Abstract
Alkaloids are natural compounds useful as scaffolds for discovering new bioactive molecules. This study utilized alkaloid gramine to synthesize two groups of C3-substituted indole derivatives, which were either functionalized at N1 or not. The compounds were characterized by spectroscopic methods. The protective effects of the new compounds against in vitro oxidative hemolysis induced by standard oxidant 2,2′-azobis(2-amidinopropane dihydro chloride (AAPH) on human erythrocytes as a cell model were investigated. Additionally, the compounds were screened for antimicrobial activity. The results indicated that most of the indole derivatives devoid of the N1 substitution exhibited strong cytoprotective properties. The docking studies supported the affinities of selected indole-based ligands as potential antioxidants. Furthermore, the derivatives obtained exhibited potent fungicidal properties. The structures of the eight derivatives possessing indole moiety bridged to the imidazole-, benzimidazole-, thiazole-, benzothiazole-, and 5-methylbenzothiazoline-2-thiones were determined by X-ray diffraction. The C=S bond lengths in the thioamide fragment pointed to the involvement of zwitterionic structures of varying contribution. The predominance of zwitterionic mesomers may explain the lack of cytoprotective properties, while steric effects, which limit multiple the hydrogen-bond acceptor properties of a thione sulfur, seem to be responsible for the high hemolytic activity.
1. Introduction
Alkaloids are a large group of naturally occurring compounds used as precursors for synthesizing new drugs [1,2,3,4]. Among them, the indole alkaloids, such as vinca alkaloids (vincristine and vinblastine), reserpine, or ergot alkaloids, are of significant pharmacological interest [5,6,7,8,9,10]. Another indole alkaloid that has been constantly receiving increasing attention in sustainable chemistry is gramine. This earth-abundant natural compound is used as a pharmaceutical lead scaffold for synthesizing indole-based compounds with different biological activities [11,12,13,14,15,16]. The dimethylamine group at the C3 position of the indole ring in gramine can undergo substitution reactions [17,18]. Therefore, functionalizing this position is convenient for obtaining more intricate structures or starting materials for further functionalization and reactions. Many C3-substituted indole analogs are effective as anticancer, antitubercular, antimicrobial, and antioxidant agents [5,9,19,20]. Another modification in the structure of gramine involves substituting the nitrogen atom in the indole group. N-substituted indole derivatives have shown anti-inflammatory, antimicrobial, antipsychotic, antifungal, and antioxidant effects [14,21,22,23,24]. Indole derivatives with tertiary amino and phenyl groups at the N1 nitrogen atom exhibit significant activity against the Staphylococcus aureus pathogen [24].
We synthesized two groups of new indole-based derivatives based on the literature data (Figure 1) to evaluate their selected biological activity. One group of molecules consisted of indole derivatives, featuring substituents at both the C3 and N1 positions. Another group of gramine derivatives contained indole moieties attached by a methylene linker at the C3 position to azoles or benzazoles.
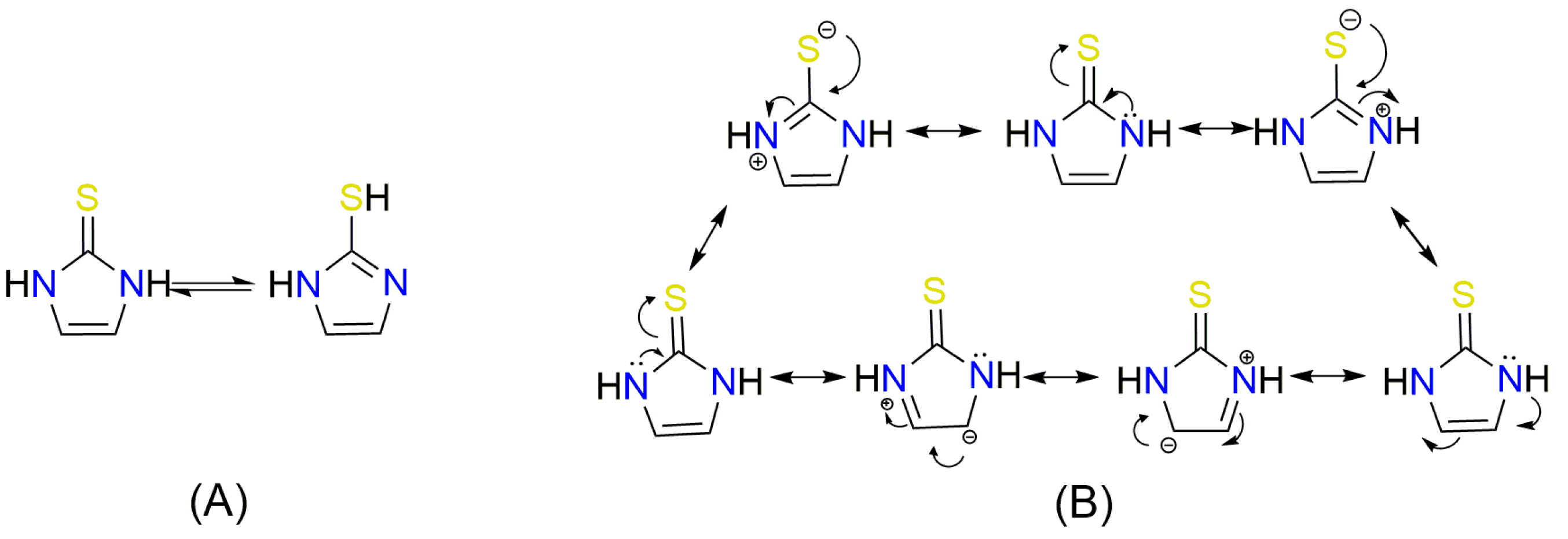
Figure 1.
Design of the new gramine derivatives. Examples of bioactive indole derivatives aubstituted at the C3 position (left) or at the C3 and N1 positions (right).
Azole-based compounds are essential building blocks in many pharmaceutical agents, and they have various effects, including antimicrobial properties [25,26,27,28,29]. Their activities are explained by the existence of a tautomeric equilibrium. Tautomers differ in their molecular shapes and proton donor–acceptor properties; therefore, depending on the tautomeric form, they can be involved in different molecular interactions between themselves or with other targets. In the investigated series that comprise the azole-2-thione moieties, the molecules can theoretically exist in two tautomeric forms, viz., thione and thiol. The thione form provides the only ‘classical’ hydrogen bond acceptor site, the other possibility being the engagement as a hydrogen bond acceptor site of π-electron systems or solvation.
In the studies of membrane-active compounds for any biomedical application, human red blood cells (RBCs) are commonly used as a cell model [30,31,32]. Due to their availability and lack of organelles, they are used to evaluate the cytotoxicity of newly synthesized compounds.
RBCs are an excellent model cell for antioxidant studies due to their membrane, which has a high polyunsaturated fatty acid content. Furthermore, RBCs with hemoglobin containing heme iron are continuously exposed to oxidation during oxygen transport [33,34]. ROS (reactive oxygen species) are both radical (superoxide O2•−, hydroxyl OH•, peroxyl RO2•, hydroperoxyl HO2•) and nonradical (hydrogen peroxide H2O2, hypochlorous acid HOCl, and ozone O3) forms of oxygen. They are formed through enzymatic and non-enzymatic processes, and they can be acquired from external sources, such as food, UV radiation, or environmental pollution [35]. Although ROS play a significant role in signal transduction [36], excess can lead to an oxidative stress that causes cancer, diabetes, and neurodegenerative diseases [37,38].
Exposure of RBCs to oxidative stress can consequently result in changes in the molecular structure of their cell membrane, thus leading to hemolysis. Therefore, one of the main criteria limiting the in vitro use of new bioactive compounds is the evaluation of their hemocompatibility. Compounds considered hemocompatible [32] are not toxic to all cells.
Cells have developed a series of antioxidant defense systems to scavenge or minimize the formation of oxygen-derived radicals, thereby protecting themselves from oxidative damage. These antioxidant systems include dietary antioxidants and endogenous enzymatic and non-enzymatic constituents. Enzymatic antioxidants, which act as catalysts, are responsible for removing ROS from biological systems. Superoxide dismutase catalyzes the conversion of O2•− to H2O2, while H2O2 can be reduced to water by catalase or glutathione peroxidase through two distinct mechanisms. Hydroxyl radicals are generated in the Fenton reaction from hydrogen peroxide in the presence of Fe (II) or Cu (I), and they are neutralized by glutathione peroxidase [38,39]. The most common dietary antioxidants include vitamins A, C, and E, as well as flavonoids and alkaloids [40,41].
This study aimed to utilize alkaloid gramine in the synthesis of two new groups of indole derivatives with altering substituents at C3 and N1, determine their structures and spectroscopic characteristics, and in vitro evaluate their hemocompatibility and cytoprotective activity under oxidative stress conditions. In addition, an in silico docking study was conducted to estimate the affinity of the obtained compounds for three protein domains: myeloperoxidase (MPO), xanthine dehydrogenase, and cyclooxygenase-2 (COX-2). These enzymes are involved in generating ROS and contributing to oxidative stress [42,43,44,45,46,47]. Since gramine and its derivatives have demonstrated the potential to inhibit the growth of certain bacterial and fungal species [12], the compounds obtained were also preliminarily screened for in vitro antimicrobial activity.
2. Results and Discussion
2.1. Synthesis and Spectroscopic Characterization of New Indole Derivatives
Gramine (1), a commercial indole alkaloid, was used as the substrate for the synthetic routes, as shown in Figure 2.
Figure 2.
Synthesis of Compounds 2–29: (a) H-R1, EtOH, NaOH, reflux (2–9) or H-R1, EtOH, and reflux (10–13); (b) Ac2O and reflux; (c) sodium pyrrolidinedithiocarbamate, H2O, and reflux; (d) EtOH, base, and r.t.; (e) CHCl2, benzoic acid, PPh3, NBS, Et3N, and 0 °C; (17) Br-R2, DMF, base, and 0 °C (18–27); (f) H2O and reflux; or (g) THF, 2,5-dihydroxybenzoic acid, DCC, and r.t.
Compounds 2–13 were synthesized by heating gramine with the corresponding substrate in ethanol. Derivatives 2–9 were synthesized in an alkaline medium, which was achieved by adding NaOH to the substrate in ethanol before adding gramine and heating. Dimers 3 and 7 crystallized first, and, after adding water to the filtrate, Monomers 2 and 6 appeared as solids, which were then filtered. In the reaction with 1,2-dihydro-1,2,4-triazole-3-thione (i.e., a synthesis of 12 and 13), column chromatography was necessary to separate the dimer and monomer forms. Heating gramine in acetic anhydride produced N-acetyl-3-acetoxymethylindole (14), which can be converted to Compound 15. Compound 14 was reacted with anhydrous ethyl alcohol in an alkaline medium to produce 3-ethoxymethylindole (16). The resulting ether derivative (16) was then treated with benzoic acid to yield Compound 17. Compounds 18–27 were obtained by reaction of Derivative 16 with a series of bromoesters. Derivative 29 was synthesized through a two-step process involving the hydrolysis of N-acetyl-3-acetoxymethylindole (14), which was followed by a reaction with 2,5-dihydroxybenzoic acid.
A crucial structural feature of azoles and benzazoles is the existence of tautomeric forms. Figure 3 shows the following: (A) two tautomeric forms of imidazole-2-thiones (thione and thiol) and (B) their mesomeric effect. According to the literature data, the thione form is predominant in polar solvents and the solid state [16,48,49,50,51,52,53,54,55].
Figure 3.
(A) The tautomeric forms of imidazole-2-thione. (B) The mesomeric effect in imidazole-2-thione.
The NMR spectra analysis confirmed the presence of the thione forms of the newly obtained gramine derivatives (2, 4, 6, 12, and 13) in the DMSO-d6 solution.
The newly synthesized compounds (2–13, 15, 17–27, and 29) exhibited characteristic signals for the aromatic indole system in the 8.50–6.20 ppm range, as observed in their 1H NMR spectra. Additionally, the signals from the azole rings and phenyl (17, 24–27, and 29) substituents were visible in the aromatic region (7.00–8.50 ppm). The singlets at 11–14 ppm were assigned to the NH protons of the gramine moiety (2–13) and the imidazole-, benzimidazole-2-thione or triazole-3-thione rings (4, 6, 12). The protons of the –C(10)H2– groups of all the new compounds showed singlets in the range of about 4.65–5.80 ppm. The singlets from the -CH3 group present at the nitrogen atoms in 5 and 8 were at 3.48 and 3.75 ppm, respectively. The singlet from the methyl group at position C5 in 11 was at 2.33 ppm. A singlet near 2.60 ppm was observed for three protons from the acetyl group (15, 29).
The 13C NMR spectra of the new compounds showed signals from the carbon atoms of the indole rings at 109–162 ppm. Compounds 17, 24–27, and 29 also exhibited signals in the 109–158 ppm range, which originated from the phenyl substituents. Additionally, the spectra of Compounds 17–27 displayed signals from the carbonyl carbon atoms at about 166–171 ppm. The acetyl group signal for Compounds 15 and 29 was observed at approximately 168 ppm. The thione group signal was located at approximately 160 ppm (4–8, 12, and 13) or 180–195 ppm (2, 3, and 9–11). Additionally, the signals from the azole (4, 5, 10, 12, and 13) and benzazole (6–8 and 11) rings were present in the range of 111–152 ppm. The signals corresponding to the carbon atoms at the C10 position of all compounds occurred in the 33–69 ppm region. The carbon signal from the methyl group was connected to the nitrogen atom in 5 and 8, and was approximately 33 ppm, while the signal from the methyl group in Position C5 in 11 was at 20.92 ppm. The carbon signal from the -CH3 in the acetyl group (15 and 29) was present at 24.23 ppm and 29.92 ppm, respectively.
The structures of all the new indole derivatives were also confirmed by EI-MS and IR spectroscopy, as well as elemental analysis.
The FT-IR spectra of all the compounds in the KBr tablets exhibited characteristic absorption bands of 3050–2800 cm−1, which corresponded to the C-H bonds of the aromatic rings. Furthermore, in the spectra of Compounds 2–13, a wide band at 3500–3200 cm−1 was present, thereby corresponding to the stretching vibrations of N-H in the indole ring. The carbonyl group exhibited an intense stretching vibration peak at approximately 1700 cm−1 (15, 17–27, and 29). Stretching vibrations of C=S were observed from 1000 cm−1 to 1300 cm−1. The FT-IR spectrum of Compound 29 showed a broad absorption band with a maximum of 3215 cm−1, thereby indicating the O-H bond vibrations of the hydroxyl groups.
