Genome-Wide Association Study with Three Control Cohorts of Japanese Patients with Esotropia and Exotropia of Comitant Strabismus and Idiopathic Superior Oblique Muscle Palsy
Abstract
1. Introduction
2. Results
2.1. Eligible Case Samples
2.2. Imputed SNP Dosage in Three Different Control Cohorts
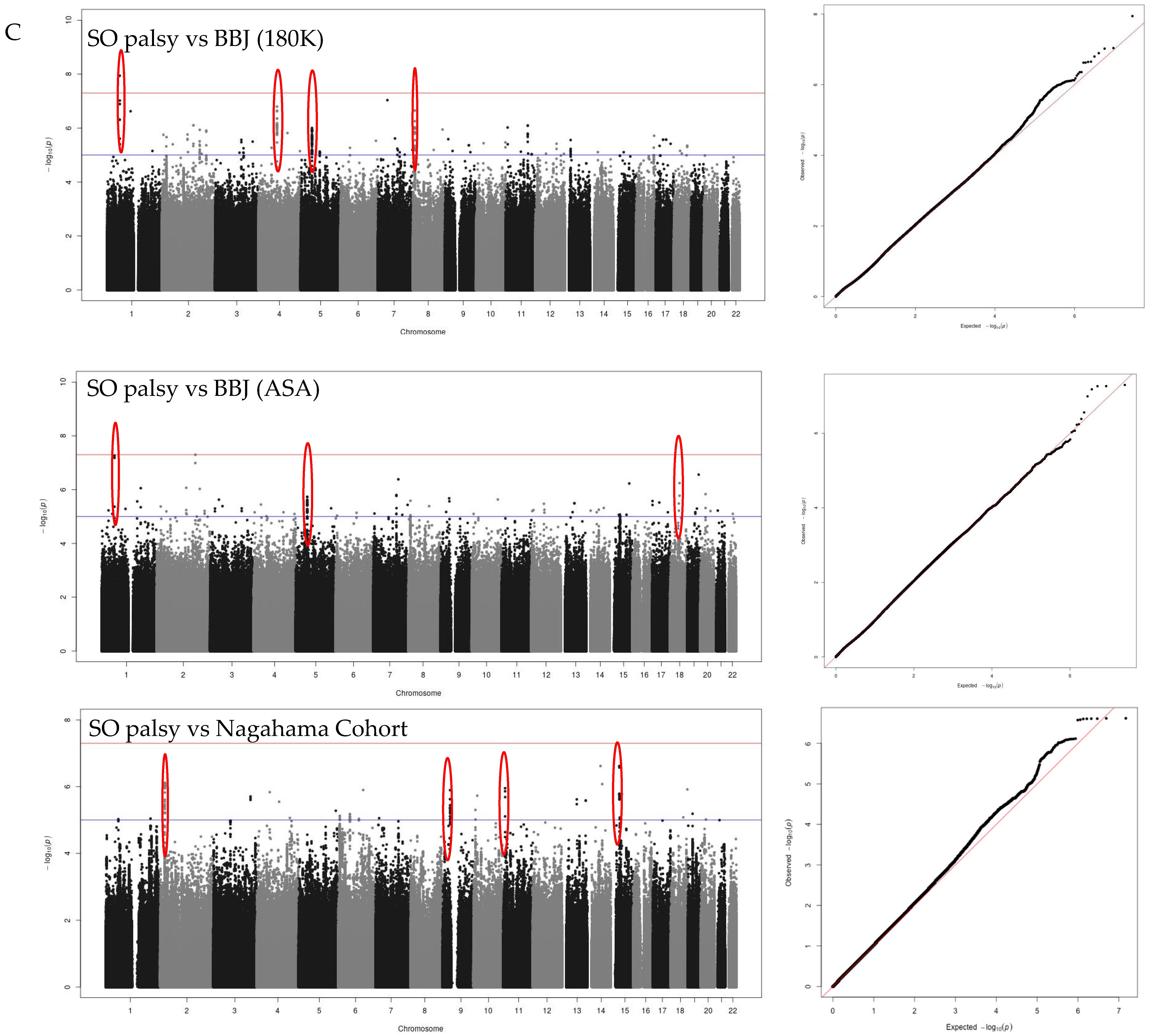
2.3. GWAS with Three Different Control Cohorts
3. Discussion
4. Materials and Methods
4.1. Participants
4.2. Genotyping of Participants
4.3. Control Samples
4.4. Whole-Genome Imputation
4.5. Genome-Wide Association Study
Supplementary Materials
Author Contributions
Funding
Institutional Review Board Statement
Informed Consent Statement
Data Availability Statement
Conflicts of Interest
References
- Zhang, J.; Matsuo, T.; Hamasaki, I.; Sato, K. Whole exome-sequencing of pooled genomic DNA samples to detect quantitative trait loci in esotropia and exotropia of strabismus in Japanese. Life 2022, 12, 41. [Google Scholar] [CrossRef] [PubMed]
- Matsuo, T.; Chaomulige, M.M.; Hosoya, O.; Saito, A.; Nakazono, K. Candidate genes in testing strategies for linkage analysis and bioinformatic sorting of whole genome sequencing data in three small Japanese families with idiopathic superior oblique muscle palsy. Int. J. Mol. Sci. 2022, 23, 8626. [Google Scholar] [CrossRef]
- Matsuo, T.; Matsuo, C.; Matsuoka, H.; Kio, K. Detection of strabismus and amblyopia in 1.5- and 3-year-old children by a preschool vision-screening program in Japan. Acta Med. Okayama 2007, 61, 9–16. [Google Scholar] [PubMed]
- Matsuo, T.; Matsuo, C. The prevalence of strabismus and amblyopia in Japanese elementary school children. Ophthalmic Epidemiol. 2005, 12, 31–36. [Google Scholar] [CrossRef] [PubMed]
- Matsuo, T.; Matsuo, C. Comparison of prevalence rates of strabismus and amblyopia in Japanese elementary school children between the years 2003 and 2005. Acta Med. Okayama 2007, 61, 329–334. [Google Scholar] [PubMed]
- Matsuo, T.; Matsuo, C.; Kio, K.; Ichiba, N.; Matsuoka, H. Is refraction with a hand-held autorefractometer useful in addition to visual acuity testing and questionnaires in preschool vision screening at 3.5 years in Japan? Acta Med. Okayama 2009, 63, 195–202. [Google Scholar] [PubMed]
- Matsuo, T.; Matsuo, C.; Kayano, M.; Mitsufuji, A.; Satou, C.; Matsuoka, H. Photorefraction with spot vision screener versus visual acuity testing as community-based preschool vision screening at the age of 3.5 years in Japan. Int. J. Environ. Res. Public Health 2022, 19, 8655. [Google Scholar] [CrossRef] [PubMed]
