From Proteome to Potential Drugs: Integration of Subtractive Proteomics and Ensemble Docking for Drug Repurposing against Pseudomonas aeruginosa RND Superfamily Proteins
Abstract
1. Introduction
2. Results and Discussion
2.1. Subtractive Analysis from the P. aeruginosa Proteome
2.2. Subtractive Analysis Removing Human and Human Microbiome Orthologs and Essentiality Analysis
2.3. Assessing the Attributes of Virulence, Antigenicity, Bacterial Resistance, and Druggability
2.4. Characterization of Essential Proteins of P. aeruginosa
2.5. Predicting and Refining the Three-Dimensional Structure and Multimeric Assembly in RND Proteins
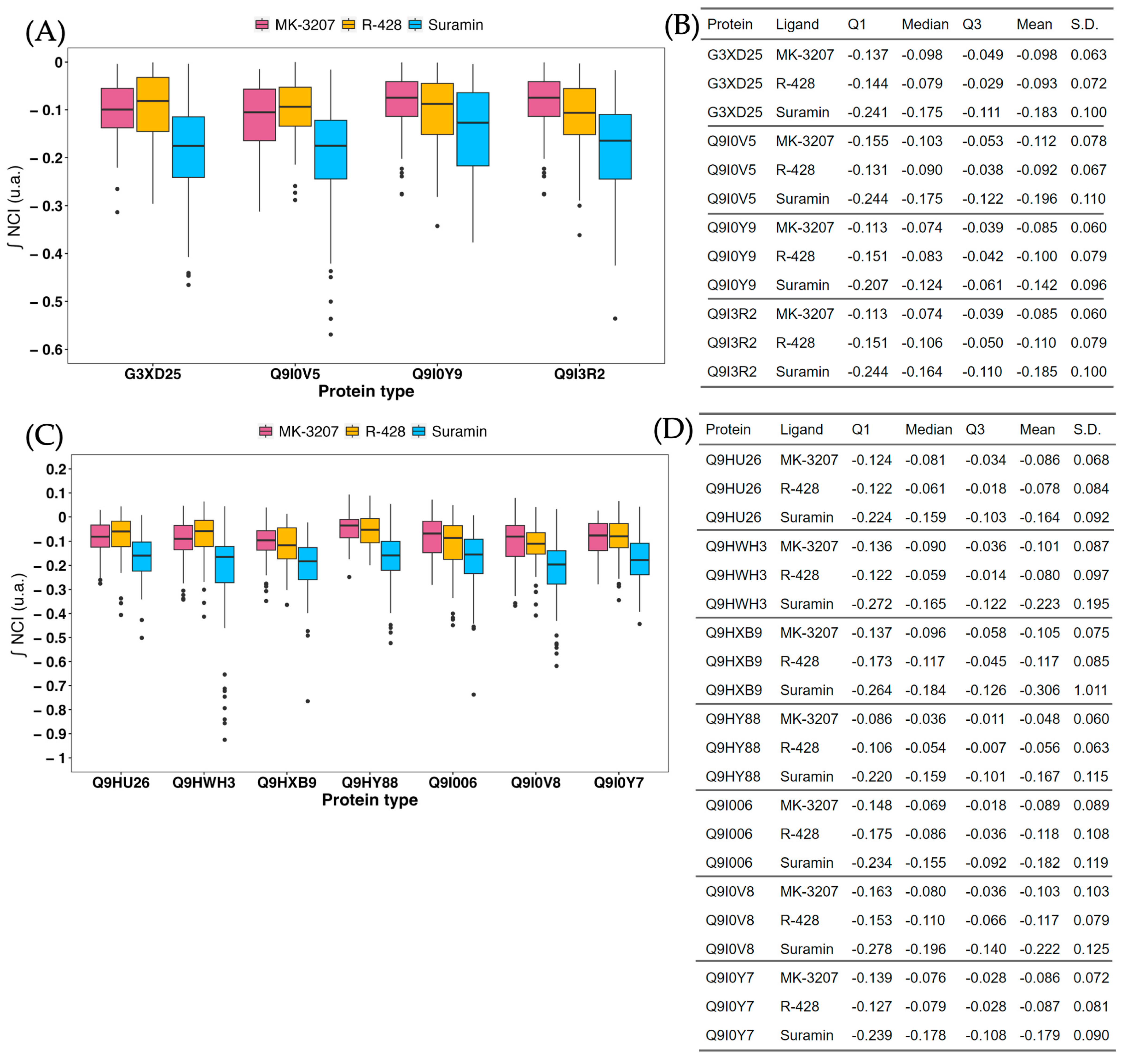
2.6. Rescuing Relevant Protein Conformations and Repositioning Drugs through Ensemble-docking and Non-Covalent Interactions
- MK-3207: This molecule is currently undergoing phase 2 clinical trials and is associated with migraine disorders [51]. It acts as an antagonist of the Calcitonin gene-related peptide type 1 receptor in humans. MK-3207 ranks first in the rankings for all MFP type proteins and in 6 out of 7 OMF proteins.