The EI-MS spectra of all the newly synthesized compounds showed signals corresponding to molecular ions, with relative abundances ranging from 2 to 100%. For derivatives 2–13 and 15, ions with an intensity of 100% were identified at m/z = 130 (C9H8N)+.
The NMR (1H and 13C), EI-MS, and FT-IR spectra of the investigated compounds are provided in the Supplementary Materials (Figures S1–S25).
2.2. X-ray Analysis
We investigated, by X-ray diffraction, a series of eight compounds (2, 4–5, and 7–11), in which indole moiety was bridged by the –CH2– group to the five-membered heterocyclic fragments containing altered imidazole-, benzimidazole-, thiazole-, benzothiazole-, and 5-methylbenzothiazoline-2-thiones (Figure 2). The structures of the molecules, as seen in the crystals, are presented in Figure 4. The hydrogen bond geometrical parameters with intramolecular interactions are presented in Table S1. The crystal data, together with the experimental and refinement details, are shown in Table S2.
Figure 4.
Perspective views of the molecules as present in the crystals of Compounds 2, 4, 5, 7–9 (room temperature structures), and 10, 11 (100 and 130 K structures, respectively). The thermal ellipsoids were all drawn at the 50% probability level; hence, they are smaller for the Low-Temperature structures 10 and 11, and the H-atoms are represented as sticks.
The molecules in all of the investigated crystals appeared in a thione form. The C=S bonds in the thioamide fragment in Compounds 2, 4, 5, 7, and 8 measured at room temperature varied from 1.679(3) to 1.697(2) Å, with the mean value of 1.685(7) Å. The value was between that which is typical for single and double bonds. This was rationalized in terms of a substantial involvement of zwitterionic structures, as presented in Figure 3B [55]. In particular, the thione tautomer in 4 had a more significant contribution of the zwitterionic forms that involve single C+-S− covalent bonds than any other structure. The main skeleton can be described as consisting of two methylene-bridged subunits, each containing aromatic rings, which are inclined with respect to each other at angles varying from 66.6 to 87.9°. One of the fragments was always a C3-substituted planar indole moiety, while the others were N-substituted 2-thione derivatives of imidazole (2, 4, and 5), benzimidazole (7 and 8), thiazole (9 and 10), and 5-methylbenzoxazole (11). A description of the molecular conformation was provided by a pair of torsion angles (φ1 and φ2) measured along the C-C-C-N and C-C-N-C methylene bonds, which are listed in Table 1.
Table 1.
Torsion angles (◦) describing the rotation around the methylene C-C and C-N bonds in the molecules present in crystals. Molecular diagrams and perspective views of the molecules are provided to relate the metrical values to a particular molecular shape.
To enable an easier comparison, Table 1 also provides chemical diagrams and a capped stick representation of the molecules, all of which were seen in the same orientation, i.e., along the indole plane. This allowed us to combine the values of the torsion angles with a particular molecular shape.
Except for 10, the investigated molecules adopted similar, propeller-shaped conformation. The exceptional conformation of 10 could be due to the involvement of its thiocarbonyl group as a quintuple hydrogen bond acceptor (Figure 5, Table S1). The ability of the sulfur atom to simultaneously engage in a greater number of interactions than conventional acceptors such as O and N was evidenced by Bogdanovic and colleagues [56].
Figure 5.
An example from the thiocarbonyl group acting as a quintupole hydrogen-bond acceptor in the crystal structure of 10. The formed supramolecular motifs extended in three dimensions.
Moreover, a comparison of 10 with its benzothiazole analog [16] revealed that the latter analog totally excluded the C=S group from its involvement in intermolecular interactions. Although the alteration took place in the crystals, we were tempted to combine it with the finding that the compound with the benzothiazole-2-thione moiety neither displayed a cytoprotective or chelating ability, nor did it protect the RBCs from the oxidative stress-induced hemolysis [16]. Meanwhile, its homolog, 10, with the thiazole-2-thione scaffold, showed significant cytoprotective activity and was hemocompatible (vide infra).
Unlike the thiazole-2-thione derivatives, the imidazole-2-thiones were less prone to the structural changes caused by chemical modifications. The isostructuralism of 5 and 9 (Table S2) indicated that the N-methyl group and sulfur atom are structural isosters, supposedly because neither of these fragments are involved in hydrogen bonding. Molecules 2, 4, and 7, which contained two N-H hydrogen-bond donor groups, formed three-dimensional associates, either by taking advantage of the relatively easy approach of these groups to the thione sulfur (2 and 4), or by including solvent molecules to overcome the steric hindrance in an approach to the sulfur acceptor (7, Figure 6). The remaining derivatives (5, 8, 9, and 11), having only one N-H donor group, associated into 1D chains or tapes (Figure 7). A detailed description of the molecular conformation and intermolecular interactions in the crystals of Compounds 2, 4–5, and 7–11 (Figures S26 and S27) is provided in the Supplementary Materials.
Figure 6.
The whole palette of intermolecular interactions in the solvated crystals of 7.
Figure 7.
The helical arrangement of the hydrogen-bonded molecules of 8. The bulky methyl groups and benzene rings were directed away from the HB-chain. The hydrogen bond was significantly bent due to steric hindrance (Table S1).
2.3. Biological Activity
2.3.1. Antibacterial and Fungicidal Activity
A preliminary screening of the in vitro antimicrobial activity of gramine and its derivatives against pathogens microorganisms was studied using the well diffusion technique. Analysis of the interactions of the selected bacterial species with the tested compounds showed no antagonistic effects in most cases, except for Compounds 13 and 15. Compound 13 exhibited antagonistic effects, as evidenced by the growth inhibition zones of M. luteus (7.3 mm), B. subtilis (9.4 mm), and P. fluorescens (10.5 mm). Derivative 15 was the most potent in inhibiting the growth of M. luteus and E. coli, thereby resulting in a zone of inhibition of 11 and 7.7 mm, respectively (see Table S3).
An analysis of the effect of gramine and its derivatives on the development of the tested mold species revealed that Compound 10 exhibited the strongest antagonistic reaction toward B. cinerea, with a growth inhibition zone of 23 mm (Table 2). This fungal species was also effectively inhibited by gramine and Compounds 3, 11–13, 21, 24, and 25, thus resulting in growth inhibition zones ranging from 11 to 19 mm.
Table 2.
Fungicidal activities of Compounds 1–29. Growth inhibition zones: <9 mm—low active compounds; 10–15 mm—medium active compounds; and >15 mm—active compounds.
Most of the analyzed compounds (1, 3, 6–8, 17–20, 22, 23, 26, and 29) significantly inhibited the growth of T. atroviride. The most-effective compounds were 6, 17, and 26, with growth inhibition zones of ≥20 mm. Derivatives 6 and 26 also had a clear impact on the growth of Trichoderma fungi, thus causing growth inhibition zones of 13 and 20 mm in T. harzianum, respectively. Compounds 5, 12, 13, and 21 significantly limited the growth of A. alternata, with at least 10 mm inhibition zones. Compound 13 was also important in inhibiting the growth of F. culmorum, thereby causing the formation of a 13.2 mm growth inhibition zone.
2.3.2. Cytoprotective Activity against Free Radicals
The ability of all compounds to inhibit 2,2′-azobis(2-amidinopropane dihydro- chloride (AAPH)-induced oxidative hemolysis was used to determine their cytoprotective activity. AAPH was widely used as a standard free radical inducer. During a temperature-dependent homolysis of AAPH, peroxyl and alkoxyl radicals were generated [57], thus leading to lipid peroxydation in the cell membranes [58]. In an AAPH assay, Trolox (TX), a water-soluble vitamin E, was used as a standard antioxidant [59].
As shown in Figure 8A, most derivatives containing azole, benzazole, or pyrrolidine rings (2–13, 16), in a concentration of 0.1 mg/mL, exhibited cytoprotective activities against oxidative stress in the range of 57.0% ± 3.20–94.7% ± 0.4. The most-effective derivatives were 2, 5, and 15, with activity values of 92.7% ± 1.6, 92.2% ± 1.8, and 94.7% ± 0.4, respectively. These values are comparable to the standard antioxidant Trolox (96.0% ± 1.5). Compounds 2 and 5 were found to be hydrophilic, with logP values of 1.80 and 1.94, respectively. They contained polar substituents in Position C3 of the indole ring, resulting in a “polar head-non-polar tail” structure, which enhanced the stability of the RBC membrane by interacting in the lipid bilayer of the cell membrane [14,60]. The high cytoprotective activity also characterized Derivative 10 (84.9% ± 1.3), especially in comparison to its benzothiazole analog [16].
Figure 8.
(A) Cytoprotective activity of Compounds 2–15 and the standard antioxidant Trolox at a concentration of 0.1 mg/mL against the oxidative hemolysis induced by free radicals generated from AAPH. The results (n = 9) are presented as the mean value ± standard deviation (*** p < 0.001, ** p < 0.01) in comparison with the standard antioxidant Trolox. The non statistically significant difference (p > 0.05) is indicated as ns. Inactive compounds are indicated as n.a. (B) Cytoprotective activity of Compounds 17–29 and the standard antioxidant Trolox at a concentration of 0.01 mg/mL against the oxidative hemolysis induced by free radicals generated from AAPH. The results (n = 10) are presented as the mean value ± standard deviation (*** p < 0.001) in comparison with the standard antioxidant Trolox. The non statistically significant difference (p > 0.05) is indicated as ns.
Derivatives 2–3, 5, 7–8, and 10–11 had a substituent at the C3 position, which stabilized the resulting indolyl radical. Additionally, these compounds had an unsubstituted nitrogen atom N1, which further promoted the radical stabilization and enhanced their cytoprotective activity. However, Compound 15 showed high cytoprotective activity despite having a substituted N1 nitrogen atom. This result was likely due to the pyrrolidinedithiocarbamate moiety at the C3 position.
Only four compounds showed a cytoprotective activity lower than 20%: 4, 6, 9, and 12. It was suggested that Derivatives 4, 6, and 12, like 4-mercaptoimidazole [61], are predominantly in the zwitterionic form at a physiological pH, with a thiolate group that converts to a thiyl radical (RS•) in the presence of the free radicals generated by AAPH.
Thiyl radicals can cause the excessive generation of oxidants in erythrocytes, thereby leading to an imbalance in pro- and antioxidant levels. In addition, the thiyl radical can interfere with the lipid bilayer of RBCs by a direct addition to the double bonds in unsaturated fatty acids or by initiating the lipid peroxidation process by removing hydrogen from lipids [62,63]. It is noteworthy that Derivative 9 showed low cytoprotective activity (2.4% ± 5.3), which was attributed to the substituent in Position C3 of the indole ring. The thiazole-2-thione moiety cannot form resonance structures, which results in a lack of stabilization in the free radicals formed.
Since most of the derivatives in the second group (17–27 and 29) were hemolytic at 0.1 mg/mL, antioxidant studies were performed at a 10-fold lower concentration of 0.01 mg/mL. The results are shown in Figure 8B.
Among all the derivatives, Derivative 27, with a phenylacetate substituent in the N1 position, demonstrated the highest cytoprotective activity at 31.3% ± 12.9. The cytoprotective activity of the standard Trolox (Tx) was 52.1% ± 7.0. Compound 29 had an acetyl group in the N1 position and a dihydroxybenzoic substituent in the C3 position. Its cytoprotective activity value was surprisingly low at 11.5% ± 8.9, despite the high antiradical activity exhibited by the derivatives of benzoic acid, particularly with respect to its hydroxy derivatives [64,65].
The HAT (Hydrogen Atom Transfer) mechanism is one of the primary antioxidant mechanisms of indoles. The key to this mechanism is the hydrogen atom located on the nitrogen atom of the pyrrole ring [66,67]. Derivatives 17–27 and 29, which have substitutions at the N1 position, may have low cytoprotective activity due their prevention of the formation of the indolyl radical.
2.3.3. Chelating Activity
The hydroxyl radical •OH is considered the most harmful free radical and is primarily responsible for the cytotoxic effects on aerobic organisms. It is formed in the presence of iron by the Haber–Weiss and Fenton reactions, where ferrous ions (Fe2+) are oxidized to ferric ions (Fe3+). Therefore, the ability of compounds to chelate Fe2+ ions can be used to evaluate their antioxidant properties. Compounds 2–13 and 15, which contain heteroatoms with a lone electron pair (N and S), were investigated for their complexing activity. Figure 9 shows that most of the derivatives had ferrous chelating properties within the range of 1.4% ± 5.4 to 38.6% ± 3.2. However, only Compound 9 (98.5% ± 1.5) complexed Fe2+ ions more effectively than gramine, and it was found to be comparable to the standard chelator EDTA (99.7% ± 0.2). This derivative differed from all others because the electrons in its thiazoline-2-thione moiety were not involved in resonance, as in 2 and 4, or in the aromatic system (as in Compound 10), thus allowing them to be used for ferrous ion complexation.
Figure 9.
Ferrous ion chelating activity of the iron ions of Compounds 2–15 and the standard chelating agent EDTA. The results (n = 6) are presented as the mean value ± standard deviation (* p < 0.05, *** p < 0.001) in comparison with EDTA.
2.3.4. Hemolytic Properties
The hemolytic activity of all derivatives has been assessed in vitro using human RBCs as a cell model. In general, a bioactive compound is considered hemolytic at a given concentration if it causes hemolysis of 5% or more of RBCs in a given sample [14,15,16]. Bioactive compounds that do not induce hemolysis of more than 5% of exposed RBCs are considered hemocompatible [68].
As shown in Figure 10A, the majority of derivatives with an azole or benzazole substituent at the C3 position of the indole ring are not hemolytic (hemolysis from 2.1% ± 0.1 to 4.8% ± 0.1). Compound 15, which contains a pyrrolidinedithiocarbamate moiety, is also hemocompatible (2.1% ± 0.1). Compounds 3, 7, 8, and 13 demonstrated high hemolytic activity, with values of 7.0% ± 0.9, 8.0% ± 1.3, 11.1% ± 2.0, and 21.8% ± 1.0, respectively. The high hemolytic activity of these compounds may be attributed to steric reasons, particularly the presence of two indole moieties. The impact of having two indole groups on the increase in hemolytic activity is evident when comparing the hemolytic activity values for Compounds 2 (2.5% ± 0.1) versus 3 (7.0% ± 0.9), 6 (4.6% ± 0.4) versus 7 (8.0% ± 1.3), and—especially for triazole derivatives—12 (2.8% ± 0.1) and 13 (21.8% ± 1.0). The hemolytic activity of Derivative 8, which contains an N-methylated benzimidazole ring, increased from 4.6% ± 0.4 in the parent Molecule 6 to 11.1% ± 2.0. The increase in hemolytic activity can be attributed to changes in the molecular conformation of Compound 8 compared to Compound 6, which resulted in different interactions with the lipid bilayer of the RBCs. No significant effects were observed when comparing the hemolytic activity values of Derivative 11 with those of the parent molecule (non-methylated at C5) [16], as well as the non-methylated Compound 4 with the N-methylated Compound 5. In both cases, the hemolytic activity values were similar.
