Studying the Effect of the Host Genetic Background of Juvenile Polyposis Development Using Collaborative Cross and Smad4 Knock-Out Mouse Models
Abstract
1. Introduction
2. Results
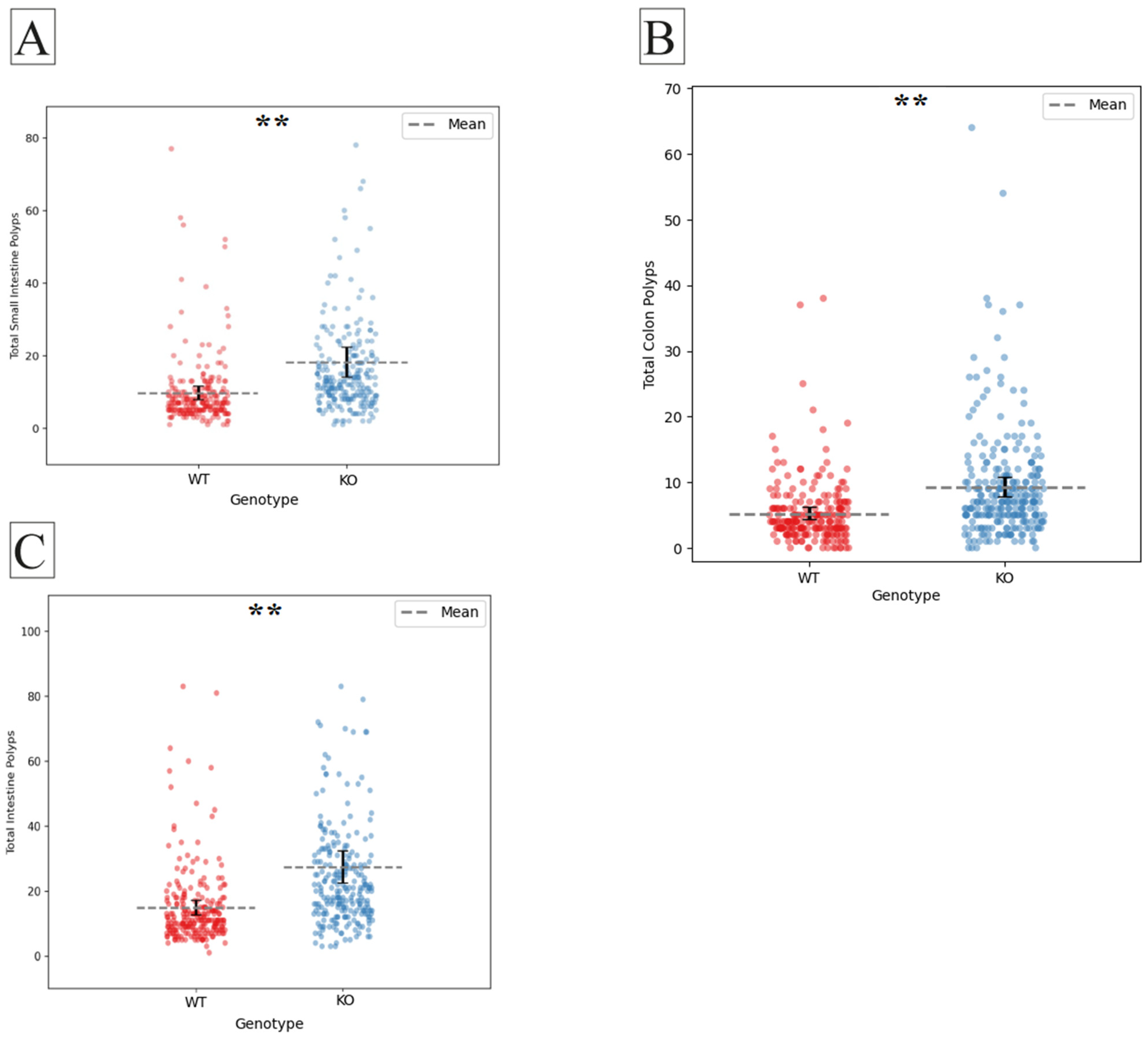
2.1. The Effect of Smad4 Heterozygous Knock-Out in the General Population
2.2. Sex Effect
2.3. Line Genetic Effect
2.4. Multimorbidity Heatmaps of Polyp Counts Regarding Body Weight
2.4.1. General Population Correlations
2.4.2. Sex Variation
2.4.3. Polyp Counts Correlations in Different Lines
2.5. Heritability
2.6. Machine Learning
3. Discussion
4. Materials and Methods
4.1. Ethical Aspects of the Project
4.2. Generation of F1 Crosses
4.3. Mouse Housing and Diet
4.4. Genomic DNA Extraction and Genotyping
4.5. Genotyping of F1 Mice
4.6. Tissue Collection
4.7. Intestine Whole Mounts Preparation and Assessing the Intestinal Polyp Counts
4.8. Estimation of the Heritability of the Assessed Phenotypes
4.9. Statistical Analysis
4.10. Machine Learning
4.11. Data Preprocessing
- (a)
- Linear discriminant analysis (LDA):
- (b)
- k-nearest neighbors (KNN):
- (c)
- Support vector machines with a radial basis function kernel (SVM-RBF):
- (d)
- Random forest (RF):
4.12. Model Evaluation
5. Conclusions
Supplementary Materials
Author Contributions
Funding
Institutional Review Board Statement
Informed Consent Statement
Data Availability Statement
Acknowledgments
Conflicts of Interest
References
- Van Hattem, W.A.; Brosens, L.A.A.; De Leng, W.W.J.; Morsink, F.H.; Lens, S.; Carvalho, R.; Giardiello, F.M.; Offerhaus, G.J.A. Large Genomic Deletions of SMAD4, BMPR1A and PTEN in Juvenile Polyposis. Gut 2008, 57, 623–627. [Google Scholar] [CrossRef] [PubMed]
- Van Hattem, W.A.; Langeveld, D.; De Leng, W.W.J.; Morsink, F.H.; Van Diest, P.J.; Iacobuzio-Donahue, C.A.; Giardiello, F.M.; Offerhaus, G.J.A.; Brosens, L.A.A. Histological Variations in Juvenile Polyp Phenotype Correlate with Genetic Defect Underlying Juvenile Polyposis. Am. J. Surg. Pathol. 2011, 35, 530. [Google Scholar] [CrossRef] [PubMed]
- Blatter, R.; Tschupp, B.; Aretz, S.; Bernstein, I.; Colas, C.; Evans, D.G.; Genuardi, M.; Hes, F.J.; Hüneburg, R.; Järvinen, H.; et al. Disease Expression in Juvenile Polyposis Syndrome: A Retrospective Survey on a Cohort of 221 European Patients and Comparison with a Literature-Derived Cohort of 473 SMAD4/BMPR1A Pathogenic Variant Carriers. Genet. Med. 2020, 22, 1524–1532. [Google Scholar] [CrossRef] [PubMed]
- Brosens, L.A.A.; Langeveld, D.; van Hattem, W.A.; Giardiello, F.M.; Offerhaus, G.J.A. Juvenile Polyposis Syndrome. World J. Gastroenterol. 2011, 17, 4839. [Google Scholar] [CrossRef] [PubMed]
