Structure–Activity Relationship of Oleanane-Type Pentacyclic Triterpenoids on Nuclear Factor κB Activation and Intracellular Trafficking and N-Linked Glycosylation of Intercellular Adhesion Molecule-1
Abstract
1. Introduction
2. Results
2.1. Structural Features of 13 Oleanane-Type Pentacyclic Triterpenoids
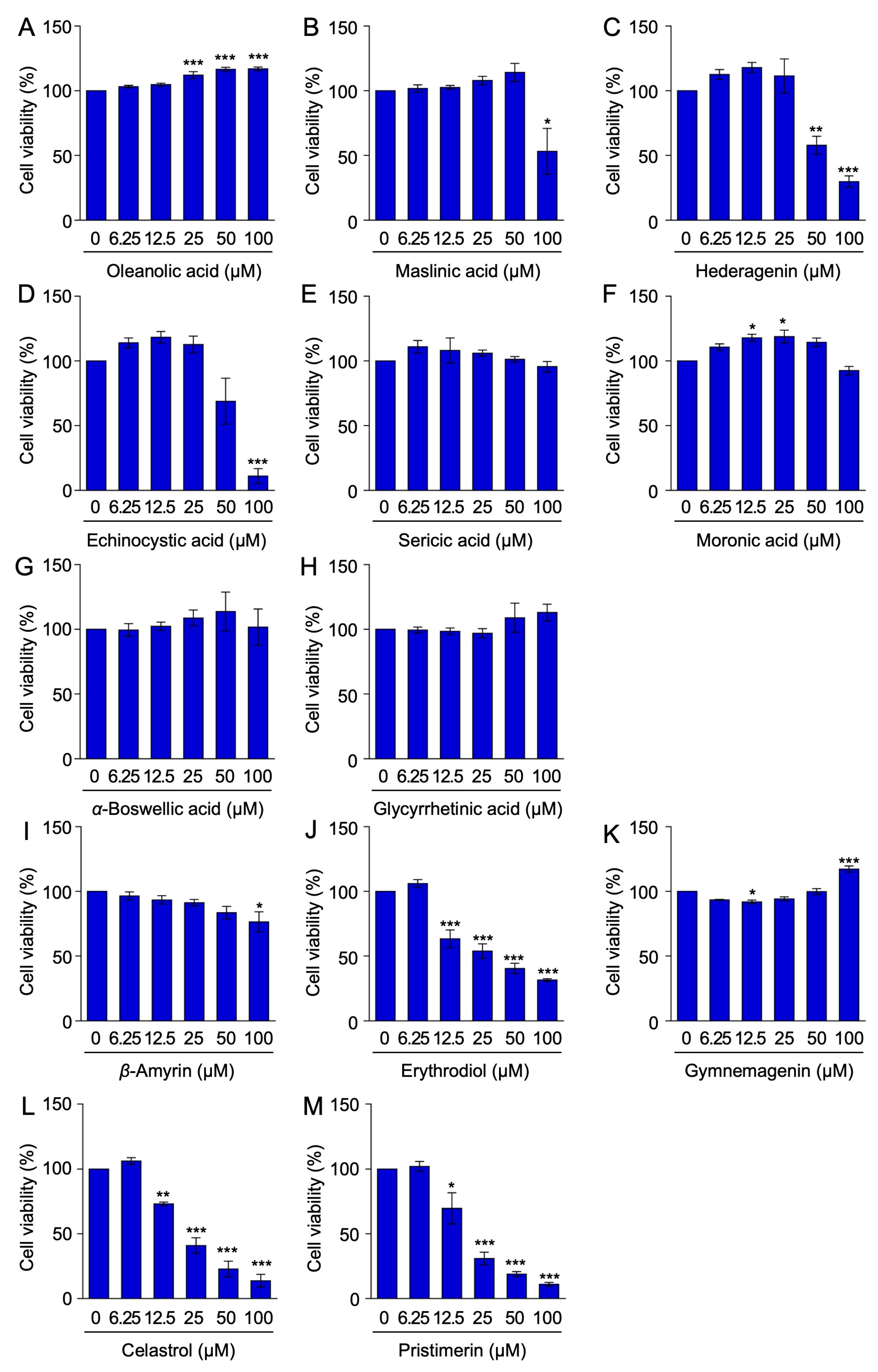
2.2. Effects of Oleanane-Type Pentacyclic Triterpenoids on Cell Viability
2.3. Celastrol and Pristimerin Diminished IL-1α-Induced ICAM-1 Protein Expression
2.4. Celastrol and Pristimerin Inhibited the IL-1α-Induced NF-κB Signaling Pathway
2.5. Effects of Oleanane-Type Pentacyclic Triterpenoids on IL-1α-Induced ICAM-1 Protein Expression
2.6. Effects of Moronic Acid on the IL-1α-Induced NF-κB Signaling Pathway
2.7. Effects of Oleanane-Type Pentacyclic Triterpenoids on the IL-1α-Induced Cell Surface Expression of the ICAM-1 Protein
2.8. Effects of Oleanane-Type Pentacyclic Triterpenoids on the N-Glycosylation of the ICAM-1 Protein
3. Discussion
4. Materials and Methods
4.1. Cell Culture
4.2. Reagents
4.3. Antibodies
4.4. Evaluation of Cell Viability
4.5. Preparation of Cell Lysates
4.6. Evaluation of Protein Expression
4.7. Evaluation of Cell Surface ICAM-1 Protein Expression
4.8. Evaluation of N-Linked Glycans by Glycosidases
4.9. Data Analysis
5. Conclusions
Supplementary Materials
Author Contributions
Funding
Institutional Review Board Statement
Informed Consent Statement
Data Availability Statement
Conflicts of Interest
References
- Wang, T.; He, C. Pro-inflammatory cytokines: The link between obesity and osteoarthritis. Cytokine Growth Factor Rev. 2018, 44, 38–50. [Google Scholar] [CrossRef] [PubMed]
- Gerhardt, T.; Ley, K. Monocyte trafficking across the vessel wall. Cardiovasc. Res. 2015, 107, 321–330. [Google Scholar] [CrossRef] [PubMed]
- Vestweber, D. How leukocytes cross the vascular endothelium. Nat. Rev. Immunol. 2015, 15, 692–704. [Google Scholar] [CrossRef] [PubMed]
- Bui, T.M.; Wiesolek, H.L.; Sumagin, R. ICAM-1: A master regulator of cellular responses in inflammation, injury resolution, and tumorigenesis. J. Leukoc. Biol. 2020, 108, 787–799. [Google Scholar] [CrossRef] [PubMed]
- Qiu, Z.; Wang, Y.; Zhang, Z.; Qin, R.; Peng, Y.; Tang, W.; Xi, Y.; Tian, G.; Zhang, Y. Roles of intercellular cell adhesion molecule-1 (ICAM-1) in colorectal cancer: Expression, functions, prognosis, tumorigenesis, polymorphisms and therapeutic implications. Front. Oncol. 2022, 12, 1052672. [Google Scholar] [CrossRef] [PubMed]
