Novel Brassinosteroid Analogues with 3,6 Dioxo Function, 24-Nor-22(S)-Hydroxy Side Chain and p-Substituted Benzoate Function at C-23—Synthesis and Evaluation of Plant Growth Effects
Abstract
1. Introduction
2. Results and Discussion
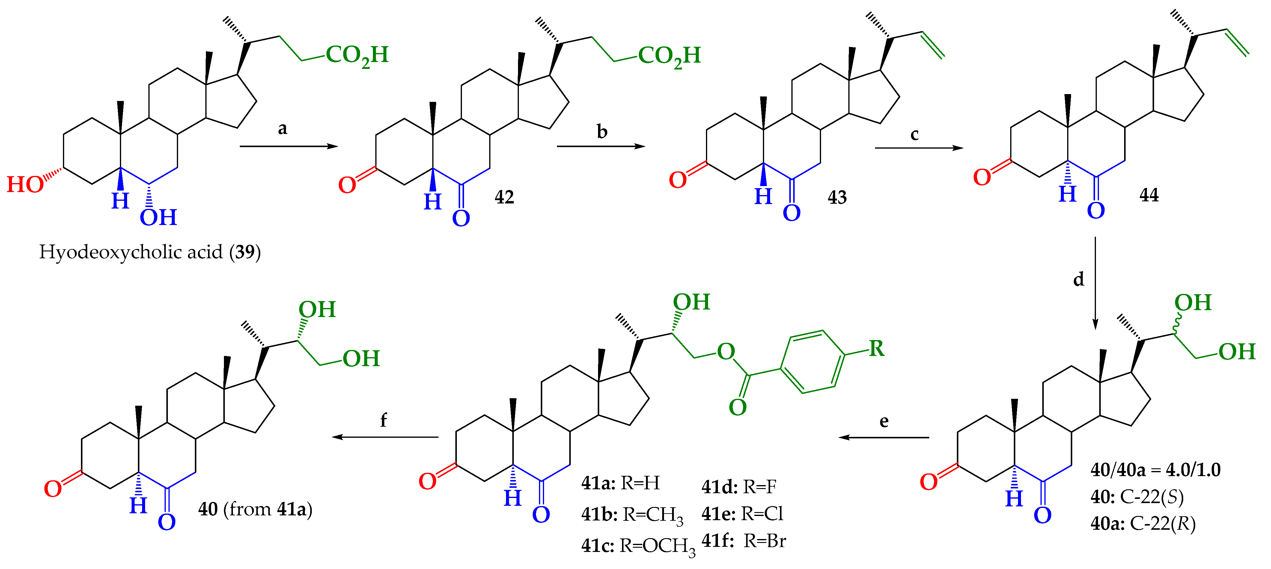
2.1. Chemical Synthesis
2.2. Biological Activity
2.2.1. Bioactivity in the Rice Lamina Inclination Test (RLIT)
2.2.2. Bioactivity in Bean Second Internode Bioassay
3. Materials and Methods
3.1. General Chemicals and Methods
3.2. Synthesis
3.2.1. 3,6-Dioxo-5β-Cholan-24-Oic Acid (42)
3.2.2. 24-Nor-5β-Chol-22-Ene-3,6-Dione (43)
3.2.3. 24-Nor-5α-Chol-22-Ene-3,6-Dione (44)
3.2.4. 22(S), 23-Dihydroxy-24-Nor-5α-Cholan-3,6-Dione (40) and 22(R), 23-Dihydroxy-24-Nor-5α-Cholan-3,6-Dione (40a)
3.2.5. 22(S)-Hydroxy-24-Nor-5α-Cholan-3,6-Dioxo-(4-Substituted)-Benzoate-23-yl (41a–41f)
3.2.6. 22(S)-Hydroxy-24-Nor-5α-Cholan-3,6-Dioxobenzoate-23-yl (41a)
3.2.7. 22(S)-Hydroxy-24-Nor-5α-Cholan-3,6-Dioxo-(4-Methyl)-Benzoate-23-yl (41b)
3.2.8. 22(S)-Hydroxy-24-Nor-5α-Cholan-3,6-Dioxo-(4-Methoxy)-Benzoate-23-yl (41c)
3.2.9. 22(S)-Hydroxy-24-Nor-5α-Cholan-3,6-Dioxo-(4-Fluoro)-Benzoate-23-yl (41d)
3.2.10. 22(S)-Hydroxy-24-Nor-5α-Cholan-3,6-Dioxo-(4-Chloro)-Benzoate-23-yl (41e)
3.2.11. 22(S)-Hydroxy-24-Nor-5α-Cholan-3,6-Dioxo-(4-Bromo)-Benzoate-23-yl (41f)
3.2.12. 22(S), 23-Dihydroxy-24-Nor-5α-Cholan-3,6-Dione (40) from 41a
3.3. Biological Activity
3.3.1. Bioactivity in the Rice Lamina Inclination Test (RLIT)
3.3.2. Bean Second Internode Bioassay
3.3.3. Molecular Docking Study
4. Conclusions
Supplementary Materials
Author Contributions
Funding
Institutional Review Board Statement
Informed Consent Statement
Data Availability Statement
Acknowledgments
Conflicts of Interest
References
- Khripach, V.A.; Zhabinskii, V.; de Groot, A.E. Brassinosteroids. A New Class of Plant Hormones; Academic Press: Cambridge, MA, USA, 1999. [Google Scholar]
- Khripach, V.; Zhabinskii, V.; de Groot, A. Twenty years of brassinosteroids: Steroidal plant hormones warrant better crops for the XXI century. Ann. Bot. 2000, 86, 441–447. [Google Scholar] [CrossRef]
- Mitchell, J.W.; Mandava, N.; Worley, J.F.; Plimmer, J.R.; Smith, M.V. Brassins—A New Family of Plant Hormones from Rape Pollen. Nature 1970, 225, 1065–1066. [Google Scholar] [CrossRef] [PubMed]
- Grove, M.D.; Spencer, G.F.; Rohwedder, W.K.; Mandava, N.; Worley, J.F.; Warthen, J.D.; Steffens, G.L.; Flippenanderson, J.L.; Cook, J.C. Brassinolide, A Plant Growth-Promoting Steroid Isolated from Brassica-Napus Pollen. Nature 1979, 281, 216–217. [Google Scholar] [CrossRef]