- R-428 (Bemcentinib): This compound, in clinical phase 2, is being investigated for various pathologies, including myelodysplastic syndrome, melanoma, acute myeloid leukemia, and mesothelioma. It acts by inhibiting the Tyrosine-protein kinase receptor [52]. R-428 is the top-ranked compound across all metrics for 100% of the proteins evaluated.
- Suramin: Currently advancing to phase 3 of clinical development, Suramin is associated with the treatment of non-small cell lung carcinoma, prostate adenocarcinoma, autism spectrum disorder, and acute kidney injury. This compound functions as an acidic fibroblast growth factor inhibitor [53,54]. Suramin appears as an inhibitor in all MFP proteins and 4 out of 7 OMF type proteins.
3. Materials and Methods
3.1. Subtractive Proteomics
3.2. Search for Essential Protein Sequences of P. aeruginosa with Low Similarity to the Human Proteome and Human Bacterial Microbiome
3.3. Characterizing Pharmacological Targets in P. aeruginosa: Integrating Virulence, Resistance, and Antigenicity Analyses
- (a)
- Virulence Factors: We used the Virulence Factor Database (VFDB) [61] (http://www.mgc.ac.cn/VFs/, accessed on 10 January 2024) to identify proteins involved in virulence. Virulence factors are crucial for the pathogenicity of P. aeruginosa, making them ideal targets for drug development. We applied stringent criteria with a cutoff set at a bit score value greater than 100 and an e-value exceeding 10−5;
- (b)
- Resistance Factors: Resistance factors were identified using the BacMet2 database, including both experimental and predicted data [62] (http://bacmet.biomedicine.gu.se/, accessed on 10 January 2024). Resistance mechanisms enable P. aeruginosa to withstand antibiotic treatments, so targeting these factors can enhance the efficacy of therapeutic strategies. We employed the same stringent cutoff criteria (bit score > 100, e-value < 10−5) to accurately detect resistance-related proteins;
- (c)
- Antigenicity Features: The antigenicity of essential proteins was predicted using VaxiJen [63] (https://www.ddg-pharmfac.net/vaxijen/VaxiJen/VaxiJen.html, accessed on 10 January 2024). This tool assesses the potential of proteins to elicit an immune response, which is vital for the development of vaccines and immunotherapies. Identifying antigenic proteins ensures that our targets can be used to stimulate protective immunity against P. aeruginosa infections.
3.4. Identifying Pharmacological Candidates for P. aeruginosa Essential Proteins
3.5. Characterizing the Biological Classification of P. aeruginosa Essential Proteins
- (a)
- Subcellular localization: The PSORT v.3.0 [65] (https://www.psort.org/psortb/, accessed on 2 March 2024) and CELLO2GO [66] (http://cello.life.nctu.edu.tw/cello2go/, https://www.psort.org/psortb/, accessed on 2 March 2024) databases were employed to determine the subcellular localization of the proteins.
- (b)
- Functional classification: The KEGG [67] (Kyoto Encyclopedia of Genes and Genomes, https://www.genome.jp/kegg/pathway.html, https://www.psort.org/psortb/, accessed on 2 March 2024) database was used to classify the proteins into functional biological categories.
3.6. Predicting 3D Structures and Supramolecular Assembly of Essential Proteins in P. aeruginosa
3.7. Refining 3D Structures through Molecular Dynamics Simulations
3.8. Identification of Relevant Protein Conformations and Drug Repurposing through Ensemble-docking and Non-Covalent Interaction Index
- These analytical expressions for q can then be integrated over the NCI regions to obtain closed-form solutions relating them to the intermolecular separation;
- The binding energy can be approximated as a functional of , and fit to reproduce known binding curves, e.g., where n is an optimized exponent;
- The key advantage is obtaining analytical, transferable expressions for in terms of NCI region properties that are valid over the entire potential energy surface.
