Bicalutamide Enhances Conventional Chemotherapy in In Vitro and In Vivo Assays Using Human and Canine Inflammatory Mammary Cancer Cell Lines
Abstract
1. Introduction
2. Results
2.1. Sensitivity Assay
2.2. Immunofluorescence
2.3. Cell Viability Assay
2.4. Analysis of Drug Interactions
2.5. Wound Healing Assay
2.6. Tumor Growth
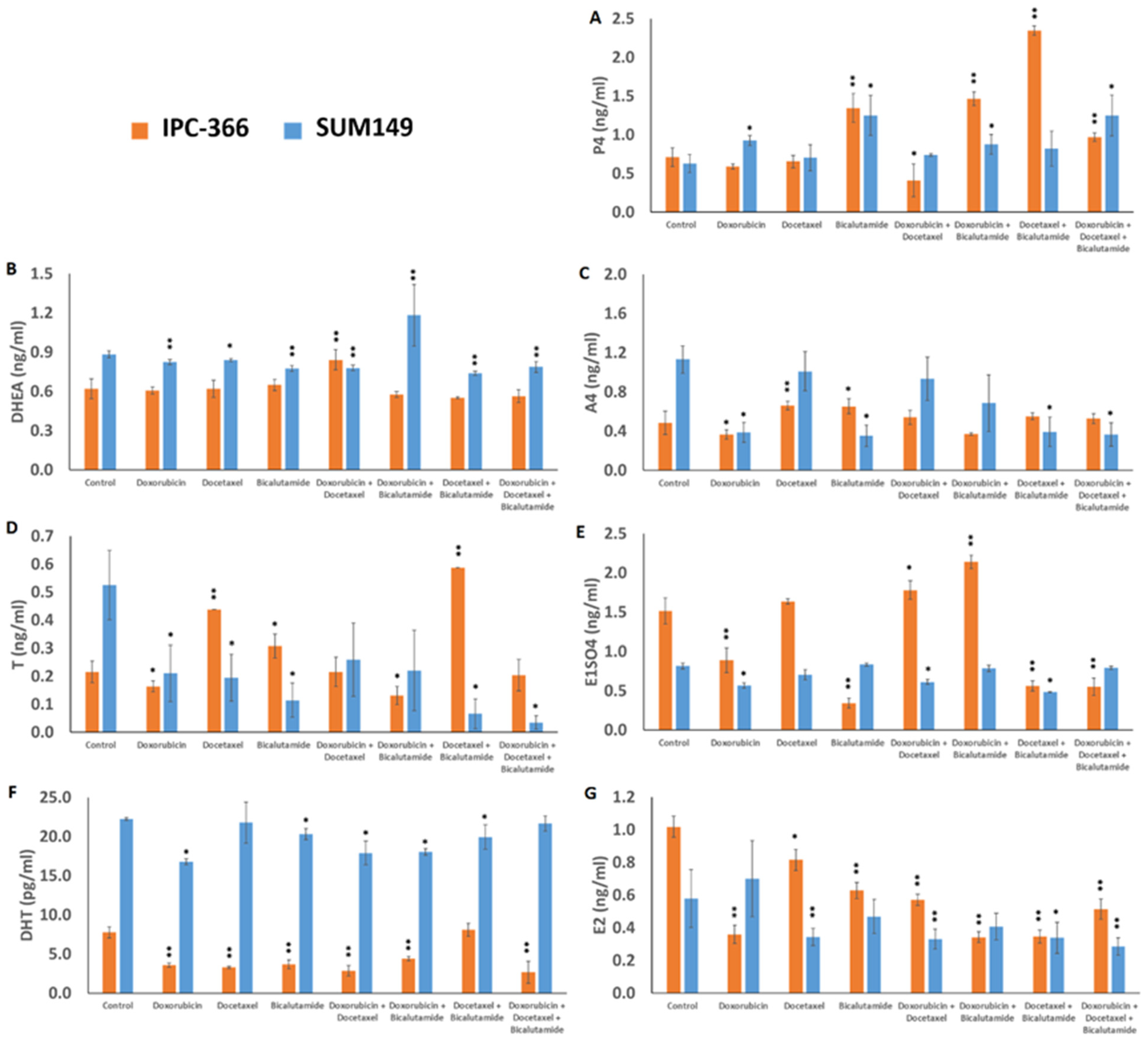
2.7. Hormone Concentrations in Culture Media, Serum, and Tumor Homogenates
3. Discussion
4. Materials and Methods
4.1. Inflammatory Mammary Cancer Cell Lines
4.2. Treatments
4.3. Sensitivity Assay
4.4. Immunofluorescence
4.5. Cell Viability Assay
4.6. Analysis of Drug Interactions
4.7. Wound Healing Assay
4.8. Experimental Animals and Treatments
4.9. Steroid Determinations in Culture Media, Serum and Tumor Homogenates
4.10. Statistics
5. Conclusions
Author Contributions
Funding
Institutional Review Board Statement
Informed Consent Statement
Data Availability Statement
Acknowledgments
Conflicts of Interest
References
- Peña, L.; Silvan, G.; Perez-Alenza, M.D.; Nieto, A.; Illera, J.C. Steroid hormone profile of canine inflammatory mammary carcinoma: A preliminary study. J. Steroid Biochem. Mol. Biol. 2003, 84, 211–216. [Google Scholar] [CrossRef]
- Yamauchi, H.; Woodward, W.A.; Valero, V.; Alvarez, R.H.; Lucci, A.; Buchholz, T.A.; Iwamoto, T.; Krishnamurthy, S.; Yang, W.; Reuben, J.M.; et al. Inflammatory breast cancer: What we know and what we need to Learn. Oncologist 2012, 17, 891–899. [Google Scholar] [CrossRef]
- Gonzalez-Angulo, A.M.; Hennessy, B.T.; Broglio, K.; Meric-Bernstam, F.; Cristofanilli, M.; Giordano, S.H.; Buchholz, T.A.; Sahin, A.; Singletary, S.E.; Buznar, A.U.; et al. Trends for inflammatory breast cancer: Is survival improving? Oncologist 2007, 12, 904–912. [Google Scholar] [CrossRef]
- Perez-Alenza, M.D.; Tabanera, E.; Peña, L. Inflammatory mammary carcinoma in dogs: 33 cases (1995–1999). J. Am. Vet. Med. Assoc. 2001, 219, 1110–1114. [Google Scholar] [CrossRef]
- Alonso-Miguel, D.; Valdivia, G.; Guerrera, D.; Perez-Alenza, M.D.; Pantelyushin, S.; Alonso-Diez, A.; Beiss, V.; Fiering, S.; Steinmetz, N.F.; Suarez-Redondo, M.; et al. Neoadjuvant in situ vaccination with cowpea mosaic virus as a novel therapy against canine inflammatory mammary cancer. J. Immunother. Cancer 2022, 10, e004044. [Google Scholar] [CrossRef]
- Damasceno, K.A.; dos Santos-Conceic, A.M.; Silva, L.P.; de Souza Cardoso, T.M.; da Costa Vieira-Filho, C.H.; Santos Figuerêdo, S.H.; Martins-Filho, E.; Gabriela, B.; de Faria, O.; Moreira da Costa-Neto, J.; et al. Factors related to the suppression of the antitumour immune response in female dogs with inflammatory mammary carcinoma. PLoS ONE 2021, 17, e0267648. [Google Scholar] [CrossRef]