- Scott, D.W.; Patel, R.P. Endothelial heterogeneity and adhesion molecules N-glycosylation: Implication in leukocyte trafficking in inflammation. Glycobiology 2013, 23, 622–633. [Google Scholar] [CrossRef]
- Ramos, T.N.; Bullard, D.C.; Barnum, S.R. ICAM-1: Isoforms and phenotypes. J. Immunol. 2014, 192, 4469–4474. [Google Scholar] [CrossRef] [PubMed]
- Kornfeld, R.; Kornfeld, S. Assembly of asparagine-linked oligosaccharides. Ann. Rev. Biochem. 1985, 54, 631–664. [Google Scholar] [CrossRef] [PubMed]
- Marth, J.D.; Grewal, P.K. Mammalian glycosylation in immunity. Nat. Rev. Immunol. 2008, 8, 874–887. [Google Scholar] [CrossRef]
- He, P.; Srikrishna, G.; Freeze, H.H. N-glycosylation deficiency reduces ICAM-1 induction and impairs inflammatory response. Glycobiology 2014, 24, 392–398. [Google Scholar] [CrossRef]
- Mitsuda, S.; Yokomichi, T.; Yokoigawa, J.; Kataoka, T. Ursolic acid, a natural pentacyclic triterpenoid, inhibits intracellular trafficking of proteins and induces accumulation of intercellular adhesion molecule-1 linked to high-mannose-type glycans in the endoplasmic reticulum. FEBS Open Bio 2014, 4, 229–239. [Google Scholar] [CrossRef] [PubMed]
- Scott, D.W.; Dunn, T.S.; Ballestas, M.E.; Litovsky, S.H.; Patel, R.P. Identification of a high-mannose ICAM-1 glycoform: Effects of ICAM-1 hypoglycosylation on monocyte adhesion and outside in signaling. Am. J. Physiol. Cell. Physiol. 2013, 305, C228–C237. [Google Scholar] [CrossRef] [PubMed]
- Regal-McDonald, K.; Xu, B.; Barnes, J.W.; Patel, R.P. High-mannose intercellular adhesion molecule-1 enhances CD16+ monocyte adhesion to the endothelium. Am. J. Physiol. Heart Circ. Physiol. 2019, 317, H1028–H1038. [Google Scholar] [CrossRef]
- Roebuck, K.A.; Finnegan, A. Regulation of intercellular adhesion molecule-1 (CD54) gene expression. J. Leukoc. Biol. 1999, 66, 876–888. [Google Scholar] [CrossRef] [PubMed]
- Singh, M.; Thakur, M.; Mishra, M.; Yadav, M.; Vibhuti, R.; Menon, A.M.; Nagda, G.; Dwivedi, V.P.; Dakal, T.C.; Yadav, V. Gene regulation of intracellular adhesion molecule-1 (ICAM-1): A molecule with multiple functions. Immunol. Lett. 2021, 240, 123–136. [Google Scholar] [CrossRef] [PubMed]
- Hayden, M.S.; Ghosh, S. Shared principles in NF-κB signaling. Cell 2008, 132, 344–362. [Google Scholar] [CrossRef] [PubMed]
- Lawrence, T. The nuclear factor NF-κB pathway in inflammation. Cold Spring Harb. Perspect. Biol. 2009, 1, a001651. [Google Scholar] [CrossRef] [PubMed]
