Dietary Supplementation with n-3 Polyunsaturated Fatty Acids Delays the Phenotypic Manifestation of Krabbe Disease and Partially Restores Lipid Mediator Production in the Brain—Study in a Mouse Model of the Disease
Abstract
1. Introduction
2. Results
2.1. Disease Severity Scoring
2.2. RvD1 in KD Brain
2.3. F2-IsoP in KD Brain
2.4. n-3 and n-6 PUFA Contents in Brain Tissue
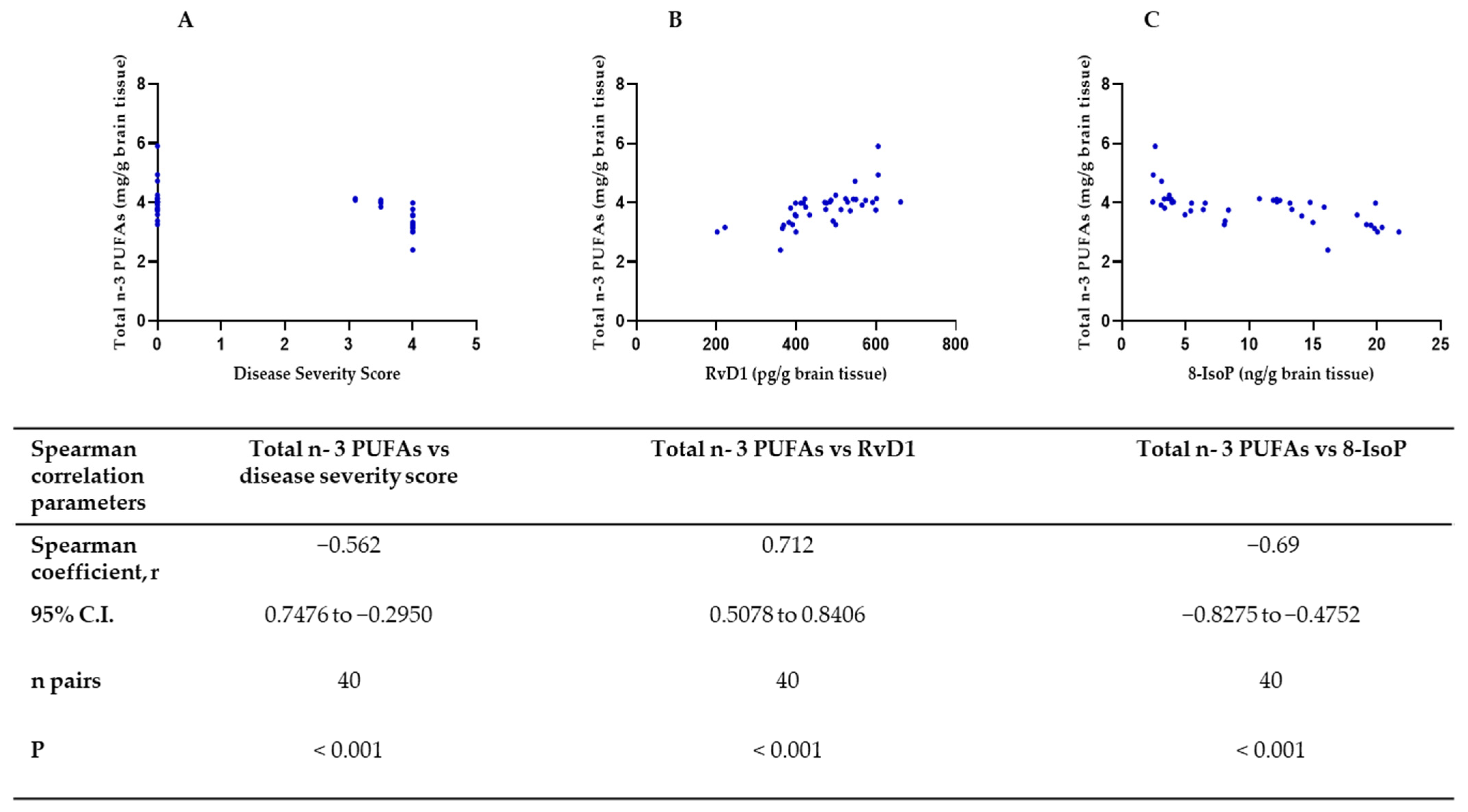
2.5. Correlation of Disease Severity, RvD1, and 8-IsoP to n-3 PUFAs
3. Discussion
4. Materials and Methods
4.1. Animals
4.2. Severity Score of Disease
4.3. Diet
4.4. Collection of Animal Brain Samples
4.5. Fatty Acid Assessment in Brain Tissue
4.6. Resolvin (Rv) D1 Immunoassay
4.7. F2-Isoprostane (F2-IsoP) Determination in Mouse Brain
4.8. Statistical Analysis
5. Conclusions
Author Contributions
Funding
Institutional Review Board Statement
Data Availability Statement
Conflicts of Interest
References
- De Felice, C.; Signorini, C.; Durand, T.; Ciccoli, L.; Leoncini, S.; D’Esposito, M.; Filosa, S.; Oger, C.; Guy, A.; Bultel-Poncé, V.; et al. Partial rescue of Rett syndrome by ω-3 polyunsaturated fatty acids (PUFAs) oil. Genes Nutr. 2012, 7, 447–458. [Google Scholar] [CrossRef] [PubMed]
- Signorini, C.; De Felice, C.; Leoncini, S.; Durand, T.; Galano, J.M.; Cortelazzo, A.; Zollo, G.; Guerranti, R.; Gonnelli, S.; Caffarelli, C.; et al. Altered erythrocyte membrane fatty acid profile in typical Rett syndrome: Effects of omega-3 polyunsaturated fatty acid supplementation. Prostaglandins Leukot. Essent. Fatty Acids 2014, 91, 183–193. [Google Scholar] [CrossRef]
- Mattioli, S.; Moretti, E.; Castellini, C.; Signorini, C.; Corsaro, R.; Angelucci, E.; Collodel, G. Can Dietary n-3 Polyunsaturated Fatty Acids Affect Apelin and Resolvin in Testis and Sperm of Male Rabbits? Molecules 2023, 28, 6188. [Google Scholar] [CrossRef]
- Djuricic, I.; Calder, P.C. Beneficial Outcomes of Omega-6 and Omega-3 Polyunsaturated Fatty Acids on Human Health: An Update for 2021. Nutrients 2021, 13, 2421. [Google Scholar] [CrossRef]
- Chang, J.P.; Su, K.P.; Mondelli, V.; Pariante, C.M. Omega-3 Polyunsaturated Fatty Acids in Youths with Attention Deficit Hyperactivity Disorder: A Systematic Review and Meta-Analysis of Clinical Trials and Biological Studies. Neuropsychopharmacology 2018, 43, 534–545. [Google Scholar] [CrossRef] [PubMed]
- Alashmali, S.M.; Hopperton, K.E.; Bazinet, R.P. Lowering dietary n-6 polyunsaturated fatty acids: Interaction with brain arachidonic and docosahexaenoic acids. Curr. Opin. Lipidol. 2016, 27, 54–66. [Google Scholar] [CrossRef] [PubMed]
