Temporal Evolution of Defects and Related Electric Properties in He-Irradiated YBa2Cu3O7−δ Thin Films
Abstract
1. Introduction
2. Results and Discussion
2.1. Defect Formation and Relaxation during and after He+ Irradiation
2.2. Defect Relaxation during Thermal Annealing
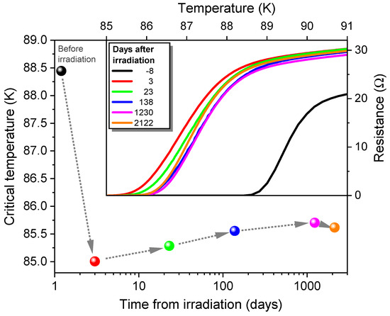
2.3. Long-Term Stability of Nanopatterned YBCO Films
3. Methods and Materials
3.1. YBCO Thin Film Production
3.2. Irradiation of Thin Films
3.3. Annealing of Thin Films
3.4. Electrical Characterization of Thin Films
4. Conclusions
Author Contributions
Funding
Institutional Review Board Statement
Informed Consent Statement
Data Availability Statement
Acknowledgments
Conflicts of Interest
References
- Kahlmann, F.; Engelhardt, A.; Schubert, J.; Zander, W.; Buchal, C.; Hollkott, J. Superconductor-normal-superconductor Josephson junctions fabricated by oxygen implantation into YBa2Cu3O7−δ. Appl. Phys. Lett. 1998, 73, 2354. [Google Scholar] [CrossRef]
- Katz, A.S.; Sun, A.G.; Woods, S.I.; Dynes, R.C. Planar thin film YBa2Cu3O7−δ Josephson junctions via nanolithography and ion damage. Appl. Phys. Lett. 1998, 72, 2032. [Google Scholar] [CrossRef]
- Bergeal, N.; Grison, X.; Lesueur, J.; Faini, G.; Aprili, M.; Contour, J.P. High-quality planar high-Tc Josephson junctions. Appl. Phys. Lett. 2005, 87, 102502. [Google Scholar] [CrossRef]
- Cybart, S.A.; Cho, E.Y.; Wong, T.J.; Wehlin, B.H.; Ma, M.K.; Huynh, C.; Dynes, R.C. Nano Josephson superconducting tunnel junctions in YBa2Cu3O7−δ directly patterned with a focused helium ion beam. Nat. Nanotechnol. 2015, 10, 598. [Google Scholar] [CrossRef]
- Müller, B.; Karrer, M.; Limberger, F.; Becker, M.; Schröppel, B.; Burkhardt, C.J.; Kleiner, R.; Goldobin, E.; Koelle, D. Josephson Junctions and SQUIDs Created by Focused Helium-Ion-Beam Irradiation of YBa2Cu3O7. Phys. Rev. Appl. 2019, 11, 044082. [Google Scholar] [CrossRef]
- Bergeal, N.; Lesueur, J.; Faini, G.; Aprili, M.; Contour, J.P. High Tc superconducting quantum interference devices made by ion irradiation. Appl. Phys. Lett. 2006, 89, 112515. [Google Scholar] [CrossRef]
- Li, H.; Cai, H.; Cho, E.Y.; McCoy, S.J.; Wang, Y.T.; LeFebvre, J.C.; Zhou, Y.W.; Cybart, S.A. High-transition-temperature nanoscale superconducting quantum interference devices directly written with a focused helium ion beam. Appl. Phys. Lett. 2020, 116, 070601. [Google Scholar] [CrossRef]
- Ouanani, S.; Kermorvant, J.; Ulysse, C.; Malnou, M.; Lemaître, Y.; Marcilhac, B.; Feuillet-Palma, C.; Bergeal, N.; Crété, D.; Lesueur, J. High-Tc superconducting quantum interference filters (SQIFs) made by ion irradiation. Supercond. Sci. Technol. 2016, 29, 094002. [Google Scholar] [CrossRef]
- Swiecicki, I.; Ulysse, C.; Wolf, T.; Bernard, R.; Bergeal, N.; Briatico, J.; Faini, G.; Lesueur, J.; Villegas, J.E. Strong field-matching effects in superconducting YBa2Cu3O7−δ films with vortex energy landscapes engineered via masked ion irradiation. Phys. Rev. B 2012, 85, 224502. [Google Scholar] [CrossRef]