- Bhoj, V.G.; Chen, Z.J. Ubiquitylation in innate and adaptive immunity. Nature 2009, 458, 430–437. [Google Scholar] [CrossRef] [PubMed]
- Cohen, P. The TLR and IL-1 signalling network at a glance. J. Cell Sci. 2014, 127, 2383–2390. [Google Scholar] [CrossRef]
- Laszczyk, M.N. Pentacyclic triterpenes of the lupane, oleanane and ursane group as tools in cancer therapy. Planta Med. 2009, 75, 1549–1560. [Google Scholar] [CrossRef]
- Yadav, V.R.; Prasad, S.; Sung, B.; Kannappan, R.; Aggarwal, B.B. Targeting inflammatory pathways by triterpenoids for prevention and treatment of cancer. Toxins 2010, 2, 2428–2466. [Google Scholar] [CrossRef] [PubMed]
- Shanmugam, M.K.; Nguyen, A.H.; Kumar, A.P.; Tan, B.K.H.; Sethi, G. Targeted inhibition of tumor proliferation, survival, and metastasis by pentacyclic triterpenoids: Potential role in prevention and therapy of cancer. Cancer Lett. 2012, 320, 158–170. [Google Scholar] [CrossRef] [PubMed]
- Fu, L.; Zhang, S.; Li, N.; Wang, J.; Zhao, M.; Sakai, J.; Hasegawa, T.; Mitsui, T.; Kataoka, T.; Oka, S.; et al. Three new triterpenes from Nerium oleander and biological activity of the isolated compounds. J. Nat. Prod. 2005, 68, 198–206. [Google Scholar] [CrossRef] [PubMed]
- Zhao, M.; Zhang, S.; Fu, L.; Li, N.; Bai, J.; Sakai, J.; Wang, L.; Tang, W.; Hasegawa, T.; Ogura, H.; et al. Taraxasterane- and ursane-type tirtepenes from Nerium oleander and their biological activities. J. Nat. Prod. 2006, 69, 1164–1167. [Google Scholar] [CrossRef] [PubMed]
- Hiramatsu, R.; Fukuhara, S.; Mitsuda, S.; Yokomichi, T.; Kataoka, T. Betulinic acid and oleanolic acid, natural pentacyclic triterpenoids, interfere with N-linked glycan modifications to intercellular adhesion molecule-1, but not its intracellular transport to the cell surface. Eur. J. Pharmacol. 2015, 767, 126–134. [Google Scholar] [CrossRef] [PubMed]
- Baba, K.; Hiramatsu, R.; Suradej, B.; Tanigaki, R.; Koeda, S.; Waku, T.; Kataoka, T. Asiatic acid, corosoic acid, and maslinic acid interfere with intracellular trafficking and N-linked glycosylation of intercellular adhesion molecule-1. Biol. Pharm. Bull. 2018, 41, 1757–1768. [Google Scholar] [CrossRef] [PubMed]
- Nakano, K.; Sasaki, S.; Kataoka, T. Bioactive evaluation of ursane-type pentacyclic triterpenoids: β-boswellic acid interferes with the glycosylation and transport of intercellular adhesion molecule-1 in human lung adenocarcinoma A549 cells. Molecules 2022, 27, 3073. [Google Scholar] [CrossRef] [PubMed]
- Kataoka, T. Chemical biology of inflammatory cytokine signaling. J. Antibiot. 2009, 62, 655–667. [Google Scholar] [CrossRef] [PubMed]