- Lv, H.; Jia, S.; Sun, Y.; Pang, M.; Lv, E.; Li, X.; Meng, Q.; Wang, Y. Docosahexaenoic acid promotes M2 microglia phenotype via activating PPARγ-mediated ERK/AKT pathway against cerebral ischemia-reperfusion injury. Brain Res. Bull. 2023, 199, 110660. [Google Scholar] [CrossRef]
- Muscat, S.M.; Butler, M.J.; Bettes, M.N.; DeMarsh, J.W.; Scaria, E.A.; Deems, N.P.; Barrientos, R.M. Post-operative cognitive dysfunction is exacerbated by high-fat diet via TLR4 and prevented by dietary DHA supplementation. Brain Behav. Immun. 2024, 116, 385–401. [Google Scholar] [CrossRef]
- Innis, S.M. Dietary (n-3) fatty acids and brain development. J. Nutr. 2007, 137, 855–859. [Google Scholar] [CrossRef]
- Becker, M.; Fehr, K.; Goguen, S.; Miliku, K.; Field, C.; Robertson, B.; Yonemitsu, C.; Bode, L.; Simons, E.; Marshall, J.; et al. Multimodal machine learning for modeling infant head circumference, mothers’ milk composition, and their shared environment. Sci. Rep. 2024, 14, 2977. [Google Scholar] [CrossRef]
- Thau-Zuchman, O.; Ingram, R.; Harvey, G.G.; Cooke, T.; Palmas, F.; Pallier, P.N.; Brook, J.; Priestley, J.V.; Dalli, J.; Tremoleda, J.L.; et al. A Single Injection of Docosahexaenoic Acid Induces a Pro-Resolving Lipid Mediator Profile in the Injured Tissue and a Long-Lasting Reduction in Neurological Deficit after Traumatic Brain Injury in Mice. J. Neurotrauma 2020, 37, 66–79. [Google Scholar] [CrossRef]
- Chang, J.; Liu, M.; Liu, C.; Zhou, S.; Jiao, Y.; Sun, H.; Ji, Y. Effects of vitamins and polyunsaturated fatty acids on cognitive function in older adults with mild cognitive impairment: A meta-analysis of randomized controlled trials. Eur. J. Nutr. 2024, 63, 1003–1022. [Google Scholar] [CrossRef]
- Loong, S.; Barnes, S.; Gatto, N.M.; Chowdhury, S.; Lee, G.J. Omega-3 Fatty Acids, Cognition, and Brain Volume in Older Adults. Brain Sci. 2023, 13, 1278. [Google Scholar] [CrossRef] [PubMed]
- Xia, J.; Yang, L.; Huang, C.; Deng, S.; Yang, Z.; Zhang, Y.; Zhang, C.; Song, C. Omega-3 Polyunsaturated Fatty Acid Eicosapentaenoic Acid or Docosahexaenoic Acid Improved Ageing-Associated Cognitive Decline by Regulating Glial Polarization. Mar. Drugs 2023, 21, 398. [Google Scholar] [CrossRef]
- Moltu, S.J.; Nordvik, T.; Rossholt, M.E.; Wendel, K.; Chawla, M.; Server, A.; Gunnarsdottir, G.; Pripp, A.H.; Domellöf, M.; Bratlie, M.; et al. Arachidonic and docosahexaenoic acid supplementation and brain maturation in preterm infants; a double blind RCT. Clin. Nutr. 2024, 43, 176–186. [Google Scholar] [CrossRef] [PubMed]