- Trastoy, J.; Malnou, M.; Ulysse, C.; Bernard, R.; Bergeal, N.; Faini, G.; Lesueur, J.; Briatico, J.; Villegas, J.E. Freezing and thawing of artificial ice by thermal switching of geometric frustration in magnetic flux lattices. Nat. Nanotechnol. 2014, 9, 710. [Google Scholar] [CrossRef]
- Haag, L.T.; Zechner, G.; Lang, W.; Dosmailov, M.; Bodea, M.A.; Pedarnig, J.D. Strong vortex matching effects in YBCO films with periodic modulations of the superconducting order parameter fabricated by masked ion irradiation. Physica C 2014, 503, 75. [Google Scholar] [CrossRef]
- Zechner, G.; Lang, W.; Dosmailov, M.; Bodea, M.A.; Pedarnig, J.D. Transverse vortex commensurability effect and sign change of the Hall voltage in superconducting YBa2Cu3O7−δ thin films with a nanoscale periodic pinning landscape. Phys. Rev. B 2018, 98, 104508. [Google Scholar] [CrossRef]
- Aichner, B.; Müller, B.; Karrer, M.; Misko, V.R.; Limberger, F.; Mletschnig, K.L.; Dosmailov, M.; Pedarnig, J.D.; Nori, F.; Kleiner, R.; et al. Ultradense Tailored Vortex Pinning Arrays in Superconducting YBa2Cu3O7−δ Thin Films Created by Focused He Ion Beam Irradiation for Fluxonics Applications. ACS Appl. Nano Mater. 2019, 2, 5108. [Google Scholar] [CrossRef]
- Karrer, M.; Aichner, B.; Wurster, K.; Magén, C.; Schmid, C.; Hutt, R.; Budinská, B.; Dobrovolskiy, O.V.; Kleiner, R.; Lang, W.; et al. Vortex matching at 6 T in YBa2Cu3O7−δ thin films by imprinting a 20-nm periodic pinning array with a focused helium-ion beam. Phys. Rev. Appl. 2024, 22, 014043. [Google Scholar] [CrossRef]
- Lesueur, J.; Dumoulin, L.; Quillet, S.; Radcliffe, J. Ion-beam induced metal insulator transition in YBCO films. J. Alloys Compd. 1993, 195, 527. [Google Scholar] [CrossRef]
- Civale, L. Vortex pinning and creep in high-temperature superconductors with columnar defects. Supercond. Sci. Technol. 1997, 10, A11. [Google Scholar] [CrossRef]
- Tolpygo, S.K.; Lin, J.Y.; Gurvitch, M.; Hou, S.Y.; Phillips, J.M. Effect of oxygen defects on transport properties and Tc of YBa2Cu3O6+x: Displacement energy for plane and chain oxygen and implications for irradiation-induced resistivity and Tc suppression. Phys. Rev. B 1996, 53, 12462. [Google Scholar] [CrossRef]
- Meyer, O.; Kroener, T.; Remmel, J.; Geerk, J.; Linker, G.; Strehlau, B.; Wolf, T. Transport and structure of ion irradiated HTSC thin films. Nucl. Instr. Meth. Phys. Res. B 1992, 65, 539. [Google Scholar] [CrossRef]
- Lang, W.; Richter, H.; Marksteiner, M.; Siraj, K.; Bodea, M.A.; Pedarnig, J.D.; Grigoropoulos, C.; Bäuerle, D.; Hasenfuss, C.; Palmetshofer, L.; et al. Masked ion beam irradiation of high-temperature superconductors: Patterning of nano-size regions with high point-defect density. Int. J. Nanotechnol. 2009, 6, 704. [Google Scholar] [CrossRef]