- Gilmore, T.D.; Herscovitch, M. Inhibitors of NF-κB signaling: 785 and counting. Oncogene 2006, 25, 6887–6899. [Google Scholar] [CrossRef]
- Hsia, T.C.; Liu, W.H.; Qiu, W.W.; Luo, J.; Yin, M.C. Maslinic acid induces mitochondrial apoptosis and suppresses HIF-1α expression in A549 lung cancer cells under normoxic and hypoxic conditions. Molecules 2014, 19, 19892–19906. [Google Scholar] [CrossRef]
- Bai, X.; Zhang, Y.; Jiang, H.; Yang, P.; Li, H.; Zhang, Y.; He, P. Effects of maslinic acid on the proliferation and apoptosis of A549 lung cancer cells. Mol. Med. Rep. 2016, 13, 117–122. [Google Scholar] [CrossRef] [PubMed]
- Baek, S.J.; Lee, H.; Park, S.M.; Park, M.; Yi, J.M.; Kim, N.S.; Kim, A.; Cha, S. Identification of a novel anticancer mechanism of Paeoniae Radix extracts based on systematic transcriptome analysis. Biomed. Pharmacother. 2022, 148, 112748. [Google Scholar] [CrossRef] [PubMed]
- Xu, X.W.; Xi, Y.Y.; Chen, J.; Zhang, F.; Zhang, J.J.; Zhang, P.H. Phytochemical investigation of the fruits of Xanthium strumarium and their cytotoxic activity. J. Nat. Med. 2022, 76, 468–475. [Google Scholar] [CrossRef] [PubMed]
- Njoya, E.M.; Ndemangou, B.; Akinyelu, J.; Munvera, A.M.; Chukwuma, C.I.; Mkounga, P.; Mashele, S.S.; Makhafola, T.J.; McGaw, L.J. In vitro antiproliferative, anti-inflammatory effects and molecular docking studies of natural compounds isolated from Sarcocephalus pobeguinii (Hua ex Pobég). Front. Pharmacol. 2023, 14, 1205414. [Google Scholar] [CrossRef] [PubMed]
- Zhu, D.; Li, B.; Wang, C.; Jiang, P.; Tang, F.; Li, Y. Echinocystic acid induces the apoptosis, and inhibits the migration and invasion of non-small cell lung cancer cells. Med. Oncol. 2023, 40, 182. [Google Scholar] [CrossRef]
- Zhang, J.; Yamada, S.; Ogihara, E.; Kurita, M.; Banno, N.; Qu, W.; Feng, F.; Akihisa, T. Biological activities of triterpenoids and phenolic compounds from Myrica cerifera Bark. Chem. Biodivers. 2016, 13, 1601–1609. [Google Scholar] [CrossRef]
- Lee, J.H.; Koo, T.H.; Yoon, H.; Jung, H.S.; Jin, H.Z.; Lee, K.; Hong, Y.S.; Lee, J.J. Inhibition of NF-κB activation through targeting IκB kinase by celastrol, a quinone methide triterpenoid. Biochem. Pharmacol. 2006, 72, 1311–1321. [Google Scholar] [CrossRef] [PubMed]
- Sethi, G.; Ahn, K.S.; Pandey, M.K.; Aggarwal, B.B. Celastrol, a novel triterpene, potentiates TNF-induced apoptosis and suppresses invasion of tumor cells by inhibiting NF-κB-regulated gene products and TAK1-mediated NF-κB activation. Blood 2007, 109, 2727–2735. [Google Scholar] [CrossRef]
