Mode of Action of Antimicrobial Potential Protease SH21 Derived from Bacillus siamensis
Abstract
1. Introduction
2. Result and Discussion
2.1. Growth and Antimicrobial Activity Curves of Protease SH21
2.2. Effect of pH and Temperature on the Antibacterial Activity of Protease SH21
2.3. Cell Membrane Permeability of Bacteria by Protease SH21
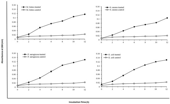
2.4. Nucleotide Leakage of Bacteria by Protease SH21
2.5. Membrane Integrity of Bacteria by Protease SH21
3. Materials and Methods
3.1. Materials
3.2. Screening, Identification, and Isolation of Bacterial Strain
3.3. Production and Purification of Protease SH21
3.4. Protease Assay
3.5. Determination of Growth and Antimicrobial Activity Curves of Protease SH21
3.6. Effect of pH and Temperature on the Antimicrobial Activity of Protease SH21
3.7. Cell Membrane Permeability Assay
3.8. Nucleotide Leakage of Bacteria by Protease SH21
3.9. PI Uptake Assay by Protease SH21
3.10. Statistical Analysis
4. Conclusions
Author Contributions
Funding
Institutional Review Board Statement
Informed Consent Statement
Data Availability Statement
Conflicts of Interest
References
- Ogunniran, K.O. Antibacterial effects of extracts of Ocimum gratissimum and piper guineense on Escherichia coli and Staphylococcus aureus. Afr. J. Food Sci. 2009, 3, 77–81. [Google Scholar]
- Chopra, I. Bacterial RNA polymerase: A promising target for the discovery of new antimicrobial agents. Curr. Opin. Investig. Drugs 2007, 8, 600–607. [Google Scholar] [PubMed]
- Kuroda, M.; Ohta, T.; Uchiyama, I.; Baba, T.; Yuzawa, H.; Kobayashi, I.; Cui, L.; Oguchi, A.; Aoki, K.-I.; Nagai, Y. Whole genome sequencing of meticillin-resistant Staphylococcus aureus. Lancet 2001, 357, 1225–1240. [Google Scholar] [CrossRef] [PubMed]
- Tersariol, I.L.d.S.; Pimenta, D.; Chagas, J.R.; Almeida, P. Proteinase activity regulation by glycosaminoglycans. Braz. J. Med. Biol. Res. 2002, 35, 135–144. [Google Scholar] [CrossRef] [PubMed]
- Secades, P.; Guijarro, J. Purification and characterization of an extracellular protease from the fish pathogen Yersinia ruckeri and effect of culture conditions on production. Appl. Environ. Microbiol. 1999, 65, 3969–3975. [Google Scholar] [CrossRef] [PubMed]
- Indarmawan, T.; Mustopa, A.Z.; Budiarto, B.R.; Tarman, K. Antibacterial activity of extracellular protease isolated from an algicolous fungus Xylaria psidii KT30 against gram-positive bacteria. HAYATI J. Biosci. 2016, 23, 73–78. [Google Scholar] [CrossRef]
- Rachanamol, R.; Lipton, A.; Thankamani, V.; Sarika, A.; Selvin, J. Production of protease showing antibacterial activity by Bacillus subtilis VCDA associated with tropical marine sponge Callyspongia diffusa. J. Microb. Biochem. Technol. 2017, 9, 270–277. [Google Scholar]
- Tarek, H.; Nam, K.B.; Kim, Y.K.; Suchi, S.A.; Yoo, J.C. Biochemical Characterization and Application of a Detergent Stable, Antimicrobial and Antibiofilm Potential Protease from Bacillus siamensis. Int. J. Mol. Sci. 2023, 24, 5774. [Google Scholar] [CrossRef] [PubMed]
- Tarek, H.; Cho, S.S.; Hossain, M.S.; Yoo, J.C. Attenuation of oxidative damage via upregulating Nrf2/HO-1 signaling pathway by protease SH21 with exerting anti-inflammatory and anticancer properties in vitro. Cells 2023, 12, 2190. [Google Scholar] [CrossRef] [PubMed]
- Creaser, E. The induced (adaptive) biosynthesis of β-galactosidase in Staphylococcus aureus. Microbiology 1955, 12, 288–297. [Google Scholar] [CrossRef] [PubMed]
- Muthu, S.; Gopal, V.B.; Soundararajan, S.; Nattarayan, K.; Narayan, K.S.; Lakshmikanthan, M.; Malairaj, S.; Perumal, P. Antibacterial serine protease from Wrightia tinctoria: Purification and characterization. Plant Physiol. Biochem. 2017, 112, 161–172. [Google Scholar] [CrossRef] [PubMed]