- Gsoellpointner, M.; Thanhaeuser, M.; Eibensteiner, F.; Ristl, R.; Jilma, B.; Fuiko, R.; Brandstetter, S.; Berger, A.; Haiden, N. Polyunsaturated Fatty Acid Intake during Complementary Feeding and Neurodevelopmental Outcome in Very Low Birth Weight Infants. Nutrients 2023, 15, 3141. [Google Scholar] [CrossRef]
- Khalid, W.; Gill, P.; Arshad, M.S.; Ali, A.; Ranjha, M.M.A.N.; Mukhtar, S.; Afzal, F.; Maqbool, Z. Functional behavior of DHA and EPA in the formation of babies brain at different stages of age, and protect from different brain-related diseases. Int. J. Food Prop. 2022, 25, 1021–1044. [Google Scholar] [CrossRef]
- Gould, J.F.; Roberts, R.M.; Anderson, P.J.; Makrides, M.; Sullivan, T.R.; Gibson, R.A.; McPhee, A.J.; Doyle, L.W.; Bednarz, J.M.; Best, K.P.; et al. High-Dose Docosahexaenoic Acid in Newborns Born at Less Than 29 Weeks’ Gestation and Behavior at Age 5 Years: Follow-Up of a Randomized Clinical Trial. JAMA Pediatr. 2024, 178, 45–54. [Google Scholar] [CrossRef] [PubMed]
- Lauritzen, L.; Brambilla, P.; Mazzocchi, A.; Harsløf, L.B.; Ciappolino, V.; Agostoni, C. DHA Effects in Brain Development and Function. Nutrients. 2016, 8, 6. [Google Scholar] [CrossRef]
- Elsadek, A.E.; Maksoud, Y.H.A.; Suliman, H.A.; Al-Shokary, A.H.; Ibrahim, A.O.; Kamal, N.M.; Fathallah, M.G.E.D.; Elshorbagy, H.H.; Abdelghani, W.E. Omega-3 supplementation in children with ADHD and intractable epilepsy. J. Clin. Neurosci. 2021, 94, 237–243. [Google Scholar] [CrossRef]
- Wang, X.; Xiao, A.; Yang, Y.; Zhao, Y.; Wang, C.C.; Wang, Y.; Han, J.; Wang, Z.; Wen, M. DHA and EPA Prevent Seizure and Depression-Like Behavior by Inhibiting Ferroptosis and Neuroinflammation via Different Mode-of-Actions in a Pentylenetetrazole-Induced Kindling Model in Mice. Mol. Nutr. Food Res. 2022, 66, e2200275. [Google Scholar] [CrossRef] [PubMed]
- Zhao, Y.C.; Wang, C.C.; Li, X.Y.; Wang, D.D.; Wang, Y.M.; Xue, C.H.; Wen, M.; Zhang, T.T. Supplementation of n-3 PUFAs in Adulthood Attenuated Susceptibility to Pentylenetetrazol Induced Epilepsy in Mice Fed with n-3 PUFAs Deficient Diet in Early Life. Mar. Drugs 2023, 21, 354. [Google Scholar] [CrossRef]
- Liang, Z.; Lou, Y.; Li, Z.; Liu, S. Causal relationship between human blood omega-3 fatty acids and the risk of epilepsy: A two-sample Mendelian randomization study. Front. Neurol. 2023, 14, 1130439. [Google Scholar] [CrossRef] [PubMed]
- Brosolo, G.; Da Porto, A. Fatty Acids in Arterial Hypertension: Is There Any Good News? Int. J. Mol. Sci. 2023, 24, 9520. [Google Scholar] [CrossRef] [PubMed]
- Maghazachi, A.A. Globoid Cell Leukodystrophy (Krabbe Disease): An Update. Immunotargets Ther. 2023, 12, 105–111. [Google Scholar] [CrossRef] [PubMed]
