The Immune Checkpoint BTLA in Oral Cancer: Expression Analysis and Its Correlation to Other Immune Modulators
Abstract
1. Introduction
2. Results
2.1. Demographic, Clinical and Histomorphologic Characteristics of the Study Groups
2.2. Comparison of BTLA Expression in Tissue between OSCC and NOM Group
2.3. RT-qPCR
2.4. Immunohistochemistry
2.5. Association of BTLA in Tissue Samples with Histomorphological and Clinical Parameters (T-, N-, UICC-Status, Grading) of OSCC Patients
2.6. Comparison of the Expression of Immune Modulators Used for Correlation Analyses in Tissue between OSCC and NOM Group
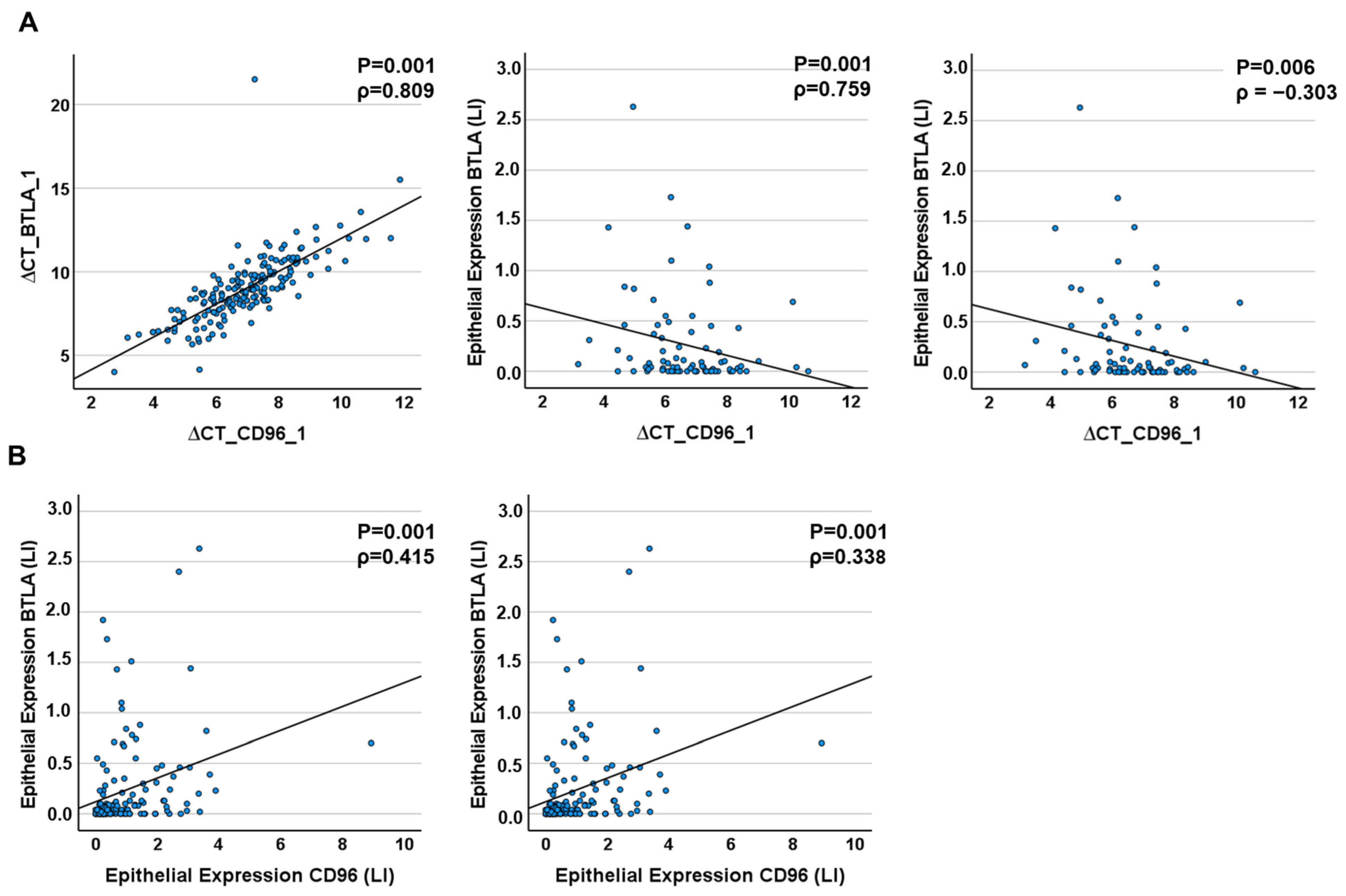
2.7. Spearman Correlation Analysis of BTLA to PD1 and the Ligands PD-L1 and PD-L2 and CD96
3. Discussion
4. Material and Methods
4.1. Description of the Study Collective and Collection of Samples
4.2. Sampling of Tissue Specimens
4.3. Isolation of mRNA and RT-qPCR Analysis
4.4. Detection and Quantitative Analysis of BLTA and CD96 Expression by Immunohistochemistry
4.5. Statistics
5. Conclusions
Author Contributions
Funding
Institutional Review Board Statement
Informed Consent Statement
Data Availability Statement
Acknowledgments
Conflicts of Interest
References
- Sung, H.; Ferlay, J.; Siegel, R.L.; Laversanne, M.; Soerjomataram, I.; Jemal, A.; Bray, F. Global Cancer Statistics 2020: GLOBOCAN Estimates of Incidence and Mortality Worldwide for 36 Cancers in 185 Countries. CA Cancer J. Clin. 2021, 71, 209–249. [Google Scholar] [CrossRef] [PubMed]
- Siegel, R.L.; Miller, K.D.; Wagle, N.S.; Jemal, A. Cancer statistics, 2023. CA Cancer J. Clin. 2023, 73, 17–48. [Google Scholar] [CrossRef] [PubMed]
- Johnson, D.E.; Burtness, B.; Leemans, C.R.; Lui, V.W.Y.; Bauman, J.E.; Grandis, J.R. Head and neck squamous cell carcinoma. Nat. Rev. Dis. Prim. 2020, 6, 92. [Google Scholar] [CrossRef] [PubMed]
- Borst, J.; Ahrends, T.; Babala, N.; Melief, C.J.M.; Kastenmuller, W. CD4(+) T cell help in cancer immunology and immunotherapy. Nat. Rev. Immunol. 2018, 18, 635–647. [Google Scholar] [CrossRef] [PubMed]
- Bhatia, A.; Burtness, B. Treating Head and Neck Cancer in the Age of Immunotherapy: A 2023 Update. Drugs 2023, 83, 217–248. [Google Scholar] [CrossRef]
- Sordo-Bahamonde, C.; Lorenzo-Herrero, S.; Granda-Diaz, R.; Martinez-Perez, A.; Aguilar-Garcia, C.; Rodrigo, J.P.; Garcia-Pedrero, J.M.; Gonzalez, S. Beyond the anti-PD-1/PD-L1 era: Promising role of the BTLA/HVEM axis as a future target for cancer immunotherapy. Mol. Cancer 2023, 22, 142. [Google Scholar] [CrossRef] [PubMed]