Figure 10.
(A) Hemolytic activity of Compounds 2–15 at a concentration of 0.1 mg/mL. Results (n = 9) are presented as the mean value ± standard deviation (* p < 0.05, ** p < 0.01, and *** p < 0.001) in comparison with the standard buffer PBS. Non statistically significant difference (p > 0.05) is indicated as ns. The green line indicates a hemolysis threshold of 5%. (B) Hemolytic activity of Compounds 17–29 at a concentration of 0.1 mg/mL. Results (n = 9) are presented as the mean value ± standard deviation. (* p < 0.05, ** p < 0.01, and *** p < 0.001) in comparison with the standard buffer PBS. Non statistically significant difference (p > 0.05) is indicated as ns. The green line indicates a hemolysis threshold of 5%.
The hemolytic activity of Compounds 18–27 (Figure 10B) was dependent on the hydrophobicity of the ester substituents at the N1 position. It can be stated that the presence of these substituents enables incorporation into the phospholipid bilayer of RBCs. Among all the ester derivatives examined, Compounds 18, 20, 22, and 26 exhibited no hemolytic activity (ranging from 1.4% ± 0.4 to 2.3% ± 0.7) and demonstrated hemocompatibility at the tested concentration.
2.4. In Silico Study
Lipinski’s and Verber’s rules provide criteria for determining whether new derivatives meet the requirements for a drug. According to Lipinski [69], a drug-like compound should have a molecular mass (MW) of less than 500 g/mol, an octanol/water partition coefficient (logP) of under 5, no more than 5 hydrogen bond donors (HBD), and 10 hydrogen bond acceptors (HBA). Veber’s rule [70] considers rotatable bonds (RTB) to be less than 10, and a polar surface area (TPSA) should not be greater than 140Å2. In addition to the drug-likeness parameters mentioned above, it is important to consider water solubility, gastrointestinal absorption (GI absorption), and blood–brain barrier penetration (BBB permeability). The physicochemical properties of the derivatives were evaluated using the SwissADME website [70]. Table 3 shows that all the derivatives met Lipinski’s and Verber’s rules and had high gastrointestinal absorption. Most could penetrate the blood–brain barrier (except for Compounds 3, 10, 12, 15, and 29), which means they may act in the central nervous system. All compounds, except Compound 7, were either soluble or moderately soluble in water. The low solubility of Compound 7 was due to its high lipophilicity, as indicated by its logP value of 4.78, the highest among all the compounds studied.
Table 3.
The physicochemical, pharmacokinetic, and drug-likeness properties of the indole derivatives. LogS in the table is the average value of the logS calculated using three different methods. * Solubility class—logS scale: insoluble < −10, poorly < −6, moderately < −4, soluble < −2, and very < 0.
2.5. Molecular Docking
Compounds 2, 5, and 15 were selected for molecular docking due to their cytoprotective activity above 90%. These compounds were found to be non-hemolytic. The selection of protein domains was guided by their specific biological functions within the physiological system. The chosen proteins, Myeloperoxidase (MPO), Xanthine dehydrogenase, and Cyclooxygenase-2 (COX-2), play crucial roles in cellular processes, and targeting them can have significant implications for modulating oxidative stress. These proteins can generate reactive oxygen spices (ROS) as part of the body’s defense mechanism against pathogens, or as a by-product of their enzymatic activity. Inhibition of their activity may reduce the generation of ROS associated with their function, thereby reducing oxidative stress [42,43,44,45,46,47].
The molecular docking data revealed that the newly acquired indole-based derivatives indeed exhibited affinity for the investigated protein domains. In Table 4, their affinity to the 1DNU protein domain is notably comparable to the reference ligand, melatonin. The ProteinsPlus algorithms, namely PoseView [71,72] and PoseEdit [71,73], were unable to produce 2D maps of the interactions. The following error was raised: “No interactions found by the PoseView interaction model”. This indicated that Compounds 15 did not have 2D depictions of the interactions between the protein domain and them. This raised the issue of whether it can be connected with the different settings and then used in UCSF Chimera 1.16 software [74]. Moving on to the 1N5X protein domain, the affinity of the indole-based derivatives was similar to the reference ligand, febuxostat. However, their affinity remained quite similar, indicating comparable binding tendencies. Similarly, for the 4COX protein domain, the affinity of the indole-based derivatives was slightly lower than that of the native ligand, indomethacin. Nevertheless, this disparity still suggests promising opportunities for its binding to the protein domain.
Table 4.
The results of molecular docking to the 1DNU, 1N5X, and 4COX protein domains of all the compounds analyzed. Melatonin, febuxostat, and indomethacin were used as reference molecules.
Figure 11, Figure 12, Figure 13 and Figure 14 provide visual representations of the interactions between the indole-based derivatives and the 1DNU protein domain (PDB ID). Correspondingly, Figures S28–S31 (Supplementary part) depict the interactions between indole-based derivatives and the 1N5X protein domain (PDB ID). It is noteworthy that the recreation of the native ligand’s initial pose in the latter case has an acceptable accuracy, with a Root Mean Square Deviation (RMSD) of 2.635 Å [75]. Figures S32–S35 (Supplementary Materials), illustrate the interactions between indole-based derivatives and the 4COX protein domain (PDB ID). In this case, the recreation of the native ligand’s initial pose exhibits good accuracy, with an RMSD of 0.953 Å, which is considered satisfactory in the recreation of the initial pose [75]. These visualizations provide insights into the intricate molecular interactions underlying the binding of indole-based derivatives to the respective protein domains, thus reinforcing their potential as candidates for further exploration and development. All the molecular docking results are stored in Table 4.
Figure 11.
(a) The interactions between Derivative 2 and the 1DNU protein domain. The dark green dashed line suggests a potential hydrogen bond formation between the GLY 207 C residue and one of the hydrogen atoms bonded to the pyrrolic nitrogen atom of the ligand, with a length of 2.59 Å. (b) A detailed view of the interactions proposed by the molecular docking between the 1DNU protein domain’s binding site and Derivative 2. One hydrogen bond was expected (blue dashed line), and the hydrophobic contacts are indicated by the green solid lines.
Figure 12.
(a) The interactions between Derivative 5 and the 1DNU protein domain. The dark green dashed line suggests a potential hydrogen bond formation between the GLY 207 C residue and the pyrrolic hydrogen atom of the ligand, with a length of 2.29 Å. (b) A detailed view of the interactions proposed by the molecular docking between the 1DNU protein domain’s binding site and Derivative 5. One hydrogen bond was expected (blue dashed line), and the hydrophobic contacts are indicated by the green solid lines.
Figure 13.
The interactions between Derivative 15 and the 1DNU protein domain. A dark green dashed line indicates a potential hydrogen bond formation between the protein residues ASN 258 C (3.29 Å length) and the sulfur of the ligand.
Figure 14.
The binding site of the 1DNU protein domain features the reference ligand (melatonin), the native ligand (NAG620), and the investigated Compounds 2, 5, and 15 simultaneously.
The conducted studies indicate that the analyzed indole-based ligands exhibited affinity profiles comparable to the reference ligands (melatonin for 1DNU and febuxostat for 1N5X), thus suggesting a similar strength of binding to these domains. However, a notable distinction emerged concerning the 4COX protein domain. In this particular case, all of the ligands exhibited lower binding energies than the reference ligand (indomethacin), thus implying a lower affinity to this protein domain. Consequently, these ligands may potentially demonstrate inferior antioxidant properties compared to the reference ligand in the context of the 4COX domain.
3. Materials and Methods
3.1. Instrumentation and Chemicals
The synthesis reagents and solvents used in this study were commercially available. The IR spectra were obtained using FT/IR Nicolet iS5 (Thermo Scientific, Walthmam, MA, USA) (KBr pellet, cm−1). The 1H and 13C NMR spectra were obtained using Varian (Palo, Alto, CA, USA) VNMR-S 400 MHz (DMSO-d6 as the solvent and TMS as the internal standard). The melting points were measured using the SMP-20 apparatus (Büchi Labortechnik AG, Flawil, Switzerland). The EI mass spectra were obtained using the 320MS/450GC mass spectrometer (Bruker, Billerica, MA, USA). The nitrogen, carbon, hydrogen, and sulfur percentage content was determined through elemental analysis using the Elemental Analyzer Vario EL III apparatus (Shimadzu, Kyoto, Japan). TLC analysis was conducted using silica gel 60 plates with a fluorescent indicator (254 nm) and was then visualized under UV light (Sigma-Aldrich, Poznan, Poland).
3.2. Synthesis of Gramine Derivatives
A typical procedure for the synthesis of Compounds 2–9
We used 2 mmol of the appropriate azole or benzazole (1,5-Dihydro-2H-imidazole-2-thione for 2 and 3; imidazole-2-thione for 4; 1-methyl-1H-imidazole-2-thione for 5; 1,2-dihydro-2H-1,3-benzimidazole-2-thione for 6 and 7; 3-methyl-1H-benzimidazole -2-thione for 8; and 1,3-thiazolidine-2-thione for 9. These were then diluted in 10 mL of EtOH and cooled to 0–5 °C. Then, a solution of NaOH (1.5 mmol) in 4 mL of H2O was added, and the mixture was stirred for 1 hour. After that, a solution of gramine (1 mmol) in 4 mL of EtOH was added, and the mixture was heated under reflux for 3–12 hours. The products obtained were filtered under a reduced pressure and washed with distilled water. Compounds 4, 5, and 9 were recrystallized from H2O (4) or toluene (5, 9).
1-((1H-indol-3-yl)methyl)imidazolidine-2-thione (2)
White sold (99 mg, 43%); m.p 144–147 °C; 1H NMR (400 MHz, DMSO-d6): δ 11.02 (s, 1H), 8.06 (s, 1H), 7.76 (d, J = 7.9 Hz, 1H), 7.40–7.31 (m, 2H), 7.09 (ddd, J = 8.1, 6.9, 1.2 Hz, 1H), 6.98 (ddd, J = 8.0, 7.0, 1.1 Hz, 1H), 4.84 (s, 2H), 3.39 (ddd, J = 9.2, 6.8, 2.2 Hz, 2H), and 3.37–3.27 (m, 2H); 13C NMR (101 MHz, DMSO-d6): δ 181.83, 136.36, 126.62, 124.99, 121.28, 119.21, 118.68, 111.47, 109.71, 47.00, 41.35, and 40.58; IR (KBr, cm−1) νmax: 3317, 3210, 2887, 1502, 1454, 1251, 1225, 1071, 753, 644, and 599; and EI-MS (m/z, % int.): 231 (34). Analysis was calculated for C12H13N3S (MW = 231.32) with the following: C, 62.31; H, 5.66; N, 18.17; and S, 13.86; and found: C, 62.02; H, 5.67; N, 18.12; and S, 13.54.
1,3-bis((1H-indol-3-yl)methyl)imidazolidine-2-thione (3)
White solid (14 mg, 6%); m.p 157–160 °C; 1H NMR (400 MHz, DMSO-d6): δ 11.00 (d, J = 2.5 Hz, 2H), 7.78 (d, J = 7.9 Hz, 2H), 7.34 (dd, J = 5.4, 2.9 Hz, 4H), 7.07 (ddd, J = 8.1, 6.9, 1.2 Hz, 2H), 7.03–6.91 (m, 2H), 4.95 (s, 4H), and 3.22 (s, 4H); 13C NMR (101 MHz, DMSO-d6): 180.49, 136.36, 126.59, 125.00, 121.24, 119.26, 118.69, 111.42, 109.65, 44.56, and 42.44; IR (KBr, cm−1) νmax: 3397, 3057, 2910, 2881, 1502, 1455, 1328, 1254, 1094, 753, 635, and 593; and EI-MS (m/z, % int.): 360 (2). Analysis was calculated for C21H20N4S (MW = 360.48) with the following: C, 69.97; H, 5.59; N, 15.54; and S, 8.89; and found: C, 69.23; H, 5.55; N, 15.91; and S, 9.01.
1-((1H-indol-3-yl)methyl)-1,3-dihydro-2H-imidazole-2-thione (4)
Light brown crystals (124 mg, 54%); m.p 206–209 °C; 1H NMR (400 MHz, DMSO-d6): δ 12.07 (s, 1H), 11.09 (d, J = 7.9 Hz, 1H), 7.79–7.71 (m, 1H), 7.50 (dd, J = 6.0, 2.5 Hz, 1H), 7.37 (dt, J = 8.1, 0.9 Hz, 1H), 7.08 (dtd, J = 7.7, 6.7, 1.2 Hz, 1H), 6.96 (dddd, J = 9.1, 8.0, 7.0, 1.1 Hz, 1H), 6.93–6.80 (m, 2H), and 5.26 (s, 2H); 13C NMR (101 MHz, DMSO-d6): δ 160.40, 136.19, 126.20, 125.45, 121.41, 118.99, 118.85, 117.80, 114.35, 111.52, 110.24, and 40.96; IR (KBr, cm−1) νmax: 3221, 3116, 3029, 2916, 2713, 1551, 1470, 1263, 1138, 747, 616, and 576; and EI-MS (m/z, % int.): 229 (10). Analysis was calculated for C12H11N3S (MW = 229.30) with the following: C, 62.86; H, 4.84; N, 13.33; and S, 13.98; and found: C, 63,32; H, 5.12; N, 17.43; and S, 13.21.
