaard, P.J.; Bond, J.A. The Role of Hydrolysis in the Detoxification of 1,2:3,4-Diepoxybutane by Human, Rat, and Mouse Liver and Lung in Vitro. Toxicol. Appl. Pharmacol. 1996, 141, 617–627. [Google Scholar] [CrossRef] [PubMed]
- Betticher, C.; Bacher, U.; Legros, M.; Zimmerli, S.; Banz, Y.; Mansouri Taleghani, B.; Pabst, T. Prophylactic Corticosteroid Use Prevents Engraftment Syndrome in Patients after Autologous Stem Cell Transplantation. Hematol. Oncol. 2021, 39, 97–104. [Google Scholar] [CrossRef]
- GraphPad Prism 10 Statistics Guide-Area under the Curve. Available online: https://www.Graphpad.Com/Guides/Prism/Latest/Statistics/Stat_area_under_the_curve.Htm (accessed on 30 June 2024).
- Du Bois, D.; Du Bois, E.F. A Formula to Estimate the Approximate Surface Area If Height and Weight Be Known. 1916. Nutrition 1989, 5, 303. [Google Scholar]
- Watson, P.E.; Watson, I.D.; Batt, R.D. Total Body Water Volumes for Adult Males and Females Estimated from Simple Anthropometric Measurements. Am. J. Clin. Nutr. 1980, 33, 27–39. [Google Scholar] [CrossRef] [PubMed]
- Nadler, S.B.; Hidalgo, J.U.; Bloch, T. Prediction of Blood Volume in Normal Human Adults. Surgery 1962, 51, 224–232. [Google Scholar] [PubMed]
- National Cancer Institute. Common Terminology Criteria for Adverse Events v.5.0. 2018. Available online: https://Ctep.Cancer.Gov/Protocoldevelopment/Electronic_applications/Ctc.Htm#ctc_50 (accessed on 12 February 2024).





| Characteristics | Women ≥ 55 y (n = 8) | Men ≥ 55 y (n = 16) | Women < 55 y (n = 14) | Men < 55 y (n = 17) | All (n = 55) | p-Value |
|---|---|---|---|---|---|---|
| Median age at diagnosis, years (range) | 65 (54–74) | 65 (56–73) | 47 (17–54) | 49 (23–54) | 54 (17–74) | <0.0001 |
| ELN risk categories | ||||||
| favorable | 4 (50%) | 6 (38%) | 6 (43%) | 9 (53%) | 25 (46%) | 0.8522 |
| intermediate | 2 (25%) | 1 (6%) | 6 (43%) | 3 (18%) | 12 (22%) | 0.1075 |
| adverse | 2 (25%) | 9 (53%) | 2 (14%) | 5 (29%) | 18 (33%) | 0.0997 |
| FAB classification | ||||||
| M0 | 1 (13%) | 2 (12%) | 1 (7%) | 0 | 4 (7%) | 0.4736 |
| M1 | 1 (13%) | 4 (24%) | 6 (43%) | 5 (29%) | 16 (29%) | 0.5171 |
| M2 | 4 (50%) | 3 (18%) | 1 (7%) | 6 (35%) | 14 (26%) | 0.0936 |
| M3 | 0 | 0 | 0 | 0 | 0 | 1.0 |
| M4 | 2 (25%) | 6 (38%) | 5 (36%) | 5 (29%) | 18 (33%) | 0.9369 |
| Secondary AML | ||||||
| th-AML | 0 | 1 (6%) | 1 (7%) | 0 | 2 (4%) | 0.6566 |
| MDS/MPD related | 0 | 0 | 0 | 0 | 0 | 1.0 |
| Peripheral Blood Parameters mean (range) | ||||||
| Hemoglobin, g/dL | 84 (±17) | 99 (±20) | 88 (±25) | 82 (±30) | 89 (±25) | 0.2309 |
| WBC, G/L | 50 (±40) | 24 (±38) | 39 (±69) | 67 (±80) | 45 (±63) | 0.2729 |
| Platelets, G/L | 58 (±42) | 90 (±58) | 108 (±76) | 91 (±47) | 90 (±59) | 0.2869 |