- Malki, A.; Abu Elruz, R.; Gupta, I.; Allouch, A.; Vranic, S.; Al Moustafa, A.-E. Molecular Sciences Molecular Mechanisms of Colon Cancer Progression and Metastasis: Recent Insights and Advancements. Int. J. Mol. Sci. 2020, 22, 130. [Google Scholar] [CrossRef] [PubMed]
- Yamagishi, H.; Kuroda, H.; Imai, Y.; Hiraishi, H. Molecular Pathogenesis of Sporadic Colorectal Cancers. Chin. J. Cancer 2016, 35, 4. [Google Scholar] [CrossRef] [PubMed]
- Jelsig, A.M.; Ousager, L.B.; Brusgaard, K.; Qvist, N. Juvenile Polyps in Denmark from 1995 to 2014. Dis. Colon Rectum 2016, 59, 751–757. [Google Scholar] [CrossRef] [PubMed]
- Phen, C.; Rojas, I. Paediatric Polyposis Syndromes: Burden of Disease and Current Concepts. Curr. Opin. Pediatr. 2021, 33, 509–514. [Google Scholar] [CrossRef] [PubMed]
- Latchford, A.R.; Neale, K.; Phillips, R.K.S.; Clark, S.K. Juvenile Polyposis Syndrome: A Study of Genotype, Phenotype, and Long-Term Outcome. Dis. Colon Rectum 2012, 55, 1038–1043. [Google Scholar] [CrossRef]
- Aytac, E.; Sulu, B.; Heald, B.; O’Malley, M.; Laguardia, L.; Remzi, F.H.; Kalady, M.F.; Burke, C.A.; Church, J.M. Genotype-Defined Cancer Risk in Juvenile Polyposis Syndrome. Br. J. Surg. 2014, 102, 114–118. [Google Scholar] [CrossRef]
- Ishida, H.; Ishibashi, K.; Iwama, T. Malignant Tumors Associated with Juvenile Polyposis Syndrome in Japan. Surg. Today 2018, 48, 253–263. [Google Scholar] [CrossRef] [PubMed]
- MacFarland, S.P.; Ebrahimzadeh, J.E.; Zelley, K.; Begum, L.; Bass, L.M.; Brand, R.E.; Dudley, B.; Fishman, D.S.; Ganzak, A.; Karloski, E.; et al. Phenotypic Differences in Juvenile Polyposis Syndrome with or without a Disease-Causing SMAD4/BMPR1A Variant. Cancer Prev. Res. 2021, 14, 215. [Google Scholar] [CrossRef] [PubMed]
- Micolonghi, C.; Piane, M.; Germani, A.; Sadeghi, S.; Libi, F.; Savio, C.; Fabiani, M.; Mancini, R.; Ranieri, D.; Pizzuti, A.; et al. A New SMAD4 Splice Site Variant in a Three-Generation Italian Family with Juvenile Polyposis Syndrome. Diagnostics 2022, 12, 2684. [Google Scholar] [CrossRef] [PubMed]
- Samadder, N.J.; Baffy, N.; Giridhar, K.V.; Couch, F.J.; Riegert-Johnson, D. Hereditary Cancer Syndromes-A Primer on Diagnosis and Management, Part 2: Gastrointestinal Cancer Syndromes. Mayo Clin. Proc. 2019, 94, 1099–1116. [Google Scholar] [CrossRef]
- Vasen, H.F.A.; Tomlinson, I.; Castells, A. Clinical Management of Hereditary Colorectal Cancer Syndromes. Nat. Rev. Gastroenterol. Hepatol. 2015, 12, 88–97. [Google Scholar] [CrossRef] [PubMed]
- Katz, L.H.; Gingold-Belfer, R.; Vainer, E.; Hegger, S.; Laish, I.; Derazne, E.; Weintraub, I.; Reznick-Levi, G.; Goldberg, Y.; Levi, Z.; et al. Phenotypic Diversity among Juvenile Polyposis Syndrome Patients from Different Ethnic Background. Hered. Cancer Clin. Pract. 2022, 20, 2. [Google Scholar] [CrossRef] [PubMed]