- Karrer, M.; Wurster, K.; Linek, J.; Meichsner, M.; Kleiner, R.; Goldobin, E.; Koelle, D. Temporal evolution of electric transport properties of YBa2Cu3O7−δ Josephson junctions produced by focused-helium-ion-beam irradiation. Phys. Rev. Appl. 2024, 21, 014065. [Google Scholar] [CrossRef]
- Cho, E.Y.; Kouperine, K.; Zhuo, Y.; Dynes, R.C.; Cybart, S.A. The effects of annealing a 2-dimensional array of ion-irradiated Josephson junctions. Supercond. Sci. Technol. 2016, 29, 094004. [Google Scholar] [CrossRef]
- Markowitsch, W.; Steiger, B.; Lang, W.; Bodea, M.A.; Pedarnig, J.D. Optically induced changes and long-term relaxations of resistivity and critical temperature in He+ irradiated YBa2Cu3Ox. Thin Solid Film. 2010, 518, 7070. [Google Scholar] [CrossRef]
- Arias, D.; Sefrioui, Z.; Loos, G.D.; Agullo-Rueda, F.; Garcia-Barriocanal, J.; Leon, C.; Santamaria, J. Pair breaking by chain oxygen disorder in light-ion irradiated YBa2Cu3Ox thin films. Phys. Rev. B 2003, 68, 94515. [Google Scholar] [CrossRef]
- Wang, X.Z.; Hellebrand, B.; Bäuerle, D.; Strecker, M.; Wortmann, G.; Lang, W. Oxygen ordering and superconductivity in GdBaSrCu3O7−x. Physica C 1995, 242, 55. [Google Scholar] [CrossRef]
- Barbour, J.C.; Venturini, E.L.; Ginley, D.S.; Kwak, J.F. Irradiation Effects in High-Temperature Superconductors. Nucl. Instr. Meth. Phys. Res. Sect. B 1992, 65, 531. [Google Scholar] [CrossRef]
- Liu, J.; Zhang, Z.; Wu, J.; Ma, K.; Zhao, Y.; Yu, N.; Hsieh, P.; Chu, W.K. Fluorine and hydrogen ion irradiation in YBaCuO superconductor. Nucl. Instrum. Methods Phys. Res. Sect. B 1991, 62, 74. [Google Scholar] [CrossRef]
- Iliffe, W.; Peng, N.; Brittles, G.; Bateman, R.; Webb, R.; Grovenor, C.; Speller, S. In-situ measurements of the effect of radiation damage on the superconducting properties of coated conductors. Supercond. Sci. Technol. 2021, 34, 09LT01. [Google Scholar] [CrossRef]
- Jaouen, C.; Delafond, J.; Riviere, J.P. Crystalline to amorphous transformation in NiAl: Ion irradiation studies in relation to cascade parameters. J. Phys. F Met. Phys. 1987, 17, 335. [Google Scholar] [CrossRef]
- Miranda, R.M.N.; Vasconcellos, M.A.Z.; Baibich, M.N.; Borges da Costa, J.A.T. Depth dependence of electrical resistivity transformations by ion beams. Nucl. Instrum. Methods Phys. Res. Sect. B 1997, 127–128, 132. [Google Scholar] [CrossRef]
- Karpe, N. Using electrical resistivity to analyze the kinetics of irradiation induced amorphization of metals. Nucl. Instrum. Methods Phys. Res. Sect. B 1995, 95, 485. [Google Scholar] [CrossRef]
- Christian, J. The Theory of Transformations in Metals and Alloys; Pergamon: Oxford, UK, 2002. [Google Scholar]
