AtSNP_TATAdb: Candidate Molecular Markers of Plant Advantages Related to Single Nucleotide Polymorphisms within Proximal Promoters of Arabidopsis thaliana L.
Abstract
1. Introduction
2. Results and Discussion
2.1. The Genome-Wide Prediction of SNPs in Proximal Promoters
2.2. Genome-Wide Statistical Analysis of How SNPs Can Affect TBP Binding to the Proximal Promoters of Arabidopsis Protein-Coding Genes
2.3. Manually Curated Annotation of the Promoter Proximal SNPs
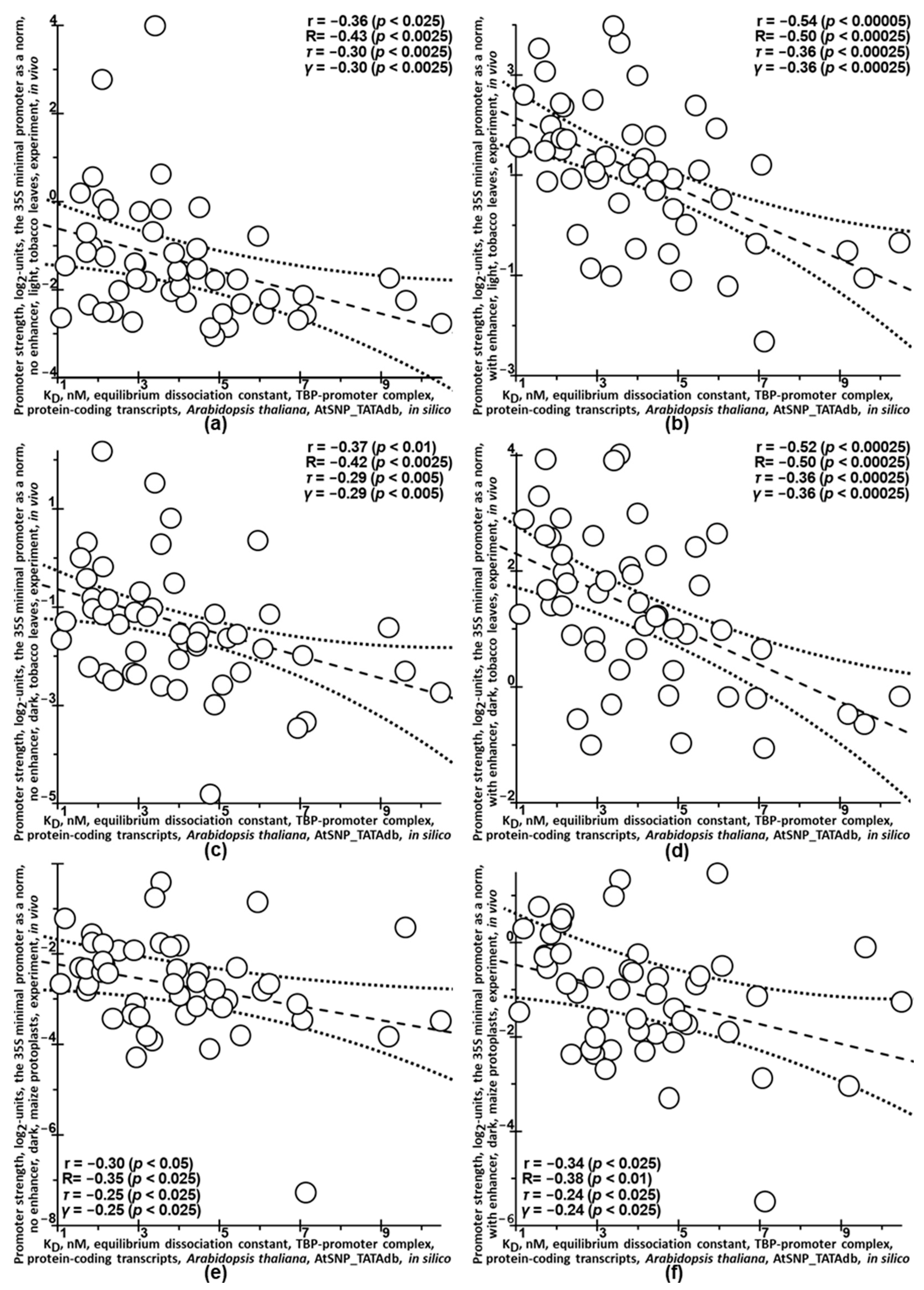
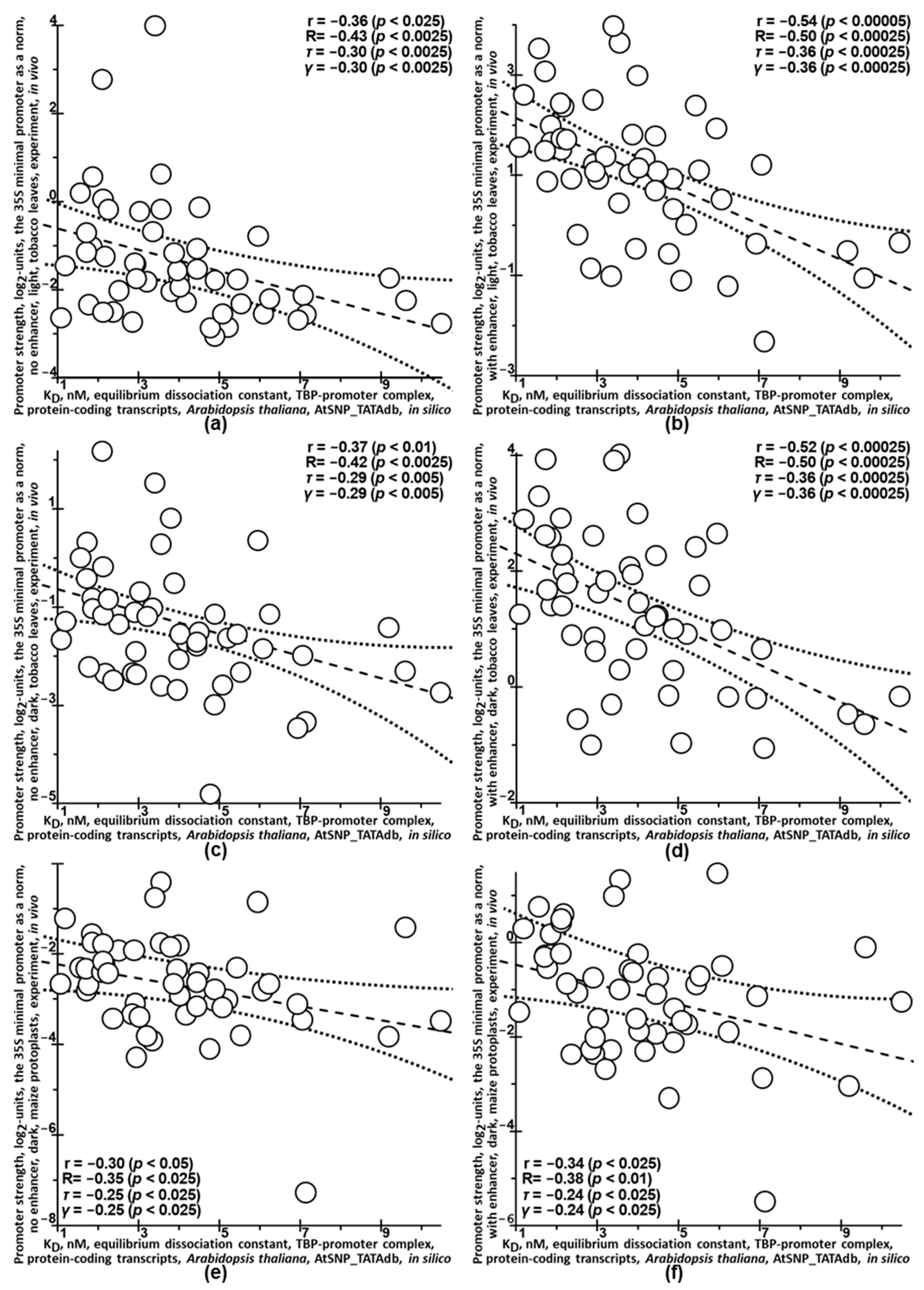
2.4. Validation of In Silico Estimates of KD-Values Documented in the AtSNP_TATAdb Knowledge Base Using Independent In Vivo Experimental Data
2.5. Genome-Wide Pattern of Arabidopsis Proximal Promoter SNPs in Comparison with Other Species
3. Materials and Methods
3.1. In Silico Analysis of DNA Sequences
3.2. The Knowledge Base AtSNP_TATAdb Created in this Work
3.3. How to Use the Knowledge Base AtSNP_TATAdb
3.4. Statistical Analysis
4. Conclusions
Supplementary Materials
Author Contributions
Funding
Institutional Review Board Statement
Informed Consent Statement
Data Availability Statement
Acknowledgments
Conflicts of Interest
Abbreviations
| ARF1 | auxin response factor 1 |
| ARF6 | auxin response factor 6 |
| KD | equilibrium dissociation constant |
| nM | natural logarithm units |
| SNP | single-nucleotide polymorphism |
| TAIR | The Arabidopsis Information Resource |
| TBP | TATA-binding protein |
| TSS | transcription start site |
References
- Virk, P.S.; Andersson, M.S.; Arcos, J.; Govindaraj, M.; Pfeiffer, W.H. Transition from targeted breeding to mainstreaming of biofortification traits in crop improvement programs. Front. Plant Sci. 2021, 12, 703990. [Google Scholar] [CrossRef]
- Zhang, X.; Cal, A.J.; Borevitz, J.O. Genetic architecture of regulatory variation in Arabidopsis thaliana. Genome Res. 2011, 21, 725–733. [Google Scholar] [CrossRef]
- Li, Q.; Sapkota, M.; van der Knaap, E. Perspectives of CRISPR/Cas-mediated cis-engineering in horticulture: Unlocking the neglected potential for crop improvement. Hortic. Res. 2020, 7, 36. [Google Scholar] [CrossRef]