- Rebiai, R.; Rue, E.; Zaldua, S.; Nguyen, D.; Scesa, G.; Jastrzebski, M.; Foster, R.; Wang, B.; Jiang, X.; Tai, L.; et al. CRISPR-Cas9 Knock-In of T513M and G41S Mutations in the Murine β-Galactosyl-Ceramidase Gene Re-capitulates Early-Onset and Adult-Onset Forms of Krabbe Disease. Front. Mol. Neurosci. 2022, 15, 896314. [Google Scholar] [CrossRef] [PubMed]
- De Gasperi, R.; Friedrich, V.L.; Perez, G.M.; Senturk, E.; Wen, P.H.; Kelley, K.; Elder, G.A.; Gama Sosa, M.A. Transgenic rescue of Krabbe disease in the twitcher mouse. Gene Ther. 2004, 11, 1188–1194. [Google Scholar] [CrossRef] [PubMed]
- Wenger, D.A.; Luzi, P. Krabbe Disease: Globoid Cell Leukodystrophy. In Rosenberg’s Molecular and Genetic Basis of Neurological and Psychiatric Disease, 5th ed.; Rosenberg, R.N., Pascual, J.M., Eds.; Academic Press: Cambridge, MA, USA, 2015; Academic Press is an imprint of Elsevier, Amsterdam, Boston, Heidelberg, London, New York, Oxford, Paris, San Diego, San Francisco, Singapore, Sidney, Tokyo; pp. 337–346. [Google Scholar]
- Béchet, S.; O’Sullivan, S.A.; Yssel, J.; Fagan, S.G.; Dev, K.K. Fingolimod Rescues Demyelination in a Mouse Model of Krabbe’s Disease. J. Neurosci. 2020, 40, 3104–3118. [Google Scholar] [CrossRef] [PubMed]
- Lin, D.; Donsante, A.; Macauley, S.; Levy, B.; Vogler, C.; Sands, M.S. Central nervous system-directed AAV2/5-mediated gene therapy synergizes with bone marrow transplantation in the murine model of globoid-cell leukodystrophy. Mol. Ther. 2007, 15, 44–52. [Google Scholar] [CrossRef]
- Ripoll, C.B.; Flaat, M.; Klopf-Eiermann, J.; Fisher-Perkins, J.M.; Trygg, C.B.; Scruggs, B.A.; McCants, M.L.; Leonard, H.P.; Lin, A.F.; Zhang, S.; et al. Mesenchymal lineage stem cells have pronounced anti-inflammatory effects in the twitcher mouse model of Krabbe’s disease. Stem Cells 2011, 29, 67–77. [Google Scholar] [CrossRef]
- Signorini, C.; Cardile, V.; Pannuzzo, G.; Graziano, A.C.E.; Durand, T.; Galano, J.M.; Oger, C.; Leoncini, S.; Cortelazzo, A.; Lee, J.C.; et al. Increased isoprostanoid levels in brain from murine model of Krabbe disease-Relevance of isoprostanes, dihomo-isoprostanes and neuroprostanes to disease severity. Free Radic. Biol. Med. 2019, 139, 46–54. [Google Scholar] [CrossRef] [PubMed]
- Signorini, C.; Collodel, G.; Pannuzzo, G.; Graziano, A.C.E.; Moretti, E.; Noto, E.; Belmonte, G.; Cardile, V. Decreased Resolvin D1 and Increased Fatty Acid Oxidation Contribute to Severity Score of Krabbe Disease in Twitcher Mice. J. Biol. Regul. Homeost. Agents 2024, 38, 913–924. [Google Scholar]