- Michaelides, M.; Moore, A.T. The genetics of strabismus. J. Med. Genet. 2004, 41, 641–646. [Google Scholar] [CrossRef] [PubMed]
- Maconachie, G.D.E.; Gottlob, I.; McLean, R.J. Risk factors and genetics in common comitant strabismus: A systematic review of the literature. JAMA Ophthalmol. 2013, 131, 1179–1186. [Google Scholar] [CrossRef] [PubMed]
- Ye, X.C.; Pegado, V.; Patel, M.S.; Wasserman, W.W. Strabismus genetics across a spectrum of eye misalignment disorders. Clin. Genet. 2014, 86, 103–111. [Google Scholar] [CrossRef] [PubMed]
- Matsuo, T.; Yamane, T.; Ohtsuki, H. Heredity versus abnormalities in pregnancy and delivery as risk factors for different types of comitant strabismus. J. Pediatr. Ophthalmol. Strabismus 2001, 38, 78–82. [Google Scholar] [CrossRef] [PubMed]
- Taira, Y.; Matsuo, T.; Yamane, T.; Hasebe, S.; Ohtsuki, H. Clinical features of comitant strabismus related to family history of strabismus or abnormalities in pregnancy and delivery. Jpn. J. Ophthalmol. 2003, 47, 208–213. [Google Scholar] [CrossRef] [PubMed]
- Podgor, M.J.; Remaley, N.A.; Chew, E. Associations between siblings for esotropia and exotropia. Arch. Ophthalmol. 1996, 114, 739–744. [Google Scholar] [CrossRef] [PubMed]
- Matsuo, T.; Hayashi, M.; Fujiwara, H.; Yamane, T.; Ohtsuki, H. Concordance of strabismic phenotypes in monozygotic versus multizygotic twins and other multiple births. Jpn. J. Ophthalmol. 2002, 46, 59–64. [Google Scholar] [CrossRef] [PubMed]
- Cotter, S.A.; Varma, R.; Tarczy-Hornoch, K.; McKean-Cowdin, R.; Lin, J.; Wen, G.; Wei, J.; Borchert, M.; Azen, S.P.; Torres, M.; et al. Risk factors associated with childhood strabismus: The Multi-Ethnic Pediatric Eye Disease and Baltimore Pediatric Eye Disease Studies. Ophthalmology 2011, 118, 2251–2261. [Google Scholar] [CrossRef] [PubMed]
- Jacobson, L.K.; Dutton, G.N. Periventricular leukomalacia: An important cause of visual and ocular motility dysfunction in children. Surv. Ophthalmol. 2000, 45, 1–13. [Google Scholar] [CrossRef] [PubMed]
- Engle, E.C. Genetic basis of congenital strabismus. Arch. Ophthalmol. 2007, 125, 189–195. [Google Scholar] [CrossRef] [PubMed]
- Graeber, C.P.; Hunter, D.G.; Engle, E.C. The genetic basis of incomitant strabismus: Consolidation of the current knowledge of the genetic foundations of disease. Semin. Ophthalmol. 2013, 28, 427–437. [Google Scholar] [CrossRef] [PubMed]
- Matsuo, T.; Ohtsuki, H.; Sogabe, Y.; Konishi, H.; Takenawa, K.; Watanabe, Y. Vertical abnormal retinal correspondence in three patients with congenital absence of the superior oblique muscle. Am. J. Ophthalmol. 1988, 106, 341–345. [Google Scholar] [CrossRef] [PubMed]