- Saeed, S.; Usman, B.; Shim, S.H.; Khan, S.U.; Nizamuddin, S.; Saeed, S.; Shoaib, Y.; Jeon, J.S.; Jung, K.H. CRISPR/Cas-mediated editing of cis-regulatory elements for crop improvement. Plant Sci. 2022, 324, 111435. [Google Scholar] [CrossRef]
- Cui, Z.; Tian, R.; Huang, Z.; Jin, Z.; Li, L.; Liu, J.; Huang, Z.; Xie, H.; Liu, D.; Mo, H.; et al. FrCas9 is a CRISPR/Cas9 system with high editing efficiency and fidelity. Nat. Commun. 2022, 13, 1425. [Google Scholar] [CrossRef]
- Bucher, P. Weight matrix descriptions of four eukaryotic RNA polymerase II promoter elements derived from 502 unrelated promoter sequences. J. Mol. Biol. 1990, 212, 563–578. [Google Scholar] [CrossRef]
- Muller, F.; Lakatos, L.; Dantonel, J.; Strähle, U.; Tora, L. TBP is not universally required for zygotic RNA polymerase II transcription in zebrafish. Curr. Biol. 2001, 11, 282–287. [Google Scholar] [CrossRef][Green Version]
- Martianov, I.; Viville, S.; Davidson, I. RNA polymerase II transcription in murine cells lacking the TATA binding protein. Science 2002, 298, 1036–1039. [Google Scholar] [CrossRef]
- Yang, M.Q.; Laflamme, K.; Gotea, V.; Joiner, C.H.; Seidel, N.E.; Wong, C.; Petrykowska, H.M.; Lichtenberg, J.; Lee, S.; Welch, L.; et al. Genome-wide detection of a TFIID localization element from an initial human disease mutation. Nucleic Acids Res. 2011, 39, 2175–2187. [Google Scholar] [CrossRef]
- Rhee, H.S.; Pugh, B.F. Genome-wide structure and organization of eukaryotic pre-initiation complexes. Nature 2012, 483, 295–301. [Google Scholar] [CrossRef]
- Mogno, I.; Vallania, F.; Mitra, R.D.; Cohen, B.A. TATA is a modular component of synthetic promoters. Genome Res. 2010, 20, 1391–1397. [Google Scholar] [CrossRef]
- Ponomarenko, M.; Mironova, V.; Gunbin, K.; Savinkova, L. Hogness Box. In Brenner’s Encyclopedia of Genetics, 2nd ed.; Maloy, S., Hughes, K., Eds.; Academic Press: San Diego, CA, USA, 2013; Volume 3, pp. 491–494. [Google Scholar]