4. Conclusions
Supplementary Materials
Author Contributions
Funding
Institutional Review Board Statement
Informed Consent Statement
Data Availability Statement
Conflicts of Interest
References
- Provenzani, A.; Hospodar, A.R.; Meyer, A.L.; Vinci, D.L.; Hwang, E.Y.; Butrus, C.M.; Polidori, P. Multidrug-resistant gram-negative organisms: A review of recently approved antibiotics and novel pipeline agents. Int. J. Clin. Pharm. 2020, 42, 1016–1025. [Google Scholar] [CrossRef] [PubMed]
- Thorpe, K.E.; Joski, P.; Johnston, K.J. Antibiotic-resistant infection treatment costs have doubled since 2002, now exceeding $2 billion annually. Health Aff. 2018, 37, 662–669. [Google Scholar] [CrossRef] [PubMed]
- World Health Organization. WHO Bacterial Priority Pathogens List, 2024; World Health Organization: Geneva, Switzerland, 2024. [Google Scholar]
- Cendra, M.d.M.; Torrents, E. Pseudomonas aeruginosa biofilms and their partners in crime. Biotechnol. Adv. 2021, 49, 107734. [Google Scholar] [CrossRef] [PubMed]
- Rossi, E.; La Rosa, R.; Bartell, J.A.; Marvig, R.L.; Haagensen, J.A.J.; Sommer, L.M.; Molin, S.; Johansen, H.K. Pseudomonas aeruginosa adaptation and evolution in patients with cystic fibrosis. Nat. Rev. Microbiol. 2021, 19, 331–342. [Google Scholar] [CrossRef] [PubMed]
- Bustos, D.; Hernández-Rodríguez, E.W.; Poblete, H.; Alzate-Morales, J.; Challier, C.; Boetsch, C.; Vergara-Jaque, A.; Beassoni, P. Structural Insights into the Inhibition Site in the Phosphorylcholine Phosphatase Enzyme of Pseudomonas aeruginosa. J. Chem. Inf. Model. 2022, 62, 3067–3078. [Google Scholar] [CrossRef] [PubMed]
- Vincent, J.-L.; Sakr, Y.; Singer, M.; Martin-Loeches, I.; Machado, F.R.; Marshall, J.C.; Finfer, S.; Pelosi, P.; Brazzi, L.; Aditianingsih, D.; et al. Prevalence and Outcomes of Infection among Patients in Intensive Care Units in 2017. JAMA J. Am. Med. Assoc. 2020, 323, 1478–1487. [Google Scholar] [CrossRef] [PubMed]
- Vidaillac, C.; Chotirmall, S.H. Pseudomonas aeruginosa in bronchiectasis: Infection, inflammation, and therapies. Expert Rev. Respir. Med. 2021, 15, 649–662. [Google Scholar] [CrossRef] [PubMed]
- Adamo, R.; Sokol, S.; Soong, G.; Gomez, M.I.; Prince, A. Pseudomonas aeruginosa flagella activate airway epithelial cells through asialoGM1 and toll-like receptor 2 as well as toll-like receptor 5. Am. J. Respir. Cell Mol. Biol. 2004, 30, 627–634. [Google Scholar] [CrossRef] [PubMed]
- Soong, G.; Reddy, B.; Sokol, S.; Adamo, R.; Prince, A. TLR2 is mobilized into an apical lipid raft receptor complex to signal infection in airway epithelial cells. J. Clin. Investig. 2004, 113, 1482–1489. [Google Scholar] [CrossRef]
- Ozer, E.; Yaniv, K.; Chetrit, E.; Boyarski, A.; Meijler, M.M.; Berkovich, R.; Kushmaro, A.; Alfonta, L. An inside look at a biofilm: Pseudomonas aeruginosa flagella biotracking. Sci. Adv. 2021, 7, eabg8581. [Google Scholar] [CrossRef]
- Colclough, A.L.; Alav, I.; Whittle, E.E.; Pugh, H.L.; Darby, E.M.; Legood, S.W.; McNeil, H.E.; Blair, J.M. RND efflux pumps in Gram-negative bacteria; regulation, structure and role in antibiotic resistance. Future Microbiol. 2020, 15, 143–157. [Google Scholar] [CrossRef] [PubMed]
- Bialvaei, A.Z.; Rahbar, M.; Hamidi-Farahani, R.; Asgari, A.; Esmailkhani, A.; Dashti, Y.M.; Soleiman-Meigooni, S. Expression of RND efflux pumps mediated antibiotic resistance in Pseudomonas aeruginosa clinical strains. Microb. Pathog. 2021, 153, 104789. [Google Scholar] [CrossRef] [PubMed]
- Maurya, S.; Akhtar, S.; Siddiqui, M.H.; Khan, M.K.A. Subtractive Proteomics for Identification of Drug Targets in Bacterial Pathogens: A Review. Int. J. Eng. Res. 2020, V9, 262–273. [Google Scholar] [CrossRef]
- Farha, M.A.; Brown, E.D. Drug repurposing for antimicrobial discovery. Nat. Microbiol. 2019, 4, 565–577. [Google Scholar] [CrossRef] [PubMed]
