Circulating miR-16 and miR-21 Levels in Multiple Myeloma: Prognostic Significance of Survival and Response to Lenalidomide Treatment
Abstract
1. Introduction
2. Results
2.1. Demographic, Clinical, and Laboratory Characteristics
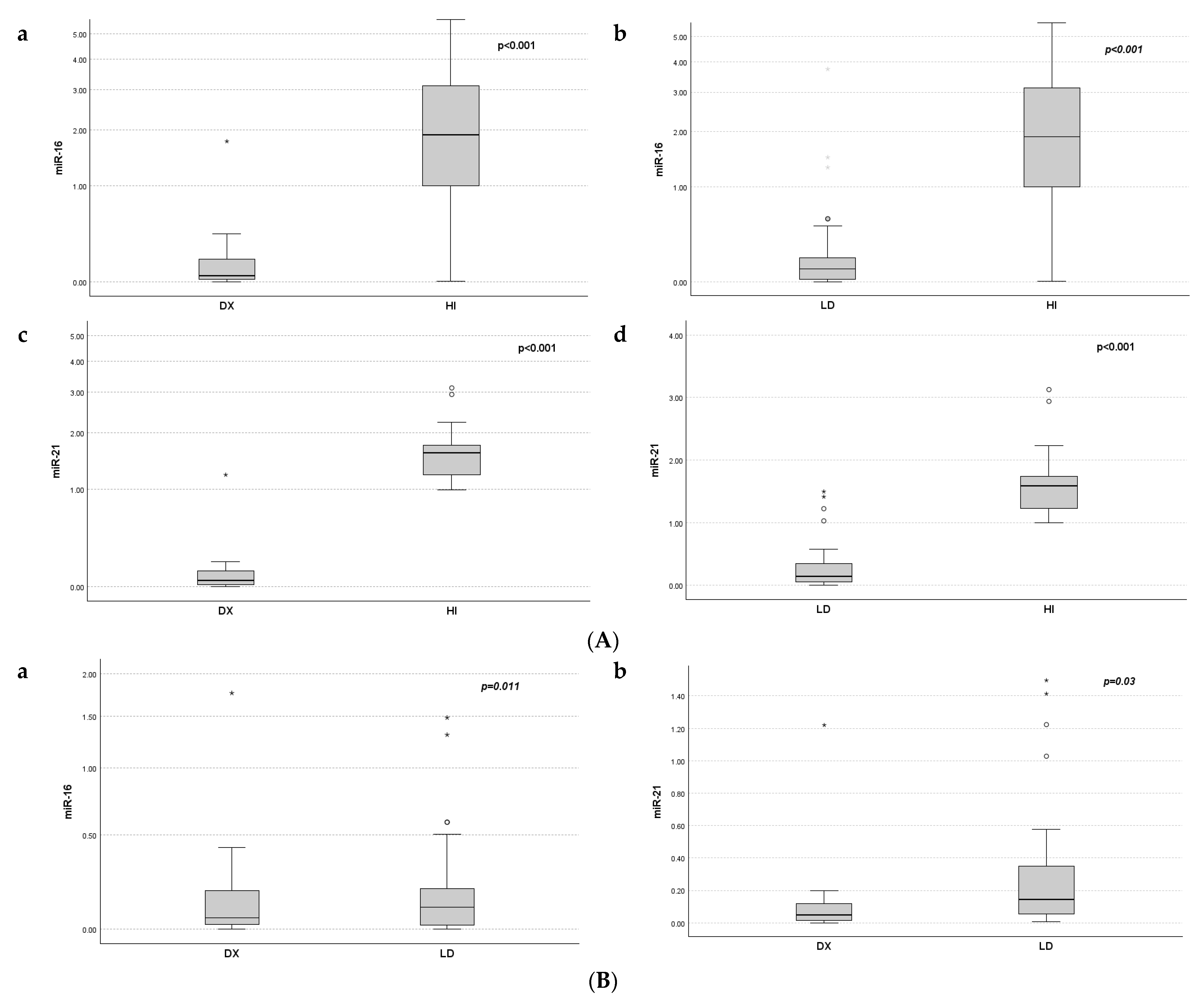
2.2. MiRNA 16 and MiRNA 21 Results
3. Discussion
4. Patients and Methods
4.1. Patients and Samples
4.2. MicroRNA Quantification
4.2.1. RNA Isolation
4.2.2. cDNA Synthesis
4.2.3. Quantification of Serum microRNA Expression
4.3. Statistical Analysis
4.4. Ethical Approval
5. Conclusions
Author Contributions
Funding
Institutional Review Board Statement
Informed Consent Statement
Data Availability Statement
Conflicts of Interest
References
- Rajkumar, S.V. Multiple myeloma: 2016 update on diagnosis, risk-stratification, and management. Am. J. Hematol. 2016, 91, 719–734. [Google Scholar] [CrossRef] [PubMed]
- Corre, J.; Munshi, N.C.; Avet-Loiseau, H. Risk factors in multiple myeloma: Is it time for a revision? Blood 2021, 137, 16–19. [Google Scholar] [CrossRef] [PubMed]
- Cowan, A.J.; Green, D.J.; Kwok, M.; Lee, S.; Coffey, D.G.; Holmberg, L.A.; Tuazon, S.; Gopal, A.K.; Libby, E.N. Diagnosis and Management of Multiple Myeloma: A Review. JAMA 2022, 327, 464–477. [Google Scholar] [CrossRef]
- Kyrtsonis, M.C.; Bartzis, V.; Papanikolaou, X.; Koulieris, E.; Georgiou, G.; Dimou, M.; Tzenou, T.; Panayiotidis, P. Genetic and molecular mechanisms in multiple myeloma: A route to better understand disease pathogenesis and heterogeneity. Appl. Clin. Genet. 2010, 3, 41–51. [Google Scholar] [CrossRef] [PubMed]
- Cortez, M.A.; Bueso-Ramos, C.; Ferdin, J.; Lopez-Berestein, G.; Sood, A.K.; Calin, G.A. MicroRNAs in body fluids--the mix of hormones and biomarkers. Nat. Rev. Clin. Oncol. 2011, 8, 467–477. [Google Scholar] [CrossRef] [PubMed]
- Manier, S.; Liu, C.J.; Avet-Loiseau, H.; Park, J.; Shi, J.; Campigotto, F.; Salem, K.Z.; Huynh, D.; Glavey, S.V.; Rivotto, B.; et al. Prognostic role of circulating exosomal miRNAs in multiple myeloma. Blood 2017, 129, 2429–2436. [Google Scholar] [CrossRef] [PubMed]
- Yao, Q.; Chen, Y.; Zhou, X. The roles of microRNAs in epigenetic regulation. Curr. Opin. Chem. Biol. 2019, 51, 11–17. [Google Scholar] [CrossRef] [PubMed]
- Rocci, A.; Hofmeister, C.C.; Geyer, S.; Stiff, A.; Gambella, M.; Cascione, L.; Guan, J.; Benson, D.M.; Efebera, Y.A.; Talabere, T.; et al. Circulating miRNA markers show promise as new prognosticators for multiple myeloma. Leukemia 2014, 28, 1922–1926. [Google Scholar] [CrossRef] [PubMed]
- Chakrabortty, A.; Patton, D.J.; Smith, B.F.; Agarwal, P. miRNAs: Potential as Biomarkers and Therapeutic Targets for Cancer. Genes 2023, 14, 1375. [Google Scholar] [CrossRef]