1-((1H-indol-3-yl)methyl)-3-methyl-1,3-dihydro-2H-imidazole-2-thione (5)
White crystals (159 mg, 65%); m.p 166–168 °C; 1H NMR (400 MHz, DMSO-d6): δ 11.13–11.08 (m, 1H), 7.76–7.69 (m, 1H), 7.51 (d, J = 2.4 Hz, 1H), 7.37 (dt, J = 8.1, 0.9 Hz, 1H), 7.08 (ddd, J = 8.2, 7.0, 1.2 Hz, 1H), 7.04 (d, J = 2.4 Hz, 1H), 7.00–6.95 (m, 2H), 5.31–5.27 (m, 2H), and 3.48 (s, 3H); 13C NMR (101 MHz, DMSO-d6): δ 161.12, 136.17, 126.18, 125.59, 121.41, 118.91, 118.88, 118.39, 116.61, 111.54, 109.98, 42.09, and 34.38; IR (KBr, cm−1) νmax: 3427, 3212, 3162, 3132, 2914, 1554, 1459, 1223, 1139, 756, 664, and 599; and EI-MS (m/z, % int.): 245 (8). Analysis was calculated for C13H15N3S (MW = 245.34) with the following: C, 63.64; H, 6.16; N, 17.13; and S, 13.07; and found: C, 64.30; H, 6.18; N, 17.32; and S, 13.25.
1-((1H-indol-3-yl)methyl)-1,3-dihydro-2H-benzo[d]imidazole-2-thione (6)
Beige crystals (142 mg, 51%); m.p 244–242 °C; 1H NMR (400 MHz, DMSO-d6): δ 12.81 (s, 1H), 11.09 (d, J = 2.6 Hz, 1H), 7.95 (dd, J = 8.0, 1.1 Hz, 1H), 7.65 (d, J = 2.5 Hz, 1H), 7.46–7.37 (m, 1H), 7.33 (dt, J = 8.2, 1.0 Hz, 1H), 7.20–7.01 (m, 4H), 6.94 (ddd, J = 8.0, 7.0, 1.1 Hz, 1H), and 5.66 (s, 2H); 13C NMR (101 MHz, DMSO-d6): δ 168.10, 136.21, 132.26, 130.79, 126.11, 125.79, 122.74, 121.95, 121.36, 119.37, 118.77, 111.52, 110.31, 109.58, and 109.37; IR (KBr, cm−1) νmax: 3374, 3183, 3056, 1623, 1556, 1456, 1370, 1130, 737, 615, and 593; and EI-MS (m/z, % int.): 279 (39). Analysis was calculated for C16H13N3S (MW = 279.36) with the following: C, 68.79; H, 4.69; N, 15.04; and S, 11.48; and found: C, 68.62; H, 4.32; N, 15.91; and S, 10.57.
1,3-bis((1H-indol-3-yl)methyl)-1,3-dihydro-2H-benzo[d]imidazole-2-thione (7)
White crystals (53 mg, 13%); m.p 232–235 °C; 1H NMR (400 MHz, DMSO-d6): δ 11.10–11.05 (m, 2H), 7.98 (d, J = 8.0 Hz, 2H), 7.66 (d, J = 2.5 Hz, 2H), 7.43 (dq, J = 7.0, 4.0 Hz, 2H), 7.30 (d, J = 8.2 Hz, 2H), 7.04 (ddd, J = 11.2, 7.0, 2.3 Hz, 4H), 6.92 (ddd, J = 8.0, 7.0, 1.0 Hz, 2H), and 5.80 (s, 4H); 13C NMR (101 MHz, DMSO-d6): δ 168.43, 136.24, 131.39, 126.02, 125.79, 122.36, 121.35, 119.51, 118.81, 111.46, 110.33, 109.38, and 40.66; IR (KBr, cm−1) νmax: 3569, 3409, 2972, 2931, 1647, 1556, 1409, 1370, 1046, 777, 622, and 582; and EI-MS (m/z, % int.): 408 (4). Analysis was calculated for C25H20N4S (MW = 408.52) with the following: C, 73.50; H, 4.93; N, 13.71; and S, 7.85; and found: C, 73.90; H, 4.34; N, 13.55; and S, 7.64.
1-((1H-indol-3-yl)methyl)-3-methyl-1,3-dihydro-2H-benzo[d]imidazole-2-thione (8)
Beige crystals (132 mg, 50%); m.p 180–182 °C; 1H NMR (400 MHz, DMSO-d6): δ 11.12–11.07 (m, 1H), 7.92 (ddt, J = 7.9, 1.4, 0.7 Hz, 1H), 7.65 (d, J = 2.5 Hz, 1H), 7.54–7.47 (m, 1H), 7.43–7.37 (m, 1H), 7.33 (dt, J = 8.2, 0.9 Hz, 1H), 7.17 (pd, J = 7.4, 1.4 Hz, 2H), 7.05 (ddd, J = 8.2, 7.0, 1.2 Hz, 1H), 6.94 (ddd, J = 8.0, 7.0, 1.1 Hz, 1H), 5.75–5.68 (m, 2H), and 3.75 (s, 3H); 13C NMR (101 MHz, DMSO-d6): δ 168.83, 136.17, 132.15, 131.18, 126.10, 125.83, 122.65, 122.52, 121.35, 119.34, 118.79, 111.51, 110.22, 109.45, 109.34, 40.29, and 31.16; IR (KBr): IR (KBr, cm−1) νmax: 3454, 3228, 3062, 2930, 1549, 1486, 1408, 1338, 1129, 741, 623, and 598; and EI-MS (m/z, % int.): 293 (50). Analysis was calculated for C17H15N3S (MW = 293.39) with the following: C, 69,60; H, 5.15; N, 14.32; and S, 10.93; and found: C, 69.43; H, 5.16; N, 14.28; and S, 11.13.
3-((1H-indol-3-yl)methyl)thiazolidine-2-thione (9)
White solid (112 mg, 45%); m.p > 360 °C; 1H NMR (400 MHz, DMSO-d6): δ 11.16 (s, 1H), 7.69 (dt, J = 7.9, 1.0 Hz, 1H), 7.46 (s, 1H), 7.39 (dt, J = 8.1, 1.0 Hz, 1H), 7.11 (ddd, J = 8.2, 7.0, 1.2 Hz, 1H), 7.01 (ddd, J = 8.0, 7.0, 1.1 Hz, 1H), 5.07 (s, 2H), 3.93 (dd, J = 8.5, 7.5 Hz, 2H), and 3.20 (dd, J = 8.6, 7.6 Hz, 2H); 13C NMR (101 MHz, DMSO-d6): δ 194.00, 136.26, 126.32, 125.79, 121.49, 119.04, 118.90, 111.66, 108.45, 55.71, 43.73, and 26.33; IR (KBr, cm−1) νmax: 3257, 3113, 3040, 2918, 1550, 1490, 1429, 1313, 1216, 1125, 758, 679, 645, and 591; and EI-MS (m/z, % int.): 248 (36). Analysis was calculated for C12H12N2S2 (MW = 248.36) with the following: C,58.03; H, 4.87; N, 11.28; S, and 25.82; and found: C, 57.72; H, 4.76; N, 11.67; and S, 25.72.
A typical procedure for the synthesis of Compounds 10–13
The gramine solution (1 mmol) and the corresponding substrate (1,3-thiazolidine-2-thione for 10; 5-methyl-3H-1,3-benzoxazole-2-thione for 11; and 1,2-dihydro-1,2,4-triazole-3-thione for 12 and 13) (1 mmol) were heated under reflux for 5–10 hours in 8–10 mL of EtOH. Compounds 10 and 11 were crystallized, while 12 and 13 required purification through column chromatography (using CHCl3).
3-((1H-indol-3-yl)methyl)thiazole-2(3H)-thione (10)
Brown crystals (91 mg, 37%); m.p 149–151 °C; 1H NMR (400 MHz, DMSO-d6): δ 11.20 (s, 1H), 7.72 (dt, J = 7.9, 1.0 Hz, 1H), 7.57 (d, J = 2.6 Hz, 1H), 7.46 (d, J = 4.6 Hz, 1H), 7.39 (dt, J = 8.1, 0.9 Hz, 1H), 7.11 (ddd, J = 8.2, 7.0, 1.2 Hz, 1H), 7.01 (ddd, J = 8.1, 7.0, 1.1 Hz, 1H), 6.94 (d, J = 4.6 Hz, 1H), and 5.48 (s, 2H); 13C NMR (101 MHz, DMSO-d6): δ 185.59, 136.15, 132.55, 126.18, 126.00, 121.57, 119.14, 118.69, 111.68, 111.53, 109.14, and 44.06; IR (KBr, cm−1) νmax: 3260, 3132, 3103, 3058, 2917, 1543, 1456, 1258, 1193, 1128, 1042, 746, 631, and 580; and EI-MS (m/z, % int.): 246 (25). Analysis was calculated for C12H10N2S2 (MW = 246.35): C, 58.51; H, 4.09; N, 11.37; and S, 26.03; and found: C, 58.69; H, 3.56; N, 11.46; and S, 26.30.
3-((1H-indol-3-yl)methyl)-5-methylbenzo[d]oxazole-2(3H)-thione (11)
White crystals (227 mg, 77%); m.p 231–234 °C; 1H NMR (400 MHz, DMSO-d6): δ 11.22–11.16 (m, 1H), 7.85 (dq, J = 7.9, 0.9 Hz, 1H), 7.75 (d, J = 2.6 Hz, 1H), 7.43–7.31 (m, 3H), 7.12–7.04 (m, 2H), 6.99 (ddd, J = 8.0, 7.0, 1.1 Hz, 1H), 5.61 (s, 2H), and 2.33 (s, 3H); 13C NMR (101 MHz, DMSO-d6): δ 179.16, 144.60, 136.24, 134.58, 131.16, 126.43, 125.91, 124.84, 121.53, 119.04, 118.99, 111.69, 111.33, 109.60, 107.56, 41.72, and 20.92; IR (KBr, cm−1) νmax: 3316, 3057, 2926, 1556, 1407, 1357, 1219, 1131, 796, 620, and 597; and EI-MS (m/z, % int.): 294 (15). Analysis was calculated for C17H14N2OS (MW = 294.37) with the following: C, 69.36; H, 4.79; N, 9.52; and S, 10.89; and found: C, 69.14; H, 4.46; N, 9.50; and S, 10.96.
1-((1H-indol-3-yl)methyl)-1,2-dihydro-3H-1,2,4-triazole-3-thione (12)
Colorless oil (60 mg, 26%); 1H NMR (400 MHz, DMSO-d6): δ 12. 13.70 (s, 1H), 11.18 (s, 1H), 8.37 (s, 1H), 7.76–7.71 (m, 1H), 7.54 (d, J = 2.6 Hz, 1H), 7.39 (dt, J = 8.1, 0.9 Hz, 1H), 7.14–7.08 (m, 1H), 7.01 (ddd, J = 8.0, 7.0, 1.1 Hz, 1H), and 5.28 (s, 2H); 13C NMR (101 MHz, DMSO-d6): δ 165.67, 141.83, 136.20, 125.91, 121.58, 119.11, 118.58, 111.71, and 109.00; IR (KBr, cm−1) νmax: 3406, 3127, 3009, 2925, 1548, 1481, 1458, 1341, 1210, 1096, 745, 665, and 580; and EI-MS (m/z, % int.): 230 (25). Analysis was calculated for C11H10N4S (MW = 230.29) with the following: C, 57.37; H, 4.38; N, 24.33; and S, 13.92; and found: C, 57.39; H, 4.65; N, 24.42; and S, 13.72.
1,2-bis((1H-indol-3-yl)methyl)-1,2-dihydro-3H-1,2,4-triazole-3-thione (13)
Brown oil (36 mg, 10%); 1H NMR (400 MHz, DMSO-d6): δ 11.15 (s, 1H), 11.08–11.04 (m, 1H), 8.36 (s, 1H), 7.75 (dt, J = 7.9, 0.9 Hz, 1H), 7.71 (dq, J = 8.0, 0.8 Hz, 1H), 7.51 (d, J = 2.5 Hz, 1H), 7.43 (d, J = 2.5 Hz, 1H), 7.36 (dt, J = 8.1, 0.9 Hz, 1H), 7.33 (dt, J = 8.2, 0.9 Hz, 1H), 7.07 (dddd, J = 15.1, 8.2, 7.0, 1.2 Hz, 2H), 6.96 (dddd, J = 14.8, 7.9, 7.0, 1.0 Hz, 2H), 5.46 (s, 2H), and 5.32 (s, 2H); 13C NMR (101 MHz, DMSO-d6): δ 164.36, 140.51, 136.17, 136.08, 126.19, 125.88, 125.84, 125.53, 121.51, 121.29, 119.07, 119.00, 118.81, 118.54, 111.64, 111.46, 109.19, 108.79, 79.15, 43.90, and 40.55.; IR (KBr, cm−1) νmax: 3412, 2925, 1636, 1537, 1457, 1421, 1342, 1208, 1093, 746, and 578; and EI-MS (m/z, % int.): 359 (4). Analysis was calculated for C20H17N5S (MW = 359.45) with the following: C, 66.83; H, 4.77; N, 19.48; and S, 8.92; and found: C, 66.86; H, 4.53; N, 19.97; and S, 8.63.
Synthesis of (1-acetyl-1H-indol-3-yl)methyl pyrrolidine-1-carbodithioate (15)
N-acetyl-3-acetoxymethylindole (0.5 mmol) and sodium pyrrolidinedithiocarbamate (1 mmol) were dissolved in water (10 mL) and heated under reflux for 6 h. The resulting mixture was then extracted with diethyl ether, washed with water and brine, dried over anhydrous KOH, and then evaporated to give a brown oil.
Brown oil (248 mg, 78%); 1H NMR (400 MHz, CDCl3): δ 7.69 (dd, J = 7.9, 1.2 Hz, 1H), 7.37–7.33 (m, 1H), 7.29 (d, J = 2.4 Hz, 1H), 7.20 (ddd, J = 8.2, 7.0, 1.3 Hz, 1H), 7.14 (ddd, J = 8.1, 7.0, 1.2 Hz, 1H), 4.78 (s, 2H), 3.95 (t, J = 6.8 Hz, 2H), 3.58 (t, J = 6.7 Hz, 2H), 2.60 (s, 3H), 2.03–2.00 (m, 2H), and 1.95 (td, J = 6.9, 1.6 Hz, 2H); 13C NMR (101 MHz, CDCl3): δ 192.97, 168.50, 136.10, 126.88, 125.48, 123.86, 122.33, 119.71, 119.03, 111.23, 54.71, 50.43, 32.80, 25.97, and 24.23; IR (KBr, cm−1) νmax: 3405, 2969, 2869, 1702, 1329, 1160, 1006, 954, and 743; and EI-MS (m/z, % int.): 318 (6). Analysis was calculated for C16H18N2OS2 (MW = 318.45) with the following: C, 60,35; H, 5.70; N, 8.80; and S, 20.13; and found: C, 61,01; H, 5.62; N, 8.72; and S, 20.42.