- Xu, X.; Brodie, S.G.; Yang, X.; Im, Y.-H.; Parks, W.T.; Chen, L.; Zhou, Y.-X.; Weinstein, M.; Kim, S.-J.; Deng, C.-X. Haploid Loss of the Tumor Suppressor Smad4/Dpc4 Initiates Gastric Polyposis and Cancer in Mice. Oncogene 2000, 19, 1868–1874. [Google Scholar] [CrossRef] [PubMed]
- He, X.C.; Zhang, J.; Tong, W.G.; Tawfik, O.; Ross, J.; Scoville, D.H.; Tian, Q.; Zeng, X.; He, X.; Wiedemann, L.M.; et al. BMP Signaling Inhibits Intestinal Stem Cell Self-Renewal through Suppression of Wnt–β-Catenin Signaling. Nat. Genet. 2004, 36, 1117–1121. [Google Scholar] [CrossRef] [PubMed]
- Durban, V.M.; Jansen, M.; Davies, E.J.; Morsink, F.H.; Offerhaus, G.J.A.; Clarke, A.R. Epithelial-Specific Loss of PTEN Results in Colorectal Juvenile Polyp Formation and Invasive Cancer. Am. J. Pathol. 2014, 184, 86–91. [Google Scholar] [CrossRef] [PubMed]
- Kaneda, A.; Feinberg, A.P. Loss of Imprinting of IGF2: A Common Epigenetic Modifier of Intestinal Tumor Risk. Cancer Res. 2005, 65, 11236–11240. [Google Scholar] [CrossRef]
- Oshima, H.; Matsunaga, A.; Fujimura, T.; Tsukamoto, T.; Taketo, M.M.; Oshima, M. Carcinogenesis in Mouse Stomach by Simultaneous Activation of the Wnt Signaling and Prostaglandin E2 Pathway. Gastroenterology 2006, 131, 1086–1095. [Google Scholar] [CrossRef] [PubMed]
- Haramis, A.P.G.; Begthel, H.; Van Den Born, M.; Van Es, J.; Jonkheer, S.; Offerhaus, G.J.A.; Clevers, H. De Novo Crypt Formation and Juvenile Polyposis on BMP Inhibition in Mouse Intestine. Science 2004, 303, 1684–1686. [Google Scholar] [CrossRef] [PubMed]
- Büller, N.V.J.A.; Rosekrans, S.L.; Metcalfe, C.; Heijmans, J.; Van Dop, W.A.; Fessler, E.; Jansen, M.; Ahn, C.; Vermeulen, J.L.M.; Westendorp, B.F.; et al. Stromal Indian Hedgehog Signaling Is Required for Intestinal Adenoma Formation in Mice. Gastroenterology 2015, 148, 170–180.e6. [Google Scholar] [CrossRef]
- Van Es, J.H.; Clevers, H. Notch and Wnt Inhibitors as Potential New Drugs for Intestinal Neoplastic Disease. Trends Mol. Med. 2005, 11, 496–502. [Google Scholar] [CrossRef] [PubMed]
- Nashef, A.; Qahaz, N.; El-Naaj, I.A.; Iraqi, F.A. Systems Genetics Analysis of Oral Squamous Cell Carcinoma Susceptibility Using the Mouse Model: Current Position and New Perspective. Mamm. Genome 2021, 32, 323–331. [Google Scholar] [CrossRef] [PubMed]
- Ferdowsian, H.R.; Beck, N. Ethical and Scientific Considerations Regarding Animal Testing and Research. PLoS ONE 2011, 6, e24059. [Google Scholar] [CrossRef] [PubMed]