- Casabonne, D.; Benavente, Y.; Seifert, J.; Costas, L.; Armesto, M.; Arestin, M.; Besson, C.; Hosnijeh, F.S.; Duell, E.J.; Weiderpass, E.; et al. Serum levels of hsa-miR-16-5p, hsa-miR-29a-3p, hsa-miR-150-5p, hsa-miR-155-5p and hsa-miR-223-3p and subsequent risk of chronic lymphocytic leukemia in the EPIC study. Int. J. Cancer 2020, 147, 1315–1324. [Google Scholar] [CrossRef]
- Masri, A.A.; Price-Troska, T.; Chesi, M.; Chung, T.-H.; Kim, S.; Carpten, J.; Bergsagel, P.L.; Fonseca, R. MicroRNA Expression Analysis in Multiple Myeloma. Blood 2005, 106, 1554. [Google Scholar] [CrossRef]
- Ma, J.; Liu, S.; Wang, Y. MicroRNA-21 and multiple myeloma: Small molecule and big function. Med. Oncol. 2014, 31, 94. [Google Scholar] [CrossRef] [PubMed]
- Dubaj, M.; Bigosiński, K.; Dembowska, A.; Mlak, R.; Szudy-Szczyrek, A.; Małecka-Massalska, T.; Homa-Mlak, I. Role of Non-Coding RNAs in Diagnosis, Prediction and Prognosis of Multiple Myeloma. Cancers 2024, 16, 1033. [Google Scholar] [CrossRef]
- Pfeffer, S.R.; Yang, C.H.; Pfeffer, L.M. The Role of miR-21 in Cancer. Drug Dev. Res. 2015, 76, 270–277. [Google Scholar] [CrossRef]
- Dimopoulos, M.A.; Moreau, P.; Terpos, E.; Mateos, M.V.; Zweegman, S.; Cook, G.; Delforge, M.; Hájek, R.; Schjesvold, F.; Cavo, M.; et al. Multiple myeloma: EHA-ESMO Clinical Practice Guidelines for diagnosis, treatment and follow-up(†). Ann. Oncol. 2021, 32, 309–322. [Google Scholar] [CrossRef] [PubMed]
- Abdi, J.; Jian, H.; Chang, H. Role of micro-RNAs in drug resistance of multiple myeloma. Oncotarget 2016, 7, 60723–60735. [Google Scholar] [CrossRef] [PubMed]
- Jiang, Y.; Luan, Y.; Chang, H.; Chen, G. The diagnostic and prognostic value of plasma microRNA-125b-5p in patients with multiple myeloma. Oncol. Lett. 2018, 16, 4001–4007. [Google Scholar] [CrossRef]
- Li, F.; Xu, Y.; Deng, S.; Li, Z.; Zou, D.; Yi, S.; Sui, W.; Hao, M.; Qiu, L. MicroRNA-15a/16-1 cluster located at chromosome 13q14 is down-regulated but displays different expression pattern and prognostic significance in multiple myeloma. Oncotarget 2015, 6, 38270–38282. [Google Scholar] [CrossRef]
- Wang, W.; Corrigan-Cummins, M.; Barber, E.A.; Saleh, L.M.; Zingone, A.; Ghafoor, A.; Costello, R.; Zhang, Y.; Kurlander, R.J.; Korde, N.; et al. Aberrant Levels of miRNAs in Bone Marrow Microenvironment and Peripheral Blood of Myeloma Patients and Disease Progression. J. Mol. Diagn. 2015, 17, 669–678. [Google Scholar] [CrossRef]
- Xu, Y.N.; Xiao, C.R.; Huang, Y.D.; Lu, Q.Y. Circulating Serum MicroRNA as Diagnostic Biomarkers for Multiple Myeloma. Zhongguo Shi Yan Xue Ye Xue Za Zhi 2017, 25, 471–475. [Google Scholar] [CrossRef]