| Peripheral blasts, % | 49 (±37) | 33 (±30) | 40 (±36) | 48 (±32) | 42 (±33) | 0.5849 |
| BM blasts, % | 74 (±21) | 73 (±25) | 72 (±22) | 78 (±22) | 74 (±23) | 0.8674 |
| LDH, U/L | 717 (±348) | 672 (±527) | 757 (±1230) | 925 (±764) | 778 (±800) | 0.8318 |
| Characteristics | Women ≥ 55 y (n = 8) | Men ≥ 55 y (n = 16) | Women < 55 y (n = 14) | Men < 55 y (n = 17) | All (n = 55) | p-Value |
|---|---|---|---|---|---|---|
| Induction therapy | 6 (75%) | 14 (88%) | 14 (100%) | 17 (100%) | 51 (93%) | 0.0490 |
| Cycles, (n) | ||||||
| 1 | 0 | 0 | 0 | 1 G (6%) | 1 (2%) | 1.0 |
| 2 | 6 (75%) | 13 (81%) | 14 (100%) | 16 (94%) | 49 (89%) | 0.1743 |
| 3 | 0 | 1 F (6%) | 0 | 0 | 1 (2%) | 0.6909 |
| Remission status after the first induction cycle | ||||||
| CR | 2 (25%) | 3 (19%) | 7 (50%) | 5 (29%) | 17 (31%) | 0.3292 |
| CRi | 3 (38%) | 7 (44%) | 5 (36%) | 10 (59%) | 25 (46%) | 0.5751 |
| Other E | 1 (13%) | 4 (25%) | 2 (14%) | 2 (12%) | 9 (16%) | 0.7882 |
| MRD status after the first induction cycle | ||||||
| MRD-positive J | 6 (75%) | 12 (75%) | 12 (86%) | 14 (82%) | 44 (80%) | 0.8766 |
| MRD-negative J | 0 | 2 (13%) | 2 (14%) | 3 (18%) | 7 (13%) | 0.8153 |
| Remission status after second induction cycle A | ||||||
| CR | 1 (13%) | 2 (13%) | 3 (21%) | 4 (24%) | 10 (18%) | 0.8365 |
| CRi | 3 (38%) | 11 (69%) | 9 (64%) | 12 (71%) | 35 (64%) | 0.4480 |
| Other E | 2 (25%) | 1 (6%) | 2 (14%) | 0 | 5 (9%) | 0.1048 |
| MRD status after second induction cycle A | ||||||
| MRD-positive J | 5 (63%) | 12 (75%) | 9 (64%) | 11 (65%) | 37 (67%) | 0.8791 |
| MRD-negative J | 1 (13%) | 2 (13%) | 5 (36%) | 5 (29%) | 13 (24%) | 0.4249 |
| Alternative therapy B | 2 (25%) | 2 (13%) | 0 | 1 G (6%) | 5 (9%) | 0.2316 |
| Best remission response C | ||||||
| CR | 2 (25%) | 1 (6%) | 0 | 0 | 3 (6%) | 0.0480 |
| CRi | 0 | 1 (6%) | 0 | 1 (6%) | 2 (4%) | 1.0 |
| Best MRD response C | ||||||
| MRD-positive J | 0 | 0 | 0 | 1 (6%) | 1 (2%) | 1.0 |
| MRD-negative J | 2 (25%) | 2 (13%) | 0 | 0 | 4 (7%) | 0.0490 |
| HDCT: TreoMel 200 H | 4 (50%) | 5 (31%) | 8 (57%) | 5 (29%) | 22 (40%) | 0.3427 |
| HDCT: TreoMel 140 I | 4 (50%) | 11 (69%) | 6 (43%) | 12 (71%) | 33 (60%) | 0.3427 |
| Remission status after HDCT | ||||||
| CR | 0 | 0 | 1 (7%) | 3 (18%) | 15 (27%) | 0.2636 |
| CRi | 7 (88%) | 14 (88%) | 13 (93%) | 14 (82%) | 37 (67%) | 0.9415 |
| Other E | 1 (13%) | 0 | 0 | 0 | 1 (2%) | 0.0408 |
| No BM puncture D | 0 | 2 (13%) | 0 | 0 | 2 (4%) | 0.2364 |
| MRD status after HDCT | ||||||
| MRD-positive J | 6 (75%) | 9 (56%) | 6 (43%) | 10 (59%) | 31 (56%) | 0.5672 |
| MRD-negative J | 2 (25%) | 5 (31%) | 8 (57%) | 7 (41%) | 22 (39%) | 0.4248 |