- Fuchs, S.; Engelmann, S. Small proteins in bacteria—Big challenges in prediction and identification. Proteomics 2023, 23, e2200421. [Google Scholar] [CrossRef] [PubMed]
- Wang, F.; Xiao, J.; Pan, L.; Yang, M.; Zhang, G.; Jin, S.; Yu, J. A Systematic Survey of Mini-Proteins in Bacteria and Archaea. PLoS ONE 2008, 3, e4027. [Google Scholar] [CrossRef] [PubMed]
- Steiner, H.E.; Patterson, H.K.; Giles, J.B.; Karnes, J.H. Bringing pharmacomicrobiomics to the clinic through well-designed studies. Clin. Transl. Sci. 2022, 15, 2303–2315. [Google Scholar] [CrossRef]
- Tarasiuk, A.; Fichna, J. Gut microbiota: What is its place in pharmacology? Expert Rev. Clin. Pharmacol. 2019, 12, 921–930. [Google Scholar] [CrossRef]
- Aziz, R.K.; Hegazy, S.M.; Yasser, R.; Rizkallah, M.R.; ElRakaiby, M.T. Drug pharmacomicrobiomics and toxicomicrobiomics: From scattered reports to systematic studies of drug–microbiome interactions. Expert Opin. Drug Metab. Toxicol. 2018, 14, 1043–1055. [Google Scholar] [CrossRef]
- Weersma, R.K.; Zhernakova, A.; Fu, J. Interaction between drugs and the gut microbiome. Gut 2020, 69, 1510–1519. [Google Scholar] [CrossRef]
- Liao, C.; Huang, X.; Wang, Q.; Yao, D.; Lu, W. Virulence Factors of Pseudomonas aeruginosa and Antivirulence Strategies to Combat Its Drug Resistance. Front. Cell. Infect. Microbiol. 2022, 12, 926758. [Google Scholar] [CrossRef] [PubMed]
- Qin, S.; Xiao, W.; Zhou, C.; Pu, Q.; Deng, X.; Lan, L.; Liang, H.; Song, X.; Wu, M. Pseudomonas aeruginosa: Pathogenesis, virulence factors, antibiotic resistance, interaction with host, technology advances and emerging therapeutics. Signal Transduct. Target. Ther. 2022, 7, 199. [Google Scholar] [CrossRef] [PubMed]
- Stanislavsky, E.S.; Lam, J.S. Pseudomonas aeruginosa antigens as potential vaccines. FEMS Microbiol. Rev. 1997, 21, 243–277. [Google Scholar] [CrossRef] [PubMed]
- Zschiedrich, C.P.; Keidel, V.; Szurmant, H. Molecular Mechanisms of Two-Component Signal Transduction. J. Mol. Biol. 2016, 428, 3752–3775. [Google Scholar] [CrossRef] [PubMed]
- Fadel, F.; Bassim, V.; Francis, V.I.; Porter, S.L.; Botzanowski, T.; Legrand, P.; Perez, M.M.; Bourne, Y.; Cianférani, S.; Vincent, F. Insights into the atypical autokinase activity of the Pseudomonas aeruginosa GacS histidine kinase and its interaction with RetS. Structure 2022, 30, 1285–1297.e5. [Google Scholar] [CrossRef] [PubMed]
- Johnson, J.M.; Church, G.M. Alignment and Structure Prediction of Divergent Protein Families: Periplasmic and Outer Membrane Proteins of Bacterial Efflux Pumps. J. Mol. Biol. 1999, 287, 695–715. [Google Scholar] [CrossRef] [PubMed]
- Abadi, M.S.S.; Gholipour, A.; Hadi, N. The highly conserved domain of RND multidrug efflux pumps in pathogenic Gram-negative bacteria. Cell. Mol. Biol. 2018, 64, 79–83. [Google Scholar] [CrossRef]
- Lorusso, A.B.; Carrara, J.A.; Barroso, C.D.N.; Tuon, F.F.; Faoro, H. Role of Efflux Pumps on Antimicrobial Resistance in Pseudomonas aeruginosa. Int. J. Mol. Sci. 2022, 23, 15779. [Google Scholar] [CrossRef]
- Jamshidi, S.; Sutton, J.M.; Rahman, K.M. Mapping the dynamic functions and structural features of AcrB Efflux pump transporter using accelerated molecular dynamics simulations. Sci. Rep. 2018, 8, 10470. [Google Scholar] [CrossRef]
- López-Causapé, C.; Sommer, L.M.; Cabot, G.; Rubio, R.; Ocampo-Sosa, A.A.; Johansen, H.K.; Figuerola, J.; Cantón, R.; Kidd, T.J.; Molin, S.; et al. Evolution of the Pseudomonas aeruginosa mutational resistome in an international Cystic Fibrosis clone. Sci. Rep. 2017, 7, 5555. [Google Scholar] [CrossRef]
- Oliveira, W.K.; Ferrarini, M.; Morello, L.G.; Faoro, H. Resistome analysis of bloodstream infection bacterial genomes reveals a specific set of proteins involved in antibiotic resistance and drug efflux. NAR Genom. Bioinform. 2020, 2, lqaa055. [Google Scholar] [CrossRef] [PubMed]