- Joshi, C.P. An inspection of the domain between putative TATA box and translation start site in 79 plant genes. Nucleic Acids Res. 1987, 15, 6643–6653. [Google Scholar] [CrossRef]
- Ohno, S.; Yomo, T. Various regulatory sequences are deprived of their uniqueness by the universal rule of TA/CG deficiency and TG/CT excess. Proc. Natl. Acad. Sci. USA 1990, 87, 1218–1222. [Google Scholar] [CrossRef]
- Korkuc, P.; Schippers, J.H.; Walther, D. Characterization and identification of cis-regulatory elements in Arabidopsis based on single-nucleotide polymorphism information. Plant Physiol. 2014, 164, 181–200. [Google Scholar] [CrossRef]
- Srivastava, R.; Rai, K.M.; Srivastava, M.; Kumar, V.; Pandey, B.; Singh, S.P.; Bag, S.K.; Singh, B.D.; Tuli, R.; Sawant, S.V. Distinct role of core promoter architecture in regulation of light-mediated responses in plant genes. Mol. Plant 2014, 7, 626–641. [Google Scholar] [CrossRef]
- Hetzel, J.; Duttke, S.H.; Benner, C.; Chory, J. Nascent RNA sequencing reveals distinct features in plant transcription. Proc. Natl. Acad. Sci. USA 2016, 113, 12316–12321. [Google Scholar] [CrossRef]
- Lou, S.L.; Guo, X.; Liu, L.; Song, Y.; Zhang, L.; Jiang, Y.Z.; Zhang, L.S.; Sun, P.C.; Liu, B.; Tong, S.F.; et al. Allelic shift in cis-elements of the transcription factor RAP2.12 underlies adaptation associated with humidity in Arabidopsis thaliana. Sci. Adv. 2022, 8, eabn8281. [Google Scholar] [CrossRef]
- Le, N.T.; Harukawa, Y.; Miura, S.; Boer, D.; Kawabe, A.; Saze, H. Epigenetic regulation of spurious transcription initiation in Arabidopsis. Nat. Commun. 2020, 11, 3224. [Google Scholar] [CrossRef]
- Xiao, J.; Jin, R.; Yu, X.; Shen, M.; Wagner, J.D.; Pai, A.; Song, C.; Zhuang, M.; Klasfeld, S.; He, C.; et al. Cis and trans determinants of epigenetic silencing by Polycomb repressive complex 2 in Arabidopsis. Nat. Genet. 2017, 49, 1546–1552. [Google Scholar] [CrossRef]
- Yamamoto, Y.Y.; Yoshitsugu, T.; Sakurai, T.; Seki, M.; Shinozaki, K.; Obokata, J. Heterogeneity of Arabidopsis core promoters revealed by high-density TSS analysis. Plant J. 2009, 60, 350–362. [Google Scholar] [CrossRef]