- Wu, K.; Yi, M.; Qin, S.; Chu, Q.; Zheng, X.; Wu, K. The efficacy and safety of combination of PD-1 and CTLA-4 inhibitors: A meta-analysis. Exp. Hematol. Oncol. 2019, 8, 26. [Google Scholar] [CrossRef] [PubMed]
- Psyrri, A.; Fayette, J.; Harrington, K.; Gillison, M.; Ahn, M.J.; Takahashi, S.; Weiss, J.; Machiels, J.P.; Baxi, S.; Vasilyev, A.; et al. Durvalumab with or without tremelimumab versus the EXTREME regimen as first-line treatment for recurrent or metastatic squamous cell carcinoma of the head and neck: KESTREL, a randomized, open-label, phase III study. Ann. Oncol. 2023, 34, 262–274. [Google Scholar] [CrossRef]
- Haddad, R.I.; Harrington, K.; Tahara, M.; Ferris, R.L.; Gillison, M.; Fayette, J.; Daste, A.; Koralewski, P.; Zurawski, B.; Taberna, M.; et al. Nivolumab Plus Ipilimumab Versus EXTREME Regimen as First-Line Treatment for Recurrent/Metastatic Squamous Cell Carcinoma of the Head and Neck: The Final Results of CheckMate 651. J. Clin. Oncol. 2023, 41, 2166–2180. [Google Scholar] [CrossRef]
- Weber, M.; Lutz, R.; Olmos, M.; Glajzer, J.; Baran, C.; Nobis, C.P.; Most, T.; Eckstein, M.; Kesting, M.; Ries, J. Beyond PD-L1-Identification of Further Potential Therapeutic Targets in Oral Cancer. Cancers 2022, 14, 1812. [Google Scholar] [CrossRef]
- Trumet, L.; Weber, M.; Hahn, A.; Kunater, L.; Geppert, C.; Glajzer, J.; Struckmeier, A.K.; Most, T.; Lutz, R.; Kesting, M.; et al. The Immune Checkpoint Receptor CD96: A Local and Systemic Immune Modulator in Oral Cancer? Cancers 2023, 15, 2126. [Google Scholar] [CrossRef] [PubMed]
- Ning, Z.; Liu, K.; Xiong, H. Roles of BTLA in Immunity and Immune Disorders. Front. Immunol. 2021, 12, 654960. [Google Scholar] [CrossRef] [PubMed]
- Puntigam, L.K.; Jeske, S.S.; Gotz, M.; Greiner, J.; Laban, S.; Theodoraki, M.N.; Doescher, J.; Weissinger, S.E.; Brunner, C.; Hoffmann, T.K.; et al. Immune Checkpoint Expression on Immune Cells of HNSCC Patients and Modulation by Chemo- and Immunotherapy. Int. J. Mol. Sci. 2020, 21, 5181. [Google Scholar] [CrossRef] [PubMed]
- Andrzejczak, A.; Karabon, L. BTLA biology in cancer: From bench discoveries to clinical potentials. Biomark. Res. 2024, 12, 8. [Google Scholar] [CrossRef] [PubMed]
- Lu, L.; Zhan, M.; Li, X.Y.; Zhang, H.; Dauphars, D.J.; Jiang, J.; Yin, H.; Li, S.Y.; Luo, S.; Li, Y.; et al. Clinically approved combination immunotherapy: Current status, limitations, and future perspective. Curr. Res. Immunol. 2022, 3, 118–127. [Google Scholar] [CrossRef] [PubMed]