- Uchiyama, E.; Matsuo, T.; Imai, S.; Itoshima, E. Paretic side/normal side ratios of cross-sectional areas of the superior oblique muscle vary largely in idiopathic superior oblique palsy. Am. J. Ophthalmol. 2010, 149, 508–512. [Google Scholar] [CrossRef] [PubMed]
- Jiang, Y.; Matsuo, T.; Fujiwara, H.; Hasebe, S.; Ohtsuki, H.; Yasuda, T. ARIX gene polymorphisms in patients with congenital superior oblique muscle palsy. Br. J. Ophthalmol. 2004, 88, 263–267. [Google Scholar] [CrossRef] [PubMed][Green Version]
- Jiang, Y.; Matsuo, T.; Fujiwara, H.; Hasebe, S.; Ohtsuki, H.; Yasuda, T. ARIX and PHOX2B polymorphisms in patients with congenital superior oblique muscle palsy. Acta Med. Okayama 2005, 59, 55–62. [Google Scholar] [PubMed]
- Imai, S.; Matsuo, T.; Itoshima, E.; Ohtsuki, H. Clinical features, ARIX and PHOX2B nucleotide changes in three families with congenital superior oblique muscle palsy. Acta Med. Okayama 2008, 62, 45–53. [Google Scholar] [PubMed]
- Ohkubo, S.I.; Matsuo, T.; Hasebe, K.; Shira, Y.H.; Itoshima, E.; Ohtsuki, H. Phenotype-phenotype and genotype-phenotype correlations in patients with idiopathic superior oblique muscle palsy. J. Hum. Genet. 2012, 57, 122–129. [Google Scholar] [CrossRef] [PubMed][Green Version]
- Parikh, V.; Shugart, Y.Y.; Doheny, K.F.; Zhang, J.; Li, L.; Williams, J.; Hayden, D.; Craig, B.; Capo, H.; Chamblee, D.; et al. A strabismus susceptibility locus on chromosome 7p. Proc. Natl. Acad. Sci. USA 2003, 100, 12283–12288. [Google Scholar] [CrossRef] [PubMed]
- Rice, A.; Nsengimana, J.; Simmons, I.G.; Toomes, C.; Hoole, J.; Willoughby, C.E.; Cassidy, F.; Williams, G.A.; George, N.D.; Sheridan, E.; et al. Replication of the recessive STBMS1 locus but with dominant inheritance. Investig. Ophthalmol. Vis. Sci. 2009, 50, 3210–3217. [Google Scholar] [CrossRef] [PubMed]
- Fujiwara, H.; Matsuo, T.; Sato, M.; Yamane, T.; Kitada, M.; Hasebe, S.; Ohtsuki, H. Genome-wide search for strabismus susceptibility loci. Acta Med. Okayama 2003, 57, 109–116. [Google Scholar] [PubMed]
- Shaaban, S.; Matsuo, T.; Fujiwara, H.; Itoshima, E.; Furuse, T.; Hasebe, S.; Zhang, Q.; Ott, J.; Ohtsuki, H. Chromosomes 4q28.3 and 7q31.2 as new susceptibility loci for comitant strabismus. Investig. Ophthalmol. Vis. Sci. 2009, 50, 654–661. [Google Scholar] [CrossRef] [PubMed]
- Shaaban, S.; Matsuo, T.; Strauch, K.; Ohtsuki, H. Investigation of parent-of-origin effect in comitant strabismus using MOD score analysis. Mol. Vis. 2009, 15, 1351–1358. [Google Scholar] [PubMed]