- Raposo, T.P.; Arias-Pulido, H.; Chaher, N.; Fiering, S.N.; Argyle, D.J.; Prada, J.; Pires, I.; Queiroga, F.L. Comparative aspects of canine and human inflammatory breast cancer. Semin. Oncol. 2017, 44, 288–300. [Google Scholar] [CrossRef]
- Uva, P.; Aurisicchio, L.; Watters, J.; Loboda, A.; Kulkarni, A.; Castle, J.; Palombo, F.; Viti, V.; Mesiti, G.; Zappulli, V.; et al. Comparative expression pathway analysis of human and canine mammary tumors. BMC Genom. 2009, 27, 135. [Google Scholar] [CrossRef]
- Caceres, S.; Peña, L.; Silvan, G.; Illera, M.J.; Woodward, W.A.; Reuben, J.M.; Illera, J.C. Steroid Tumor Environment in Male and Female Mice Model of Canine and Human Inflammatory Breast Cancer. Biomed. Res. Int. 2016, 2016, 8909878. [Google Scholar] [CrossRef] [PubMed]
- Alonso-Diez, A.; Caceres, S.; Peña, L.; Crespo, B.; Illera, J.C. Anti-Angiogenic Treatments Interact with Steroid Secretion in Inflammatory Breast Cancer Triple Negative Cell Lines. Cancers 2021, 13, 3668. [Google Scholar] [CrossRef] [PubMed]
- Li, Y.; Kong, X.; Xuan, L.; Wang, Z.; Huang, Y.-H. Prolactin and endocrine therapy resistance in breast cancer: The next potential hope for breast cancer treatment. J. Cell Mol. Med. 2021, 25, 10327–10348. [Google Scholar] [CrossRef]
- Hensing, W.; Santa-Maria, C.A.; Peterson, L.L.; Sheng, J.Y. Landmark Trials in the Medical Oncology Management of Early Stage Breast Cancer. Semin. Oncol. 2021, 47, 278–292. [Google Scholar] [CrossRef]
- Valdivia, G.; Diez-Alonso, A.; Perez-Alenza, D.; Peña, L. From Conventional to Precision Therapy in Canine Mammary Cancer: A Comprehensive Review. Front. Vet. Sci. 2021, 8, 623800. [Google Scholar] [CrossRef]
- Nosalova, N.; Huniadi, M.; Horňáková, L.; Valenčáková, A.; Horňák, S.; Nagoos, K.; Vozar, J.; Cizkova, D. Canine Mammary Tumors: Classification, Biomarkers, Traditional and Personalized Therapies. Int. J. Mol. Sci. 2024, 25, 2891. [Google Scholar] [CrossRef]
- Marconato, L.; Romanelli, G.; Stefanello, D.; Giacoboni, C.; Bonfanti, U.; Bettini, G.; Finotello, R.; Verganti, S.; Valenti, P.; Ciaramella, L.; et al. Prognostic factors for dogs with mammary inflammatory carcinoma: 43 cases (2003–2008). J. Am. Vet. Med. Assoc. 2009, 235, 967–972. [Google Scholar] [CrossRef]
- Vazquez, E.; Lipovka, Y.; Cervantes-Arias, A.; Garibay-Escobar, A.; Haby, M.M.; Queiroga, F.L.; Velazquez, C. Canine Mammary Cancer: State of the Art and Future Perspectives. Animals 2023, 13, 3147. [Google Scholar] [CrossRef]