- Zhu, P.; Schon, M.; Questa, J.; Nodine, M.; Dean, C. Causal role of a promoter polymorphism in natural variation of the Arabidopsis floral repressor gene FLC. Curr. Biol. 2023, 33, 4381–4391.e3. [Google Scholar] [CrossRef] [PubMed]
- Triska, M.; Solovyev, V.; Baranova, A.; Kel, A.; Tatarinova, T.V. Nucleotide patterns aiding in prediction of eukaryotic promoters. PLoS ONE 2017, 12, e0187243. [Google Scholar] [CrossRef] [PubMed]
- Rasskazov, D.; Chadaeva, I.; Sharypova, E.; Zolotareva, K.; Khandaev, B.; Ponomarenko, P.; Podkolodnyy, N.; Tverdokhleb, N.; Vishnevsky, O.; Bogomolov, A.; et al. Plant_SNP_TATA_Z-Tester: A Web service that unequivocally estimates the impact of proximal promoter mutations on plant gene expression. Int. J. Mol. Sci. 2022, 23, 8684. [Google Scholar] [CrossRef] [PubMed]
- Ponomarenko, P.; Savinkova, L.; Drachkova, I.; Lysova, M.; Arshinova, T.; Ponomarenko, M.; Kolchanov, N. A step-by-step model of TBP/TATA box binding allows predicting human hereditary diseases by single nucleotide polymorphism. Dokl. Biochem. Biophys. 2008, 419, 88–92. [Google Scholar] [CrossRef]
- Coleman, R.A.; Pugh, B.F. Evidence for functional binding and stable sliding of the TATA binding protein on nonspecific DNA. J. Biol. Chem. 1995, 270, 13850–13859. [Google Scholar] [CrossRef]
- Berg, O.G.; von Hippel, P.H. Selection of DNA binding sites by regulatory proteins. Statistical-mechanical theory and application to operators and promoters. J. Mol. Biol. 1987, 193, 723–750. [Google Scholar] [CrossRef]
- Flatters, D.; Lavery, R. Sequence-dependent dynamics of TATA-Box binding sites. Biophys. J. 1998, 75, 372–381. [Google Scholar] [CrossRef][Green Version]
- Delgadillo, R.; Whittington, J.; Parkhurst, L.; Parkhurst, L. The TBP core domain in solution variably bends TATA sequences via a three-step binding mechanism. Biochemistry 2009, 48, 1801–1809. [Google Scholar] [CrossRef]