- Khan, A.O.; Shinwari, J.; Abu Dhaim, N.; Khalil, D.; Al Sharif, L.; Al Tassan, N. Potential linkage of different phenotypic forms of childhood strabismus to a recessive susceptibility locus (16p13.12-p12.3). Mol. Vis. 2011, 17, 971–976. [Google Scholar] [PubMed]
- Bosten, J.M.; Hogg, R.E.; Bargary, G.; Goodbourn, P.T.; Lawrance-Owen, A.J.; Mollon, J.D. Suggestive association with ocular phoria at chromosome 6p22. Investig. Ophthalmol. Vis. Sci. 2014, 55, 345–352. [Google Scholar]
- Zhang, J.; Matsuo, T. MGST2 and WNT2 are candidate genes for comitant strabismus susceptibility in Japanese patients. PeerJ 2017, 5, e3935. [Google Scholar] [PubMed]
- Shaaban, S.; MacKinnon, S.; Andrews, C.; Staffieri, S.E.; Maconachie, G.D.E.; Chan, W.M.; Whitman, M.C.; Morton, S.U.; Yazar, S.; MacGregor, S.; et al. Genome-wide association study identifies a susceptibility locus for comitant esotropia and suggests a parent-of-origin effect. Investig. Ophthalmol. Vis. Sci. 2018, 59, 4054–4064. [Google Scholar]
- Plotnikov, D.; Shah, R.L.; Rodrigues, J.N.; Cumberland, P.M.; Rahi, J.S.; Hysi, P.G.; Atan, D.; Williams, C.; Guggenheim, J.A.; UK Biobank Eye and Vision Consortium. A commonly occurring genetic variant within the NPLOC4-TSPAN10-PDE6G gene cluster is associated with the risk of strabismus. Hum. Genet. 2019, 138, 723–737. [Google Scholar] [PubMed]
- Chaomulige; Matsuo, T.; Sugimoto, K.; Miyaji, M.; Hosoya, O.; Ueda, M.; Kobayashi, R.; Horii, T.; Hatada, I. Morphometric analysis of the eye by magnetic resonance imaging in MGST2-gene-deficient mice. Biomedicines 2024, 12, 370. [Google Scholar] [CrossRef] [PubMed]
- Ye, X.C.; Roslin, N.M.; Paterson, A.D.; Lyons, C.J.; Pegado, V.; Richmond, P.; Shyr, C.; Fornes, O.; Han, X.H.; Higginson, M.; et al. Linkage analysis identifies an isolated strabismus locus at 14q12 overlapping with FOXG1 syndrome region. J. Med. Genet. 2022, 59, 46–55. [Google Scholar] [PubMed]
- Uffelmann, E.; Huang, Q.Q.; Munung, N.S.; de Vries, J.; Okada, Y.; Martin, A.R.; Martin, H.C.; Lappalainen, T.; Posthuma, D. Genome-wide association studies. Nat. Rev. 2021, 1, 59. [Google Scholar]
- Kanai, M.; Akiyama, M.; Takahashi, A.; Matoba, N.; Momozawa, Y.; Ideda, M.; Iwata, N.; Ikegawa, S.; Hirata, M.; Matsuda, K.; et al. Genetic analysis of quantitative traits in the Japanese population links cell types to complex human diseases. Nat. Genet. 2018, 50, 390–400. [Google Scholar] [CrossRef] [PubMed]