- Alcalde-Rico, M.; Olivares-Pacheco, J.; Alvarez-Ortega, C.; Cámara, M.; Martínez, J.L. Role of the multidrug resistance efflux pump MexCD-OprJ in the Pseudomonas aeruginosa quorum sensing response. Front. Microbiol. 2018, 9, 2752. [Google Scholar] [CrossRef] [PubMed]
- Linares, J.F.; López, J.A.; Camafeita, E.; Albar, J.P.; Rojo, F.; Martínez, J.L. Overexpression of the multidrug efflux pumps MexCD-OprJ and MexEF-OprN is associated with a reduction of type III secretion in Pseudomonas aeruginosa. J. Bacteriol. 2005, 187, 1384–1391. [Google Scholar] [CrossRef] [PubMed]
- Kristensen, R.; Andersen, J.B.; Rybtke, M.; Jansen, C.U.; Fritz, B.G.; Kiilerich, R.O.; Uhd, J.; Bjarnsholt, T.; Qvortrup, K.; Tolker-Nielsen, T.; et al. Inhibition of Pseudomonas aeruginosa quorum sensing by chemical induction of the MexEF-oprN efflux pump. Antimicrob. Agents Chemother. 2024, 68, e0138723. [Google Scholar] [CrossRef] [PubMed]
- Mine, T.; Morita, Y.; Kataoka, A.; Mizushima, T.; Tsuchiya, T. Expression in Escherichia coli of a New Multidrug Efflux Pump, MexXY, from Pseudomonas aeruginosa. Antimicrob. Agents Chemother. 1999, 43, 415–417. [Google Scholar] [CrossRef] [PubMed]
- Seupt, A.; Schniederjans, M.; Tomasch, J.; Häussler, S. Expression of the MexXY Aminoglycoside Efflux Pump and Presence of an Aminoglycoside-Modifying Enzyme in Clinical Pseudomonas aeruginosa Isolates Are Highly Correlated. Antimicrob. Agents Chemother. 2020, 65, e01166-20. [Google Scholar] [CrossRef] [PubMed]
- Poole, K.; Krebes, K.; McNally, C.; Neshat, S. Multiple Antibiotic Resistance in Pseudomonas aeruginosa: Evidence for Involvement of an Efflux Operon. J. Bacteriol. 1993, 175, 7363–7372. [Google Scholar] [CrossRef] [PubMed]
- Berman, H.M.; Westbrook, J.; Feng, Z.; Gilliland, G.; Bhat, T.N.; Weissig, H.; Shindyalov, I.N.; Bourne, P.E. The Protein Data Bank. Nucleic Acids Res. 2000, 28, 235–242. [Google Scholar] [CrossRef]
- Yonehara, R.; Yamashita, E.; Nakagawa, A. Crystal structures of OprN and OprJ, outer membrane factors of multidrug tripartite efflux pumps of Pseudomonas aeruginosa. Proteins Struct. Funct. Bioinform. 2016, 84, 759–769. [Google Scholar] [CrossRef]
- Jumper, J.; Evans, R.; Pritzel, A.; Green, T.; Figurnov, M.; Ronneberger, O.; Tunyasuvunakool, K.; Bates, R.; Žídek, A.; Potapenko, A.; et al. Highly accurate protein structure prediction with AlphaFold. Nature 2021, 596, 583–589. [Google Scholar] [CrossRef]
- Greenidge, P.A.; Kramer, C.; Mozziconacci, J.-C.; Sherman, W. Improving docking results via reranking of ensembles of ligand poses in multiple X-ray protein conformations with MM-GBSA. J. Chem. Inf. Model. 2014, 54, 2697–2717. [Google Scholar] [CrossRef] [PubMed]
- Palacio-Rodríguez, K.; Lans, I.; Cavasotto, C.N.; Cossio, P. Exponential consensus ranking improves the outcome in docking and receptor ensemble docking. Sci. Rep. 2019, 9, 5142. [Google Scholar] [CrossRef] [PubMed]
- Bajusz, D.; Rácz, A.; Héberger, K. Comparison of data fusion methods as consensus scores for ensemble docking. Molecules 2019, 24, 2690. [Google Scholar] [CrossRef] [PubMed]
- Aron, Z.; Opperman, T.J. Optimization of a novel series of pyranopyridine RND efflux pump inhibitors. Curr. Opin. Microbiol. 2016, 33, 1–6. [Google Scholar] [CrossRef] [PubMed]
- Nakashima, R.; Sakurai, K.; Yamasaki, S.; Hayashi, K.; Nagata, C.; Hoshino, K.; Onodera, Y.; Nishino, K.; Yamaguchi, A. Structural basis for the inhibition of bacterial multidrug exporters. Nature 2013, 500, 102–106. [Google Scholar] [CrossRef] [PubMed]
- Nishino, K.; Yamasaki, S.; Nakashima, R.; Zwama, M.; Hayashi-Nishino, M. Function and Inhibitory Mechanisms of Multidrug Efflux Pumps. Front. Microbiol. 2021, 12, 737288. [Google Scholar] [CrossRef] [PubMed]