- Ingles Garces, A.H.; Au, L.; Mason, R.; Thomas, J.; Larkin, J. Building on the anti-PD1/PD-L1 backbone: Combination immunotherapy for cancer. Expert Opin. Investig. Drugs 2019, 28, 695–708. [Google Scholar] [CrossRef] [PubMed]
- Yap, T.A.; Parkes, E.E.; Peng, W.; Moyers, J.T.; Curran, M.A.; Tawbi, H.A. Development of Immunotherapy Combination Strategies in Cancer. Cancer Discov. 2021, 11, 1368–1397. [Google Scholar] [CrossRef] [PubMed]
- Chiu, W.C.; Ou, D.L.; Tan, C.T. Mouse Models for Immune Checkpoint Blockade Therapeutic Research in Oral Cancer. Int. J. Mol. Sci. 2022, 23, 9195. [Google Scholar] [CrossRef]
- Choi, J.; Medikonda, R.; Saleh, L.; Kim, T.; Pant, A.; Srivastava, S.; Kim, Y.H.; Jackson, C.; Tong, L.; Routkevitch, D.; et al. Combination checkpoint therapy with anti-PD-1 and anti-BTLA results in a synergistic therapeutic effect against murine glioblastoma. Oncoimmunology 2021, 10, 1956142. [Google Scholar] [CrossRef]
- Toor, S.M.; Sasidharan Nair, V.; Decock, J.; Elkord, E. Immune checkpoints in the tumor microenvironment. Semin. Cancer Biol. 2020, 65, 1–12. [Google Scholar] [CrossRef]
- Wehrhan, F.; Weber, M.; Baran, C.; Agaimy, A.; Buttner-Herold, M.; Kesting, M.; Ries, J. PD1 expression and correlation with its ligands in oral cancer specimens and peripheral blood. J. Cranio-Maxillo-Facial Surg. 2021, 49, 118–125. [Google Scholar] [CrossRef]
- Weber, M.; Wehrhan, F.; Baran, C.; Agaimy, A.; Buttner-Herold, M.; Kesting, M.; Ries, J. Prognostic significance of PD-L2 expression in patients with oral squamous cell carcinoma-A comparison to the PD-L1 expression profile. Cancer Med. 2019, 8, 1124–1134. [Google Scholar] [CrossRef] [PubMed]
- Weber, M.; Wehrhan, F.; Baran, C.; Agaimy, A.; Buttner-Herold, M.; Preidl, R.; Neukam, F.W.; Ries, J. PD-L1 expression in tumor tissue and peripheral blood of patients with oral squamous cell carcinoma. Oncotarget 2017, 8, 112584–112597. [Google Scholar] [CrossRef] [PubMed]
- Yu, Y.; Tang, H.; Franceschi, D.; Mujagond, P.; Acharya, A.; Deng, Y.; Lethaus, B.; Savkovic, V.; Zimmerer, R.; Ziebolz, D.; et al. Immune Checkpoint Gene Expression Profiling Identifies Programmed Cell Death Ligand-1 Centered Immunologic Subtypes of Oral and Squamous Cell Carcinoma With Favorable Survival. Front. Med. 2021, 8, 759605. [Google Scholar] [CrossRef]
- Karabon, L.; Partyka, A.; Ciszak, L.; Pawlak-Adamska, E.; Tomkiewicz, A.; Bojarska-Junak, A.; Rolinski, J.; Wolowiec, D.; Wrobel, T.; Frydecka, I.; et al. Abnormal Expression of BTLA and CTLA-4 Immune Checkpoint Molecules in Chronic Lymphocytic Leukemia Patients. J. Immunol. Res. 2020, 2020, 6545921. [Google Scholar] [CrossRef]