- Rhim, J.; Baek, W.; Seo, Y.; Kim, J.H. From Molecular Mechanisms to Therapeutics: Understanding MicroRNA-21 in Cancer. Cells 2022, 11, 2791. [Google Scholar] [CrossRef] [PubMed]
- Wang, X.; Li, C.; Ju, S.; Wang, Y.; Wang, H.; Zhong, R. Myeloma cell adhesion to bone marrow stromal cells confers drug resistance by microRNA-21 up-regulation. Leuk Lymphoma 2011, 52, 1991–1998. [Google Scholar] [CrossRef] [PubMed]
- Zhou, L.; Liu, X.L.; Li, Y.W.; Wu, L.; Wang, G.Z.; Wang, Z.F.; Ma, L.; Guan, J.; Han, C.X. Clinical Study of miRNAs Derived from Serum Exosomes in Multiple Myeloma. Zhongguo Shi Yan Xue Ye Xue Za Zhi 2022, 30, 1490–1495. [Google Scholar] [CrossRef] [PubMed]
- Moura, S.R.; Abreu, H.; Cunha, C.; Ribeiro-Machado, C.; Oliveira, C.; Barbosa, M.A.; Marques, H.; Almeida, M.I. Circulating microRNAs Correlate with Multiple Myeloma and Skeletal Osteolytic Lesions. Cancers 2021, 13, 5258. [Google Scholar] [CrossRef] [PubMed]
- Robak, P.; Dróżdż, I.; Jarych, D.; Mikulski, D.; Węgłowska, E.; Siemieniuk-Ryś, M.; Misiewicz, M.; Stawiski, K.; Fendler, W.; Szemraj, J.; et al. The Value of Serum MicroRNA Expression Signature in Predicting Refractoriness to Bortezomib-Based Therapy in Multiple Myeloma Patients. Cancers 2020, 12, 2569. [Google Scholar] [CrossRef] [PubMed]
- Hao, M.; Zhang, L.; An, G.; Sui, W.; Yu, Z.; Zou, D.; Xu, Y.; Chang, H.; Qiu, L. Suppressing miRNA-15a/-16 expression by interleukin-6 enhances drug-resistance in myeloma cells. J. Hematol. Oncol. 2011, 4, 37. [Google Scholar] [CrossRef] [PubMed]
- Wang, J.H.; Zhou, W.W.; Liu, B.X.; Man, D.L.; Yang, Z.D.; Liu, F.R.; Shang, H. Expression and significance of miR-21 in multiple myeloma patients. Genet. Mol. Res. 2016, 15. [Google Scholar] [CrossRef] [PubMed]
- Xu, Q.; Hou, Y.X.; Langlais, P.; Erickson, P.; Zhu, J.; Shi, C.X.; Luo, M.; Zhu, Y.; Xu, Y.; Mandarino, L.J.; et al. Expression of the cereblon binding protein argonaute 2 plays an important role for multiple myeloma cell growth and survival. BMC Cancer 2016, 16, 297. [Google Scholar] [CrossRef] [PubMed]
- Jung, S.H.; Lee, S.E.; Lee, M.; Kim, S.H.; Yim, S.H.; Kim, T.W.; Min, C.K.; Chung, Y.J. Circulating microRNA expressions can predict the outcome of lenalidomide plus low-dose dexamethasone treatment in patients with refractory/relapsed multiple myeloma. Haematologica 2017, 102, e456–e459. [Google Scholar] [CrossRef]
- Majithia, N.; Rajkumar, S.V.; Lacy, M.Q.; Buadi, F.K.; Dispenzieri, A.; Gertz, M.A.; Hayman, S.R.; Dingli, D.; Kapoor, P.; Hwa, L.; et al. Early relapse following initial therapy for multiple myeloma predicts poor outcomes in the era of novel agents. Leukemia 2016, 30, 2208–2213. [Google Scholar] [CrossRef]


| Variable (n = 48) | Number (%)/Median (Range) |
|---|---|
| Age | 67 (40–85) |