- Karayannopoulou, M.; Kaldrymidou, E.; Constantinidis, T.C.; Dessiris, A. Adjuvant Post-operative Chemotherapy in Bitches with Mammary Cancer. J. Vet. Med. Ser. A 2008, 48, 85–96. [Google Scholar] [CrossRef]
- Simon, D.; Schoenrock, D.; Baumgärtner, W.; Nolte, I. Postoperative Adjuvant Treatment of Invasive Malignant Mammary Gland Tumors in Dogs with Doxorubicin and Docetaxel. J. Vet. Int. Med. 2006, 20, 1184–1190. [Google Scholar] [CrossRef]
- Ferrari, P.; Scatena, C.; Ghilli, M.; Bargagna, I.; Lorenzini, G.; Nicolini, A. Molecular Mechanisms, Biomarkers and Emerging Therapies for Chemotherapy Resistant TNBC. Int. J. Mol. Sci. 2022, 23, 1665. [Google Scholar] [CrossRef] [PubMed]
- Tacar, O.; Sriamornsak, P.; Dass, C.R. Doxorubicin: An update on anticancer molecular action, toxicity and novel drug delivery systems. J. Pharm. Pharmacol. 2013, 65, 157–170. [Google Scholar] [CrossRef] [PubMed]
- Otter, M.; Csader, S.; Keiser, M.; Oswald, S. Expression and Functional Contribution of Different Organic Cation Transporters to the Cellular Uptake of Doxorubicin into Human Breast Cancer and Cardiac Tissue. Int. J. Mol. Sci. 2022, 23, 255. [Google Scholar] [CrossRef] [PubMed]
- Aldaz, A.; Schaiquevich, P.; Aramendia, J.M. A pharmacometrics model to define docetaxel target in early breast cancer. Br. J. Clin. Pharmacol. 2023, 89, 727–736. [Google Scholar] [CrossRef] [PubMed]
- Hansen, S.N.; Ehlers, N.S.; Zhu, S.; Thomsen, M.B.H.; Nielsen, R.L.; Liu, D.; Wang, G.; Hou, Y.; Zhang, X.; Xu, X.; et al. The stepwise evolution of the exome during acquisition of docetaxel resistance in breast cancer cells. BMC Genom. 2016, 9, 442. [Google Scholar] [CrossRef]
- Liu, J.; Chen, K.; Jiang, W.; Mao, K.; Li, S.; Kim, M.J.; Liu, Q.; Jacobs, L.K. Chemotherapy response and survival of inflammatory breast cancer by hormone receptor- and HER2-defined molecular subtypes approximation: An analysis from the National Cancer Database. J. Cancer Res. Clin. Oncol. 2017, 143, 161–168. [Google Scholar] [CrossRef] [PubMed]
- Abadie, J.; Nguyen, F.; Loussouarn, D.; Peña, L.; Gama, A.; Rieder, N.; Belousov, A.; Bemelmans, I.; Jaillardon, L.; Ibisch, C.; et al. Canine invasive mammary carcinomas as models of human breast cancer. Part 2: Immunophenotypes and prognostic significance. Breast Cancer Res. Treat. 2018, 167, 459–468. [Google Scholar] [CrossRef]
- Honma, N.; Matsuda, Y.; Mikami, T. Carcinogenesis of Triple-Negative Breast Cancer and Sex Steroid Hormones. Cancers 2021, 13, 2588. [Google Scholar] [CrossRef] [PubMed]