- Alabed, H.B.R.; Del Grosso, A.; Bellani, V.; Urbanelli, L.; Carpi, S.; De Sarlo, M.; Bertocci, L.; Colagiorgio, L.; Buratta, S.; Scaccini, L.; et al. Untargeted Lipidomic Approach for Studying Different Nervous System Tissues of the Murine Model of Krabbe Disease. Biomolecules 2023, 13, 1562. [Google Scholar] [CrossRef] [PubMed]
- Zanfini, A.; Dreassi, E.; Berardi, A.; Piomboni, P.; Costantino-Ceccarini, E.; Luddi, A. GC-EI-MS analysis of fatty acid composition in brain and serum of twitcher mouse. Lipids 2014, 49, 1115–1125. [Google Scholar] [CrossRef] [PubMed]
- D’Auria, L.; Reiter, C.; Ward, E.; Moyano, A.L.; Marshall, M.S.; Nguyen, D.; Scesa, G.; Hauck, Z.; van Breemen, R.; Givogri, M.I.; et al. Psychosine enhances the shedding of membrane microvesicles: Implications in demyelination in Krabbe’s disease. PLoS ONE 2017, 12, e0178103. [Google Scholar] [CrossRef] [PubMed]
- Yates, C.M.; Calder, P.C.; Ed Rainger, G. Pharmacology and therapeutics of omega-3 polyunsaturated fatty acids in chronic inflammatory disease. Pharmacol. Ther. 2014, 141, 272–282. [Google Scholar] [CrossRef] [PubMed]
- Parolini, C. The Role of Marine n-3 Polyunsaturated Fatty Acids in Inflammatory-Based Disease: The Case of Rheumatoid Arthritis. Mar. Drugs 2023, 22, 17. [Google Scholar] [CrossRef]
- Oakes, E.G.; Vlasakov, I.; Kotler, G.; Bubes, V.; Mora, S.; Tatituri, R.; Cook, N.R.; Manson, J.E.; Costenbader, K.H. Joint effects of one year of marine omega-3 fatty acid supplementation and participant dietary fish intake upon circulating lipid mediators of inflammation resolution in a randomized controlled trial. Nutrition 2024, 123, 112413. [Google Scholar] [CrossRef] [PubMed]
- Fiala, M.; Restrepo, L.; Pellegrini, M. Immunotherapy of Mild Cognitive Impairment by ω-3 Supplementation: Why Are Amyloid-β Antibodies and ω-3 Not Working in Clinical Trials? J. Alzheimers Dis. 2018, 62, 1013–1022. [Google Scholar] [CrossRef]
- Fiala, M.; Terrando, N.; Dalli, J. Specialized Pro-Resolving Mediators from Omega-3 Fatty Acids Improve Amyloid-β Phagocytosis and Regulate Inflammation in Patients with Minor Cognitive Impairment. J. Alzheimers Dis. 2015, 48, 293–301. [Google Scholar] [CrossRef]
- Echeverría, F.; Valenzuela, R.; Espinosa, A.; Bustamante, A.; Álvarez, D.; Gonzalez-Mañan, D.; Ortiz, M.; Soto-Alarcon, S.A.; Videla, L.A. Reduction of high-fat diet-induced liver proinflammatory state by eicosapentaenoic acid plus hydroxytyrosol supplementation: Involvement of resolvins RvE1/2 and RvD1/2. J. Nutr. Biochem. 2019, 63, 35–43. [Google Scholar] [CrossRef] [PubMed]
- Fullerton, J.N.; Gilroy, D.W. Resolution of inflammation: A new therapeutic frontier. Nat. Rev. Drug Discov. 2016, 15, 551–567. [Google Scholar] [CrossRef] [PubMed]