- Taler, K.; Zatari, N.; Lone, M.I.; Rotem-Bamberger, S.; Inbal, A. Identification of Small Molecules for Prevention of Lens Epithelium-Derived Cataract Using Zebrafish. Cells 2023, 12, 2540. [Google Scholar] [CrossRef] [PubMed]
- Threadgill, D.W.; Churchill, G.A. Ten Years of the Collaborative Cross. Genetics 2012, 190, 291–294. [Google Scholar] [CrossRef] [PubMed]
- Churchill, G.A.; Airey, D.C.; Allayee, H.; Angel, J.M.; Attie, A.D.; Beatty, J.; Beavis, W.D.; Belknap, J.K.; Bennett, B.; Berrettini, W.; et al. The Collaborative Cross, a Community Resource for the Genetic Analysis of Complex Traits. Nat. Genet. 2004, 36, 1133–1137. [Google Scholar] [CrossRef] [PubMed]
- Dorman, A.; Binenbaum, I.; Abu-Toamih Atamni, H.J.; Chatziioannou, A.; Tomlinson, I.; Mott, R.; Iraqi, F.A. Genetic Mapping of Novel Modifiers for Apc Min Induced Intestinal Polyps’ Development Using the Genetic Architecture Power of the Collaborative Cross Mice. BMC Genom. 2021, 22, 566. [Google Scholar] [CrossRef] [PubMed]
- Takaku, K.; Miyoshi, H.; Matsunaga, A.; Oshima, M.; Sasaki, N.; Taketo, M.M. Gastric and Duodenal Polyps in Smad4 (Dpc4) Knockout Mice. Cancer Res. 1999, 59, 6113–6117. [Google Scholar] [PubMed]
- Wele, P.; Wu, X.; Shi, H. Sex-Dependent Differences in Colorectal Cancer: With a Focus on Obesity. Cells 2022, 11, 3688. [Google Scholar] [CrossRef] [PubMed]
- Ibrahimi, N.; Septer, S.S.; Lee, B.R.; Garola, R.; Shah, R.; Attard, T.M. Polyp Characteristics of Nonsyndromic and Potentially Syndromic Juvenile Polyps: A Retrospective Cohort Analysis. J. Pediatr. Gastroenterol. Nutr. 2019, 69, 668. [Google Scholar] [CrossRef] [PubMed]
- Lone, I.M.; Midlej, K.; Nun, N.B.; Iraqi, F.A. Intestinal Cancer Development in Response to Oral Infection with High-Fat Diet-Induced Type 2 Diabetes (T2D) in Collaborative Cross Mice under Different Host Genetic Background Effects. Mamm. Genome 2023, 34, 56–75. [Google Scholar] [CrossRef] [PubMed]
- Langeveld, D.; Van Hattem, W.A.; De Leng, W.W.J.; Morsink, F.H.; Ten Kate, F.J.W.; Giardiello, F.M.; Offerhaus, G.J.A.; Brosens, L.A.A. SMAD4 Immunohistochemistry Reflects Genetic Status in Juvenile Polyposis Syndrome. Clin. Cancer Res. 2010, 16, 4126–4134. [Google Scholar] [CrossRef] [PubMed]
- Yang, G.; Yang, X. Smad4-Mediated TGF-β Signaling in Tumorigenesis. Int. J. Biol. Sci. 2010, 6, 1–8. [Google Scholar] [CrossRef] [PubMed]
- Moser, A.R.; Dove, W.F.; Roth, K.A.; Gordonl, J.I. The Min (Multiple Intestinal Neoplasia) Mutation: Its Effect on Gut Epithelial Cell Differentiation and Interaction with a Modifier System. J. Cell Biol. 1992, 116, 1517–1526. [Google Scholar] [CrossRef] [PubMed]