- Morita, Y.; Kamatani, Y.; Ito, H.; Ikegawa, S.; Kawaguchi, T.; Kawaguchi, S.; Takahashi, M.; Terao, C.; Ito, S.; Nishitani, K.; et al. Improved genetic prediction of the risk of knee osteoarthritis using the risk factor-based polygenic score. Arthritis Res. Ther. 2023, 25, 103. [Google Scholar] [PubMed]
- Shoaib, M.; Ye, Q.; IglayReger, H.; Tan, M.H.; Boehnke, M.; Burant, C.F.; Soleimanpour, S.A.; Talium, A.S.G. Evaluation of polygenic risk scores to differentiate between type 1 and type 2 diabetes. Genet. Epidemiol. 2023, 47, 303–313. [Google Scholar] [CrossRef] [PubMed]
- Ye, X.C.; van der Lee, R.; Wasserman, W.W. Curation and bioinformatic analysis of strabismus genes supports functional heterogeneity and proposes candidate genes with connections to RASopathies. Gene 2019, 697, 213–226. [Google Scholar] [CrossRef] [PubMed]
- Ma, W.X.; Huang, X.G.; Yang, T.K.; Yao, J.Y. Involvement of dysregulated coding and long non-coding RNAs in the pathogenesis of strabismus. Mol. Med. Rep. 2018, 17, 7737–7745. [Google Scholar] [CrossRef] [PubMed]
- Corral-Juan, M.; Serrano-Munuera, C.; Rabano, A.; Cota-Gonzalez, D.; Segarra-Roca, A.; Ispierto, L.; Cano-Orgaz, A.T.; Adarmes, A.D.; Mendez-del-Barrio, C.; Jesus, S.; et al. Clinical, genetic and neuropathological characterization of spinocerebellar ataxia type 37. Brain 2018, 141, 1981–1997. [Google Scholar] [CrossRef] [PubMed]
- Matsuo, T. The genes involved in the morphogenesis of the eye. Jpn. J. Ophthalmol. 1993, 37, 215–251. [Google Scholar] [PubMed]
- Cvekl, A.; Wang, W.L. Retinoic acid signaling in mammalian eye development. Exp. Eye Res. 2009, 89, 280–291. [Google Scholar] [CrossRef] [PubMed]
- Thompson, B.; Katsanis, N.; Apostolopoulos, N.; Thompson, D.C.; Nebert, D.W.; Vasiliou, V. Genetics and functions of the retinoic acid pathway, with special emphasis on the eye. Hum. Genom. 2019, 13, 61. [Google Scholar] [CrossRef] [PubMed]
- Hebert, S.L.; Fitzpatrick, K.P.; McConnell, S.A.; Cucak, A.; Yuan, C.; McLoon, L.K. Effects of retinoic acid signaling on extraocular muscle myogenic precursor cells in vitro. Exp. Cell Res. 2017, 361, 101–111. [Google Scholar] [CrossRef] [PubMed]
- Comai, G.E.; Tesařová, M.; Dupé, V.; Rhinn, M.; Vallecillo-García, P.; da Silva, F.; Feret, B.; Exelby, K.; Dollé, P.; Carlsson, L.; et al. Local retinoic acid signaling directs emergence of the extraocular muscle functional unit. PLoS Biol. 2020, 18, e3000902. [Google Scholar] [CrossRef] [PubMed]
- Nagai, A.; Hirata, M.; Kamatani, Y.; Muto, K.; Matsuda, K.; Kiyohara, Y.; Ninomiya, T.; Tamakoshi, A.; Yamagata, Z.; Mushiroda, T.; et al. Overview of the BioBank Japan project: Study design and profile. J. Epidemiol. 2017, 27, S2–S8. [Google Scholar] [CrossRef] [PubMed]