- Bajguz, A. Metabolism of brassinosteroids in plants. Plant Physiol. Biochem. 2007, 45, 95–107. [Google Scholar] [CrossRef] [PubMed]
- Bajguz, A. Brassinosteroids—Occurence and chemical structures in plants. In Brassinosteroids: A Class of Plant Hormone; Hayat, S., Ahmad, A., Eds.; Springer: Dordrecht, The Netherlands, 2016; pp. 1–27. [Google Scholar]
- Clouse, S.D.; Sasse, J.M. Brassinosteroids: Essential regulators of plant growth and development. Annu. Rev. Plant Physiol. Plant Mol. Biol. 1998, 49, 427–451. [Google Scholar] [CrossRef] [PubMed]
- Clouse, S.D. A History of Brassinosteroid Research from 1970 through 2005: Thirty-Five Years of Phytochemistry, Physiology, Genes, and Mutants. J. Plant Growth Regul. 2015, 34, 828–844. [Google Scholar] [CrossRef]
- Oklestkova, J.; Rarova, L.; Kvasnica, M.; Strnad, M. Brassinosteroids: Synthesis and biological activities. Phytochem. Rev. 2015, 14, 1053–1072. [Google Scholar] [CrossRef]
- Jiang, B.; Huang, L.; Tian, W.; Zhou, W. Methods for Construction of Sidechain of Brassinosteroids and Application to Syntheses of Brassinosteroids. In Structure and Chemistry (Part E); Atta-ur-Rahman, Ed.; Elsevier: Amsterdam, The Netherlands, 2016; pp. 245–287. [Google Scholar]
- Huang, L.F.; Zhou, W.S. Studies on Steroidal Plant-Growth Regulators. Part 33. Novel Method for Construction of the Side-Chain of 23-Arylbrassinosteroids Via Heck Arylation and Asymmetric Dihydroxylation As Key Steps. J. Chem. Soc. Perkin Trans. 1994, 1, 3579–3585. [Google Scholar] [CrossRef]
- Wang, Y.-Q.; Luo, W.-H.; Xu, R.-J.; Zhao, Y.-J.; Zhou, W.-S.; Huang, L.-F.; Shen, J.-M. Biological Activity of Brassinosteroids and Relationship of Structure to Plant Growth Promoting Effects. Chin. Sci. Bull. 1994, 39, 1573–1577. [Google Scholar]
- Kvasnica, M.; Oklestkova, J.; Bazgier, V.; Rárová, L.; Korinkova, P.; Mikulík, J.; Budesinsky, M.; Béres, T.; Berka, K.; Lu, Q.; et al. Design, synthesis and biological activities of new brassinosteroid analogues with a phenyl group in the side chain. Org. Biomol. Chem. 2016, 14, 8691–8701. [Google Scholar] [CrossRef]
- Korinkova, P.; Bazgier, V.; Oklestkova, J.; Rarova, L.; Strnad, M.; Kvasnica, M. Synthesis of novel aryl brassinosteroids through alkene cross-metathesis and preliminary biological study. Steroids 2017, 127, 46–55. [Google Scholar] [CrossRef]