- Cormier, R.T.; Dove, W.F. Dnmt1N/+ Reduces the Net Growth Rate and Multiplicity of Intestinal Adenomas in C57BL/6-Multiple Intestinal Neoplasia (Min)/+ Mice Independently of P53 but Demonstrates Strong Synergy with the Modifier of Min 1AKR Resistance Allele. Cancer Res. 2000, 60, 3965–3970. [Google Scholar] [PubMed]
- Cormier, R.T.; Bilger, A.; Lillich, A.J.; Halberg, R.B.; Hong, K.H.; Gould, K.A.; Borenstein, N.; Lander, E.S.; Dove, W.F. The Mom1AKR Intestinal Tumor Resistance Region Consists of Pla2g2a and a Locus Distal to D4Mit64. Oncogene 2000, 19, 3182–3192. [Google Scholar] [CrossRef] [PubMed]
- Iraqi, F.A.; Mahajne, M.; Salaymah, Y.; Sandovski, H.; Tayem, H.; Vered, K.; Balmer, L.; Hall, M.; Manship, G.; Morahan, G.; et al. The Genome Architecture of the Collaborative Cross Mouse Genetic Reference Population. Genetics 2012, 190, 389–401. [Google Scholar] [CrossRef] [PubMed]
- Truett, G.E.; Heeger, P.; Mynatt, R.L.; Truett, A.A.; Walker, J.A.; Warman, M.L. Preparation of PCR-Quality Mouse Genomic Dna with Hot Sodium Hydroxide and Tris (HotSHOT). Biotechniques 2000, 29, 52–54. [Google Scholar] [CrossRef] [PubMed]
- Rudling, R.; Hassan, A.B.; Kitau, J.; Mandir, N.; Goodlad, R.A. A Simple Device to Rapidly Prepare Whole Mounts of Murine Intestine. Cell Prolif. 2006, 39, 415–420. [Google Scholar] [CrossRef] [PubMed]
- Iraqi, F.A.; Athamni, H.; Dorman, A.; Salymah, Y.; Tomlinson, I.; Nashif, A.; Shusterman, A.; Weiss, E.; Houri-Haddad, Y.; Mott, R.; et al. Heritability and Coefficient of Genetic Variation Analyses of Phenotypic Traits Provide Strong Basis for High-Resolution QTL Mapping in the Collaborative Cross Mouse Genetic Reference Population. Mamm. Genome 2014, 25, 109–119. [Google Scholar] [CrossRef] [PubMed]
- Quinlan, J.R. Induction of Decision Trees. Mach. Learn. 1986, 1, 81–106. [Google Scholar] [CrossRef]
- Krzywinksi, M.; Altman, N. Points of Significance Classification and Regression Trees. Nat. Methods 2017, 14, 757–758. [Google Scholar] [CrossRef]
- Breiman, L. (Impo)Random Forests(Book). Mach. Learn. 2001, 45, 5–32. [Google Scholar] [CrossRef]
- Zhao, X.; Zou, Q.; Liu, B.; Liu, X. Exploratory Predicting Protein Folding Model with Random Forest and Hybrid Features. Curr. Proteom. 2015, 11, 289–299. [Google Scholar] [CrossRef]
- Liao, Z.; Ju, Y.; Zou, Q. Prediction of G Protein-Coupled Receptors with SVM-Prot Features and Random Forest. Scientifica (Cairo) 2016, 2016, 8309253. [Google Scholar] [CrossRef] [PubMed]
- Cawley, G.C.; Talbot, N.L.C. On Over-Fitting in Model Selection and Subsequent Selection Bias in Performance Evaluation. J. Mach. Learn. Res. 2010, 11, 28–36. [Google Scholar]






| Sex | Genotype | Trait | df between | df within | n | MS between | MS within | VG | H2 | Trait Mean | CVg | Anova Sig |