- Murakami, S.; Nakashima, R.; Yamashita, E.; Matsumoto, T.; Yamaguchi, A. Crystal structures of a multidrug transporter reveal a functionally rotating mechanism. Nature 2006, 443, 173–179. [Google Scholar] [CrossRef] [PubMed]
- Zwama, M.; Nishino, K. Ever-adapting rnd efflux pumps in gram-negative multidrug-resistant pathogens: A race against time. Antibiotics 2021, 10, 774. [Google Scholar] [CrossRef] [PubMed]
- Yáñez, O.; Alegría-Arcos, M.; Suardiaz, R.; Morales-Quintana, L.; Castro, R.I.; Palma-Olate, J.; Galarza, C.; Catagua-González, Á.; Rojas-Pérez, V.; Urra, G.; et al. Calcium-Alginate-Chitosan Nanoparticle as a Potential Solution for Pesticide Removal, a Computational Approach. Polymers 2023, 15, 3020. [Google Scholar] [CrossRef]
- Salvatore, C.A.; Moore, E.L.; Calamari, A.; Cook, J.J.; Michener, M.S.; O’Malley, S.; Miller, P.J.; Sur, C.; Williams, D.L.; Zeng, Z.; et al. Pharmacological properties of MK-3207, a potent and orally active calcitonin gene-related peptide receptor antagonist. J. Pharmacol. Exp. Ther. 2010, 333, 152–160. [Google Scholar] [CrossRef]
- Holland, S.J.; Pan, A.; Franci, C.; Hu, Y.; Chang, B.; Li, W.; Duan, M.; Torneros, A.; Yu, J.; Heckrodt, T.J.; et al. R428, a selective small molecule inhibitor of Axl kinase, blocks tumor spread and prolongs survival in models of metastatic breast cancer. Cancer Res. 2010, 70, 1544–1554. [Google Scholar] [CrossRef]
- Wu, Z.-S.; Liu, C.F.; Fu, B.; Chou, R.-H.; Yu, C. Suramin blocks interaction between human FGF1 and FGFR2 D2 domain and reduces downstream signaling activity. Biochem. Biophys. Res. Commun. 2016, 477, 861–867. [Google Scholar] [CrossRef] [PubMed]
- De Clercq, E. Suramin in the treatment of AIDS: Mechanism of action. Antivir. Res. 1987, 7, 1–10. [Google Scholar] [CrossRef] [PubMed]
- Bateman, A.; Martin, M.-J.; Orchard, S.; Magrane, M.; Ahmad, S.; Alpi, E.; Bowler-Barnett, E.H.; Britto, R.; Bye-A-Jee, H.; Cukura, A.; et al. UniProt: The Universal Protein Knowledgebase in 2023. Nucleic Acids Res. 2023, 51, D523–D531. [Google Scholar] [CrossRef]
- Li, W.; Godzik, A. Cd-hit: A fast program for clustering and comparing large sets of protein or nucleotide sequences. Bioinformatics 2006, 22, 1658–1659. [Google Scholar] [CrossRef] [PubMed]
- Chen, F. OrthoMCL-DB: Querying a comprehensive multi-species collection of ortholog groups. Nucleic Acids Res. 2006, 34, D363–D368. [Google Scholar] [CrossRef] [PubMed]
- Camacho, C.; Coulouris, G.; Avagyan, V.; Ma, N.; Papadopoulos, J.; Bealer, K.; Madden, T.L. BLAST+: Architecture and applications. BMC Bioinform. 2009, 10, 421. [Google Scholar] [CrossRef]
- Shanmugham, B.; Pan, A. Identification and Characterization of Potential Therapeutic Candidates in Emerging Human Pathogen Mycobacterium abscessus: A Novel Hierarchical In Silico Approach. PLoS ONE 2013, 8, e59126. [Google Scholar] [CrossRef]
- Zhang, R.; Ou, H.-Y.; Zhang, C.-T. DEG: A database of essential genes. Nucleic Acids Res. 2004, 32, D271–D272. [Google Scholar] [CrossRef]
- Chen, L.; Yang, J.; Yu, J.; Yao, Z.; Sun, L.; Shen, Y.; Jin, Q. VFDB: A reference database for bacterial virulence factors. Nucleic Acids Res. 2005, 33, D325–D328. [Google Scholar] [CrossRef]
- Pal, C.; Bengtsson-Palme, J.; Rensing, C.; Kristiansson, E.; Larsson, D.G.J. BacMet: Antibacterial biocide and metal resistance genes database. Nucleic Acids Res. 2014, 42, D737–D743. [Google Scholar] [CrossRef] [PubMed]
- Doytchinova, I.A.; Flower, D.R. VaxiJen: A server for prediction of protective antigens, tumour antigens and subunit vaccines. BMC Bioinform. 2007, 8, 4. [Google Scholar] [CrossRef]
- Wishart, D.S.; Feunang, Y.D.; Guo, A.C.; Lo, E.J.; Marcu, A.; Grant, J.R.; Sajed, T.; Johnson, D.; Li, C.; Sayeeda, Z.; et al. DrugBank 5.0: A major update to the DrugBank database for 2018. Nucleic Acids Res. 2018, 46, D1074–D1082. [Google Scholar] [CrossRef] [PubMed]