- De Trez, C.; Schneider, K.; Potter, K.; Droin, N.; Fulton, J.; Norris, P.S.; Ha, S.W.; Fu, Y.X.; Murphy, T.; Murphy, K.M.; et al. The inhibitory HVEM-BTLA pathway counter regulates lymphotoxin receptor signaling to achieve homeostasis of dendritic cells. J. Immunol. 2008, 180, 238–248. [Google Scholar] [CrossRef] [PubMed]
- Xin, H.; Zhu, J.; Miao, H.; Gong, Z.; Jiang, X.; Feng, X.; Tong, Y. Adenovirus-Mediated CCR7 and BTLA Overexpression Enhances Immune Tolerance and Migration in Immature Dendritic Cells. BioMed Res. Int. 2017, 2017, 3519745. [Google Scholar] [CrossRef] [PubMed]
- Li, X.; Xu, Z.; Cui, G.; Yu, L.; Zhang, X. BTLA Expression in Stage I-III Non-Small-Cell Lung Cancer and Its Correlation with PD-1/PD-L1 and Clinical Outcomes. OncoTargets Ther. 2020, 13, 215–224. [Google Scholar] [CrossRef]
- Thommen, D.S.; Schreiner, J.; Muller, P.; Herzig, P.; Roller, A.; Belousov, A.; Umana, P.; Pisa, P.; Klein, C.; Bacac, M.; et al. Progression of Lung Cancer Is Associated with Increased Dysfunction of T Cells Defined by Coexpression of Multiple Inhibitory Receptors. Cancer Immunol. Res. 2015, 3, 1344–1355. [Google Scholar] [CrossRef]
- Gestermann, N.; Saugy, D.; Martignier, C.; Tille, L.; Fuertes Marraco, S.A.; Zettl, M.; Tirapu, I.; Speiser, D.E.; Verdeil, G. LAG-3 and PD-1+LAG-3 inhibition promote anti-tumor immune responses in human autologous melanoma/T cell co-cultures. Oncoimmunology 2020, 9, 1736792. [Google Scholar] [CrossRef]
- Azarafza, M.; Tehrani, M.; Valadan, R.; Maleki, I.; Mohammad Mehdi Ghaffari-Hamedani, S.; Ghanadan, A.; Alizadeh-Navaei, R.; Ajami, A. Role of BTLA/HVEM network in development of gastric cancer. Hum. Immunol. 2022, 83, 637–644. [Google Scholar] [CrossRef] [PubMed]
- Pitts, S.C.; Schlom, J.; Donahue, R.N. Soluble immune checkpoints: Implications for cancer prognosis and response to immune checkpoint therapy and conventional therapies. J. Exp. Clin. Cancer Res. 2024, 43, 155. [Google Scholar] [CrossRef] [PubMed]
- Wojciechowicz, K.; Spodzieja, M.; Wardowska, A. The BTLA-HVEM complex—The future of cancer immunotherapy. Eur. J. Med. Chem. 2024, 268, 116231. [Google Scholar] [CrossRef] [PubMed]
- Xu, X.; Hou, B.; Fulzele, A.; Masubuchi, T.; Zhao, Y.; Wu, Z.; Hu, Y.; Jiang, Y.; Ma, Y.; Wang, H.; et al. PD-1 and BTLA regulate T cell signaling differentially and only partially through SHP1 and SHP2. J. Cell Biol. 2020, 219, e201905085. [Google Scholar] [CrossRef] [PubMed]