- Carvajal, R.; Gonzalez, C.; Olea, A.F.; Fuentealba, M.; Espinoza, L. Synthesis of 2-Deoxybrassinosteroids Analogs with 24-nor, 22(S)-23-Dihydroxy-Type Side Chains from Hyodeoxycholic Acid. Molecules 2018, 23, 1306. [Google Scholar] [CrossRef] [PubMed]
- Oyarce, J.; Aitken, V.; Gonzalez, C.; Ferrer, K.; Olea, A.F.; Parella, T.; Espinoza, L. Synthesis and structural determination of new brassinosteroid 24-nor-5α-cholane type analogs. Molecules 2019, 24, 4612. [Google Scholar] [CrossRef]
- Soto, N.; Ferrer, K.; Díaz, K.; González, C.; Taborga, L.; Olea, A.F.; Carrasco, H.; Espinoza, L. Synthesis and Biological Activity of New Brassinosteroid Analogs of Type 24-Nor-5β-Cholane and 23-Benzoate Function in the Side Chain. Int. J. Mol. Sci. 2021, 22, 4808. [Google Scholar] [CrossRef] [PubMed]
- Diaz, K.; Espinoza, L.; Carvajal, R.; Conde-Gonzalez, M.; Niebla, V.; Olea, A.F.; Coll, Y. Biological Activities and Molecular Docking of Brassinosteroids 24-Norcholane Type Analogs. Int. J. Mol. Sci. 2020, 21, 1832. [Google Scholar] [CrossRef] [PubMed]
- Aitken, V.; Diaz, K.; Soto, M.; Olea, A.F.; Cuellar, M.A.; Nuñez, M.; Espinoza-Catalán, L. New Brassinosteroid Analogs with 23,24-Dinorcholan Side Chain, and Benzoate Function at C-22: Synthesis, Assessment of Bioactivity on Plant Growth, and Molecular Docking Study. Int. J. Mol. Sci. 2024, 25, 419. [Google Scholar] [CrossRef]
- Leppik, R.A. Improved synthesis of 3-keto, 4-ene-3-keto, and 4,6-diene-3-keto bile acids. Steroids 1983, 41, 475–484. [Google Scholar] [CrossRef]
- Bacha, J.D.; Kochi, J.K. Alkenes from acids by oxidative decarboxylation. Tetrahedron 1968, 24, 2215–2216. [Google Scholar] [CrossRef]
- Vaydia, A.S.; Dixit, S.M.; Rao, A.S. Degradation of bile acid side chain with lead tetraacetate. Tetrahedron 1968, 50, 5173–5174. [Google Scholar] [CrossRef]
- Soto, N.; González, C.; Mellado, M.; Olea, A.F.; Coll, Y.; Díaz, K.; Espinoza, L. Epimeric Mixtures of Brassinosteroid Analogs: Synthesis, Plant Growth, and Germination Effects in Tomato (Lycopersicum esculentum Mill.). Agronomy 2020, 10, 808. [Google Scholar] [CrossRef]
- Ferrer, K.; Díaz, K.; Kvasnica, M.; Olea, A.F.; Cuellar, M.; Espinoza, L. Synthesis of New Brassinosteroid 24-Norcholane Type Analogs Conjugated in C-3 with Benzoate Groups. Molecules 2021, 26, 1173. [Google Scholar] [CrossRef] [PubMed]