Synthesis of 3-(ethoxymethyl)-1H-indol-1-yl benzoate (17)
A mixture of benzoic acid (0.5 mmol), PPh3 (0.75 mmol), and NBS (0.75 mmol) in CH2Cl2 (2 mL) was prepared. The solution was stirred at 0 °C for 15 minutes and then warmed to room temperature. Next, 3-etoxymethylindole (0.55 mmol) and Et3N (0.55 mmol) were added, and the reaction mixture was stirred for one hour. The mixture was then diluted with EtOAc and washed with NaHCO3. The aqueous layer was extracted with EtOAc. The organic layers were combined, dried with anhydrous Na2SO4, and evaporated. The crude product obtained was purified by column chromatography (CHCl3: EtOAc 5:1).
Yellow oil (37 mg, 32%); 1H NMR (400 MHz, CDCl3): δ 8.18–8.13 (m, 1H), 8.05 (d, J = 7.1 Hz, 1H), 7.69–7.64 (m, 1H), 7.56–7.49 (m, 4H), 7.46–7.40 (m, 1H), 4.68 (s, 2H), 4.38 (q, J = 7.1 Hz, 2H), and 1.39 (t, J = 7.1 Hz, 3H); 13C NMR (101 MHz, CDCl3): δ 166.65, 162.35, 134.53, 132.79, 130.54, 129.50, 128.85, 128.79, 128.28, 121.21, 119.35, 117.48, 110.65, 60.94, and 14.30; FT-IR (KBr, cm−1) νmax: 3057, 2924, 1783, 1715, and 1618; and EI-MS (m/z, % int.): 295 (100%). Analysis was calculated for C18H17NO3 (MW = 295.12) with the following: C, 73.20; H, 5.80; N, 4.74; and O, 16.25; and found: C, 73.41; H, 6.12; N, 4.53; and O, 15.94%.
A typical procedure for the synthesis of Compounds 18–27
Next, to 5 mL of anhydrous DMF, which was cooled to 0 °C, NaH (60%, 1 mmol) was added. The resulting mixture was stirred at 0 °C for 15 minutes. Then, 3-etoxymethylindole (1 mmol) that was dissolved in 1 mL of anhydrous DMF was added, and the mixture was stirred for 30 minutes at 0 °C. Finally, an appropriate bromoester (methyl bromoacetate, ethyl bromoacetate, isopropyl bromoacetate, tert-butyl bromoacetate, ethyl 2-bromopropionate, ethyl 2-bromovalerate, phenyl bromoacetate, benzyl bromoacetate, methyl α-bromophenyl acetate, and ethyl α-bromophenyl acetate) (1 mmol) were added dropwise and stirred for 24 h at room temperature. The resulting mixture was then extracted with EtOAc, washed with water and brine, dried over anhydrous Na2SO4, and evaporated. The resulting crude product was purified using column chromatography with gradient elution, starting from PhMe: EtOAc 50:1.
Methyl 2-(3-(ethoxymethyl)-1H-indol-1-yl)acetate (18)
Yellow oil (94 mg, 38%); 1H NMR (400 MHz, CDCl3): δ 7.71 (dt, J = 7.8, 1.0 Hz, 1H), 7.22 (d, J = 1.7 Hz, 1H), 7.17–7.15 (m, 2H), 7.08 (s, 1H), 4.81 (s, 2H), 4.71 (d, J = 0.7 Hz, 2H), 3.73 (s, 3H), 3.57 (q, J = 7.0 Hz, 2H), 1.23 (t, J = 7.0 Hz, 3H); 13C NMR (101 MHz, CDCl3): δ 168.95, 136.93, 127.77, 127.63, 122.36, 119.89, 119.63, 113.50, 108.89, 65.17, 64.38, 52.50, 47.55, 15.27; FT-IR (KBr, cm−1) νmax: 3050, 2952, 2866, 1743, 1661, 1614; and EI-MS (m/z, % int.): 246 (15). Analysis was calculated for C14H17NO3 (MW = 247.12) with the following: C, 68.00; H, 6.93; N, 5.66; and O, 19.41; and found: C, 67.71; H, 7.43; N, 5.82; and O, 19.04%.
Ethyl 2-(3-(ethoxymethyl)-1H-indol-1-yl)acetate (19)
Yellow oil (144 mg, 55%); 1H NMR (400 MHz, CDCl3): δ 7.71 (d, J = 7.8 Hz, 1H), 7.23 (dd, J = 2.5, 1.0 Hz, 1H), 7.22 (d, J = 1.0 Hz, 1H), 7.17–7.13 (m, 1H), 7.09 (s, 1H), 4.79 (s, 2H), 4.71 (s, 2H), 4.20 (q, J = 7.2 Hz, 2H), 3.55 (t, J = 7.0 Hz, 2H), and 1.27–1.21 (m, 6H); 13C NMR (101 MHz, CDCl3): δ 168.45, 136.97, 127.78, 127.71, 122.29, 119.83, 119.60, 113.39, 108.93, 65.10, 64.39, 61.63, 47.72, 15.27, and 14.09; FT-IR (KBr, cm−1) νmax: 3053, 2978, 2932, 2867, 1750, and 1614; and EI-MS (m/z, % int.): 261 (20). Analysis was calculated for C15H19NO3 (MW = 261.14) with the following: C, 68.94; H, 7.33; N, 5.36; and O, 18.37; and found: C, 69.00; H, 7.15; N, 5.41; and O, 18.41%.
Isopropyl 2-(3-(ethoxymethyl)-1H-indol-1-yl)acetate (20)
Yellow oil (165 mg, 60%); 1H NMR (400 MHz, CDCl3): δ 7.71 (dt, J = 7.8, 1.0 Hz, 1H), 7.23 (dd, J = 3.0, 1.0 Hz, 1H), 7.22 (d, J = 1.0 Hz, 1H), 7.17–7.13 (m, 1H), 7.09 (s, 1H), 5.06 (hept, J = 6.3 Hz, 1H), 4.76 (s, 2H), 4.71 (d, J = 0.7 Hz, 2H), 3.56 (q, J = 7.0 Hz, 2H), and 1.24–1.21 (m, 9H); 13C NMR (101 MHz, CDCl3): δ 167.98, 137.00, 127.81, 122.25, 122.14, 119.80, 119.59, 113.30, 108.96, 69.49, 65.04, 64.39, 47.95, 21.69, and 15.28; FT-IR (KBr, cm−1) νmax: 3056, 2979, 2933, 2859, 1737, and 1615; and EI-MS (m/z, % int.): 275 (12,5). Analysis was calculated for C16H21NO3 (MW = 275.15) with the following: C, 69.79; H, 7.69; N, 5.09; and O, 17.43; and found: C, 70.00; H, 7.51; N, 5.18; and O, 17.31%.
Tert-butyl 2-(3-(ethoxymethyl)-1H-indol-1-yl)acetate (21)
Yellow oil (191 mg, 66%); 1H NMR (400 MHz, CDCl3): δ 7.71 (dt, J = 7.9, 1.0 Hz, 1H), 7.23–7.22 (m, 2H), 7.16 –7.12 (m, 1H), 7.09 (t, J = 0.8 Hz, 1H), 4.71 (d, J = 0.7 Hz, 2H), 4.70 (s, 2H), 3.55 (q, J = 7.0 Hz, 2H), 1.48 (s, 1H), 1.44 (s, 9H), and 1.22 (t, J = 7.0 Hz, 3H); 13C NMR (101 MHz, CDCl3): δ 167.59, 137.00, 127.86, 127.81, 122.19, 119.73, 119.57, 113.16, 108.97, 82.51, 64.99, 64.40, 48.50, 27.95, and 15.28; FT-IR (KBr, cm−1) νmax: 3054, 2979, 2933, 2873, 1745, and 1614; and EI-MS (m/z, % int.): 289 (23). Analysis was calculated for C17H23NO3 (MW = 289.17) with the following: C, 70.56; H, 8.01; N, 4.84; and O, 16.59; and found: C, 70.73; H, 7.94; N, 5.03; and O, 16.30%.
Ethyl 2-(3-(ethoxymethyl)-1H-indol-1-yl)propanoate (22)
Yellow oil (157 mg, 57%); 1H NMR (400 MHz, CDCl3): δ 7.71 (d, J = 8.3 Hz, 1H), 7.31–7.27 (m, 2H), 7.24–7.20 (m, 1H), 7.16–7.13 (m, 1H), 5.10 (q, J = 7.3 Hz, 1H), 4.71 (s, 2H), 4.15 (qd, J = 7.1, 1.0 Hz, 2H), 3.57 (q, J = 7.0 Hz, 2H), 1.79 (d, J = 7.3 Hz, 3H), and 1.22 (dt, J = 13.2, 7.1 Hz, 6H); 13C NMR (101 MHz, CDCl3): δ 171.21, 136.62, 127.81, 124.45, 122.05, 119.84, 119.58, 113.26, 109.15, 65.16, 64.58, 61.57, 53.50, 17.56, 15.28, and 14.04; FT-IR (KBr, cm−1) νmax: 3051, 2977, 2936, 2860, 1739, and 1614; and EI-MS (m/z, % int.): 275 (50). Analysis was calculated for C16H21NO3 (MW = 275.15) with the following: C, 69.79; H, 7.69; N, 5.09; O, and 17.43; and found: C, 69.76; H, 7.99; N, 4.92; and O, 17.33%.
Ethyl 2-(3-(ethoxymethyl)-1H-indol-1-yl)pentanoate (23)
Yellow oil (222 mg, 73%); 1H NMR (400 MHz, CDCl3): δ 7.71 (d, J = 7.9 Hz, 1H), 7.33 (d, J = 8.3 Hz, 1H), 7.29 (s, 1H), 7.24–7.20 (m, 1H), 7.16–7.12 (m, 1H), 4.96 (dd, J = 9.3, 6.2 Hz, 1H), 4.72 (d, J = 0.7 Hz, 2H), 4.15 (qd, J = 7.1, 2.9 Hz, 2H), 3.56 (q, J = 7.0 Hz, 2H), 1.30 (t, J = 7.1 Hz, 3H), 1.25–1.20 (m, 6H), and 0.97–0.91 (m, 4H); 13C NMR (101 MHz, CDCl3): δ 170.91, 137.01, 127.68, 124.81, 122.00, 119.77, 119.55, 113.30, 109.13, 65.07, 64.62, 61.46, 57.82, 34.04, 19.24, 15.28, 14.07, and 13.52; FT-IR (KBr, cm−1) νmax: 3051, 2964, 2932, 2873, 1740, and 1614; and EI-MS (m/z, % int.): 303 (45). Analysis was calculated for C18H25NO3 (MW = 303.18) with the following: C, 71.26; H, 8.31; N, 4.62; and O, 15.82; and found: C, 70.98; H, 8.42; N, 4.60; and O, 16.00%.
Phenyl 2-(3-(ethoxymethyl)-1H-indol-1-yl)acetate (24)
Yellow oil (114 mg, 37%); 1H NMR (400 MHz, CDCl3): δ 8.44 (d, J = 8.1 Hz, 1H), 7.63 (d, J = 7.0 Hz, 1H), 7.54 (s, 1H), 7.40–7.36 (m, 1H), 7.34–7.29 (m, 3H), 7.03–6.99 (m, 3H), 5.15 (s, 2H), 4.66 (d, J = 1.1 Hz, 2H), 3.61 (q, J = 7.0 Hz, 2H), and 1.27 (t, J = 7.0 Hz, 3H); 13C NMR (101 MHz, CDCl3): δ 166.17, 157.54, 136.18, 129.70, 129.25, 125.75, 124.22, 122.11, 121.83, 121.20, 119.46, 116.67, 114.69, 67.78, 66.03, 64.33, and 15.21; FT-IR (KBr, cm−1) νmax: 3119, 3059, 2969, 2940, 2842, 1707, and 1600; and EI-MS (m/z, % int.): 309 (35). Analysis was calculated for C19H19NO3 (MW = 309.14) with the following: C, 73.77; H, 6.19; N, 4.53; and O, 15.52; and found: C, 73.80; H, 6.27; N, 4.49; and O, 15.43%.
Benzyl 2-(3-(ethoxymethyl)-1H-indol-1-yl)acetate (25)
Yellow oil (243 mg, 75%); 1H NMR (400 MHz, CDCl3): δ 7.71 (d, J = 7.8 Hz, 1H), 7.34–7.32 (m, 3H), 7.27 (d, J = 4.0 Hz, 2H), 7.21 (dd, J = 6.2, 1.3 Hz, 2H), 7.17–7.13 (m, 1H), 7.08 (s, 1H), 5.16 (s, 2H), 4.84 (s, 2H), 4.70 (d, J = 0.7 Hz, 2H), 3.55 (q, J = 7.0 Hz, 2H), and 1.22 (t, J = 7.0 Hz, 3H); 13C NMR (101 MHz, CDCl3): δ 168.31, 136.98, 135.02, 128.57, 128.48, 128.27, 127.83, 127.68, 122.36, 119.90, 119.65, 113.55, 108.96, 67.23, 65.07, 64.37, 47.71, and 15.27; FT-IR (KBr, cm−1) νmax: 3033, 2974, 2874, 2840, 1747, and 1683; and EI-MS (m/z, % int.): 323 (23). Analysis was calculated for C20H21NO3 (MW = 323.15) with the following: C, 74.28; H, 6.55; N, 4.33; and O, 14.84; and found: C, 74.27; H, 6.74; N, 3.99; and O, 15.00%.
Methyl 2-(3-(ethoxymethyl)-1H-indol-1-yl)-2-phenylacetate (26)
Yellow oil (133 mg, 41%); 1H NMR (400 MHz, CDCl3): δ 7.72 (d, J = 7.3 Hz, 1H), 7.38 (d, J = 2.3 Hz, 3H), 7.19–7.17 (m, 3H), 7.16–7.13 (m, 1H), 7.10 (s, 1H), 7.10–7.08 (m, 1H), 4.65 (t, J = 0.7 Hz, 2H), 3.83 (s, 3H), 3.81 (s, 1H), 3.56–3.50 (m, 3H), and 1.20 (t, J = 7.0 Hz, 3H); 13C NMR (101 MHz, CDCl3): δ 170.01, 138.70, 129.63, 129.06, 128.98, 128.11, 127.92, 127.73, 125.94, 122.24, 120.15, 119.75, 113.32, 109.00, 65.14, 64.57, 61.85, 52.71, and 15.25; FT-IR (KBr, cm−1) νmax: 3033, 2952, 2873, 1734, and 1612; and EI-MS (m/z, % int.): 323 (5). Analysis was calculated for C20H21NO3 (MW = 323.15) with the following: C, 74.28; H, 6.55; N, 4.33; and O, 14.84; and found: C, 74.22; H, 6.69; N, 4.12; and O, 14.97%.