- Yu, N.Y.; Wagner, J.R.; Laird, M.R.; Melli, G.; Rey, S.; Lo, R.; Dao, P.; Sahinalp, S.C.; Ester, M.; Foster, L.J.; et al. PSORTb 3.0: Improved protein subcellular localization prediction with refined localization subcategories and predictive capabilities for all prokaryotes. Bioinformatics 2010, 26, 1608–1615. [Google Scholar] [CrossRef] [PubMed]
- Yu, C.-S.; Cheng, C.-W.; Su, W.-C.; Chang, K.-C.; Huang, S.-W.; Hwang, J.-K.; Lu, C.-H. CELLO2GO: A Web Server for Protein subCELlular LOcalization Prediction with Functional Gene Ontology Annotation. PLoS ONE 2014, 9, e99368. [Google Scholar] [CrossRef] [PubMed]
- Kanehisa, M.; Goto, S. KEGG: Kyoto encyclopedia of genes and genomes. Nucleic Acids Res. 2000, 28, 27–30. [Google Scholar] [CrossRef] [PubMed]
- Bustos, D.; Hernández-Rodríguez, E.W.; Castro, R.I.; Morales-Quintana, L. Structural Effects of pH Variation and Calcium Amount on the Microencapsulation of Glutathione in Alginate Polymers. Biomed Res. Int. 2022, 2022, 5576090. [Google Scholar] [CrossRef] [PubMed]
- Maestro, S. Schrödinger Release 2021-1; Schrödinger LLC: New York, NY, USA, 2021. [Google Scholar]
- Roos, K.; Wu, C.; Damm, W.; Reboul, M.; Stevenson, J.M.; Lu, C.; Dahlgren, M.K.; Mondal, S.; Chen, W.; Wang, L.; et al. OPLS3e: Extending Force Field Coverage for Drug-Like Small Molecules. J. Chem. Theory Comput. 2019, 15, 1863–1874. [Google Scholar] [CrossRef]
- Grant, B.J.; Skjærven, L.; Yao, X.Q. The Bio3D packages for structural bioinformatics. Protein Sci. 2021, 30, 20–30. [Google Scholar] [CrossRef] [PubMed]
- O’Boyle, N.M.; Banck, M.; James, C.A.; Morley, C.; Vandermeersch, T.; Hutchison, G.R. Open Babel: An Open chemical toolbox. J. Cheminform. 2011, 3, 33. [Google Scholar] [CrossRef]
- Corsello, S.; Bittker, J.A.; Liu, Z.; Gould, J.; McCarren, P.; Hirschman, J.E.; Johnston, S.E.; Vrcic, A.; Wong, B.; Khan, M.; et al. The Drug Repurposing Hub: A next-generation drug library and information resource. Nat. Med. 2017, 23, 405–408. [Google Scholar] [CrossRef]
- Glavier, M.; Puvanendran, D.; Salvador, D.; Decossas, M.; Phan, G.; Garnier, C.; Frezza, E.; Cece, Q.; Schoehn, G.; Picard, M.; et al. Antibiotic export by MexB multidrug efflux transporter is allosterically controlled by a MexA-OprM chaperone-like complex. Nat. Commun. 2020, 11, 4948. [Google Scholar] [CrossRef] [PubMed]
- Ding, J.; Tang, S.; Mei, Z.; Wang, L.; Huang, Q.; Hu, H.; Ling, M.; Wu, J. Vina-GPU 2.0: Further Accelerating AutoDock Vina and Its Derivatives with Graphics Processing Units. J. Chem. Inf. Model. 2023, 63, 1982–1998. [Google Scholar] [CrossRef]
- Wang, R.; Lai, L.; Wang, S. Further development and validation of empirical scoring functions for structure-based binding affinity prediction. J. Comput. Aided Mol. Des. 2002, 16, 11–26. [Google Scholar] [CrossRef] [PubMed]
- Trott, O.; Olson, A. Autodock vina: Improving the speed and accuracy of docking. J. Comput. Chem. 2019, 31, 455–461. [Google Scholar] [CrossRef]
- Johnson, E.R.; Keinan, S.; Mori-Sánchez, P.; Contreras-García, J.; Cohen, A.J.; Yang, W. Revealing noncovalent interactions. J. Am. Chem. Soc. 2010, 132, 6498–6506. [Google Scholar] [CrossRef] [PubMed]
- Contreras-García, J.; Yang, W.; Johnson, E.R. Analysis of hydrogen-bond interaction potentials from the electron density: Integration of noncovalent interaction regions. J. Phys. Chem. A 2011, 115, 12983–12990. [Google Scholar] [CrossRef] [PubMed]
- Contreras-García, J.; Johnson, E.R.; Keinan, S.; Chaudret, R.; Piquemal, J.-P.; Beratan, D.N.; Yang, W. NCIPLOT: A program for plotting noncovalent interaction regions. J. Chem. Theory Comput. 2011, 7, 625–632. [Google Scholar] [CrossRef]