- Liu, Y.; Zhao, Z.; Su, S.; Li, Y.; Chen, N.; He, L.; Dong, M.; Xu, B.; Zhang, Z.; Zhou, Y.; et al. Blockade of BTLA alone or in combination with PD-1 restores the activation and proliferation of CD8(+) T cells during in vitro infection with NCP BVDV. Veter-Microbiol. 2024, 290, 110004. [Google Scholar] [CrossRef] [PubMed]
- Wang, Q.; Zhang, J.; Tu, H.; Liang, D.; Chang, D.W.; Ye, Y.; Wu, X. Soluble immune checkpoint-related proteins as predictors of tumor recurrence, survival, and T cell phenotypes in clear cell renal cell carcinoma patients. J. Immunother. Cancer 2019, 7, 334. [Google Scholar] [CrossRef] [PubMed]
- Patel, S.G.; Shah, J.P. TNM staging of cancers of the head and neck: Striving for uniformity among diversity. CA Cancer J. Clin. 2005, 55, 242–258. [Google Scholar] [CrossRef]
- Huang, S.H.; O’Sullivan, B. Overview of the 8th Edition TNM Classification for Head and Neck Cancer. Curr. Treat. Options Oncol. 2017, 18, 40. [Google Scholar] [CrossRef]
- Cohen, J. Statistical Power Analysis for the Behavioral Sciences, 2nd ed.; Lawrence Erlbaum Associates: Hillsdale, NJ, USA, 1988. [Google Scholar] [CrossRef]






| Patients (OSCC) | Healthy Volunteers (NOM) | ||||
|---|---|---|---|---|---|
| n | % of Cases | n | % of Cases | ||
| Number of cases | 102 | 105 | |||
| Gender | Male | 70 | 68.6 | 66 | 62.9 |
| p = 0.233 | Female | 32 | 31.4 | 39 | 37.1 |
| Mean age ± SD | 62.57 ± 11.92 years | 48.62 ± 20.18 years | |||
| p = 0.001 | |||||
| Range of age | 31–93 years | 18–88 years | |||
| Valid cases % | |||||
| Tumor Status * | T1/T2 | 57 | 58.8 | ||
| T3/T4 | 40 | 41.2 | |||
| Unknown | 5 | ||||
| N-Status * | N0 | 56 | 57.1 | ||
| N1 | 42 | 42.9 | |||
| Unknown | 4 | ||||
| Grading | G1 | 9 | 9.4 | ||
| G2 | 45 | 46.9 | |||
| G3 | 42 | 43.8 | |||
| Unknown | 6 | ||||
| Clinical stage * | Early | 40 | 44.4 | ||
| Late | 50 | 55.6 | |||
| Unknown | 12 | ||||
| Recurrence | No | 77 | 80.2 | ||
| Yes | 19 | 19.8 | |||
| Unknown | 6 | ||||
| Group | N | ∆CT Mean Value | SD | AUC-Value | Y | COP | SEN % | SPE % | FC | p Value |
|---|---|---|---|---|---|---|---|---|---|---|
| Expression Analyses by RT-qPCR (∆CT) | ||||||||||
| BTLA_1 | ||||||||||
| OSCC | 73 | 8.1 | 1.73 | |||||||
| NOM | 59 | 9.46 | 1.566 | 0.66 | 0.30 | 9.59 | 50.9 | 78.9 | 1.68 | 0.004 |
| BTLA_2 | ||||||||||
| OSCC | 71 | 9.74 | 1.85 | |||||||
| NOM | 59 | 10.98 | 1.63 | 0.72 | 0.40 | 10.40 | 72.7 | 67.6 | 2.37 | 0.0001 |
| N | Positive N/% | Negative N/% | p-Value | SEN % | SPE % | PPV % | NPV % | |
|---|---|---|---|---|---|---|---|---|
| BTLA_1 | ||||||||
| OSCC | 74 | 58/78.4 | 16/21.6 | |||||