- Benmebarek, H.; Escuder-Rodríguez, J.-J.; González-Siso, M.-I.; Karroub, K. Test for the production and assay of the proteolytic activities of halophilic bacteria and archaea isolated from Algerian hypersaline environments. Proceedings 2020, 66, 12. [Google Scholar] [CrossRef]
- Marri, L.; Dallai, R.; Marchini, D. The novel antibacterial peptide ceratotoxin A alters permeability of the inner and outer membrane of Escherichia coli K-12. Curr. Microbiol. 1996, 33, 40–43. [Google Scholar] [CrossRef] [PubMed]
- Tsuji, Y.; Aoyama, T.; Takeuchi, K.; Homma, K.; Takahashi, H.; Nakajima, Y.; Shimada, I.; Natori, S. Identification and characterization of an antibacterial peptide of the 26-kDa protease of Sarcophaga peregrina with antibacterial activity. J. Biochem. 2001, 130, 313–318. [Google Scholar] [CrossRef] [PubMed]
- Wei, C.; Cui, P.; Liu, X. Antibacterial Activity and Mechanism of Madecassic Acid against Staphylococcus aureus. Molecules 2023, 28, 1895. [Google Scholar] [CrossRef] [PubMed]
- Miao, J.; Zhou, J.; Liu, G.; Chen, F.; Chen, Y.; Gao, X.; Dixon, W.; Song, M.; Xiao, H.; Cao, Y. Membrane disruption and DNA binding of Staphylococcus aureus cell induced by a novel antimicrobial peptide produced by Lactobacillus paracasei subsp. tolerans FX-6. Food Control 2016, 59, 609–613. [Google Scholar] [CrossRef]
- Xiao, J.; Zhang, H.; Niu, L.; Wang, X. Efficient screening of a novel antimicrobial peptide from Jatropha curcas by cell membrane affinity chromatography. J. Agric. Food Chem. 2011, 59, 1145–1151. [Google Scholar] [CrossRef] [PubMed]
- Ko, S.J.; Kang, N.H.; Kim, M.K.; Park, J.; Park, E.; Park, G.H.; Kang, T.W.; Park, J.B.; Yi, Y.E.; Jeon, S.H. Antibacterial and anti-biofilm activity, and mechanism of action of pleurocidin against drug resistant Staphylococcus aureus. Microb. Pathog. 2019, 127, 70–78. [Google Scholar] [CrossRef] [PubMed]




| Treatment | Antimicrobial Activity (mm) | |
|---|---|---|
| pH | 3 | 11 ± 41 |
| 6 | 14 ± 35 | |
| 9 | 16 ± 42 | |
| 12 | 0 ± 00 | |
| Temperature (°C) | 30 | 16 ± 14 |
| 40 | 16 ± 45 | |
| 50 | 16 ± 36 | |
| 60 | 15 ± 28 | |
| 70 | 14 ± 48 | |
| 80 | 13 ± 24 | |
| 100 | 12 ± 10 | |
| 121 | 0 ± 00 |
Disclaimer/Publisher’s Note: The statements, opinions and data contained in all publications are solely those of the individual author(s) and contributor(s) and not of MDPI and/or the editor(s). MDPI and/or the editor(s) disclaim responsibility for any injury to people or property resulting from any ideas, methods, instructions or products referred to in the content. |
© 2024 by the authors. Licensee MDPI, Basel, Switzerland. This article is an open access article distributed under the terms and conditions of the Creative Commons Attribution (CC BY) license (https://creativecommons.org/licenses/by/4.0/).
Share and Cite
Tarek, H.; Cho, S.S.; Nam, K.B.; Lee, J.M.; Lee, S.H.; Yoo, J.C. Mode of Action of Antimicrobial Potential Protease SH21 Derived from Bacillus siamensis. Int. J. Mol. Sci. 2024, 25, 7046. https://doi.org/10.3390/ijms25137046
Tarek H, Cho SS, Nam KB, Lee JM, Lee SH, Yoo JC. Mode of Action of Antimicrobial Potential Protease SH21 Derived from Bacillus siamensis. International Journal of Molecular Sciences. 2024; 25(13):7046. https://doi.org/10.3390/ijms25137046
Chicago/Turabian StyleTarek, Hasan, Seung Sik Cho, Kyung Bin Nam, Ji Min Lee, Sang Hun Lee, and Jin Cheol Yoo. 2024. "Mode of Action of Antimicrobial Potential Protease SH21 Derived from Bacillus siamensis" International Journal of Molecular Sciences 25, no. 13: 7046. https://doi.org/10.3390/ijms25137046
APA StyleTarek, H., Cho, S. S., Nam, K. B., Lee, J. M., Lee, S. H., & Yoo, J. C. (2024). Mode of Action of Antimicrobial Potential Protease SH21 Derived from Bacillus siamensis. International Journal of Molecular Sciences, 25(13), 7046. https://doi.org/10.3390/ijms25137046