- Clemente, M.; de Andres, P.J.; Peña, L.; Perez-Alenza, M.D. Survival time of dogs with inflammatory mammary cancer treated with palliative therapy alone or palliative therapy plus chemotherapy. Vet. Rec. 2009, 165, 78–81. [Google Scholar] [CrossRef] [PubMed]
- Chainitikun, S.; Saleem, S.; Lim, B.; Valero, V.; Ueno, N.T. Update on systemic treatment for newly diagnosed inflammatory breast cancer. J. Adv. Res. 2021, 29, 1–12. [Google Scholar] [CrossRef] [PubMed]
- Lee, J.S.; Yost, S.E.; Yuan, Y. Neoadjuvant Treatment for Triple Negative Breast Cancer: Recent Progresses and Challenges. Cancers 2020, 12, 1404. [Google Scholar] [CrossRef]
- Loibl, S.; Müller, B.M.; Minckwitz, G.V.; Schwabe, M.; Roller, M.; Darb-Esfahani, S.; Ataseven, B.; Bois, A.; Fissler-Eckhoff, A.; Gerber, B.; et al. Androgen receptor expression in primary breast cancer and its predictive and prognostic value in patients treated with neoadjuvant chemotherapy. Breast Cancer Res. Treat. 2011, 130, 477–487. [Google Scholar] [CrossRef]
- Crespo, B.; Caceres, S.; Silvan, G.; Illera, M.J.; Illera, J.C. The inhibition of steroid hormones determines the fate of IPC-366 tumor cells, highlighting the crucial role of androgen production in tumor processes. Res. Vet. Sci. 2023, 161, 1–14. [Google Scholar] [CrossRef]
- Crespo, B.; Illera, J.C.; Silvan, G.; Lopez-Plaza, P.; Herrera, M.; Puente, M.; Diaz, C.; Illera, M.J.; Caceres, S. Androgen and Estrogen β Receptor Expression Enhances Efficacy of Antihormonal Treatments in Triple-Negative Breast Cancer Cell Lines. Int. J. Mol. Sci. 2024, 25, 1471. [Google Scholar] [CrossRef]
- Caceres, S.; Monsalve, B.; Peña, L.; Andres, P.J.; Alonso-Diez, A.; Illera, M.J.; Woodward, W.A.; Reuben, J.M.; Silvan, G.; Illera, J.C. In vitro and in vivo effect of flutamide on steroid hormone secretion in canine and human inflammatory breast cancer cell lines. Vet. Comp. Oncol. 2017, 16, 148–158. [Google Scholar] [CrossRef]
- Caceres, S.; Monsalve, B.; Alonso-Diez, A.; Crespo, B.; Illera, M.J.; Andres, P.J.; Silvan, G.; Illera, J.C. Blocking Estrogen Synthesis Leads to Different Hormonal Responses in Canine and Human Triple Negative Inflammatory Breast Cancer. Cancers 2021, 13, 4967. [Google Scholar] [CrossRef]
- McGhan, L.J.; McCullough, A.E.; Protheroe, C.A.; Dueck, A.C.; Lee, J.J.; Nunez-Nateras, R.; Castle, E.P.; Gray, R.J.; Wasif, N.; Goetz, M.P.; et al. Androgen Receptor-Positive Triple Negative Breast Cancer: A Unique Breast Cancer Subtype. Ann. Surg. Oncol. 2014, 21, 361–367. [Google Scholar] [CrossRef]