| NOM | 59 | 30/50.8 | 29/49.2 | <0.001 | 78.4 | 49.2 | 65.9 | 64.4 |
| BTLA_2 | ||||||||
| OSCC | 72 | 48/66.7 | 24/33.3 | |||||
| NOM | 59 | 16/27.1 | 43/72.9 | <0.001 | 66.7 | 72.9 | 75 | 64.2 |
| BTLA_IHC * | ||||||||
| OSCC | 91 | 26/28.6 | 65/71.4 | |||||
| NOM | 52 | 2/3.8 | 50/96.2 | <0.001 | 28.6 | 96.2 | 92.2 | 43.5 |
| Group | N | LI Mean Value | SD | AUC-Value | Y | COP | SEN % | SPE % | FC | p Value |
|---|---|---|---|---|---|---|---|---|---|---|
| BTLA_T | ||||||||||
| PECM | 91 | 0.41 | 0.49 | |||||||
| OSCC | 52 | 0.29 | 0.41 | 0.53 | n.d. | n.d. | n.d. | n.d. | 1.41 | 0.372 |
| BTLA_E | ||||||||||
| OSCC | 91 | 0.31 | 0.52 | |||||||
| NOM | 52 | 0.11 | 0.23 | 0.57 | 0.25 | 0.36 | 29 | 96 | 2.82 | 0.184 |
| BTLA_S | ||||||||||
| OSCC | 81 | 0.66 | 0.65 | |||||||
| NOM | 52 | 0.54 | 0.79 | 0.46 | n.d. | n.d. | n.d. | n.d. | 1.22 | 0.417 |
| Gene Parameter | N | Average Expression | SD | FC | p-Value * MWU | p-Value ** χ2 |
|---|---|---|---|---|---|---|
| BTLA_1 | ||||||
| Tumor size | ||||||
| T1/T2 | 39 | 8.656 | 1.707 | 0.88 | 0.594 | 0.485 |
| T3/T4 | 31 | 8.475 | 1.352 | |||
| N-Status | ||||||
| N0 | 37 | 8.712 | 1.598 | 0.83 | 0.479 | 0.337 |
| N1 | 34 | 8.448 | 1.492 | |||
| UICC-Status | ||||||
| early | 28 | 8.790 | 1.734 | 1.28 | 0.382 | 0.230 |
| late | 37 | 8.430 | 1.49 | |||
| Grading | ||||||
| G1 | 5 | 8.862 | 0.287 | n.d. | 0.438 | 0.400 |
| G2 | 36 | 8.588 | 1.476 | |||
| G3 | 29 | 8.542 | 1.78 | |||
| Recurrence | ||||||
| R0 | 53 | 8.59 | 1.841 | 1.08 | 0.541 | 0.815 |
| R1 | 16 | 8.695 | 1.981 | |||
| BTLA_2 | ||||||
| Tumor size | ||||||
| T1/T2 | 37 | 9.536 | 1.713 | 1.15 | 0.754 | 0.815 |
| T3/T4 | 31 | 9.732 | 1.812 | |||
| N-Status | ||||||
| N0 | 36 | 9.558 | 1.57 | 1.11 | 0.933 | 0.331 |
| N1 | 34 | 9.704 | 1.913 | |||
| UICC-Status | ||||||
| early | 26 | 9.636 | 1.706 | 1.01 | 0.812 | 0.662 |
| late | 37 | 9.626 | 1.880 | |||
| Grading | ||||||
| G1 | 5 | 9.729 | 0.214 | n.d. | 0.821 | 0.408 |
| G2 | 35 | 9.484 | 1.541 | |||
| G3 | 29 | 9.793 | 2.088 | |||
| Recurrence | ||||||
| R0 | 51 | 9.665 | 1.540 | 1.05 | 0.617 | 0.751 |
| R1 | 16 | 9.732 | 2.521 | |||
| BTLA protein | ||||||
| Tumor size | ||||||
| T1/T2 | 46 | 0.297 | 0.402 | 1.12 | 0.118 | 0.428 |
| T3/T4 | 34 | 0.334 | 0.611 | |||
| N-Status | ||||||
| N0 | 44 | 0.276 | 0.402 | 1.33 | 0.944 | 0.653 |
| N1 | 35 | 0.368 | 0.604 | |||
| UICC-Status | ||||||
| early | 28 | 0.232 | 0.269 | 1.599 | 0.496 | 0.984 |
| late | 47 | 0.371 | 0.607 | |||
| Grading | ||||||
| G1 | 5 | 0.154 | 0.178 | n.d. | 0.919 | 0.780 |
