Anti-HIV Humoral Response Induced by Different Anti-Idiotype Antibody Formats: An In Silico and In Vivo Approach
Abstract
1. Introduction
2. Results
2.1. In Silico Analysis of the Different Antibody Formats
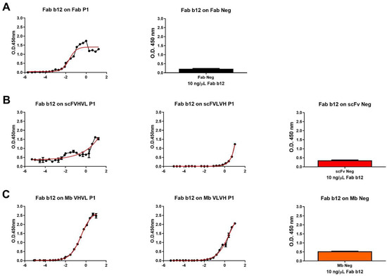
2.2. Binding to b12 of the Different Antibody Formats
2.3. Analysis of Rabbits’ Seroconversion after Immunization with Fab Format
2.4. Analysis of Rabbits’ Seroconversion after Immunization with scFv Formats
2.5. Analysis of Rabbits’ Seroconversion after Immunization with Minibody Formats
2.6. Statistical Comparison among the Different Formats with Fab P1
3. Discussion
4. Materials and Methods
4.1. Design and Analysis of P1 scFv and P1 Minibody Using Immunoinformatic Tools
4.2. Cloning and Purification of scFV P1 and Minibody P1
4.3. Rabbit Immunization and Sera Characterization
4.4. Statistical Analysis
5. Patent
Supplementary Materials
Author Contributions
Funding
Institutional Review Board Statement
Informed Consent Statement
Data Availability Statement
Conflicts of Interest
References
- UNAIDS Global HIV & AIDS Statistics—Fact Sheet. Available online: http://www.unaids.org/sites/default/files/media_asset/UNAIDS_FactSheet_en.pdf (accessed on 29 February 2024).
- Arts, E.J.; Hazuda, D.J. HIV-1 Antiretroviral Drug Therapy. Cold Spring Harb. Perspect. Med. 2012, 2, a007161. [Google Scholar] [CrossRef] [PubMed]
- Libera, M.; Caputo, V.; Laterza, G.; Moudoud, L.; Soggiu, A.; Bonizzi, L.; Diotti, R.A. The Question of HIV Vaccine: Why Is a Solution Not Yet Available? J. Immunol. Res. 2024, 2024, 2147912. [Google Scholar] [CrossRef] [PubMed]
- Ahmed, Y.; Tian, M.; Gao, Y. Development of an Anti-HIV Vaccine Eliciting Broadly Neutralizing Antibodies. AIDS Res. Ther. 2017, 14, 50. [Google Scholar] [CrossRef] [PubMed]
- Zolla-Pazner, S. Identifying Epitopes of HIV-1 That Induce Protective Antibodies. Nat. Rev. Immunol. 2004, 4, 199–210. [Google Scholar] [CrossRef] [PubMed]
- Nisonoff, A.; Lamoyi, E. Implications of the Presence of an Internal Image of the Antigen in Anti-Idiotypic Antibodies: Possible Application to Vaccine Production. Clin. Immunol. Immunopathol. 1981, 21, 397–406. [Google Scholar] [CrossRef] [PubMed]
- Moulard, M.; Phogat, S.K.; Shu, Y.; Labrijn, A.F.; Xiao, D.; Binley, J.M.; Zhang, M.Y.; Sidorov, I.A.; Broder, C.C.; Robinson, J.; et al. Broadly Cross-Reactive HIV-1-Neutralizing Human Monoclonal Fab Selected for Binding to Gp120-CD4-CCR5 Complexes. Proc. Natl. Acad. Sci. USA 2002, 99, 6913–6918. [Google Scholar] [CrossRef] [PubMed]
- Zwick, M.B.; Parren, P.W.H.I.; Saphire, E.O.; Church, S.; Wang, M.; Scott, J.K.; Dawson, P.E.; Wilson, I.A.; Burton, D.R. Molecular Features of the Broadly Neutralizing Immunoglobulin G1 B12 Required for Recognition of Human Immunodeficiency Virus Type 1 Gp120. J. Virol. 2003, 77, 5863–5876. [Google Scholar] [CrossRef] [PubMed]
- Bancroft, T.; DeBuysscher, B.L.; Weidle, C.; Schwartz, A.; Wall, A.; Gray, M.D.; Feng, J.; Steach, H.R.; Fitzpatrick, K.S.; Gewe, M.M.; et al. Detection and Activation of HIV Broadly Neutralizing Antibody Precursor B Cells Using Anti-Idiotypes. J. Exp. Med. 2019, 216, 2331–2347. [Google Scholar] [CrossRef] [PubMed]
- Burioni, R.; Mancini, N.; De Marco, D.; Clementi, N.; Perotti, M.; Nitti, G.; Sassi, M.; Canducci, F.; Shvela, K.; Bagnarelli, P.; et al. Anti-HIV-1 Response Elicited in Rabbits by Anti-Idiotype Monoclonal Antibodies Mimicking the CD4-Binding Site. PLoS ONE 2008, 3, e3423. [Google Scholar] [CrossRef]