- Yang, Y.X.; Zheng, L.T.; Shi, J.J.; Gao, B.; Chen, Y.K.; Yang, H.C.; Chen, H.L.; Li, Y.C.; Zhen, X.C. Synthesis of 5 alpha-cholestan-6-one derivatives and their inhibitory activities of NO production in activated microglia: Discovery of a novel neuroinflammation inhibitor. Bioorg. Med. Chem. Lett. 2014, 24, 1222–1227. [Google Scholar] [CrossRef] [PubMed]
- Tian, W.S.; Zhou, W.; Jiang, B.; Pan, X.F. Studies on steroidal plant-growth regulator IX: The preparation of 22R- and 22S-24, 25, 26, 27, 28-penta-nor-brassinolides. Acta Chim. Sin. 1989, 47, 1017–1021. [Google Scholar]
- Ishiguro, M.; Ikekawa, N. Stereochemistry of Electrophilic Reactions at the Steroidal C-22 Double Bond. Chem. Pharm. Bull. 1975, 23, 2860–2866. [Google Scholar] [CrossRef][Green Version]
- Tian, W.S.; Zhou, W.S. Studies on steroidal plant growth hormone VI. Conversion of methyl 3,6-diketoallocholanate into methyl Δ^2-6-ketoallocholenate. Acta Chim. Sin. 1988, 46, 824–826. [Google Scholar]
- Kvasnica, M.; Oklestkova, J.; Bazgier, V.; Rarova, L.; Berka, K.; Strnad, M. Biological activities of new monohydroxylated brassinosteroid analogues with a carboxylic group in the side chain. Steroids 2014, 85, 58–64. [Google Scholar] [CrossRef] [PubMed]
- Rosado-Abón, A.; de Dios-Bravo, G.; Rodríguez-Sotres, R.; Iglesias-Arteaga, M.A. Synthesis and plant growth promoting activity of dinorcholanic lactones bearing the 5α-hydroxy-6-oxo moiety. J. Steroid Biochem. Mol. Biol. 2013, 134, 45–50. [Google Scholar] [CrossRef] [PubMed]
- Li, H.; Wang, H.; Jang, S. Rice Lamina Joint Inclination Assay. Bio-Protocol 2017, 7, e2409. [Google Scholar] [CrossRef]
- Slavikova, B.; Kohout, L.; Budesinsky, M.; Swaczynova, J.; Kasal, A. Brassinosteroids: Synthesis and Activity of Some Fluoro Analogues. J. Med. Chem. 2008, 51, 3979–3984. [Google Scholar] [CrossRef]



| Compounds | 1H NMR | 13C NMR |
|---|---|---|
| 43 | δ = 2.47 ppm (1H, dd, J = 12.5 and 4.9 Hz, H-5) | δ = 22.45 (C-19) |
| 44 | δ = 2.62–2.54 (2H, m, H-5 and H-2) | δ = 12.54 (C-19) |
| Bending Angles between Laminae and Sheaths (Degrees ± Standard Error) 1 | |||
|---|---|---|---|
| Compounds | 1 × 10−8 M | 1 × 10−7 M | 1 × 10−6 M |
| 1 | 81 ± 7.1 a | 88 ± 4.8 a | 90 ± 7.5 a |
| 40 | 26 ± 4.1 d | 38 ± 4.9 c | 13 ± 4.1 d |
| 41a | 19 ± 4.8 e | - | - |
| 41b | 19 ± 3.2 e | 32 ± 4.2 de | 32 ± 4.2 c |
| 41c | - | 28 ± 2.6 e | 54 ± 8.4 b |
| 41d | 38 ± 2.6 c | 34 ± 2.7 d | - |
| 41e | 32 ± 4.2 d | 31 ± 8.2 de | - |
| 41f | 75 ± 2.0 b | 49 ± 4.5 b | 33 ± 2.6 c |
| Negative Control | 16 ± 2.0 | ||