|---|---|---|---|---|---|---|---|---|---|---|---|---|
| Female | WT | SB1_C | 12 | 96 | 7.46 | 14.04 | 3.11 | 1.47 | 0.32 | 1.71 | 0.71 | 0.000 |
| Female | WT | SB2_A | 12 | 96 | 7.46 | 1.31 | 0.70 | 0.08 | 0.11 | 0.66 | 0.43 | 0.046 |
| Female | WT | SB2_B | 12 | 96 | 7.46 | 0.49 | 0.41 | 0.01 | 0.03 | 0.52 | 0.20 | 0.298 |
| Female | WT | SB3_A | 12 | 96 | 7.46 | 1.92 | 0.86 | 0.14 | 0.14 | 0.80 | 0.47 | 0.016 |
| Female | WT | SB3_C | 12 | 96 | 7.46 | 26.55 | 7.09 | 2.61 | 0.27 | 1.70 | 0.95 | 0.000 |
| Female | WT | S.I_A_Polyps | 12 | 96 | 7.46 | 7.21 | 3.55 | 0.49 | 0.12 | 2.04 | 0.34 | 0.029 |
| Female | WT | S.I_C_Polyps | 12 | 96 | 7.46 | 68.87 | 18.15 | 6.80 | 0.27 | 4.59 | 0.57 | 0.000 |
| Female | WT | Total_Small_Intestine | 12 | 96 | 7.46 | 96.44 | 26.12 | 9.42 | 0.27 | 8.48 | 0.36 | 0.000 |
| Female | WT | Colon_A_Polyps | 12 | 96 | 7.46 | 0.15 | 0.08 | 0.01 | 0.10 | 0.10 | 0.96 | 0.054 |
| Female | WT | Colon_B_polyps | 12 | 96 | 7.46 | 0.70 | 0.52 | 0.02 | 0.04 | 0.40 | 0.39 | 0.204 |
| Female | WT | Colon_C_Polyps | 12 | 96 | 7.46 | 50.97 | 9.60 | 5.54 | 0.37 | 4.64 | 0.51 | 0.000 |
| Female | WT | Total_Colon | 12 | 96 | 7.46 | 46.08 | 9.92 | 4.85 | 0.33 | 5.15 | 0.43 | 0.000 |
| Female | WT | Total_Intestinal | 12 | 96 | 7.46 | 191.35 | 43.68 | 19.79 | 0.31 | 13.62 | 0.33 | 0.000 |
| Female | KO | SB1_A | 13 | 100 | 7.21 | 0.96 | 0.85 | 0.02 | 0.02 | 0.87 | 0.14 | 0.340 |
| Female | KO | SB1_B | 13 | 100 | 7.21 | 0.77 | 0.74 | 0.00 | 0.01 | 0.92 | 0.07 | 0.417 |
| Female | KO | SB1_C | 13 | 100 | 7.21 | 43.26 | 29.78 | 1.87 | 0.06 | 3.37 | 0.41 | 0.149 |
| Female | KO | SB2_A | 13 | 100 | 7.21 | 0.93 | 0.84 | 0.01 | 0.02 | 1.00 | 0.11 | 0.358 |
| Female | KO | SB2_C | 13 | 100 | 7.21 | 16.22 | 7.22 | 1.25 | 0.15 | 2.39 | 0.47 | 0.013 |
| Female | KO | SB3_A | 13 | 100 | 7.21 | 2.14 | 1.00 | 0.16 | 0.14 | 1.20 | 0.33 | 0.018 |
| Female | KO | SB3_C | 13 | 100 | 7.21 | 118.77 | 36.60 | 11.39 | 0.24 | 3.96 | 0.85 | 0.000 |
| Female | KO | S.I_A_Polyps | 13 | 100 | 7.21 | 5.74 | 3.05 | 0.37 | 0.11 | 3.07 | 0.20 | 0.041 |
| Female | KO | S.I_B_Polyps | 13 | 100 | 7.21 | 3.35 | 3.00 | 0.05 | 0.02 | 2.57 | 0.09 | 0.355 |
| Female | KO | S.I_C_Polyps | 13 | 100 | 7.21 | 348.49 | 88.36 | 36.06 | 0.29 | 9.73 | 0.62 | 0.000 |
| Female | KO | Total_Small_Intestine | 13 | 100 | 7.21 | 394.98 | 92.78 | 41.89 | 0.31 | 15.37 | 0.42 | 0.000 |
| Female | KO | Colon_B_polyps | 13 | 100 | 7.21 | 1.90 | 0.88 | 0.14 | 0.14 | 0.62 | 0.60 | 0.017 |
| Female | KO | Colon_C_Polyps | 13 | 100 | 7.21 | 87.11 | 39.20 | 6.64 | 0.14 | 8.23 | 0.31 | 0.014 |