- Martinelli, D.D. In Silico Vaccine Design: A Tutorial in Immunoinformatics. Healthc. Anal. 2022, 2, 100044. [Google Scholar] [CrossRef]
- Garcia-Moreno, F.M.; Gutiérrez-Naranjo, M.A. ALLERDET: A Novel Web App for Prediction of Protein Allergenicity. J. Biomed. Inf. 2022, 135, 104217. [Google Scholar] [CrossRef] [PubMed]
- van Heuvel, Y.; Schatz, S.; Rosengarten, J.F.; Stitz, J. Infectious RNA: Human Immunodeficiency Virus (HIV) Biology, Therapeutic Intervention, and the Quest for a Vaccine. Toxins 2022, 14, 138. [Google Scholar] [CrossRef] [PubMed]
- Whitlow, M.; Bell, B.A.; Feng, S.L.; Filpula, D.; Hardman, K.D.; Hubert, S.L.; Rollence, M.L.; Wood, J.F.; Schott, M.E.; Milenic, D.E.; et al. An Improved Linker for Single-Chain Fv with Reduced Aggregation and Enhanced Proteolytic Stability. Protein Eng. Des. Sel. 1993, 6, 989–995. [Google Scholar] [CrossRef] [PubMed]
- Bi, K.; Yang, J.; Wang, L.; Gu, Y.; Zhan, B.; Zhu, X. Partially Protective Immunity Induced by a 20 KDa Protein Secreted by Trichinella Spiralis Stichocytes. PLoS ONE 2015, 10, e0136189. [Google Scholar] [CrossRef]
- Rutti, B.; Brossard, M. Vaccination of Cattle against Rhipicephalus Appendiculatus with Detergent Solubilized Tick Tissue Proteins and Purified 20 KDa Protein. Ann. Parasitol. Hum. Comp. 1992, 67, 50–54. [Google Scholar] [CrossRef] [PubMed]
- Abdel-Motal, U.M.; Sarkis, P.T.N.; Han, T.; Pudney, J.; Anderson, D.J.; Zhu, Q.; Marasco, W.A. Anti-Gp120 Minibody Gene Transfer to Female Genital Epithelial Cells Protects against HIV-1 Virus Challenge in Vitro. PLoS ONE 2011, 6, e26473. [Google Scholar] [CrossRef] [PubMed]
- Kim, Y.P.; Park, D.; Kim, J.J.; Choi, W.J.; Lee, S.H.; Lee, S.Y.; Kim, S.; Chung, J.M.; Jeon, J.; Lee, B.D.; et al. Effective Therapeutic Approach for Head and Neck Cancer by an Engineered Minibody Targeting the EGFR Receptor. PLoS ONE 2014, 9, e113442. [Google Scholar] [CrossRef] [PubMed]
- Thies, M.J.W.; Mayer, J.; Augustine, J.G.; Frederick, C.A.; Lilie, H.; Buchner, J. Folding and Association of the Antibody Domain C(H)3: Prolyl Isomerization Preceeds Dimerization. J. Mol. Biol. 1999, 293, 67–79. [Google Scholar] [CrossRef] [PubMed]
- Zhang, M.Y.; Wang, Y.; Mankowski, M.K.; Ptak, R.G.; Dimitrov, D.S. Cross-Reactive HIV-1-Neutralizing Activity of Serum IgG from a Rabbit Immunized with Gp41 Fused to IgG1 Fc: Possible Role of the Prolonged Half-Life of the Immunogen. Vaccine 2009, 27, 857–863. [Google Scholar] [CrossRef]
- Pardi, N.; Hogan, M.J.; Porter, F.W.; Weissman, D. MRNA Vaccines—A New Era in Vaccinology. Nat. Rev. Drug Discov. 2018, 17, 261–279. [Google Scholar] [CrossRef]
- Plotz, P.H. Autoantibodies Are Anti-Idiotype Antibodies to Antiviral Antibodies. Lancet 1983, 322, 824–826. [Google Scholar] [CrossRef]
- Wines, B.D.; Powell, M.S.; Parren, P.W.H.I.; Barnes, N.; Hogarth, P.M. The IgG Fc Contains Distinct Fc Receptor (FcR) Binding Sites: The Leukocyte Receptors Fc Gamma RI and Fc Gamma RIIa Bind to a Region in the Fc Distinct from That Recognized by Neonatal FcR and Protein A. J. Immunol. 2000, 164, 5313–5318. [Google Scholar] [CrossRef]
- Dimitrov, I.; Bangov, I.; Flower, D.R.; Doytchinova, I. AllerTOP v.2—A Server for in Silico Prediction of Allergens. J. Mol. Model. 2014, 20, 2278. [Google Scholar] [CrossRef]
- Sharma, N.; Patiyal, S.; Dhall, A.; Pande, A.; Arora, C.; Raghava, G.P.S. AlgPred 2.0: An Improved Method for Predicting Allergenic Proteins and Mapping of IgE Epitopes. Brief. Bioinform. 2021, 22, bbaa294. [Google Scholar] [CrossRef]
- Doytchinova, I.A.; Flower, D.R. VaxiJen: A Server for Prediction of Protective Antigens, Tumour Antigens and Subunit Vaccines. BMC Bioinform. 2007, 8, 4. [Google Scholar] [CrossRef]