- Schmid, T.; Brüne, B. Prostanoids and Resolution of Inflammation-Beyond the Lipid-Mediator Class Switch. Front. Immunol. 2021, 12, 714042. [Google Scholar] [CrossRef] [PubMed]
- Bisicchia, E.; Sasso, V.; Catanzaro, G.; Leuti, A.; Besharat, Z.M.; Chiacchiarini, M.; Molinari, M.; Ferretti, E.; Viscomi, M.T.; Chiurchiù, V. Resolvin D1 Halts Remote Neuroinflammation and Improves Functional Recovery after Focal Brain Damage Via ALX/FPR2 Receptor-Regulated MicroRNAs. Mol. Neurobiol. 2018, 55, 6894–6905. [Google Scholar] [CrossRef]
- Li, L.; Cheng, S.Q.; Sun, Y.Q.; Yu, J.B.; Huang, X.X.; Dong, Y.F.; Ji, J.; Zhang, X.Y.; Hu, G.; Sun, X.L. Resolvin D1 reprograms energy metabolism to promote microglia to phagocytize neutrophils after ischemic stroke. Cell Rep. 2023, 42, 112617. [Google Scholar] [CrossRef] [PubMed]
- Wei, C.; Guo, S.; Liu, W.; Jin, F.; Wei, B.; Fan, H.; Su, H.; Liu, J.; Zhang, N.; Fang, D.; et al. Resolvin D1 ameliorates Inflammation-Mediated Blood-Brain Barrier Disruption After Subarachnoid Hemorrhage in rats by Modulating A20 and NLRP3 Inflammasome. Front. Pharmacol. 2021, 11, 610734. [Google Scholar] [CrossRef] [PubMed]
- Giacobbe, J.; Benoiton, B.; Zunszain, P.; Pariante, C.M.; Borsini, A. The Anti-Inflammatory Role of Omega-3 Polyunsaturated Fatty Acids Metabolites in Pre-Clinical Models of Psychiatric, Neurodegenerative, and Neurological Disorders. Front. Psychiatry 2020, 11, 122. [Google Scholar] [CrossRef]
- Potter, G.B.; Petryniak, M.A. Neuroimmune mechanisms in Krabbe’s disease. J. Neurosci. Res. 2016, 94, 1341–1348. [Google Scholar] [CrossRef]
- Alhattab, M.; Moorthy, L.S.; Patel, D.; Franco, C.M.M.; Puri, M. Oleaginous Microbial Lipids’ Potential in the Prevention and Treatment of Neurological Disorders. Mar. Drugs 2024, 22, 80. [Google Scholar] [CrossRef]
- Pifferi, F.; Laurent, B.; Plourde, M. Lipid Transport and Metabolism at the Blood-Brain Interface: Implications in Health and Disease. Front. Physiol. 2021, 12, 645646. [Google Scholar] [CrossRef]
- Kidd, P.M. Omega-3 DHA and EPA for cognition, behavior, and mood: Clinical findings and structural-functional synergies with cell membrane phospholipids. Altern. Med. Rev. 2007, 12, 207–227. [Google Scholar] [PubMed]
- Ochi, E.; Tsuchiya, Y. Eicosapentaenoic Acid (EPA) and Docosahexaenoic Acid (DHA) in Muscle Damage and Function. Nutrients 2018, 10, 552. [Google Scholar] [CrossRef] [PubMed]
- Madore, C.; Leyrolle, Q.; Morel, L.; Rossitto, M.; Greenhalgh, A.D.; Delpech, J.C.; Martinat, M.; Bosch-Bouju, C.; Bourel, J.; Rani, B.; et al. Essential omega-3 fatty acids tune microglial phagocytosis of synaptic elements in the mouse developing brain. Nat. Commun. 2020, 11, 6133. [Google Scholar] [CrossRef] [PubMed]