- Vishnevsky, O.V.; Chadaeva, I.V.; Sharypova, E.B.; Khandaev, B.M.; Zolotareva, K.A.; Kazachek, A.V.; Ponomarenko, P.M.; Podkolodny, N.L.; Rasskazov, D.A.; Bogomolov, A.G.; et al. Promoters of genes encoding β-amylase, albumin and globulin in food plants have weaker affinity for TATA-binding protein as compared to non-food plants: In silico analysis. Vavilovskii Zhurnal Genet. Selektsii 2022, 26, 798–805. [Google Scholar]
- Contreras-Moreira, B.; Naamati, G.; Rosello, M.; Allen, J.E.; Hunt, S.E.; Muffato, M.; Gall, A.; Flicek, P. Scripting analyses of genomes in Ensembl Plants. Methods Mol. Biol. 2022, 2443, 27–55. [Google Scholar]
- Mukumoto, F.; Hirose, S.; Imaseki, H.; Yamazaki, K. DNA sequence requirement of a TATA element-binding protein from Arabidopsis for transcription in vitro. Plant Mol. Biol. 1993, 23, 95–1003. [Google Scholar] [CrossRef] [PubMed]
- Hahn, S.; Buratowski, S.; Sharp, P.; Guarente, L. Yeast TATA-binding protein TFIID binds to TATA elements with both consensus and nonconsensus DNA sequences. Proc. Natl. Acad. Sci. USA 1989, 86, 5718–5722. [Google Scholar] [CrossRef] [PubMed]
- Karas, H.; Knuppel, R.; Schulz, W.; Sklenar, H.; Wingender, E. Combining structural analysis of DNA with search routines for the detection of transcription regulatory elements. Comput. Appli. Biosci. 1996, 12, 441–446. [Google Scholar] [CrossRef] [PubMed][Green Version]
- Ponomarenko, M.P.; Ponomarenko, J.V.; Frolov, A.S.; Podkolodny, N.L.; Savinkova, L.K.; Kolchanov, N.A.; Overton, G.C. Identification of sequence-dependent features correlating to activity of DNA sites interacting with proteins. Bioinformatics 1999, 15, 687–703. [Google Scholar] [CrossRef]
- Waardenberg, A.; Basset, S.; Bouveret, R.; Harvey, R. CompGO: An R package for comparing and visualizing Gene Ontology enrichment differences between DNA binding experiments. BMC Bioinform. 2015, 16, 275. [Google Scholar] [CrossRef]
- Sayers, E.W.; Bolton, E.E.; Brister, J.R.; Canese, K.; Chan, J.; Comeau, D.C.; Farrell, C.M.; Feldgarden, M.; Fine, A.M.; Funk, K.; et al. Database resources of the National Center for Biotechnology Information in 2023. Nucleic Acids Res. 2023, 51, D29–D38. [Google Scholar] [CrossRef]