- Idris, A.I.; Libouban, H.; Nyangoga, H.; Landao-Bassonga, E.; Chappard, D.; Ralston, S.H. Pharmacologic inhibitors of IκB kinase suppress growth and migration of mammary carcinosarcoma cells in vitro and prevent osteolytic bone metastasis in vivo. Mol. Cancer Ther. 2009, 8, 2339–2347. [Google Scholar] [CrossRef]
- Tiedemann, R.E.; Schmidt, J.; Keats, J.J.; Shi, C.X.; Zhu, Y.X.; Palmer, S.E.; Mao, X.; Schimmer, A.D.; Stewart, A.K. Identification of a potent natural triterpenoid inhibitor of proteasome chymotrypsin-like activity and NF-κB with antimyeloma activity in vitro and in vivo. Blood 2009, 113, 4027–4037. [Google Scholar] [CrossRef]
- Lu, Z.; Jin, Y.; Chen, C.; Li, J.; Cao, Q.; Pan, J. Pristimerin induces apoptosis in imatinib-resistant chronic myelogenous leukemia cells harboring T315I mutation by blocking NF-κB signaling and depleting Bcr-Abl. Mol. Cancer 2010, 9, 112. [Google Scholar] [CrossRef] [PubMed]
- Li, B.; Cai, S.; Yang, Y.A.; Chen, S.C.; Chen, R.; Shi, J.B.; Liu, X.H.; Tang, W.J. Novel unsaturated glycyrrhetic acids derivatives: Design, synthesis and anti-inflammatory activity. Eur. J. Med. Chem. 2017, 139, 337–348. [Google Scholar] [CrossRef]
- Koki, M.; Yalo, M.; Makhaba, M.; Nako, N.; Rautenbach, F.; Badmus, J.A.; Marnewick, J.; Hussein, A.A.; Mabusela, W.T. Phytochemical investigation and biological studies on selected Searsia species. Plants 2022, 11, 2793. [Google Scholar] [CrossRef] [PubMed]
- Wang, L.Y.; Sun, H.Q.; Zhang, X.W.; Zhang, W.; Zhu, Z.Y. Derivatives of glycyrrhetinic acid with amino acid: Modifications, structural characterization, hypoglycemic activity and mechanism. Process Biochem. 2023, 134, 186–198. [Google Scholar] [CrossRef]
- Wang, L.Y.; Liu, J.; Bao, K.S.; Zhu, Z.Y. The structure modification with glucosamine of glycyrrhetinic acid extracted from Glychyrrhiza uralensis Fisch offal and mechanism of action based on network pharmacology and molecular docking against type II diabetes. Fitoterapia 2023, 171, 105714. [Google Scholar] [CrossRef]
- Elbein, A.D. Glycosidase inhibitors: Inhibitors of N-linked oligosaccharide processing. FASEB J. 1991, 5, 3055–3063. [Google Scholar] [CrossRef] [PubMed]
- Li, J.; Lu, Y.; Su, X.; Li, F.; She, Z.; He, X.; Lin, Y. A norsesquiterpene lactone and a benzoic acid derivative from the leaves of Cyclocarya paliurus and their glucosidase and glycogen phosphorylase inhibiting activities. Plant Med. 2008, 74, 287–289. [Google Scholar] [CrossRef]