| Female | KO | Total_Colon | 13 | 100 | 7.21 | 81.18 | 38.90 | 5.86 | 0.13 | 8.96 | 0.27 | 0.021 |
| Female | KO | Total_Intestinal | 13 | 100 | 7.21 | 650.63 | 153.55 | 68.90 | 0.31 | 24.33 | 0.34 | 0.000 |
| Male | WT | SB1_A | 13 | 87 | 6.29 | 0.83 | 0.60 | 0.04 | 0.06 | 0.50 | 0.38 | 0.187 |
| Male | WT | SB1_C | 13 | 87 | 6.29 | 10.50 | 4.77 | 0.91 | 0.16 | 1.64 | 0.58 | 0.016 |
| Male | WT | SB2_A | 13 | 87 | 6.29 | 1.77 | 0.76 | 0.16 | 0.17 | 0.74 | 0.54 | 0.011 |
| Male | WT | SB2_C | 13 | 87 | 6.29 | 35.20 | 15.05 | 3.21 | 0.18 | 2.21 | 0.81 | 0.010 |
| Male | WT | SB3_B | 13 | 87 | 6.29 | 0.90 | 0.81 | 0.01 | 0.02 | 0.76 | 0.16 | 0.359 |
| Male | WT | SB3_C | 13 | 87 | 6.29 | 220.63 | 92.31 | 20.41 | 0.18 | 3.84 | 1.18 | 0.009 |
| Male | WT | S.I_A_Polyps | 13 | 87 | 6.29 | 5.49 | 3.48 | 0.32 | 0.08 | 1.98 | 0.29 | 0.107 |
| Male | WT | S.I_C_Polyps | 13 | 87 | 6.29 | 380.31 | 123.12 | 40.92 | 0.25 | 7.69 | 0.83 | 0.001 |
| Male | WT | Total_Small_Intestine | 13 | 87 | 6.29 | 445.20 | 122.28 | 51.37 | 0.30 | 11.67 | 0.61 | 0.000 |
| Male | WT | Colon_A_Polyps | 13 | 87 | 6.29 | 0.08 | 0.07 | 0.00 | 0.01 | 0.08 | 0.35 | 0.400 |
| Male | WT | Colon_B_polyps | 13 | 87 | 6.29 | 0.94 | 0.46 | 0.08 | 0.14 | 0.39 | 0.72 | 0.025 |
| Male | WT | Colon_C_Polyps | 13 | 87 | 6.29 | 72.84 | 28.17 | 7.11 | 0.20 | 5.38 | 0.50 | 0.004 |
| Male | WT | Total_Colon | 13 | 87 | 6.29 | 68.33 | 30.91 | 5.95 | 0.16 | 5.84 | 0.42 | 0.015 |
| Male | WT | Total_Intestinal | 13 | 87 | 6.29 | 699.96 | 172.11 | 83.98 | 0.33 | 17.51 | 0.52 | 0.000 |
| Male | KO | SB1_A | 13 | 95 | 6.86 | 2.07 | 1.12 | 0.14 | 0.11 | 1.19 | 0.31 | 0.046 |
| Two Classes | ||||
|---|---|---|---|---|
| LDA | KNN | SVM | RF | |
| Accuracy | 0.67 | 0.55 | 0.69 | 0.64 |
| Kappa | 0.33 | 0.1 | 0.38 | 0.27 |
| Three Classes | ||||
| Accuracy | 0.62 | 0.62 | 0.63 | 0.62 |
| Kappa | 0.1 | 0.07 | 0.0 | 0.1 |
| F1 (Samd4KO X CCxxx) | Sex | Total | |||
|---|---|---|---|---|---|
| F | M | ||||
| CC037 | Genotype | WT | 17 | 15 | 32 |
| KO | 14 | 19 | 33 | ||
| Total | 31 | 34 | 65 | ||
| CC004 | Genotype | WT | 4 | 5 | 9 |
| KO | 11 | 8 | 19 | ||
| Total | 15 | 13 | 28 | ||
| CC040 | Genotype | WT | 1 | 2 | 3 |
| KO | 1 | 2 | 3 | ||
| Total | 2 | 4 | 6 | ||
| CC005 | Genotype | WT | 4 | 4 | 8 |
| KO | 3 | 3 | 6 | ||
| Total | 7 | 7 | 14 | ||
| CC019 | Genotype | WT | 4 | 3 | 7 |
| KO | 12 | 4 | 16 | ||
| Total | 16 | 7 | 23 | ||
| CC006 | Genotype | WT | 7 | 5 | 12 |
| KO | 10 | 7 | 17 | ||
| Total | 17 | 12 | 29 | ||
| CC084 | Genotype | WT | 12 | 12 | 24 |
| KO | 13 | 11 | 24 | ||
| Total | 25 | 23 | 48 | ||
| CC059 | Genotype | WT | 4 | 9 | 13 |
| KO | 4 | 6 | 10 | ||
| Total | 8 | 15 | 23 | ||