Ethyl 2-(3-(ethoxymethyl)-1H-indol-1-yl)-2-phenylacetate (27)
Yellow oil (109 mg, 32%); 1H NMR (400 MHz, CDCl3): δ 7.72 (d, J = 7.8 Hz, 1H), 7.38–7.34 (m, 4H), 7.23–7.21 (m, 1H), 7.18–7.14 (m, 3H), 7.11 (d, J = 4.0 Hz, 1H), 6.19 (s, 1H), 4.66 (s, 2H), 4.31–4.26 (m, 2H), 3.53 (qd, J = 7.0, 0.9 Hz, 2H), 1.26 (t, J = 7.1 Hz, 4H), and 1.20 (t, J = 7.0 Hz, 3H); 13C NMR (101 MHz, CDCl3): δ 169.50, 137.03, 134.57, 129.68, 129.02, 128.09, 127.53, 126.04, 122.17, 120.10, 119.73, 113.20, 109.05, 65.07, 64.57, 61.94, 15.24, 14.07, and 13.97; FT-IR (KBr, cm−1) νmax: 3058, 2978, 2935, 2864, 1745, and 1613; and EI-MS (m/z, % int.): 337 (40). Analysis was calculated for C21H23NO3 (MW = 337.17) with the following: C, 74.75; H, 6.87; N, 4.15; and O, 14.23; and found: C, 74.93; H, 6.59; N, 4.32; and O, 14.16%.
Synthesis of (1-acetyl-1H-indol-3-yl)methyl 2,5-dihydroxybenzoate (29)
N-acetyl-3-hydroxymethylindole (0.72 mmol) and 2,5-dihydroxybenzoic acid (0.72 mmol) were dissolved in THF (5 mL), then DCC (0.72 mmol) was added, and the mixture was then stirred for 48 hours at room temperature. The resulting white precipitate was filtered, and the filtrate was evaporated so as to obtain a dark brown precipitate. The precipitate was then dissolved in EtOAc, washed with 5% citric acid, saturated with NaHCO3 and brine, and then dried over anhydrous Na2SO4 and evaporated. The crude product was purified by column chromatography (PhMe: EtOAc 5:1).
Orange oil (87 mg, 37%); 1H NMR (400 MHz, CDCl3): δ 8.41 (d, J = 8.4 Hz, 1H), 7.65 (d, J = 7.1 Hz, 1H), 7.54 (s, 1H), 7.39–7.27 (m, 3H), 7.18–7.16 (m, 2H), 5.50 (s, 2H), and 2.64 (s, 3H); 13C NMR (101 MHz, CDCl3): δ 169.60, 168.88, 155.71, 148.06, 135.84, 129.00, 128.19, 125.78, 125.26, 124.40, 124.05, 119.04, 118.48, 116.78, 114.60, 111.90, 58.72, and 23.92; FT-IR (KBr, cm−1) νmax: 3215, 2931, 2854, 1733, 1686, and 1620; and EI-MS (m/z, % int.): 325 (10). Analysis was calculated for C18H15NO5 (MW = 325.10) with the following: C, 66.46; H, 4.65; N, 4.31; and O, 24.59; and found: C, 66.51; H, 9.58; N, 4.43; and O, 24.89%.
3.3. X-ray Analysis
Single-crystal X-ray diffraction measurements were carried out with the monochromated CuKα radiation on a SuperNova diffractometer (4, 5, 7, 8, 9, and 11), or with MoKα radiation on an Xcalibur diffractometer (2 and 10). Each dataset was measured with an omega scan. These data were processed with the CrysAlisPro 1.171.42 software [76]. The crystal structures were solved by direct methods with SHELXT [77] and refined by full-matrix least-squares calculations on F2 with SHELXL [78]. All non-H atoms were refined with anisotropic displacement parameters. Hydrogen atoms bonded to C and N atoms were placed at calculated positions based on the environment and perceived hybridization of the atoms to which they were bonded. For room temperature structures, the methyl, methylene, and aromatic C-H distances were standardized to 0.96, 0.97, and 0.93 Å, respectively, and the N-H distance was 0.86 Å. For low-temperature structures, the corresponding values were 0.98 and 0.99 and 0.95 Å and 0.88 Å. The solvent hydrogen atoms were located on difference Fourier maps, and their O-H distances were standardized to the values of 0.82 and 0.85 Å for the ethanol and water molecules, respectively. All H-atoms were refined as ‘riding’ on their carriers. During the refinement, isotropic displacement parameters for H-atoms were assigned as 20% higher than the isotropic equivalent for the atom to which the H-atom was bonded. The crystals of 8 were inversion-twinned with a ratio of 0.70(3):0.30(3). Moreover, in the crystal of 9, there were signs of disorder in the thiazolidine moiety. We modeled this disorder by taking into account two alternative positions for one of the two methylene groups for which the component occupancy factors were refined to 0.62(3) and 0.38(3). MERCURY [79] was used to prepare drawings. CCDC contains the supplementary crystallographic data for 2 (Deposition Number 2346551), 4 (Deposition Number 2346552), 5 (Deposition Number 2346553), 7 (Deposition Number 2346554), 8 (Deposition Number 2346555), 9 (Deposition Number 2346556), 10 (Deposition Number 2346557), and 11 (Deposition Number 2346558). These data can be obtained free of charge via http://www.ccdc.cam.ac.uk/conts/retrieving.html (accessed on 8 April 2024) (or from the CCDC, 12 Union Road, Cambridge CB2 1EZ, UK; Fax: +44 1223 336033; email: deposit@ccdc.cam.ac.uk).
3.4. Biological Study
3.4.1. Antibacterial and Antifungal Activity Measurements
The antibacterial properties of the compounds were determined against selected bacteria: Micrococcus luteus, Bacillus subtilis, Escherichia coli, and Pseudomonas fluorescens. The antifungal activity of the compounds was determined against Alternaria alternata, Fusarium culmorum, Trichoderma harzianum, Trichoderma harzianum, and Botrytis cinerea. All the cultures of microorganisms were obtained from the pure culture collection of the Microbiology Department of the Faculty of Soil Science and Microbiology of the Poznan University of Life Sciences.
The well diffusion method was used to evaluate the antimicrobial properties of the compounds. A broth medium was used for the bacterial tests, while potato dextrose agar (PDA) was used for mold cultivation. Next, 6 mL of each liquidized medium was poured into sterile Petri dishes and allowed to solidify. After this, two 0.5 cm-diameter sterile glass rings were placed on the surface of each plate. Then, 20 mL of each liquid medium containing suspensions of the tested microorganisms was added. The final bacterial suspension had a density of 107 cells/cm3, which was obtained from 48-hour cultures on broth slants, and the fungal suspension had a density of 108 spores/cm3, which was obtained from 5-day cultures on PDA slants. After the medium solidified, the glass rings were removed with a pencil, leaving two wells on each plate. Then, 0.1 mL of the compound dissolved in pure dimethyl sulfoxide was added to one well, and 0.1 mL of pure dimethyl sulfoxide was added to the other well, which served as a control. Each compound was tested in four replicates. Plates were incubated in a thermostat at 27 °C for M. luteus, B. subtilis, and P. fluorescens cultures, as well as at 37 °C for the E. coli culture for 48 hours. All fungal cultures were incubated in a thermostat at 24 °C for five days. At the end of the incubation, the growth inhibition diameters of the tested strains were measured using calipers.
3.4.2. Human Red Blood Cell (RBC) Preparation
Human RBC suspensions (~65% hematocrit) were purchased from the Blood Bank in Poznań according to the bilateral agreement between the Adam Mickiewicz University and Blood Bank no. ZP/2867/D/21 without any contact with blood donors. The RBCs were washed three times (960× g, 10 min, 4 °C) in 7.4 pH phosphate-buffered saline (PBS_137 mM of NaCl, 2.7 mM of KCl, 10 mM of Na2HPO4, and 1.76 mM of KH2PO4), which was supplemented with 10 mM of glucose. After washing, the RBCs were suspended in the PBS buffer at 1.65 × 109 cells/mL, stored at 4 °C, and used within 5 h.
3.4.3. Inhibition of Free Radical-Induced Hemolysis
The cytoprotective activity of the derivatives was evaluated in accordance with a previously described method [14,15,16]. Briefly, human RBCs (1.65 × 108 cells/mL, 1.5% hematocrit) were preincubated in PBS (pH 7.4) supplemented with 10 mM of glucose, which contained the tested compound or Trolox used as a standard antioxidant at a concentration of 0.01 mg/mL for 20 min at 37 °C in a shaking incubator. After preincubation, 2,2′-azobis(2-methylpropionamidine) dihydrochloride (AAPH) was added to a final concentration of 60 mM, and samples were incubated for the next four hours at 37 °C. RBCs incubated in PBS and in PBS with AAPH were used as negative and positive controls, respectively. After incubation, the RBC suspensions were centrifuged (960× g, 5 min, + 4 °C), and the degree of hemolysis was determined by measuring the absorbance (Ab) of the supernatant at λ = 540 nm in a BioMate™ 160 UV–Vis spectrophotometer. The percentage of free radical-induced hemolysis inhibition was calculated using the following equation:
where Abcomp is the absorbance value of the supernatants obtained from samples incubated with a compound tested in the presence of AAPH and AbAAPH is the absorbance of the supernatant obtained from the positive control, respectively. Each sample was prepared in triplicate and results were expressed as the mean ±SD value from three independent experiments (n = 6), using RBCs obtained from different donors.
inhibition of hemolysis (%) = 100 − [(Abcomp/AbAAPH) × 100],
3.4.4. Ferrous Ion (Fe2+) Chelating Assay
The ferrous ions’ chelating activity of the derivatives was evaluated in accordance with a previously described method [15]. The Fe2+-chelating ability of the tested compounds was determined by the absorbance of the ferrous-ion–ferrozine complex at 562 nm at room temperature (~22 °C, RT). Briefly, 0.1 mg/mL of the concentration of the tested compounds in 0.2 mL of ethyl alcohol was added to a solution of 0.6 mM of FeCl2 (0.05 mL). EDTA was used as the standard metal chelator. The reaction was started by adding 5 mM of ferrozine (0.05 mL) in ethyl alcohol and then immediately shaking vigorously. The samples were stored for 10 min at room temperature. After incubation, the absorbance (Ab) of the solutions was measured at 562 nm in a BioMate™ 160 UV–Vis spectrophotometer. The percentage of inhibition of the ferrozine–Fe2+ complex formation was calculated using the following equation:
where Ab1 is the absorbance in the presence of the compound tested or EDTA and Ab0 is the absorbance of the sample without the tested compound. Each sample was made in triplicate and three independent experiments were performed (n = 9).
Fe2+ chelating (%) = [1 − (Ab1/Ab0)] × 100,
3.4.5. Hemolysis Assay under Physiological Condition
The hemolytic activity was evaluated according to the previously described method [14,15,16]. Briefly, RBCs (1.65 × 108 cells/mL, 1.5% hematocrit) were incubated in a PBS (pH = 7.4) supplemented with 10 mM of glucose (Sigma Aldrich, Steinheim, Germany) and containing the tested compound at the concentration of 0.1 mg/mL for 60 min at 37 °C in a thermo shaker (BioSan Thermo-Shaker TS-100C, Biosan, Riga, Latvia). The negative control sample was a solution with RBCs incubated in PBS without the addition of the tested compounds. The positive control sample was a solution of the RBCs incubated in deionized water without the addition of the tested compounds. Each sample was prepared in triplicate, and the experiments were repeated three times with RBCs from different donors. After incubation, the RBC suspensions were centrifuged (Sigma 3–30 K Sartorious AG, Göttingen, Germany) (960× g, 10 min, 4 °C), and the degree of hemolysis was estimated by measuring the absorbance of the supernatant on a BioMate™ 160 UV-Vis spectrophotometer (Thermo Scientific, Waltham, MA, USA) at 540 nm. The results were expressed as the percentage (%) of hemolysis, which was calculated using the following formula:
where sample Ab is the absorbance value of the supernatant of RBCs incubated with the tested compounds and the negative control, and the positive control AB is an absorbance value of the supernatant of RBCs incubated in ice-cold deionized water. Each sample was prepared in triplicate, and the results are presented as a mean value (±SD) of the three independent experiments (n = 9).
hemolysis (%) = (sample Ab/positive control Ab) × 100,
3.4.6. Statistical Analysis
For the antioxidant and cytoprotective properties, data were plotted as the mean value ± standard deviation (SD) of the results of three independent experiments, with every sample taken in triplicate (n = 9). A paired t-Student test was used to, respectively, compare the derivatives’ activity with the activity of the standard Trolox or EDTA. Statistical significance was defined as p < 0.05. Inactive compounds were indicated as n.a. Non statistically significant difference is indicated as n.s.
3.5. In Silico Study
The physicochemical calculations were conducted using the SwissADME website: www.swissadme.ch (accessed on 2 February 2024).
3.6. Molecular Docking
The molecular docking process commenced by converting the SMILES representation of indole-based chemical structures into 3D structures, and this was accomplished through the application of OpenBabel tool version 3.1.1 [80,81]. Subsequently, the protein domains corresponding to PDB [82], IDs 1DNU [83], 1N5X [84], and 4COX [85] were prepared in accordance with the standard AutoDock tool 1.5.7 scheme [86]. Molecular dockings were then carried out using AutoDock Vina [87], with the specific parameters outlined in Table 5 for each docking search.
Table 5.
The search spaces of the analyzed binding sites of the protein domains.
4. Conclusions
The newly synthesized indole derivatives with methylene-bridged azole and benzazole substituents at C3 are compounds with a strong cytoprotective activity under oxidative stress conditions. The exceptions are derivatives appearing as zwitterions at a physiological pH, which occurred because of their ability to convert to harmful thiyl radicals. Of the two possible tautomeric forms, the molecules in crystals and those in a DMSO-d6 solution appeared as the thione tautomers. The C=S group was found to be the primary site for H-bonding in the condensed media: it has the ability to form multicenter hydrogen bonds with N-H and C-H donors.