- McNamara, K.M.; Yoda, T.; Nurani, A.M.; Shibahara, Y.; Miki, Y.; Wang, L.; Nakamura, Y.; Suzuki, K.; Yang, Y.; Abe, E.; et al. Androgenic pathways in the progression of triple-negative breast carcinoma: A comparison between aggressive and non-aggressive subtypes. Breast Cancer Res. Treat. 2014, 145, 281–293. [Google Scholar] [CrossRef]
- Bleach, R.; Mcllroy, M. The Divergent Function of Androgen Receptor in Breast Cancer; Analysis of Steroid Mediators and Tumor Intracrinology. Front. Endocrinol. 2018, 26, 594. [Google Scholar] [CrossRef]
- Kolyvas, E.A.; Caldas, C.; Kelly, K.; Ahmad, S.S. Androgen receptor function and targeted therapeutics across breast cancer subtypes. Breast Cancer Res. 2022, 24, 79. [Google Scholar] [CrossRef]
- Gucalp, A.; Tolaney, S.; Isakoff, S.J.; Ingle, J.N.; Liu, M.C.; Carey, L.A.; Blackwell, K.; Rugo, H.; Nabell, L.; Forero, A.; et al. Phase II Trial of Bicalutamide in Patients with Androgen Receptor–Positive, Estrogen Receptor–Negative Metastatic Breast Cancer. Clin. Cancer Res. 2013, 19, 5505–5512. [Google Scholar] [CrossRef] [PubMed]
- Crawford, E.D.; Schellhammer, P.F.; McLeod, D.G.; Moul, J.W.; Higano, C.S.; Shore, N.; Denis, L.; Iversen, P.; Eisenberger, M.A.; Labrie, F. Androgen Receptor Targeted Treatments of Prostate Cancer: 35 Years of Progress with Antiandrogens. J. Urol. 2018, 200, 956–966. [Google Scholar] [CrossRef] [PubMed]
- Gerratana, L.; Basile, D.; Buono, G.; Placido, S.D.; Giuliano, M.; Minichillo, S.; Coinu, A.; Martorana, F.; Santo, I.; Mastro, L.; et al. Androgen receptor in triple negative breast cancer: A potential target for the targetless subtype. Cancer Treat. Rev. 2018, 68, 102–110. [Google Scholar] [CrossRef]
- Chou, T.-C. The mass-action law based algorithm for cost-effective approach for cancer drug discovery and development. Am. J. Cancer Res. 2011, 1, 925–954. [Google Scholar] [PubMed]
- Ni, M.; Chen, Y.; Lim, E.; Wimberly, H.; Bailey, S.T.; Imai, Y.; Rimm, D.L.; Liu, X.S.; Brown, M. Targeting Androgen Receptor in Estrogen Receptor-Negative Breast Cancer. Cancer Cell 2011, 20, 119–131. [Google Scholar] [CrossRef]
- Giovannelli, P.; Di Donato, M.; Auricchio, F.; Castoria, G.; Migliaccio, A. Androgens Induce Invasiveness of Triple Negative Breast Cancer Cells Through AR/Src/PI3-K Complex Assembly. Sci. Rep. 2019, 9, 4490. [Google Scholar] [CrossRef]
- Ravaioli, S.; Maltoni, R.; Pasculli, B.; Parrella, P.; Giudetti, A.M.; Vergara, D.; Tumedei, M.M.; Pirini, F.; Bravaccini, S. Androgen receptor in breast cancer: The “5W” questions. Front. Endocrinol. 2022, 13, 977331. [Google Scholar] [CrossRef]