| G2 | 38 | 0.339 | 0.523 | |||
| G3 | 31 | 0.338 | 0.538 | |||
| Recurrence | ||||||
| R0 | 52 | 0.317 | 0.481 | 0.82 | 0.451 | 0.313 |
| R1 | 22 | 0.260 | 0.475 |
| Target | N | AUC-Value | FC | p-Value |
|---|---|---|---|---|
| PD1 *$ | 160 | 0.67 | 2.11 | 0.003 |
| PD-L1 *$ | 175 | 0.77 | 3.31 | ≤0.001 |
| PD-L2 *$ | 175 | 0.78 | 2.42 | ≤0.001 |
| CD96_1 *$ | 185 | 0.65 | 1.28 | 0.01 |
| CD96_2 *$ | 185 | 0.65 | 1.56 | ≤0.001 |
| CD96_G *§ | 141 | 0.65 | 1.53 | 0.003 |
| CD96_E *§ | 141 | 0.63 | 1.28 | 0.011 |
| CD96_S *§ | 141 | 0.64 | 1.39 | 0.008 |
| PCR | IHC BTLA | |||||
|---|---|---|---|---|---|---|
| BTLA_1 | BLTLA_2 | T | E | S | ||
| PCR | ||||||
| CD96_1 | Spearman’s ρ | 0.809 | 0.759 | −0.289 | −0.303 | −0.155 |
| p-value | <0.001 | <0.001 | 0.009 | 0.006 | 0.190 | |
| N | 178 | 181 | 80 | 80 | 73 | |
| CD96_3 | Spearman´s ρ | 0.794 | 0.814 | −0.229 | −0.229 | −0.061 |
| p-value | <0.001 | <0.001 | 0.041 | 0.007 | 0.610 | |
| N | 177 | 181 | 80 | 80 | 73 | |
| PD1 | Spearman´s ρ | 0.625 | 0.559 | −0.05 | −0.103 | −0.020 |
| p-value | <0.001 | <0.001 | 0.725 | 0.344 | 0.872 | |
| N | 170 | 173 | 78 | 78 | 71 | |
| PD-L1 | Spearman´s ρ | 0.471 | 0.470 | −0.333 | −0.391 | −0.099 |
| p-value | <0.001 | <0.001 | 0.006 | <0.001 | 0.410 | |
| N | 173 | 176 | 79 | 79 | 72 | |
| PD-L2 | Spearman´s ρ | 0.513 | 0.536 | −0.277 | −0.240 | −0.111 |
| p-value | <0.001 | <0.001 | 0.02 | 0.045 | 0.346 | |
| N | 175 | 178 | 81 | 81 | 74 | |
| IHC | ||||||
| CD96_Tl | Spearman´s ρ | −0.132 | −0.214 | 0.417 | 0.364 | 0.247 |
| p-value | 0.249 | 0.057 | <0.001 | <0.001 | 0.004 | |
| N | 78 | 80 | 140 | 140 | 131 | |
| CD96_E | Spearman´s ρ | −0.100 | −0.154 | 0.300 | 0.415 | 0.09 |
| p-value | 0.379 | 0.171 | <0.001 | <0.001 | 0.292 | |
| N | 79 | 81 | 141 | 141 | 131 | |
| CD96_S | Spearman´s ρ | −0.081 | −0.144 | 0.496 | 0.338 | 0.424 |
| p-value | 0.493 | 0.325 | <0.001 | <0.001 | <0.001 | |
| N | 74 | 76 | 135 | 135 | 130 | |
| BTLA_T | Spearman´s ρ | −0.196 | −0.305 | - | 0.635 | 0.804 |
| p-value | 0.086 | 0.006 | <0.001 | <0.001 | ||
| N | 78 | 80 | 143 | 133 | ||
| BTLA_E | Spearman´s ρ | −0.191 | −0.220 | 0.635 | - | 0.292 |
| p-value | 0.094 | 0.050 | <0.001 | <0.001 | ||
| N | 78 | 80 | 143 | 133 | ||
| BTLA_S | Spearman´s ρ | −0.150 | −0.208 | 0.804 | 0.292 | - |
| p-value | 0.212 | 0.078 | <0.001 | <0.001 | ||
| N | 71 | 73 | 133 | 133 |
| Primer | Sequence (5′ to 3′) | Primer (bp) | Amplicon (bp) | Accession Number |
|---|---|---|---|---|
| BTLA_1/s | ACAATGGGTCATACCGCTGTT | 21 | NM_181780.2 # | |