| Sex | |
| Male | 28 (58%) |
| Female | 20 (42%) |
| Ig Type | |
| IgG | 22 (46%) |
| IgA | 16 (33%) |
| Light Chain | 8 (17%) |
| Biclonal | 2 (4%) |
| Light Chain Restriction | |
| Kappa | 31 (64%) |
| Lamda | 17 (36%) |
| ISS | |
| I | 15 (33%) |
| II | 13 (28%) |
| III | 18 (39%) |
| Variable (n = 48) | Median (Range) |
|---|---|
| Hb g/dL | 11.1 (6.7–15) |
| PLTs 109/μL | 212 (52–375) |
| Cr mg/dL | 1 (0.5–4.6) |
| Hypercalcemia | 10 (22%) |
| Alb | 4.08 (2.5–5) |
| Bone Disease (determined by imaging) | 36 (80%) |
| IgG mg/L | 3360 (1850–8730) |
| IgA mg/L | 3255 (944–6450) |
| IgM mg/L | 17.3 (16.8–99.8) |
| FLCk mg/L | 1398 (1.98–1510) |
| FLCλ mg/L | 3.36 (0.08–2690) |
| FLCR | 42 (0.9–52,750) |
| B2M mg/L | 3.8 (2–16) |
| BMINF % | 50 (10–95) |
| LDH UNL | 3 (7%) |
| Neu 109/μL | 3455 (500–17,880) |
| Lymph 109/μL | 1610 (780–4340) |
| Neu/Lymph | 2 (0.52–17.5) |
| CRP mg/L | 3.45 (0.470–86.5) |
| Variables | miR-16 Dx * | miR-21 Dx * | ||
|---|---|---|---|---|
| R | p-Value | r | p-Value | |
| B2M | −0.370 | 0.021 | NS | NS |
| B2M < 3.5 | NS | NS | −0.372 | 0.017 |
| CRP | −0.356 | 0.022 | −0.285 | 0.068 |
| Neu/Lymph | −0.307 | 0.069 | −0.332 | 0.045 |
| Renal Failure | −0.410 | 0.008 | −0.301 | 0.05 |
| GFR | 0.419 | 0.012 | NS | NS |
| Hypercalcemia | −0.460 | 0.003 | NS | NS |
| Variables | miR-16 LD v | miR-21 LD v | miR-16 LD v/Dx * | miR-21 LD v/Dx * | ||||
|---|---|---|---|---|---|---|---|---|
| R | p-Value | r | p-Value | R | p-Value | r | p-Value | |
| Biochemical Relapse | NS | NS | −0.371 | 0.068 | NS | NS | 0.547 | 0.015 |
| ISS LD | NS | NS | 0.468 | 0.018 | NS | NS | NS | NS |
| Relapse > 24 months | NS | NS | NS | NS | 0.709 | 0.0001 | 0.461 | 0.035 |
| Response ≥ VGPR | NS | NS | 0.453 | 0.034 | NS | NS | NS | NS |
| Response ≥ PR | NS | NS | NS | NS | −0.413 | 0.05 | NS | NS |
| Author | MM Patients (N) | HI | Method/Mirna Reference | MM Status | Drug | Relative Expression in NDMM | Regulation | PFS p | OS p |
|---|---|---|---|---|---|---|---|---|---|
| Wang et al. [16] | 13 NDMM | 12 | qRT-PCR/nucleolar RNAs (RNU6, RNU38B, RNU44, RNU48, RNU66) | NDMM | NA | 2.6 | Downregulation | NA | NA |
| Wang et al. [19] | 60 NDMM | 30 | qRT-PCR/NA | NDMM/ RRMM | MP VADTD | 2.38 | Upregulation in NDMM compared with HI/ Downregulation after therapy compared to NDMM | NA | NA |
| Author | MM Patients (N) | HI (N) | Method/miRNA Reference | Drug | Relative Expression in NDMM | Regulation | PFS p | OS p |
|---|---|---|---|---|---|---|---|---|
| Rocci et al. [6] | 54 NDMM | 67 | qRT-PCR/hsa-miR-759 (5 pm) | VMP versus VMPT-VT | NA | Downregulation/cutoff point median value of HI expression | 0.13 | 0.008 |