- Capper, C.P.; Rae, J.M.; Auchus, R.J. The Metabolism, Analysis, and Targeting of Steroid Hormones in Breast and Prostate Cancer. Horm. Canc. 2016, 7, 149–164. [Google Scholar] [CrossRef]
- Kucuk, O.; Fisher, E.; Moinpour, C.M.; Coleman, D.; Hussain, M.H.; Sartor, A.O.; Chatta, G.S.; Lowe, B.A.; Eisenberger, M.A.; Crawford, E.D. Phase II trial of bicalutamide in patients with advanced prostate cancer in whom conventional hormonal therapy failed: A Southwest Oncology Group study (SWOG 9235). Urology 2001, 58, 53–58. [Google Scholar] [CrossRef]
- Andres, P.J.; Caceres, S.; Illera, J.C.; Crespo, B.; Silvan, G.; Queiroga, F.L.; Illera, M.J.; Perez-Alenza, M.D.; Peña, L. Hormonal Homologies between Canine Mammary Cancer and Human Breast Cancer in a Series of Cases. Vet. Sci. 2022, 9, 395. [Google Scholar] [CrossRef] [PubMed]
- Caceres, S.; Peña, L.; Andres, P.J.; Illera, M.J.; Lopez, M.S.; Woodward, W.A.; Reuben, J.M.; Illera, J.C. Establishment and Characterization of a New Cell Line of Canine Inflammatory Mammary Cancer: IPC-366. PLoS ONE 2015, 10, e0122277. [Google Scholar] [CrossRef]
- Press, M.F.; Sauter, G.; Buyse, M.; Bernstein, L.; Guzman, R.; Santiago, A.; Villalobos, I.E.; Eiermann, W.; Pienkowski, T.; Martin, M.; et al. Alteration of Topoisomerase II–Alpha Gene in Human Breast Cancer: Association with Responsiveness to Anthracycline-Based Chemotherapy. J. Clin. Oncol. 2011, 29, 859–867. [Google Scholar] [CrossRef] [PubMed]
- Martin, M.; Ramos-Medina, R.; Bernat, R.; García-Saenz, J.A.; Monte-Millan, M.; Alvarez, E.; Cebollero, M.; Moreno, F.; Gonzalez-Haba, E.; Bueno, O.; et al. Activity of docetaxel, carboplatin, and doxorubicin in patient-derived triple-negative breast cancer xenografts. Sci. Rep. 2021, 11, 7064. [Google Scholar] [CrossRef] [PubMed]
- Mohan, U.P.; Pichiah, T.; Iqbal, S.T.A.; Arunachalam, S. Mechanisms of doxorubicin-mediated reproductive toxicity—A review. Rep. Toxicol. 2021, 102, 80–89. [Google Scholar] [CrossRef]
- Torres-Adorno, A.M.; Lee, J.; Kogawa, T.; Ordentlich, P.; Tripathy, D.; Lim, B.; Ueno, N.T. Histone Deacetylase Inhibitor Enhances the Efficacy of MEK Inhibitor through NOXA-Mediated MCL1 Degradation in Triple-Negative and Inflammatory Breast Cancer. Clin. Cancer Res. 2017, 23, 4780–4792. [Google Scholar] [CrossRef] [PubMed]
- Bodai, B.; Tuso, P. Breast Cancer Survivorship: A Comprehensive Review of Long-Term Medical Issues and Lifestyle Recommendations. Perm. J. 2015, 19, 48–79. [Google Scholar] [CrossRef]