- Sharma, N.; Naorem, L.D.; Jain, S.; Raghava, G.P.S. ToxinPred2: An Improved Method for Predicting Toxicity of Proteins. Brief. Bioinform. 2022, 23, bbac174. [Google Scholar] [CrossRef]
- Wilkins, M.R.; Gasteiger, E.; Bairoch, A.; Sanchez, J.C.; Williams, K.L.; Appel, R.D.; Hochstrasser, D.F. Protein Identification and Analysis Tools in the ExPASy Server. Methods Mol. Biol. 1999, 112, 531–552. [Google Scholar] [CrossRef]
- Solforosi, L.; Mancini, N.; Canducci, F.; Clementi, N.; Sautto, G.A.; Diotti, R.A.; Clementi, M.; Burioni, R. A Phage Display Vector Optimized for the Generation of Human Antibody Combinatorial Libraries and the Molecular Cloning of Monoclonal Antibody Fragments. New Microbiol. 2012, 35, 289–294. [Google Scholar]






| Allergenicity | Toxicity | Antigenicity | Physicochemical Parameter | ||||||
|---|---|---|---|---|---|---|---|---|---|
| AllerTOP v. 2.0 | AlgPred 2.0 | Allerdet | IgE Epitopes (AlgPred 2.0) | ToxinPred 2.0 | VaxiJen 2.0 | ProtParam | |||
| Molecular Weight (Da) | pI | GRAVY | |||||||
| scF VHVL P1 | Allergen | Allergen | Allergen | - | nontoxin | 0.6447 | 26,588.38 | 6.3 | −0.489 |
| scF VLVH P1 | Nonallergen | Allergen | Allergen | - | nontoxin | 0.6511 | |||
| Mb VHVL P1 | Nonallergen | Allergen | Allergen | - | nontoxin | 0.6136 | 33,656.95 | 5.74 | −0.560 |
| Mb VLVH P1 | Nonallergen | Allergen | Allergen | - | nontoxin | 0.6099 | |||
| Antibody Formats | ELISA-Based Half-Maximal Effective Concentration Values (M) |
|---|---|
| Fab P1 | 0.02268 |
| scFVHVL P1 | ambiguous |
| scFVLVH P1 | ambiguous |
| Mb VHVL P1 | 0.33 |
| Mb VLVH P1 | 2.8 |
Disclaimer/Publisher’s Note: The statements, opinions and data contained in all publications are solely those of the individual author(s) and contributor(s) and not of MDPI and/or the editor(s). MDPI and/or the editor(s) disclaim responsibility for any injury to people or property resulting from any ideas, methods, instructions or products referred to in the content. |
© 2024 by the authors. Licensee MDPI, Basel, Switzerland. This article is an open access article distributed under the terms and conditions of the Creative Commons Attribution (CC BY) license (https://creativecommons.org/licenses/by/4.0/).
Share and Cite
Caputo, V.; Negri, I.; Moudoud, L.; Libera, M.; Bonizzi, L.; Clementi, M.; Diotti, R.A. Anti-HIV Humoral Response Induced by Different Anti-Idiotype Antibody Formats: An In Silico and In Vivo Approach. Int. J. Mol. Sci. 2024, 25, 5737. https://doi.org/10.3390/ijms25115737
Caputo V, Negri I, Moudoud L, Libera M, Bonizzi L, Clementi M, Diotti RA. Anti-HIV Humoral Response Induced by Different Anti-Idiotype Antibody Formats: An In Silico and In Vivo Approach. International Journal of Molecular Sciences. 2024; 25(11):5737. https://doi.org/10.3390/ijms25115737
Chicago/Turabian StyleCaputo, Valeria, Ilaria Negri, Louiza Moudoud, Martina Libera, Luigi Bonizzi, Massimo Clementi, and Roberta Antonia Diotti. 2024. "Anti-HIV Humoral Response Induced by Different Anti-Idiotype Antibody Formats: An In Silico and In Vivo Approach" International Journal of Molecular Sciences 25, no. 11: 5737. https://doi.org/10.3390/ijms25115737
APA StyleCaputo, V., Negri, I., Moudoud, L., Libera, M., Bonizzi, L., Clementi, M., & Diotti, R. A. (2024). Anti-HIV Humoral Response Induced by Different Anti-Idiotype Antibody Formats: An In Silico and In Vivo Approach. International Journal of Molecular Sciences, 25(11), 5737. https://doi.org/10.3390/ijms25115737