- Setoh, K.; Matsuda, F. Chapter 7. Cohort profile: The Nagahama prospective genome cohort for comprehensive human bioscience (The Nagahama Study). In Socio-Life Science and the COVID-19 Outbreak: Public Health and Public Policy; Series of Economics, Law, and Institutions on Asia Pacific; Yano, M., Matsuda, F., Sakuntabhai, A., Hirota, S., Eds.; eBook; Springer Nature: Singapore, 2022; pp. 127–143. [Google Scholar]
- The 1000 Genomes Project Consortium. A map of human genome variation from population-scale sequencing. Nature 2010, 467, 1061–1073. [Google Scholar] [CrossRef] [PubMed]
- Sudmant, P.H.; Rausch, T.; Gardner, E.J.; Handsaker, R.E.; Abyzov, A.; Huddleston, J.; Zhang, Y.; Ye, K.; Jun, G.; Hsi-Yang Fritz, M.; et al. An integrated map of structural variation in 2504 human genomes. Nature 2015, 526, 75–81. [Google Scholar] [CrossRef] [PubMed]
- Purcell, S.; Neale, B.; Todd-Brown, K.; Thomas, L.; Ferreira, M.A.R.; Bender, D.; Maller, J.; Sklar, P.; de Bakker, P.I.W.; Daly, M.J.; et al. PLINK: A tool set for whole-genome association and population-based linkage analyses. Am. J. Hum. Genet. 2007, 81, 559–575. [Google Scholar] [CrossRef] [PubMed]
- Li, Y.; Willer, C.; Sanna, S.; Abecasis, G. Genotype imputation. Annu. Rev. Genom. Hum. Genet. 2009, 10, 387–406. [Google Scholar] [CrossRef] [PubMed]
- Altschul, S.F.; Gish, W.; Miller, W.; Myers, E.W.; Lipman, D.J. Basic local alignment search tool. J. Mol. Biol. 1990, 215, 403–410. [Google Scholar] [CrossRef] [PubMed]
- Browning, B.L.; Zhou, Y.; Browning, S.R. A one-penny imputed genome from next-generation reference panels. Am. J. Hum. Genet. 2018, 103, 338–348. [Google Scholar] [CrossRef] [PubMed]
- Browning, S.R.; Browning, B.L. Rapid and accurate haplotype phasing and missing-data inference for whole-genome association studies by use of localized haplotype clustering. Am. J. Hum. Genet. 2007, 81, 1084–1097. [Google Scholar] [CrossRef] [PubMed]
- Loh, P.R.; Palamara, P.F.; Price, A.L. Fast and accurate long-range phasing in a UK Biobank cohort. Nat. Genet. 2016, 48, 811–816. [Google Scholar] [CrossRef] [PubMed]
- Loh, P.R.; Danecek, P.; Palamara, P.F.; Fuchsberger, C.; Reshef, Y.A.; Finucane, H.K.; Schoenherr, S.; Forer, L.; McCarthy, S.; Abecasis, G.R.; et al. Reference-based phasing using the Haplotype Reference Consortium panel. Nat. Genet. 2016, 48, 1443–1448. [Google Scholar] [CrossRef] [PubMed]