- Niu, J.; Straubinger, R.M.; Mager, D.E. Pharmacodynamic Drug-Drug Interactions. Clin. Pharmacol. Ther. 2020, 105, 1395–1406. [Google Scholar] [CrossRef]
- Trabert, B.; Sherman, M.E.; Kannan, N.; Stanczyk, F.Z. Progesterone and breast cancer. Endocr. Rev. 2020, 41, 320–344. [Google Scholar] [CrossRef]
- Rhanine, Y.; Bonnefoi, H.; Goncalves, A.; Debled, M.; Le Moulec, S.; Bonichon, N.; Macgrogan, G.; Arnedos, M.; Dubroca-Dehez, B.; Grellety, T. Efficacy of antiandrogens in androgen receptor-positive triple-negative metastatic breast cancer: Real-life data. Breast 2024, 73, 103667. [Google Scholar] [CrossRef] [PubMed]
- Osguthorpe, D.J.; Hagler, A.T. Mechanism of Androgen Receptor Antagonism by Bicalutamide in the Treatment of Prostate Cancer. Biochemistry 2011, 50, 4105–4113. [Google Scholar] [CrossRef]
- Rajarajan, S.; Snijesh, V.P.; Anupama, C.E.; Nair, M.G.; Mavatkar, A.D.; Naidu, C.M.; Patil, S.; Nimbalkar, V.P.; Alexander, A.; Pillai, M.; et al. An androgen receptor regulated gene score is associated with epithelial to mesenchymal transition features in triple negative breast cancers. Transl. Oncol. 2023, 37, 101761. [Google Scholar] [CrossRef]
- Kotsopoulos, J.; Narod, S.A. Androgens and breast cancer. Steroids 2012, 77, 1–9. [Google Scholar] [CrossRef]
- Julovi, S.M.; Martin, J.L.; Baxter, R.C. Nuclear Insulin-Like Growth Factor Binding Protein-3 As a Biomarker in Triple-Negative Breast Cancer Xenograft Tumors: Effect of Targeted Therapy and Comparison with Chemotherapy. Front. Endocrinol. 2018, 22, 120. [Google Scholar] [CrossRef] [PubMed]
- Hather, G.; Liu, R.; Bandi, S.; Mettetal, J.; Manfredi, M.; Shyu, W.-C.; Donelan, J.; Chakravarty, A. Growth rate analysis and efficient experimental design for tumor xenograft studies. Cancer Inform. 2014, 13 (Suppl. S4), 65–72. [Google Scholar] [CrossRef] [PubMed]
- Illera, J.C.; Caceres, S.; Peña, L.; de Andres, P.J.; Monsalve, B.; Illera, M.J.; Woodward, W.A.; Reuben, J.M.; Silvan, G. Steroid hormone secretion in inflammatory breast cancer cell lines. Horm. Mol. Biol. Clin. Investig. 2015, 24, 137–145. [Google Scholar] [CrossRef] [PubMed]









| Range of Combination Index (CI) | Description |
|---|---|
| <0.1 | Very strong synergism |
| 0.1–0.3 | Strong synergism |
| 0.3–0.7 | Synergism |
| 0.7–0.85 | Moderate synergism |
| 0.85–0.90 | Slight synergism |
| 0.90–1.10 | Nearly additive |
| 1.10–1.20 | Slight antagonism |
| 1.20–1.45 | Moderate antagonism |
| 1.45–3.3 | Antagonism |
| 3.3–10 | Strong antagonism |
| >10 | Very strong antagonism |
| Hormone | Abbreviation | Antibody Code | Dilution |
|---|---|---|---|
| Progesterone | P4 | CL425 | 1/60,000 |