- Collodel, G.; Moretti, E.; Noto, D.; Iacoponi, F.; Signorini, C. Fatty Acid Profile and Metabolism Are Related to Human Sperm Parameters and Are Relevant in Idiopathic Infertility and Varicocele. Mediat. Inflamm. 2020, 2020, 3640450. [Google Scholar] [CrossRef] [PubMed]
- Ghezzo, A.; Visconti, P.; Abruzzo, P.M.; Bolotta, A.; Ferreri, C.; Gobbi, G.; Malisardi, G.; Manfredini, S.; Marini, M.; Nanetti, L.; et al. Oxidative Stress and Erythrocyte Membrane Alterations in Children with Autism: Correlation with Clinical Features. PLoS ONE 2013, 8, e66418. [Google Scholar] [CrossRef] [PubMed]
- Eze, V.C.; Harvey, A.P.; Phan, A.N. Determination of the kinetics of biodiesel saponification in alcoholic hydroxide solutions. Fuel 2015, 140, 724–730. [Google Scholar] [CrossRef]
- Stanzani, A.; Sansone, A.; Brenna, C.; Baldassarro, V.A.; Alastra, G.; Lorenzini, L.; Chatgilialoglu, C.; Laface, I.; Ferreri, C.; Neri, L.M.; et al. Erythrocyte Plasma Membrane Lipid Composition Mirrors That of Neurons and Glial Cells in Murine Experimental In Vitro and In Vivo Inflammation. Cells 2023, 12, 561. [Google Scholar] [CrossRef] [PubMed]
- Montuschi, P.; Barnes, P.J.; Roberts, L.J., 2nd. Isoprostanes: Markers and mediators of oxidative stress. FASEB J. 2004, 18, 1791–1800. [Google Scholar] [CrossRef] [PubMed]
- Janicka, M.; Kot-Wasik, A.; Kot, J.; Namieśnik, J. Isoprostanes-biomarkers of lipid peroxidation: Their utility in evaluating oxidative stress and analysis. Int. J. Mol. Sci. 2010, 11, 4631–4659. [Google Scholar] [CrossRef]
- García-Blanco, A.; Peña-Bautista, C.; Oger, C.; Vigor, C.; Galano, J.M.; Durand, T.; Martín-Ibáñez, N.; Baquero, M.; Vento, M.; Cháfer-Pericás, C. Reliable determination of new lipid peroxidation compounds as potential early Alzheimer Disease biomarkers. Talanta 2018, 184, 193–201. [Google Scholar] [CrossRef]
- Morrow, J.D.; Minton, T.A.; Badr, K.F.; Roberts, L.J., 2nd. Evidence that the F2-isoprostane, 8-epi-prostaglandin F2 alpha, is formed in vivo. Biochim. Biophys. Acta 1994, 1210, 244–248. [Google Scholar] [CrossRef] [PubMed]
- Roberts, L.J., 2nd; Milne, G.L. Isoprostanes. J. Lipid Res. 2009, 50, S219–S223. [Google Scholar] [CrossRef] [PubMed]






| Spearman Correlation | Before n-3 PUFA Supplementation | After n-3 PUFAs Supplementation |
|---|---|---|
| n-3 PUFAs vs. disease severity | Spearman coefficient r = –0.63 95% C.I.: −0.8414 to −0.2424, n pairs = 20 p = 0.003 | Spearman coefficient r = –0.66 95% C.I.: −0.8557 to −0.2896 n pairs = 20 p = 0.002 |