- Das, S.; Forer, L.; Schonherr, S.; Sidore, C.; Locke, A.E.; Kwong, A.; Vrieze, S.I.; Chew, E.Y.; Levy, S.; McGue, M.; et al. Next-generation genotype imputation service and methods. Nat. Genet. 2016, 48, 1284–1287. [Google Scholar] [CrossRef] [PubMed]
- Mbatchou, J.; Barnard, L.; Backman, J.; Marcketta, A.; Kosmicki, J.A.; Ziyatdinov, A.; Benner, C.; O’Dushlaine, C.; Barber, M.; Boutkov, B.; et al. Computationally efficient whole-genome regression for quantitative and binary traits. Nat. Genet. 2021, 53, 1097–1103. [Google Scholar] [CrossRef] [PubMed]
- Abraham, G.; Qiu, Y.; Inouye, M. FlashPCA2: Principal component analysis of Biobank-scale genotype datasets. Bioinformatics 2017, 33, 2776–2778. [Google Scholar] [CrossRef] [PubMed]
- Pruim, R.J.; Welch, R.P.; Sanna, S.; Teslovich, T.M.; Chines, P.S.; Gliedt, T.P.; Boehnke, M.; Abecasis, G.R.; Willer, C.J. LocusZoom: Regional visualization of genome-wide association scan results. Bioinformatics 2010, 26, 2336–2337. [Google Scholar] [CrossRef] [PubMed]
















| GWAS | SNP | Chromosomal Location | Genes | Full Name | Function |
|---|---|---|---|---|---|
| Esotropia vs. BBJ (180K) Esotropia vs. BBJ (ASA) Esotropia vs. Nagahama | 35,665,716 35,612,917 35,384,605 | 1p34.3 | SFPQ | Splicing factor proline and glutamine rich | Alternative mRNA splicing |
| Esotropia vs. BBJ (180K) Esotropia vs. BBJ (ASA) Esotropia vs. Nagahama | 22,1040,171 22,1040,171 22,1030,589 | 1q41 | HLX-AS1 | HLX antisense RNA 1 | |
| Esotropia vs. BBJ (180K) Esotropia vs. BBJ (ASA) Esotropia vs. Nagahama | 101,419,925 101,406,820 101,488,901 | 8q22.2 | MIR4471 | microRNA 4471 | Post-transcriptional regulation of gene expression |
| SO palsy vs. BBJ (180K) SO palsy vs. BBJ (ASA) SO palsy vs. Nagahama | 58,240,503 58,357,705 58,243,570 | 1p32.2-p32.1 | DAB1 | DAB adaptor protein 1 | Neuronal migration |
| SO palsy vs. BBJ (180K) SO palsy vs. BBJ (ASA) SO palsy vs. Nagahama | 51,793,524 51,842658 51,778,296 | 5q11.2 | PELO | Pelota mRNA surveillance and ribosome rescue factor | Cell cycle control |
| GWAS | SNP | Chromosomal Location | Genes | Full Name | Function |
|---|---|---|---|---|---|
| Esotropia vs. BBJ (180K) | 174,265,779 | 2q31.1 | CDCA7 | Cell division cycle associated 7 | Cell transformation |
| Exotropia vs. BBJ (180K) | 29,677,877 | 6p22.1 | HLA-F | Major histocompatibility complex, class I, F | |
| SO palsy vs. BBJ (180K) | 58,240,503 | 1p32.2 | DAB1-AS1 | DAB1 antisense RNA 1 | Neuronal migration |
| ET+XT vs. BBJ (180K) | 195,019,926 | 3q29 | ACAP2 | ArfGAP with coiled-coil, ankyrin repeat, and PH domains 2 | Actin filament-based process |