| Estrone sulphate | E1SO4 | R522-2 | 1/12,000 |
| 17β-estradiol | E2 | C6-E91 | 1/4000 |
| Testosterone | T | R156 | 1/8000 |
| Androstenedione | A4 | C9111 | 1/5000 |
| Dihydroepiandrostenedione | DHEA | DE5761 | |
| Dihydrotestosterone | DHT | DEH3344 |
Disclaimer/Publisher’s Note: The statements, opinions and data contained in all publications are solely those of the individual author(s) and contributor(s) and not of MDPI and/or the editor(s). MDPI and/or the editor(s) disclaim responsibility for any injury to people or property resulting from any ideas, methods, instructions or products referred to in the content. |
© 2024 by the authors. Licensee MDPI, Basel, Switzerland. This article is an open access article distributed under the terms and conditions of the Creative Commons Attribution (CC BY) license (https://creativecommons.org/licenses/by/4.0/).
Share and Cite
Crespo, B.; Illera, J.C.; Silvan, G.; Lopez-Plaza, P.; Herrera de la Muela, M.; de la Puente Yague, M.; Diaz del Arco, C.; de Andrés, P.J.; Illera, M.J.; Caceres, S. Bicalutamide Enhances Conventional Chemotherapy in In Vitro and In Vivo Assays Using Human and Canine Inflammatory Mammary Cancer Cell Lines. Int. J. Mol. Sci. 2024, 25, 7923. https://doi.org/10.3390/ijms25147923
Crespo B, Illera JC, Silvan G, Lopez-Plaza P, Herrera de la Muela M, de la Puente Yague M, Diaz del Arco C, de Andrés PJ, Illera MJ, Caceres S. Bicalutamide Enhances Conventional Chemotherapy in In Vitro and In Vivo Assays Using Human and Canine Inflammatory Mammary Cancer Cell Lines. International Journal of Molecular Sciences. 2024; 25(14):7923. https://doi.org/10.3390/ijms25147923
Chicago/Turabian StyleCrespo, Belen, Juan Carlos Illera, Gema Silvan, Paula Lopez-Plaza, María Herrera de la Muela, Miriam de la Puente Yague, Cristina Diaz del Arco, Paloma Jimena de Andrés, Maria Jose Illera, and Sara Caceres. 2024. "Bicalutamide Enhances Conventional Chemotherapy in In Vitro and In Vivo Assays Using Human and Canine Inflammatory Mammary Cancer Cell Lines" International Journal of Molecular Sciences 25, no. 14: 7923. https://doi.org/10.3390/ijms25147923
APA StyleCrespo, B., Illera, J. C., Silvan, G., Lopez-Plaza, P., Herrera de la Muela, M., de la Puente Yague, M., Diaz del Arco, C., de Andrés, P. J., Illera, M. J., & Caceres, S. (2024). Bicalutamide Enhances Conventional Chemotherapy in In Vitro and In Vivo Assays Using Human and Canine Inflammatory Mammary Cancer Cell Lines. International Journal of Molecular Sciences, 25(14), 7923. https://doi.org/10.3390/ijms25147923