| No BM puncture D | 0 | 2 (13%) | 0 | 0 | 2 (4%) | 0.2364 |
| Median A, mg/L, mg*h/L (Range) | Women ≥ 55 y (n = 8) | Men ≥ 55 y (n = 16) | Women < 55 y (n = 14) | Men < 55 y (n = 17) | All Patients (n = 55) | All Women (n = 22) | All Men (n = 33) | p-Value |
|---|---|---|---|---|---|---|---|---|
| T30 B | 387 (308–468) | 326 (264–395) | 312 (194–490) | 324 (202–545) | 334 (194–545) | 342 (194–490) | 324 (202–545) | 0.2652 |
| T360 C | 46 (33–78) | 55 (38–82) | 40 (16–78) | 47 (28–89) | 45 (16–89) | 42 (16–78) | 51 (28–89) | 0.1387 |
| AUC | 946 (776–1370) | 842 (671–1131) | 758 (459–1214) | 841 (522–1402) | 855 (459–1402) | 864 (459–1370) | 841 (522–1402) | 0.2010 |
| Characteristics Toxicity, n (%) | Women ≥ 55 y (n = 8) | Men ≥ 55 y (n = 16) | Women < 55 y (n = 14) | Men < 55 y (n = 17) | All (n = 55) | p-Value |
|---|---|---|---|---|---|---|
| Diarrhea | 8 (100) | 16 (100) | 14 (100) | 16 (94) | 54 (98) | 1.0 |
| Grade I | 4 (50) | 4 (25) | 10 (71) | 7 (41) | 25 (46) | 0.0837 |
| Grade II | 2 (25) | 8 (50) | 2 (14) | 6 (35) | 18 (33) | 0.2212 |
| Grade III | 2 (25) | 4 (25) | 2 (14) | 3 (18) | 11 (20) | 0.8766 |
| Grade IV | 0 | 0 | 0 | 0 | 0 | 1.0 |
| Oral Mucositis | 4 (50) | 10 (63) | 11 (79) | 7 (41) | 32 (58) | 0.1963 |
| Grade I | 2 (25) | 4 (25) | 3 (21) | 4 (24) | 13 (24) | 1.0 |
| Grade II | 0 | 2 (13) | 3 (21) | 3 (18) | 8 (15) | 0.6659 |
| Grade III | 2 (25) | 3 (19) | 5 (36) | 0 | 10 (18) | 0.0373 |
| Grade IV | 0 | 1 (6) | 0 | 0 | 1 (2) | 0.6909 |
| Nausea | 7 (88) | 12 (75) | 12 (86) | 14 (82) | 45 (82) | 0.8457 |
| Headache | 0 | 2 (13) | 4 (29) | 2 (12) | 8 (15) | 0.3703 |
| Fatigue | 6 (75) | 7 (13) | 7 (50) | 6 (25) | 26 (47) | 0.3424 |
| Pain | 6 (75) | 10 (63) | 14 (100) | 16 (94) | 46 (84) | 0.0141 |
| Pancytopenia | 8 (100) | 16 (100) | 14 (100) | 17 (100) | 55 (100) | - |
| Electrolyte imbalance | 4 (50) | 9 (56) | 8 (57) | 10 (59) | 31 (56) | 1.0 |
| Engraftment syndrome | 2 (25) | 1 (6) | 3 (21) | 4 (24) | 10 (18) | 0.4944 |
| Paroxysmal tachycardic episode | 2 (25) | 2 (13) | 0 | 0 | 4 (7) | 0.0490 |
| Hepatopathy A | 0 | 1 (6) | 0 | 1 (6) | 2 (4) | 1.0 |
| Epileptic seizure | 0 | 0 | 0 | 0 | 0 | 1.0 |
| Median Time A (Range) | Women ≥ 55 y (n = 8) | Men ≥ 55 y (n = 16) | Women < 55 y (n = 14) | Men < 55 y (n = 17) | All (n = 55) | p-Value |
|---|---|---|---|---|---|---|
| Follow up, m | 7 (3–39) | 20 (0.5–44) | 8 (0.5–46) | 21 (1–42) | 17 (0.5–46) | 0.4255 |
| TTI B, m | 3 (2–6) | 4 (3–7) | 3 (2–4) | 3 (2–7) | 3 (2–7) | 0.1220 |
| CD34+, n × 10⁶/kg C | 3.613 (2.055–8.138) | 4.094 (2.816–10.84) | 3.422 (2.072–6.670) | 3.446 (2.178–10.46) | 3.621 (2.055–10.84) | 0.3554 |
| ANC ≥ 0.5 G/L, d | 11 (10–13) | 11 (8–13) | 12 (11–13) | 12 (10–14) | 11 (8–14) | 0.0072 |