- Berridge, M.V.; Tan, A.S. Characterization of the cellular reduction of 3-(4,5-dimethylthiazol-2-yl)-2,5-diphenyltetrazolium bromide (MTT): Subcellular localization, substrate dependence, and involvement of mitochondrial electron transport in MTT reduction. Arch. Biochem. Biophys. 1993, 303, 474–482. [Google Scholar] [CrossRef]










Disclaimer/Publisher’s Note: The statements, opinions and data contained in all publications are solely those of the individual author(s) and contributor(s) and not of MDPI and/or the editor(s). MDPI and/or the editor(s) disclaim responsibility for any injury to people or property resulting from any ideas, methods, instructions or products referred to in the content. |
© 2024 by the authors. Licensee MDPI, Basel, Switzerland. This article is an open access article distributed under the terms and conditions of the Creative Commons Attribution (CC BY) license (https://creativecommons.org/licenses/by/4.0/).
Share and Cite
Nakano, K.; Yokota, Y.; Vu, Q.V.; Lagravinese, F.; Kataoka, T. Structure–Activity Relationship of Oleanane-Type Pentacyclic Triterpenoids on Nuclear Factor κB Activation and Intracellular Trafficking and N-Linked Glycosylation of Intercellular Adhesion Molecule-1. Int. J. Mol. Sci. 2024, 25, 6026. https://doi.org/10.3390/ijms25116026
Nakano K, Yokota Y, Vu QV, Lagravinese F, Kataoka T. Structure–Activity Relationship of Oleanane-Type Pentacyclic Triterpenoids on Nuclear Factor κB Activation and Intracellular Trafficking and N-Linked Glycosylation of Intercellular Adhesion Molecule-1. International Journal of Molecular Sciences. 2024; 25(11):6026. https://doi.org/10.3390/ijms25116026
Chicago/Turabian StyleNakano, Kaori, Yuka Yokota, Quy Van Vu, Francesca Lagravinese, and Takao Kataoka. 2024. "Structure–Activity Relationship of Oleanane-Type Pentacyclic Triterpenoids on Nuclear Factor κB Activation and Intracellular Trafficking and N-Linked Glycosylation of Intercellular Adhesion Molecule-1" International Journal of Molecular Sciences 25, no. 11: 6026. https://doi.org/10.3390/ijms25116026
APA StyleNakano, K., Yokota, Y., Vu, Q. V., Lagravinese, F., & Kataoka, T. (2024). Structure–Activity Relationship of Oleanane-Type Pentacyclic Triterpenoids on Nuclear Factor κB Activation and Intracellular Trafficking and N-Linked Glycosylation of Intercellular Adhesion Molecule-1. International Journal of Molecular Sciences, 25(11), 6026. https://doi.org/10.3390/ijms25116026