| Compounds | Prolongation of the Second Internode, mm ± SD, at Concentration 1 × 10−8 M |
|---|---|
| 1 | 20.2 ± 0.6 a |
| 40 | 11.2 ± 7.8 b |
| 41a | 4.4 ± 1.9 d |
| 41b | 2.9 ± 1.9 e |
| 41c | 9.8 ± 1.8 b |
| 41d | 5.5 ± 1.8 d |
| 41e | 8.5 ± 2.8 bc |
| 41f | 10.8 ± 2.7 b |
| Negative Control | 1.0 ± 0.1 f |
Disclaimer/Publisher’s Note: The statements, opinions and data contained in all publications are solely those of the individual author(s) and contributor(s) and not of MDPI and/or the editor(s). MDPI and/or the editor(s) disclaim responsibility for any injury to people or property resulting from any ideas, methods, instructions or products referred to in the content. |
© 2024 by the authors. Licensee MDPI, Basel, Switzerland. This article is an open access article distributed under the terms and conditions of the Creative Commons Attribution (CC BY) license (https://creativecommons.org/licenses/by/4.0/).
Share and Cite
Jorquera, S.; Soto, M.; Díaz, K.; Nuñez, M.; Cuellar, M.A.; Olea, A.F.; Espinoza-Catalán, L. Novel Brassinosteroid Analogues with 3,6 Dioxo Function, 24-Nor-22(S)-Hydroxy Side Chain and p-Substituted Benzoate Function at C-23—Synthesis and Evaluation of Plant Growth Effects. Int. J. Mol. Sci. 2024, 25, 7515. https://doi.org/10.3390/ijms25147515
Jorquera S, Soto M, Díaz K, Nuñez M, Cuellar MA, Olea AF, Espinoza-Catalán L. Novel Brassinosteroid Analogues with 3,6 Dioxo Function, 24-Nor-22(S)-Hydroxy Side Chain and p-Substituted Benzoate Function at C-23—Synthesis and Evaluation of Plant Growth Effects. International Journal of Molecular Sciences. 2024; 25(14):7515. https://doi.org/10.3390/ijms25147515
Chicago/Turabian StyleJorquera, Sebastián, Mauricio Soto, Katy Díaz, María Nuñez, Mauricio A. Cuellar, Andrés F. Olea, and Luis Espinoza-Catalán. 2024. "Novel Brassinosteroid Analogues with 3,6 Dioxo Function, 24-Nor-22(S)-Hydroxy Side Chain and p-Substituted Benzoate Function at C-23—Synthesis and Evaluation of Plant Growth Effects" International Journal of Molecular Sciences 25, no. 14: 7515. https://doi.org/10.3390/ijms25147515
APA StyleJorquera, S., Soto, M., Díaz, K., Nuñez, M., Cuellar, M. A., Olea, A. F., & Espinoza-Catalán, L. (2024). Novel Brassinosteroid Analogues with 3,6 Dioxo Function, 24-Nor-22(S)-Hydroxy Side Chain and p-Substituted Benzoate Function at C-23—Synthesis and Evaluation of Plant Growth Effects. International Journal of Molecular Sciences, 25(14), 7515. https://doi.org/10.3390/ijms25147515