Compared to imidazoles and oxazoles, thiazoles are more prone toward conformational changes driven by hydrogen bond association. The steric effects witnessed in the crystals of 7 and 8 (which are also supposedly present in Compounds 3 and 13) accounted for their high hemolytic activity.
Since the majority of the indole derivatives substituted solely at the C3 position are hemocompatibile, and as all of them adhere to the Lipinski and Veber rules, they represent promising candidates for future research on designing new bioactive compounds and drugs. The results presented in this study may facilitate the development of novel indole-based molecules with antioxidant and cytoprotective activities.
Supplementary Materials
The following supporting information can be downloaded at: https://www.mdpi.com/article/10.3390/ijms25105364/s1.
Author Contributions
Conceptualization, B.J. and L.M.; methodology, B.J., L.M., B.W., D.N. and J.S.; software, D.N.; validation, B.W., U.R. and D.N.; formal analysis, D.N.; investigation, B.J.; resources, B.J.; data curation, B.W. and D.N.; writing—original draft preparation, K.B., N.B. and D.N.; writing—review and editing, B.J., L.M. and U.R.; visualization, B.W., K.B., N.B. and D.N.; supervision, B.J.; project administration, K.B. and N.B.; funding acquisition, B.J., L.M., K.B. and N.B. All authors have read and agreed to the published version of the manuscript.
Funding
This work was financially supported by ID-UB 054 grants: 054/12/SNŚ.0011 (KB) and 054/13/SNŚ/0008 (NB).
Institutional Review Board Statement
Not applicable.
Informed Consent Statement
Not applicable.
Data Availability Statement
Data are contained within the article and Supplementary Materials.
Conflicts of Interest
The authors declare no conflicts of interest.
References
- Grynkiewicz, G.; Gadzikowska, M. Tropane Alkaloids as Medicinally Useful Natural Products and Their Synthetic Derivatives as New Drugs. Pharmacol. Rep. 2008, 60, 439–463. [Google Scholar] [PubMed]
- Ehrenworth, A.M.; Peralta-Yahya, P. Accelerating the Semisynthesis of Alkaloid-Based Drugs through Metabolic Engineering. Nat. Chem. Biol. 2017, 13, 249–258. [Google Scholar] [CrossRef]
- Olofinsan, K.; Abrahamse, H.; George, B.P. Therapeutic Role of Alkaloids and Alkaloid Derivatives in Cancer Management. Molecules 2023, 28, 5578. [Google Scholar] [CrossRef] [PubMed]
- Kittakoop, P.; Mahidol, C.; Ruchirawat, S. Alkaloids as Important Scaffolds in Therapeutic Drugs for the Treatments of Cancer, Tuberculosis, and Smoking Cessation. Curr. Top. Med. Chem. 2014, 14, 239–252. [Google Scholar] [CrossRef]
- Kumari, A.; Singh, R.K. Medicinal Chemistry of Indole Derivatives: Current to Future Therapeutic Prospectives. Biol. Chem. 2019, 89, 103021. [Google Scholar] [CrossRef] [PubMed]
- Jagadeesan, S.; Karpagam, S. Novel Series of N-Acyl Substituted Indole Based Piperazine, Thiazole and Tetrazoles as Potential Antibacterial, Antifungal, Antioxidant and Cytotoxic Agents, and Their Docking Investigation as Potential Mcl-1 Inhibitors. J. Mol. Struct. 2023, 1271, 134013. [Google Scholar] [CrossRef]
- Iacopetta, D.; Catalano, A.; Ceramella, J.; Barbarossa, A.; Carocci, A.; Fazio, A.; La Torre, C.; Caruso, A.; Ponassi, M.; Rosano, C.; et al. Synthesis, Anticancer and Antioxidant Properties of New Indole and Pyranoindole Derivatives. Bioorg. Chem. 2020, 105, 104440. [Google Scholar] [CrossRef] [PubMed]
- Kerzarea, D.R.; Khedekar, P.B. Indole Derivatives Acting on Central Nervous System—Review. J. Pharm. Sci. Biosci. Rev. 2016, 6, 144–156. [Google Scholar]
- Singh, T.P.; Singh, O.M. Recent Progress in Biological Activities of Indole and Indole Alkaloids. Mini Rev. Med. Chem. 2018, 18, 9–25. [Google Scholar] [CrossRef]
- Jastrzębski, M.K.; Kaczor, A.A.; Wróbel, T.M. Methods of Lysergic Acid Synthesis—The Key Ergot Alkaloid. Molecules 2022, 27, 7322. [Google Scholar] [CrossRef]
- Wei, Y.; Shi, L.; Wang, K.; Liu, M.; Yang, Q.; Yang, Z.; Ke, S. Discovery of Gramine Derivatives That Inhibit the Early Stage of EV71 Replication in Vitro. Molecules 2014, 19, 8949–8964. [Google Scholar] [CrossRef] [PubMed]
- Zhang, J.; Jia, Q.; Li, N.; Gu, L.; Dan, W.; Dai, J. Recent Developments of Gramine: Chemistry and Biological Activity. Molecules 2023, 28, 5695. [Google Scholar] [CrossRef] [PubMed]
- Zhang, X.-H.; Guo, Q.; Wang, H.-Y.; Li, Y.-H.; Khamis, M.Y.; Ma, L.-Y.; Wang, B.; Liu, H.-M. Gramine-Based Structure Optimization to Enhance Anti-Gastric Cancer Activity. Biol. Chem. 2021, 107, 104549. [Google Scholar] [CrossRef] [PubMed]
- Kozanecka-Okupnik, W.; Sierakowska, A.; Berdzik, N.; Kowalczyk, I.; Mrówczyńska, L.; Jasiewicz, B. New Triazole-Bearing Gramine Derivatives–Synthesis, Structural Analysis and Protective Effect against Oxidative Haemolysis. Nat. Prod. Res. 2022, 36, 3413–3419. [Google Scholar] [CrossRef] [PubMed]
- Jasiewicz, B.; Kozanecka-Okupnik, W.; Przygodzki, M.; Warżajtis, B.; Rychlewska, U.; Pospieszny, T.; Mrówczyńska, L. Synthesis, Antioxidant and Cytoprotective Activity Evaluation of C-3 Substituted Indole Derivatives. Sci. Rep. 2021, 11, 15425. [Google Scholar] [CrossRef] [PubMed]
- Jasiewicz, B.; Babijczuk, K.; Warżajtis, B.; Rychlewska, U.; Starzyk, J.; Cofta, G.; Mrówczyńska, L. Indole Derivatives Bearing Imidazole, Benzothiazole-2-Thione or Benzoxazole-2-Thione Moieties—Synthesis, Structure and Evaluation of Their Cytoprotective, Antioxidant, Antibacterial and Fungicidal Activities. Molecules 2023, 28, 708. [Google Scholar] [CrossRef]
- Fujita, H.; Nishikawa, R.; Sasamoto, O.; Kitamura, M.; Kunishima, M. Substitution of the Dimethylamino Group in Gramines and One-Pot Cyclization to Tetrahydro-β-Carbolines Using a Triazine-Based Activating Agent. J. Org. Chem. 2019, 84, 8380–8391. [Google Scholar] [CrossRef]
- Ibrahim, M. Synthesis and Chemistry of 4Amino1,2,4-Triazin-5-Ones. Heterocycles 2010, 81, 1393–1418. [Google Scholar] [CrossRef]
- Bajad, N.G.; Singh, S.K.; Singh, S.K.; Singh, T.D.; Singh, M. Indole: A Promising Scaffold for the Discovery and Development of Potential Anti-Tubercular Agents. Curr. Res. Pharmacol. Drug Discov. 2022, 3, 100119. [Google Scholar] [CrossRef]
- Ramesh, D.; Joji, A.; Vijayakumar, B.G.; Sethumadhavan, A.; Mani, M.; Kannan, T. Indole Chalcones: Design, Synthesis, in Vitro and in Silico Evaluation against Mycobacterium Tuberculosis. Eur. J. Med. Chem. 2020, 198, 112358. [Google Scholar] [CrossRef]
- Singh, P.; Kaur, S.; Sharma, A.; Kaur, G.; Bhatti, R. TNF-α and IL-6 Inhibitors: Conjugates of N-Substituted Indole and Aminophenylmorpholin-3-One as Anti-Inflammatory Agents. Eur. J. Med. Chem. 2017, 140, 92–103. [Google Scholar] [CrossRef] [PubMed]
- Tiwari, S.; Kirar, S.; Banerjee, U.C.; Neerupudi, K.B.; Singh, S.; Wani, A.A.; Bharatam, P.V.; Singh, I.P. Synthesis of N-Substituted Indole Derivatives as Potential Antimicrobial and Antileishmanial Agents. Biol. Chem. 2020, 99, 103787. [Google Scholar] [CrossRef] [PubMed]
- MahamadAlli Shaikh, T.; Debebe, H. Synthesis and Evaluation of Antimicrobial Activities of Novel N-Substituted Indole Derivatives. J. Chem. 2020, 2020, e4358453. [Google Scholar] [CrossRef]
- Sumiya, T.; Ishigaki, M.; Oh, K. Synthesis of Imidazole and Indole Hybrid Molecules and Antifungal Activity against Rice Blast. IJCEA 2017, 8, 233–236. [Google Scholar] [CrossRef]
- Colorado-Peralta, R.; Olivares-Romero, J.L.; Rosete-Luna, S.; García-Barradas, O.; Reyes-Márquez, V.; Hernández-Romero, D.; Morales-Morales, D. Copper-Coordinated Thiazoles and Benzothiazoles: A Perfect Alliance in the Search for Compounds with Antibacterial and Antifungal Activity. Inorganics 2023, 11, 185. [Google Scholar] [CrossRef]
- Kumar Bhaumik, P.; Ghosh, K.; Chattopadhyay, S. Synthetic Strategies, Crystal Structures and Biological Activities of Metal Complexes with the Members of Azole Family: A Review. Polyhedron 2021, 200, 115093. [Google Scholar] [CrossRef]
- Emami, L.; Faghih, Z.; Ataollahi, E.; Sadeghian, S.; Rezaei, Z.; Khabnadideh, S. Azole Derivatives: Recent Advances as Potent Antibacterial and Antifungal Agents. Curr. Med. Chem. 2023, 30, 220–249. [Google Scholar] [CrossRef] [PubMed]
- Devasia, J.; Nizam, A.; Vasantha, V.L. Azole-Based Antibacterial Agents: A Review on Multistep Synthesis Strategies and Biology. Polycycl. Aromat. Comp. 2021, 42, 5474–5495. [Google Scholar] [CrossRef]
- Aatif, M.; Raza, M.A.; Javed, K.; Nashre-ul-Islam, S.M.; Farhan, M.; Alam, M.W. Potential Nitrogen-Based Heterocyclic Compounds for Treating Infectious Diseases: A Literature Review. Antibiotics 2022, 11, 1750. [Google Scholar] [CrossRef]
- Wadhwa, R.; Aggarwal, T.; Thapliyal, N.; Kumar, A.; Priya; Yadav, P.; Kumari, V.; Reddy, B.S.C.; Chandra, P.; Maurya, P.K. Red Blood Cells as an Efficient in Vitro Model for Evaluating the Efficacy of Metallic Nanoparticles. 3 Biotech 2019, 9, 279. [Google Scholar] [CrossRef]
- Fischer, D.; Li, Y.; Ahlemeyer, B.; Krieglstein, J.; Kissel, T. In Vitro Cytotoxicity Testing of Polycations: Influence of Polymer Structure on Cell Viability and Hemolysis. Biomaterials 2003, 24, 1121–1131. [Google Scholar] [CrossRef]
- Podsiedlik, M.; Markowicz-Piasecka, M.; Sikora, J. Erythrocytes as Model Cells for Biocompatibility Assessment, Cytotoxicity Screening of Xenobiotics and Drug Delivery. Chem. Biol. Interact. 2020, 332, 109305. [Google Scholar] [CrossRef]
- Carlsen, C.U.; Møller, J.K.S.; Skibsted, L.H. Heme-Iron in Lipid Oxidation. Coord. Chem. Rev. 2005, 249, 485–498. [Google Scholar] [CrossRef]
- Fujii, J.; Homma, T.; Kobayashi, S.; Warang, P.; Madkaikar, M.; Mukherjee, M.B. Erythrocytes as a Preferential Target of Oxidative Stress in Blood. Free Radic. Res. 2021, 55, 781–799. [Google Scholar] [CrossRef]
- Pisoschi, A.M.; Pop, A.; Iordache, F.; Stanca, L.; Predoi, G.; Serban, A.I. Oxidative Stress Mitigation by Antioxidants—An Overview on Their Chemistry and Influences on Health Status. EJMECH 2021, 209, 112891. [Google Scholar] [CrossRef]
- Sies, H.; Belousov, V.V.; Chandel, N.S.; Davies, M.J.; Jones, D.P.; Mann, G.E.; Murphy, M.P.; Yamamoto, M.; Winterbourn, C. Defining Roles of Specific Reactive Oxygen Species (ROS) in Cell Biology and Physiology. Nat. Rev. Mol. Cell. Biol. 2022, 23, 499–515. [Google Scholar] [CrossRef]
- Bayr, H. Reactive Oxygen Species. Crit. Care Med. 2005, 33, S498. [Google Scholar] [CrossRef] [PubMed]
- Khan, F.; Garg, V.; Singh, A.; Tinku, T. Role of Free Radicals and Certain Antioxidants in the Management of Huntington’s Disease: A Review. J. Anal. Pharm. Res. 2018, 7. [Google Scholar] [CrossRef]
- Adwas, A.A.; Elsayed, A.S.I.; Azab, A.E.; Quwaydir, F.A. Oxidative stress and antioxidant mechanisms in human body. J. Appl. Biotechnol. Bioeng. 2019, 6, 43–47. [Google Scholar]
- Tsoi, B.; Yi, R.-N.; Cao, L.-F.; Li, S.-B.; Tan, R.-R.; Chen, M.; Li, X.-X.; Wang, C.; Li, Y.-F.; Kurihara, H.; et al. Comparing Antioxidant Capacity of Purine Alkaloids: A New, Efficient Trio for Screening and Discovering Potential Antioxidants in Vitro and in Vivo. Food Chem. 2015, 176, 411–419. [Google Scholar] [CrossRef]