| ANC ≥ 1.0 G/L, d | 11.5 (11–13) | 12 (10–112) | 13 (11–17) | 12 (10–14) | 12 (10–112) | 0.5921 |
| PLT > 20 G/L, d | 29 (13–82) | 19 (14–182) | 21.5 (13–56) | 27 (14–92) | 23 (13–182) | 0.6648 |
| PLT > 100 G/L, d | 62.5 (32–186) | 75.5 (36–351) | 66 (18–566) | 70 (33–413) | 75 (18–566) | 0.8688 |
| Hospitalization, d | 26 (21–34) | 21 (18–60) | 21.5 (15–40) | 21 (19–101) | 22 (15–101) | 0.9020 |
| Relapse, n (%) | 5 (63) | 6 (38) | 4 (29) | 7 (41) | 22 (40) | 0.5177 |
| Relapse, m | 3 (2–5) | 5.5 (2–12) | 5 (1–19) | 5 (3–10) | 5 (1–19) | 0.5080 |
| Deaths, n (%) | 4 (50) | 7 (44) | 2 (14) | 5 (29) | 18 (33) | 0.2243 |
| Death, m | 6.5 (5–7) | 12 (0.5–49) | 6.5 (4–9) | 14 (7–28) | 7 (0.5–49) | 0.5890 |
Disclaimer/Publisher’s Note: The statements, opinions and data contained in all publications are solely those of the individual author(s) and contributor(s) and not of MDPI and/or the editor(s). MDPI and/or the editor(s) disclaim responsibility for any injury to people or property resulting from any ideas, methods, instructions or products referred to in the content. |
© 2024 by the authors. Licensee MDPI, Basel, Switzerland. This article is an open access article distributed under the terms and conditions of the Creative Commons Attribution (CC BY) license (https://creativecommons.org/licenses/by/4.0/).
Share and Cite
Ayçiçek, S.G.; Akhoundova, D.; Bacher, U.; Hayoz, M.; Aebi, Y.; Largiadèr, C.R.; Pabst, T. Determinants of Interpatient Variability in Treosulfan Pharmacokinetics in AML Patients Undergoing Autologous Stem Cell Transplantation. Int. J. Mol. Sci. 2024, 25, 8215. https://doi.org/10.3390/ijms25158215
Ayçiçek SG, Akhoundova D, Bacher U, Hayoz M, Aebi Y, Largiadèr CR, Pabst T. Determinants of Interpatient Variability in Treosulfan Pharmacokinetics in AML Patients Undergoing Autologous Stem Cell Transplantation. International Journal of Molecular Sciences. 2024; 25(15):8215. https://doi.org/10.3390/ijms25158215
Chicago/Turabian StyleAyçiçek, Selin G., Dilara Akhoundova, Ulrike Bacher, Michael Hayoz, Yolanda Aebi, Carlo R. Largiadèr, and Thomas Pabst. 2024. "Determinants of Interpatient Variability in Treosulfan Pharmacokinetics in AML Patients Undergoing Autologous Stem Cell Transplantation" International Journal of Molecular Sciences 25, no. 15: 8215. https://doi.org/10.3390/ijms25158215
APA StyleAyçiçek, S. G., Akhoundova, D., Bacher, U., Hayoz, M., Aebi, Y., Largiadèr, C. R., & Pabst, T. (2024). Determinants of Interpatient Variability in Treosulfan Pharmacokinetics in AML Patients Undergoing Autologous Stem Cell Transplantation. International Journal of Molecular Sciences, 25(15), 8215. https://doi.org/10.3390/ijms25158215