| n-3 PUFAs vs. RvD1 | Spearman coefficient r = 0.70, 95% C.I.: 0.3486 to 0.8723 n pairs = 20 p < 0.001 | Spearman coefficient r = 0.70, 95% C.I.: 0.3486 to 0.8723 n pairs = 20 p < 0.001 |
| n-3 PUFAs vs. 8-IsoP | Spearman coefficient r = –0.68, 95% C.I.: −0.8671 to −0.3296 n pairs = 20 p < 0.001 | Spearman coefficient r = –0.84, 95% C.I.: −0.9363 to −0.6223 n pairs = 20 p < 0.001 |
Disclaimer/Publisher’s Note: The statements, opinions and data contained in all publications are solely those of the individual author(s) and contributor(s) and not of MDPI and/or the editor(s). MDPI and/or the editor(s) disclaim responsibility for any injury to people or property resulting from any ideas, methods, instructions or products referred to in the content. |
© 2024 by the authors. Licensee MDPI, Basel, Switzerland. This article is an open access article distributed under the terms and conditions of the Creative Commons Attribution (CC BY) license (https://creativecommons.org/licenses/by/4.0/).
Share and Cite
Signorini, C.; Pannuzzo, G.; Graziano, A.C.E.; Moretti, E.; Collodel, G.; Cardile, V. Dietary Supplementation with n-3 Polyunsaturated Fatty Acids Delays the Phenotypic Manifestation of Krabbe Disease and Partially Restores Lipid Mediator Production in the Brain—Study in a Mouse Model of the Disease. Int. J. Mol. Sci. 2024, 25, 7149. https://doi.org/10.3390/ijms25137149
Signorini C, Pannuzzo G, Graziano ACE, Moretti E, Collodel G, Cardile V. Dietary Supplementation with n-3 Polyunsaturated Fatty Acids Delays the Phenotypic Manifestation of Krabbe Disease and Partially Restores Lipid Mediator Production in the Brain—Study in a Mouse Model of the Disease. International Journal of Molecular Sciences. 2024; 25(13):7149. https://doi.org/10.3390/ijms25137149
Chicago/Turabian StyleSignorini, Cinzia, Giovanna Pannuzzo, Adriana Carol Eleonora Graziano, Elena Moretti, Giulia Collodel, and Venera Cardile. 2024. "Dietary Supplementation with n-3 Polyunsaturated Fatty Acids Delays the Phenotypic Manifestation of Krabbe Disease and Partially Restores Lipid Mediator Production in the Brain—Study in a Mouse Model of the Disease" International Journal of Molecular Sciences 25, no. 13: 7149. https://doi.org/10.3390/ijms25137149
APA StyleSignorini, C., Pannuzzo, G., Graziano, A. C. E., Moretti, E., Collodel, G., & Cardile, V. (2024). Dietary Supplementation with n-3 Polyunsaturated Fatty Acids Delays the Phenotypic Manifestation of Krabbe Disease and Partially Restores Lipid Mediator Production in the Brain—Study in a Mouse Model of the Disease. International Journal of Molecular Sciences, 25(13), 7149. https://doi.org/10.3390/ijms25137149