- Rehman, S.; Khan, H. Advances in Antioxidant Potential of Natural Alkaloids. Curr. Bioact. Compd. 2017, 13, 101–108. [Google Scholar] [CrossRef]
- Kargapolova, Y.; Geißen, S.; Zheng, R.; Baldus, S.; Winkels, H.; Adam, M. The Enzymatic and Non-Enzymatic Function of Myeloperoxidase (MPO) in Inflammatory Communication. Antioxidants 2021, 10, 562. [Google Scholar] [CrossRef]
- Parker, H.; Winterbourn, C.C. Reactive Oxidants and Myeloperoxidase and Their Involvement in Neutrophil Extracellular Traps. Front. Immunol. 2012, 3, 424. [Google Scholar] [CrossRef]
- Chung, H.Y.; Baek, B.S.; Song, S.H.; Kim, M.S.; Huh, J.I.; Shim, K.H.; Kim, K.W.; Lee, K.H. Xanthine Dehydrogenase/Xanthine Oxidase and Oxidative Stress. Age 1997, 20, 127–140. [Google Scholar] [CrossRef]
- Berry, C.E.; Hare, J.M. Xanthine Oxidoreductase and Cardiovascular Disease: Molecular Mechanisms and Pathophysiological Implications. J. Physiol. 2004, 555, 589–606. [Google Scholar] [CrossRef] [PubMed]
- Laube, M.; Kniess, T.; Pietzsch, J. Development of Antioxidant COX-2 Inhibitors as Radioprotective Agents for Radiation Therapy—A Hypothesis-Driven Review. Antioxidants 2016, 5, 14. [Google Scholar] [CrossRef]
- Desai, S.J.; Prickril, B.; Rasooly, A. Mechanisms of Phytonutrient Modulation of Cyclooxygenase-2 (COX-2) and Inflammation Related to Cancer. Nutr. Cancer 2018, 70, 350–375. [Google Scholar] [CrossRef] [PubMed]
- Delaere, D.; Raspoet, G.; Nguyen, M.T. Thiol−Thione Tautomerism in Thioformic Acid: Importance of Specific Solvent Interactions. J. Phys. Chem. A 1999, 103, 171–177. [Google Scholar] [CrossRef]
- García-Báez, E.V.; Padilla-Martínez, I.I.; Cruz, A.; Rosales-Hernández, M.C. 13C-NMR Chemical Shifts in 1,3-Benzazoles as a Tautomeric Ratio Criterion. Molecules 2022, 27, 6268. [Google Scholar] [CrossRef]
- Babijczuk, K.; Warżajtis, B.; Starzyk, J.; Mrówczyńska, L.; Jasiewicz, B.; Rychlewska, U. Synthesis, Structure and Biological Activity of Indole–Imidazole Complexes with ZnCl2: Can Coordination Enhance the Functionality of Bioactive Ligands? Molecules 2023, 28, 4132. [Google Scholar] [CrossRef]
- Ravikumar, K.; Chandra Mohan, K.; Bidyasagar, M.; Swamy, G.Y.S.K. Crystal Structure of 2-Mercaptobenzimidazole and Bis [2-mercaptobenzimidazole]Dichlorocobalt(II). J. Chem. Crystallogr. 1995, 25, 325–329. [Google Scholar] [CrossRef]
- Tomkowiak, H.; Katrusiak, A. High Pressure Effects on Zwitterionic and Thione Mesomeric Contributions in 2-Benzimidazole-2-Thione. J. Phys. Chem. C 2017, 121, 18830–18836. [Google Scholar] [CrossRef]
- Form, G.R.; Raper, E.S.; Downie, T.C. The Crystal and Molecular Structure of 2-Mercaptobenzimidazole. Acta Crystallogr. Sect. B Struct. Crystallogr. Cryst. Chem. 1976, 32, 345–348. [Google Scholar] [CrossRef]
- Rong, Y.; Al-Harbi, A.; Kriegel, B.; Parkin, G. Structural Characterization of 2-Imidazolones: Comparison with their Heavier Chalcogen Counterparts. Inorg. Chem. 2013, 52, 7172–7182. [Google Scholar] [CrossRef] [PubMed]
- Owczarzak, A.; Dutkiewicz, Z.; Kurczab, R.; Pietruś, W.; Kubicki, M.; Grześkiewicz, A.M. Role of Staple Molecules in the Formation of S···S Contact in Thioamides: Experimental Charge Density and Theoretical Studies. Cryst. Growth Des. 2019, 19, 7324–7335. [Google Scholar] [CrossRef]
- Francuski, B.M.; Novakovic, S.B.; Bogdanovic, G.A. Electronic features and hydrogen bonding capacity of the sulfur acceptor in thioureido-based compounds. Experimental charge density study of 4-methyl-3-thiosemicarbazide. CrystEngComm 2011, 13, 3580. [Google Scholar] [CrossRef]
- Werber, J.; Wang, Y.J.; Milligan, M.; Li, X.; Ji, J.A. Analysis of 2,2′-Azobis (2-Amidinopropane) Dihydrochloride Degradation and Hydrolysis in Aqueous Solutions. J. Pharm. Sci. 2011, 100, 3307–3315. [Google Scholar] [CrossRef] [PubMed]
- Garrec, J.; Monari, A.; Assfeld, X.; Mir, L.M.; Tarek, M. Lipid Peroxidation in Membranes: The Peroxyl Radical Does Not “Float”. J. Phys. Chem. Lett. 2014, 5, 1653–1658. [Google Scholar] [CrossRef] [PubMed]
- Wu, T.-W.; Hashimoto, N.; Wu, J.; Carey, D.; Li, R.-K.; Mickle, D.A.G.; Weisel, R.D. The Cytoprotective Effect of Trolox Demonstrated with Three Types of Human Cells. Biochem. Cell Biol. 1990, 68, 1189–1194. [Google Scholar] [CrossRef] [PubMed]
- Sierakowska, A.; Jasiewicz, B.; Piosik, Ł.; Mrówczyńska, L. New C8-Substituted Caffeine Derivatives as Promising Antioxidants and Cytoprotective Agents in Human Erythrocytes. Sci. Rep. 2023, 13, 1785. [Google Scholar] [CrossRef]
- Vo, Q.V.; Hang, D.T.N.; Hoa, N.T.; Nam, P.C.; Duong, T.Q.; Mechler, A. The radical scavenging activity of 4-mercaptoimidazole: Theoretical insights into the mechanism, kinetics and solvent effects. New J. Chem. 2003, 47, 10381. [Google Scholar] [CrossRef]
- Sprinz, H.; Schwinn, J.; Naumov, S.; Brede, O. Mechanism of Thiyl Radical-Catalyzed Isomerization of Unsaturated Fatty Acid Residues in Homogeneous Solution and in Liposomes. Biochim. Biophys. Acta Mol. Cell Biol. Lipids 2000, 1483, 91–100. [Google Scholar] [CrossRef]
- Tartaro Bujak, I.; Mihaljević, B.; Ferreri, C.; Chatgilialoglu, C. The Influence of Antioxidants in the Thiyl Radical Induced Lipid Peroxidation and Geometrical Isomerization in Micelles of Linoleic Acid. Free Radic. Res. 2016, 50, S18–S23. [Google Scholar] [CrossRef] [PubMed][Green Version]
- Velika, B.; Kron, I. Antioxidant Properties of Benzoic Acid Derivatives against Superoxide Radical. Free Radic. Antioxid. 2012, 2, 62–67. [Google Scholar] [CrossRef]
- Milenković, D.; Đorović, J.; Jeremić, S.; Dimitrić Marković, J.M.; Avdović, E.H.; Marković, Z. Free Radical Scavenging Potency of Dihydroxybenzoic Acids. J. Chem. 2017, 2017, e5936239. [Google Scholar] [CrossRef]
- Vo, Q.V.; Mechler, A. In Silico Study of the Radical Scavenging Activities of Natural Indole-3-Carbinols. J. Chem. Inf. Model. 2020, 60, 316–321. [Google Scholar] [CrossRef] [PubMed]
- Bentz, E.N.; Lobayan, R.M.; Martínez, H.; Redondo, P.; Largo, A. Intrinsic Antioxidant Potential of the Aminoindole Structure: A Computational Kinetics Study of Tryptamine. J. Phys. Chem. B 2018, 122, 6386–6395. [Google Scholar] [CrossRef] [PubMed]
- Kwiatek, D.; Mrówczyńska, L.; Stopikowska, N.; Runowski, M.; Lesicki, A.; Lis, S. Surface Modification of Luminescent LnIII Fluoride Core-Shell Nanoparticles with Acetylsalicylic acid (Aspirin): Synthesis, Spectroscopic and in vitro Hemocompatibility Studies. ChemMedChem 2020, 15, 1490–1496. [Google Scholar] [CrossRef] [PubMed]
- Lipinski, C.A. Lead- and Drug-like Compounds: The Rule-of-Five Revolution. Drug Discov. Today Technol. 2004, 1, 337–341. [Google Scholar] [CrossRef]
- Veber, D.F.; Johnson, S.R.; Cheng, H.-Y.; Smith, B.R.; Ward, K.W.; Kopple, K.D. Molecular Properties That Influence the Oral Bioavailability of Drug Candidates. J. Med. Chem. 2002, 45, 2615–2623. [Google Scholar] [CrossRef]
- ProteinsPlus Development Team. ProteinsPlus. Available online: https://proteins.plus (accessed on 17 January 2024).
- Stierand, K.; Maaß, P.C.; Rarey, M. Molecular Complexes at a Glance: Automated Generation of Two-Dimensional Complex Diagrams. Bioinformatics 2006, 22, 1710–1716. [Google Scholar] [CrossRef] [PubMed]
- Diedrich, K.; Krause, B.; Berg, O.; Rarey, M. PoseEdit: Enhanced Ligand Binding Mode Communication by Interactive 2D Diagrams. J. Comput. Aided Mol. Des. 2023, 37, 491–503. [Google Scholar] [CrossRef] [PubMed]
- Pettersen, E.F.; Goddard, T.D.; Huang, C.C.; Couch, G.S.; Greenblatt, D.M.; Meng, E.C.; Ferrin, T.E. UCSF Chimera—A Visualization System for Exploratory Research and Analysis. J. Comput. Chem. 2004, 25, 1605–1612. [Google Scholar] [CrossRef] [PubMed]
- Ramírez, D.; Caballero, J. Is It Reliable to Take the Molecular Docking Top Scoring Position as the Best Solution without Considering Available Structural Data? Molecules 2018, 23, 1038. [Google Scholar] [CrossRef]
- CrysAlis: Rigaku OD. CrysAlis PRO 1.171.42; Rigaku Oxford Diffraction: Yarnton, UK, 2022.
- Sheldrick, G.M. SHELXT—Integrated space-group and crystal-structure determination. Acta Crystallogr. Sect. A Found. Adv. 2015, 71, 3–8. [Google Scholar] [CrossRef] [PubMed]
- Sheldrick, G.M. Crystal structure refinement with SHELXL. Acta Crystallogr. Sect. C Struct. Chem. 2015, 71, 3–8. [Google Scholar] [CrossRef]
- Bruno, I.J.; Cole, J.C.; Edgington, P.R.; Kessler, M.; Macrae, C.F.; McCabe, P.; Pearson, J.; Taylor, R. New software for searching the Cambridge Structural Database and visualizing crystal structures. Acta Crystallogr. Sect. B Struct. Sci. 2002, 58, 389–397. [Google Scholar] [CrossRef]
- O’Boyle, N.M.; Banck, M.; James, C.A.; Morley, C.; Vandermeersch, T.; Hutchison, G.R. Open Babel: An Open Chemical Toolbox. J. Cheminform. 2011, 3, 33. [Google Scholar] [CrossRef]
- Open Babel Development Team. Open Babel, Version: 3.1.1. 2020. Available online: http://openbabel.org/wiki/Main_Page (accessed on 17 January 2024).
- Berman, H.M.; Battistuz, T.; Bhat, T.N.; Bluhm, W.F.; Bourne, P.E.; Burkhardt, K.; Feng, Z.; Gilliland, G.L.; Iype, L.; Jain, S.; et al. The Protein Data Bank. Acta Cryst. D 2002, 58, 899–907. [Google Scholar] [CrossRef]
- Blair-Johnson, M.; Fiedler, T.; Fenna, R. Human Myeloperoxidase: Structure of a Cyanide Complex and Its Interaction with Bromide and Thiocyanate Substrates at 1.9 Å Resolution. Biochemistry 2001, 40, 13990–13997. [Google Scholar] [CrossRef]
- Okamoto, K.; Eger, B.T.; Nishino, T.; Kondo, S.; Pai, E.F.; Nishino, T. An Extremely Potent Inhibitor of Xanthine Oxidoreductase: Crystal structure of the enzyme-inhibitor complex and mechanism of inhibition. J. Biol. Chem. 2003, 278, 1848–1855. [Google Scholar] [CrossRef] [PubMed]
- Kurumbail, R.G.; Stevens, A.M.; Gierse, J.K.; McDonald, J.J.; Stegeman, R.A.; Pak, J.Y.; Gildehaus, D.; Iyashiro, J.M.; Penning, T.D.; Seibert, K.; et al. Structural Basis for Selective Inhibition of Cyclooxygenase-2 by Anti-Inflammatory Agents. Nature 1996, 384, 644–648. [Google Scholar] [CrossRef] [PubMed]
- Morris, G.M.; Huey, R.; Lindstrom, W.; Sanner, M.F.; Belew, R.K.; Goodsell, D.S.; Olson, A.J. AutoDock4 and AutoDockTools4: Automated Docking with Selective Receptor Flexibility. J. Comput. Chem. 2009, 30, 2785–2791. [Google Scholar] [CrossRef] [PubMed]
- Trott, O.; Olson, A.J. AutoDock Vina: Improving the Speed and Accuracy of Docking with a New Scoring Function, Efficient Optimization, and Multithreading. J. Comput. Chem. 2010, 31, 455–461. [Google Scholar] [CrossRef] [PubMed]
Disclaimer/Publisher’s Note: The statements, opinions and data contained in all publications are solely those of the individual author(s) and contributor(s) and not of MDPI and/or the editor(s). MDPI and/or the editor(s) disclaim responsibility for any injury to people or property resulting from any ideas, methods, instructions or products referred to in the content. |
© 2024 by the authors. Licensee MDPI, Basel, Switzerland. This article is an open access article distributed under the terms and conditions of the Creative Commons Attribution (CC BY) license (https://creativecommons.org/licenses/by/4.0/).


