- Erb, A.; Greb, B.; Müller-Vogt, G. In-situ resistivity measurements during the oxygenation of YBa2Cu3O7−δ and Gd0.8Y0.2Ba2Cu3O7−δ single crystals. Physica C 1996, 259, 83. [Google Scholar] [CrossRef]
- Matsui, S.; Matsutera, H.; Yoshitake, T.; Fujita, J.; Ichihashi, T.; Mito, M. Ion and electron beam irradiation effects for high-Tc superconducting thin films. Radiat. Eff. Defects Solids 1992, 124, 81. [Google Scholar] [CrossRef]
- Mesarwi, A.; Levenson, L.L.; Ignatiev, A. Oxygen desorption from YBa2Cu3O7−x and Bi2CaSr2Cu2O8+δ superconductors. J. Appl. Phys. 1991, 70, 1591. [Google Scholar] [CrossRef]
- Zhang, H.; Ye, H.; Du, K.; Huang, X.Y.; Wang, Z.H. Electric resistance relaxation and oxygen diffusion in melt-texture grown YBCO bulk post-annealed at high temperature. Supercond. Sci. Technol. 2002, 15, 1268. [Google Scholar] [CrossRef]
- Diosa, J.E.; Vargas, R.A.; Mellander, B.E. Oxygen diffusion in Y1−xPrxBa2Cu3O7−δ observed by resistivity measurements. J. Phys. Condens. Matter 1997, 9, 4621. [Google Scholar] [CrossRef]
- Cui, F.Z.; Xie, J.; Li, H.D. Preferential radiation damage of the oxygen sublattice in YBa2Cu3O7: A molecular-dynamics simulation. Phys. Rev. B 1992, 46, 11182. [Google Scholar] [CrossRef] [PubMed]
- Kirsanov, V.V.; Musin, N.N.; Shamarina, H.J. Displacement threshold energy in high-temperature superconductors. II. Thresholds for O, Ba and Y in YBa2Cu3O7. Phys. Lett. A 1992, 171, 223. [Google Scholar] [CrossRef]
- Valles, J.M.; White, A.E.; Short, K.T.; Dynes, R.C.; Garno, J.P.; Levi, A.F.J.; Anzlowar, M.; Baldwin, K. Ion-beam-induced metal-insulator transition in YBa2Cu3O7−δ: A mobility edge. Phys. Rev. B 1989, 39, 11599. [Google Scholar] [CrossRef] [PubMed]
- Chen, Y.X.; Zhang, J.; Wu, Z. Oxygen diffusion in c-axis-oriented YBa2Cu3Ox films. Supercond. Sci. Technol. 1992, 5, 463. [Google Scholar] [CrossRef]
- Rothman, S.J.; Routbort, J.L.; Welp, U.; Baker, J.E. Anisotropy of oxygen tracer diffusion in single-crystal YBa2Cu3O7−δ. Phys. Rev. B 1991, 44, 2326. [Google Scholar] [CrossRef]
- Tu, K.N.; Yeh, N.C.; Park, S.I.; Tsuei, C.C. Diffusion of oxygen in superconducting YBa2Cu3O7−δ ceramic oxides. Phys. Rev. B 1989, 39, 304. [Google Scholar] [CrossRef] [PubMed]
- Zaluzhnyy, I.A.; Goteti, U.; Stoychev, B.K.; Basak, R.; Lamb, E.S.; Kisiel, E.; Zhou, T.; Cai, Z.; Holt, M.V.; Beeman, J.W.; et al. Structural Changes in YBa2Cu3O7 Thin Films Modified with He+-Focused Ion Beam for High-Temperature Superconductive Nanoelectronics. ACS Appl. Nano Mater. 2024. [Google Scholar] [CrossRef]
- Gherardi, L.; Metra, P.; Vellego, G.; Radaelli, P. Critical current decay with ageing for polycrystalline YBCO wires and rings. Cryogenics 1990, 30, 576. [Google Scholar] [CrossRef]
- Behner, H.; Rührnschopf, K.; Wedler, G.; Rauch, W. Surface reactions and long time stability of YBCO thin films. Phys. C 1993, 208, 419. [Google Scholar] [CrossRef]