| Wang et al. [16] | 13 NDMM | 12 | qRT-PCR/nucleolar RNAs (RNU6, RNU38B, RNU44, RNU48, RNU66) | NA | 3.1 | Downregulation | NA | NA |
| Li et al. [15] | 30 NDMM | 10 | qRT-PCR/cel-miR-39 | Chemo | 5.613 | Upregulation/downregulation compared to NDMM (p = 0.492) | NA | NA |
| Yyusnita et al. [17] | 14 NDMM/ 21 FU | 7 | qRT-PCR/miRNA, RNU6B | NA | 2.084 | Downregulation/no downregulation | NA | NA |
Disclaimer/Publisher’s Note: The statements, opinions and data contained in all publications are solely those of the individual author(s) and contributor(s) and not of MDPI and/or the editor(s). MDPI and/or the editor(s) disclaim responsibility for any injury to people or property resulting from any ideas, methods, instructions or products referred to in the content. |
© 2024 by the authors. Licensee MDPI, Basel, Switzerland. This article is an open access article distributed under the terms and conditions of the Creative Commons Attribution (CC BY) license (https://creativecommons.org/licenses/by/4.0/).
Share and Cite
Gkioka, A.-I.; Tsota, M.; Koudouna, A.; Gkiokas, A.; Mitropoulou, C.-A.; Palaiokrassa, A.; Alexandropoulos, A.; Papadatou-Gigante, M.; Bartzi, V.; Tryfou, T.-M.; et al. Circulating miR-16 and miR-21 Levels in Multiple Myeloma: Prognostic Significance of Survival and Response to Lenalidomide Treatment. Int. J. Mol. Sci. 2024, 25, 6065. https://doi.org/10.3390/ijms25116065
Gkioka A-I, Tsota M, Koudouna A, Gkiokas A, Mitropoulou C-A, Palaiokrassa A, Alexandropoulos A, Papadatou-Gigante M, Bartzi V, Tryfou T-M, et al. Circulating miR-16 and miR-21 Levels in Multiple Myeloma: Prognostic Significance of Survival and Response to Lenalidomide Treatment. International Journal of Molecular Sciences. 2024; 25(11):6065. https://doi.org/10.3390/ijms25116065
Chicago/Turabian StyleGkioka, Annita-Ioanna, Maria Tsota, Aspasia Koudouna, Alexandros Gkiokas, Christina-Aggeliki Mitropoulou, Aikaterini Palaiokrassa, Alexandros Alexandropoulos, Mavra Papadatou-Gigante, Vasiliki Bartzi, Thomais-Marina Tryfou, and et al. 2024. "Circulating miR-16 and miR-21 Levels in Multiple Myeloma: Prognostic Significance of Survival and Response to Lenalidomide Treatment" International Journal of Molecular Sciences 25, no. 11: 6065. https://doi.org/10.3390/ijms25116065
APA StyleGkioka, A.-I., Tsota, M., Koudouna, A., Gkiokas, A., Mitropoulou, C.-A., Palaiokrassa, A., Alexandropoulos, A., Papadatou-Gigante, M., Bartzi, V., Tryfou, T.-M., Sfikakis, P. P., Dedoussis, G. V., & Kyrtsonis, M.-C. (2024). Circulating miR-16 and miR-21 Levels in Multiple Myeloma: Prognostic Significance of Survival and Response to Lenalidomide Treatment. International Journal of Molecular Sciences, 25(11), 6065. https://doi.org/10.3390/ijms25116065