- Boto, R.; Peccati, F.; Laplaza, R.; Quan, C.; Carbone, A.; Piquemal, J.-P.; Maday, Y.; Contreras-García, J. NCIPLOT4: Fast, Robust, and Quantitative Analysis of Noncovalent Interactions. J. Chem. Theory Comput. 2020, 16, 4150–4158. [Google Scholar] [CrossRef]





| Protocol | Number of Proteins Selected | Number of Proteins Discarded |
|---|---|---|
| Total of proteins (P. aeruginsa proteome) | 5564 | 0 |
| Remove paralogs sequences | 5453 | 111 |
| Remove sequences lower than 100 amino acids | 5120 | 333 |
| Remove sequences homologous to human proteom | 4344 | 776 |
| Remove sequences orthologous to microbiota in humans | 3360 | 984 |
| Identification of proteins essential for bacterial survival | 116 | 3244 |
| Uniprot ID | KEGG Orthology | KEGG Additional Information | Subcellular Localization Consensus | |
|---|---|---|---|---|
| Q9HTZ0 | Two-component system (Histidine Kinase) | Enzyme (Transferases) | Signal transduction | Cytoplasmatic Membrane |
| Q9I0Y7 | Outer Membrane Factor (Multidrug Efflux System) | Transporters | Antimicrobial resistance genes | Outer Membrane |
| Q9HXB9 * | ||||
| Q9I0V8 * | ||||
| Q9I006 * | ||||
| Q9HU26 * | ||||
| Q9HWH3 | ||||
| Q9HY88 | ||||
| Q9I0V5 | Membrane Fussion Protein (Multidrug Efflux System) | Transporters | Antimicrobial resistance genes | Cytoplasmatic Membrane |
| Q9I0Y9 | ||||
| Q9I3R2 | ||||
| G3XD25 | ||||
Disclaimer/Publisher’s Note: The statements, opinions and data contained in all publications are solely those of the individual author(s) and contributor(s) and not of MDPI and/or the editor(s). MDPI and/or the editor(s) disclaim responsibility for any injury to people or property resulting from any ideas, methods, instructions or products referred to in the content. |
© 2024 by the authors. Licensee MDPI, Basel, Switzerland. This article is an open access article distributed under the terms and conditions of the Creative Commons Attribution (CC BY) license (https://creativecommons.org/licenses/by/4.0/).
Share and Cite
Urra, G.; Valdés-Muñoz, E.; Suardiaz, R.; Hernández-Rodríguez, E.W.; Palma, J.M.; Ríos-Rozas, S.E.; Flores-Morales, C.A.; Alegría-Arcos, M.; Yáñez, O.; Morales-Quintana, L.; et al. From Proteome to Potential Drugs: Integration of Subtractive Proteomics and Ensemble Docking for Drug Repurposing against Pseudomonas aeruginosa RND Superfamily Proteins. Int. J. Mol. Sci. 2024, 25, 8027. https://doi.org/10.3390/ijms25158027
Urra G, Valdés-Muñoz E, Suardiaz R, Hernández-Rodríguez EW, Palma JM, Ríos-Rozas SE, Flores-Morales CA, Alegría-Arcos M, Yáñez O, Morales-Quintana L, et al. From Proteome to Potential Drugs: Integration of Subtractive Proteomics and Ensemble Docking for Drug Repurposing against Pseudomonas aeruginosa RND Superfamily Proteins. International Journal of Molecular Sciences. 2024; 25(15):8027. https://doi.org/10.3390/ijms25158027
Chicago/Turabian StyleUrra, Gabriela, Elizabeth Valdés-Muñoz, Reynier Suardiaz, Erix W. Hernández-Rodríguez, Jonathan M. Palma, Sofía E. Ríos-Rozas, Camila A. Flores-Morales, Melissa Alegría-Arcos, Osvaldo Yáñez, Luis Morales-Quintana, and et al. 2024. "From Proteome to Potential Drugs: Integration of Subtractive Proteomics and Ensemble Docking for Drug Repurposing against Pseudomonas aeruginosa RND Superfamily Proteins" International Journal of Molecular Sciences 25, no. 15: 8027. https://doi.org/10.3390/ijms25158027
APA StyleUrra, G., Valdés-Muñoz, E., Suardiaz, R., Hernández-Rodríguez, E. W., Palma, J. M., Ríos-Rozas, S. E., Flores-Morales, C. A., Alegría-Arcos, M., Yáñez, O., Morales-Quintana, L., D’Afonseca, V., & Bustos, D. (2024). From Proteome to Potential Drugs: Integration of Subtractive Proteomics and Ensemble Docking for Drug Repurposing against Pseudomonas aeruginosa RND Superfamily Proteins. International Journal of Molecular Sciences, 25(15), 8027. https://doi.org/10.3390/ijms25158027