| BTLA_1/as | CTTGGAGGGTCGTTCTGAGG | 20 | 110 | |
| BTLA_2/s | CTCTGACACAGCAGGAAGGG | 20 | NM_001085357.2 ## | |
| BTLA_2/as | TTTTGCCTGGTGCTTGCTTC | 20 | 81 | |
| PD1/s | AAACCCTGGTGGTTGGTGTC | 20 | NM_005018.2 | |
| PD1/as | CTCCTATTGTCCCTCGTGCG | 20 | 105 | |
| PD-L2/s | ACAGTGCTATCTGAACCTGTGG | 22 | NM_025239.3 | |
| PD-L2/as | CTGCAGGCCACCGAATTCTT | 20 | 98 | |
| CD96_1 s | ACCTCCAGTGGGACAGATACC | 21 | NM_198196.3 * | |
| CD96-1 as | GAAGTGTTGAGCCTGCACCT | 20 | 91 | |
| CD96_3 s | GCATGGTCGGTGGAGGATAA | 20 | NM_001318889 ** | |
| CD96_3 as | GGACTGGAGAGAGGTGGAGT | 20 | 130 | |
| GAPDH/s | GACCCCTTCATTGACCTCAACTA | 23 | NM_002046.5 | |
| GAPDH/as | GAATTTGCCATGGGTGGAAT | 20 | 102 |
Disclaimer/Publisher’s Note: The statements, opinions and data contained in all publications are solely those of the individual author(s) and contributor(s) and not of MDPI and/or the editor(s). MDPI and/or the editor(s) disclaim responsibility for any injury to people or property resulting from any ideas, methods, instructions or products referred to in the content. |
© 2024 by the authors. Licensee MDPI, Basel, Switzerland. This article is an open access article distributed under the terms and conditions of the Creative Commons Attribution (CC BY) license (https://creativecommons.org/licenses/by/4.0/).
Share and Cite
Ries, J.; Trumet, L.; Hahn, A.; Kunater, L.; Lutz, R.; Geppert, C.; Kesting, M.; Weber, M. The Immune Checkpoint BTLA in Oral Cancer: Expression Analysis and Its Correlation to Other Immune Modulators. Int. J. Mol. Sci. 2024, 25, 6601. https://doi.org/10.3390/ijms25126601
Ries J, Trumet L, Hahn A, Kunater L, Lutz R, Geppert C, Kesting M, Weber M. The Immune Checkpoint BTLA in Oral Cancer: Expression Analysis and Its Correlation to Other Immune Modulators. International Journal of Molecular Sciences. 2024; 25(12):6601. https://doi.org/10.3390/ijms25126601
Chicago/Turabian StyleRies, Jutta, Leah Trumet, Alina Hahn, Lina Kunater, Rainer Lutz, Carol Geppert, Marco Kesting, and Manuel Weber. 2024. "The Immune Checkpoint BTLA in Oral Cancer: Expression Analysis and Its Correlation to Other Immune Modulators" International Journal of Molecular Sciences 25, no. 12: 6601. https://doi.org/10.3390/ijms25126601
APA StyleRies, J., Trumet, L., Hahn, A., Kunater, L., Lutz, R., Geppert, C., Kesting, M., & Weber, M. (2024). The Immune Checkpoint BTLA in Oral Cancer: Expression Analysis and Its Correlation to Other Immune Modulators. International Journal of Molecular Sciences, 25(12), 6601. https://doi.org/10.3390/ijms25126601