| ET+XT vs. BBJ (180K) | 29,677,877 | 6p22.1 | HLA-F | Major histocompatibility complex, class I, F | |
| ET+XT+SO vs. BBJ (180K) | 25,228,113 | 3p24.2 | RARB | Retinoic acid receptor beta | Embryonic morphogenesis, cell growth and differentiation |
| ET+XT+SO vs. BBJ (180K) | 29,677,877 | 6p22.1 | HLA-F | Major histocompatibility complex, class I, F |
Disclaimer/Publisher’s Note: The statements, opinions and data contained in all publications are solely those of the individual author(s) and contributor(s) and not of MDPI and/or the editor(s). MDPI and/or the editor(s) disclaim responsibility for any injury to people or property resulting from any ideas, methods, instructions or products referred to in the content. |
© 2024 by the authors. Licensee MDPI, Basel, Switzerland. This article is an open access article distributed under the terms and conditions of the Creative Commons Attribution (CC BY) license (https://creativecommons.org/licenses/by/4.0/).
Share and Cite
Matsuo, T.; Hamasaki, I.; Kamatani, Y.; Kawaguchi, T.; Yamaguchi, I.; Matsuda, F.; Saito, A.; Nakazono, K.; Kamitsuji, S. Genome-Wide Association Study with Three Control Cohorts of Japanese Patients with Esotropia and Exotropia of Comitant Strabismus and Idiopathic Superior Oblique Muscle Palsy. Int. J. Mol. Sci. 2024, 25, 6986. https://doi.org/10.3390/ijms25136986
Matsuo T, Hamasaki I, Kamatani Y, Kawaguchi T, Yamaguchi I, Matsuda F, Saito A, Nakazono K, Kamitsuji S. Genome-Wide Association Study with Three Control Cohorts of Japanese Patients with Esotropia and Exotropia of Comitant Strabismus and Idiopathic Superior Oblique Muscle Palsy. International Journal of Molecular Sciences. 2024; 25(13):6986. https://doi.org/10.3390/ijms25136986
Chicago/Turabian StyleMatsuo, Toshihiko, Ichiro Hamasaki, Yoichiro Kamatani, Takahisa Kawaguchi, Izumi Yamaguchi, Fumihiko Matsuda, Akira Saito, Kazuyuki Nakazono, and Shigeo Kamitsuji. 2024. "Genome-Wide Association Study with Three Control Cohorts of Japanese Patients with Esotropia and Exotropia of Comitant Strabismus and Idiopathic Superior Oblique Muscle Palsy" International Journal of Molecular Sciences 25, no. 13: 6986. https://doi.org/10.3390/ijms25136986
APA StyleMatsuo, T., Hamasaki, I., Kamatani, Y., Kawaguchi, T., Yamaguchi, I., Matsuda, F., Saito, A., Nakazono, K., & Kamitsuji, S. (2024). Genome-Wide Association Study with Three Control Cohorts of Japanese Patients with Esotropia and Exotropia of Comitant Strabismus and Idiopathic Superior Oblique Muscle Palsy. International Journal of Molecular Sciences, 25(13), 6986. https://doi.org/10.3390/ijms25136986