| CC041 | Genotype | WT | 2 | 0 | 2 |
| KO | 2 | 0 | 2 | ||
| Total | 4 | 4 | |||
| CC010 | Genotype | WT | 11 | 12 | 23 |
| KO | 14 | 10 | 24 | ||
| Total | 25 | 22 | 47 | ||
| CC018 | Genotype | WT | 16 | 8 | 24 |
| KO | 14 | 15 | 29 | ||
| Total | 30 | 23 | 53 | ||
| CC012 | Genotype | WT | 7 | 4 | 11 |
| KO | 5 | 6 | 11 | ||
| Total | 12 | 10 | 22 | ||
| CC035 | Genotype | WT | 11 | 8 | 19 |
| KO | 5 | 13 | 18 | ||
| Total | 16 | 21 | 37 | ||
| CC025 | Genotype | WT | 9 | 11 | 20 |
| KO | 8 | 11 | 19 | ||
| Total | 17 | 22 | 39 | ||
| CC005 | Genotype | WT | 20 | 12 | 32 |
| KO | 15 | 14 | 29 | ||
| Total | 35 | 26 | 61 | ||
| Total | Genotype | WT | 129 | 110 | 239 |
| KO | 131 | 129 | 260 | ||
| Total | 260 | 239 | 499 | ||
Disclaimer/Publisher’s Note: The statements, opinions and data contained in all publications are solely those of the individual author(s) and contributor(s) and not of MDPI and/or the editor(s). MDPI and/or the editor(s) disclaim responsibility for any injury to people or property resulting from any ideas, methods, instructions or products referred to in the content. |
© 2024 by the authors. Licensee MDPI, Basel, Switzerland. This article is an open access article distributed under the terms and conditions of the Creative Commons Attribution (CC BY) license (https://creativecommons.org/licenses/by/4.0/).
Share and Cite
Zohud, O.; Midlej, K.; Lone, I.M.; Nashef, A.; Abu-Elnaaj, I.; Iraqi, F.A. Studying the Effect of the Host Genetic Background of Juvenile Polyposis Development Using Collaborative Cross and Smad4 Knock-Out Mouse Models. Int. J. Mol. Sci. 2024, 25, 5812. https://doi.org/10.3390/ijms25115812
Zohud O, Midlej K, Lone IM, Nashef A, Abu-Elnaaj I, Iraqi FA. Studying the Effect of the Host Genetic Background of Juvenile Polyposis Development Using Collaborative Cross and Smad4 Knock-Out Mouse Models. International Journal of Molecular Sciences. 2024; 25(11):5812. https://doi.org/10.3390/ijms25115812
Chicago/Turabian StyleZohud, Osayd, Kareem Midlej, Iqbal M. Lone, Aysar Nashef, Imad Abu-Elnaaj, and Fuad A. Iraqi. 2024. "Studying the Effect of the Host Genetic Background of Juvenile Polyposis Development Using Collaborative Cross and Smad4 Knock-Out Mouse Models" International Journal of Molecular Sciences 25, no. 11: 5812. https://doi.org/10.3390/ijms25115812
APA StyleZohud, O., Midlej, K., Lone, I. M., Nashef, A., Abu-Elnaaj, I., & Iraqi, F. A. (2024). Studying the Effect of the Host Genetic Background of Juvenile Polyposis Development Using Collaborative Cross and Smad4 Knock-Out Mouse Models. International Journal of Molecular Sciences, 25(11), 5812. https://doi.org/10.3390/ijms25115812