- Sirena, M.; Matzen, S.; Bergeal, N.; Lesueur, J.; Faini, G.; Bernard, R.; Briatico, J.; Crété, D.G. Annealing of ion irradiated high Tc Josephson junctions studied by numerical simulations. J. Appl. Phys. 2009, 105, 023910. [Google Scholar] [CrossRef]
- Cybart, S.A.; Roediger, P.; Chen, K.; Parker, J.M.; Cho, E.Y.; Wong, T.J.; Dynes, R.C. Temporal Stability of Y–Ba–Cu–O Nano Josephson Junctions from Ion Irradiation. IEEE Trans. Appl. Supercond. 2013, 23, 1100103. [Google Scholar] [CrossRef]
- Bäuerle, D. Laser Processing and Chemistry; Springer Science & Business Media: Berlin/Heidelberg, Germany, 2013. [Google Scholar]








| Parameter | Bridge 2 (T = 100 K) | Bridge 1 (T = 295 K) |
|---|---|---|
| (min) | 5.83 ± 0.02 | 21.60 ± 0.08 |
| r | 422 ± 10 | 7.06 ± 0.06 |
| d | 0.294 ± 0.003 | 0.294 |
| ( cm−2) | 0.293 ± 0.001 | 0.825 ± 0.003 |
Disclaimer/Publisher’s Note: The statements, opinions and data contained in all publications are solely those of the individual author(s) and contributor(s) and not of MDPI and/or the editor(s). MDPI and/or the editor(s) disclaim responsibility for any injury to people or property resulting from any ideas, methods, instructions or products referred to in the content. |
© 2024 by the authors. Licensee MDPI, Basel, Switzerland. This article is an open access article distributed under the terms and conditions of the Creative Commons Attribution (CC BY) license (https://creativecommons.org/licenses/by/4.0/).
Share and Cite
Keppert, S.; Aichner, B.; Rohringer, P.; Bodea, M.-A.; Müller, B.; Karrer, M.; Kleiner, R.; Goldobin, E.; Koelle, D.; Pedarnig, J.D.; et al. Temporal Evolution of Defects and Related Electric Properties in He-Irradiated YBa2Cu3O7−δ Thin Films. Int. J. Mol. Sci. 2024, 25, 7877. https://doi.org/10.3390/ijms25147877
Keppert S, Aichner B, Rohringer P, Bodea M-A, Müller B, Karrer M, Kleiner R, Goldobin E, Koelle D, Pedarnig JD, et al. Temporal Evolution of Defects and Related Electric Properties in He-Irradiated YBa2Cu3O7−δ Thin Films. International Journal of Molecular Sciences. 2024; 25(14):7877. https://doi.org/10.3390/ijms25147877
Chicago/Turabian StyleKeppert, Sandra, Bernd Aichner, Philip Rohringer, Marius-Aurel Bodea, Benedikt Müller, Max Karrer, Reinhold Kleiner, Edward Goldobin, Dieter Koelle, Johannes D. Pedarnig, and et al. 2024. "Temporal Evolution of Defects and Related Electric Properties in He-Irradiated YBa2Cu3O7−δ Thin Films" International Journal of Molecular Sciences 25, no. 14: 7877. https://doi.org/10.3390/ijms25147877
APA StyleKeppert, S., Aichner, B., Rohringer, P., Bodea, M.-A., Müller, B., Karrer, M., Kleiner, R., Goldobin, E., Koelle, D., Pedarnig, J. D., & Lang, W. (2024). Temporal Evolution of Defects and Related Electric Properties in He-Irradiated YBa2Cu3O7−δ Thin Films. International Journal of Molecular Sciences, 25(14), 7877. https://doi.org/10.3390/ijms25147877