- Berardini, T.Z.; Reiser, L.; Li, D.; Mezheritsky, Y.; Muller, R.; Strait, E.; Huala, E. The Arabidopsis information resource: Making and mining the “gold standard” annotated reference plant genome. Genesis 2015, 53, 474–485. [Google Scholar] [CrossRef]
- Lu, Z. PubMed and beyond: A survey of web tools for searching biomedical literature. Database 2011, 2011, baq036. [Google Scholar] [CrossRef]
- Wojcikowska, B.; Gaj, M.D. Expression profiling of AUXIN RESPONSE FACTOR genes during somatic embryogenesis induction in Arabidopsis. Plant Cell Rep. 2017, 36, 843–858. [Google Scholar] [CrossRef]
- Xu, Z.; Li, F.; Li, M.; He, Y.; Chen, Y.; Hu, F. Functional analysis of ARF1 from Cymbidium goeringii in IAA response during leaf development. PeerJ 2022, 10, e13077. [Google Scholar] [CrossRef]
- Wu, M.F.; Tian, Q.; Reed, J.W. Arabidopsis microRNA167 controls patterns of ARF6 and ARF8 expression, and regulates both female and male reproduction. Development 2006, 133, 4211–4218. [Google Scholar] [CrossRef] [PubMed]
- Xia, Y.; Du, K.; Ling, A.; Wu, W.; Li, J.; Kang, X. Overexpression of PagSTOMAGEN, a positive regulator of stomatal density, promotes vegetative growth in poplar. Int. J. Mol. Sci. 2022, 23, 10165. [Google Scholar] [CrossRef] [PubMed]
- Nada, R.M.; Abo-Hegazy, S.E.; Budran, E.G.; Abogadallah, G.M. The interaction of genes controlling root traits is required for the developmental acquisition of deep and thick root traits and improving root architecture in response to low water or nitrogen content in rice (Oryza sativa L.) cultivars. Plant Physiol. Biochem. 2019, 141, 122–132. [Google Scholar] [CrossRef] [PubMed]
- Yang, J.; Tian, L.; Sun, M.X.; Huang, X.Y.; Zhu, J.; Guan, Y.F.; Jia, Q.S.; Yang, Z.N. AUXIN RESPONSE FACTOR17 is essential for pollen wall pattern formation in Arabidopsis. Plant Physiol. 2013, 162, 720–731. [Google Scholar] [CrossRef] [PubMed]
- Shi, Z.H.; Zhang, C.; Xu, X.F.; Zhu, J.; Zhou, Q.; Ma, L.J.; Niu, J.; Yang, Z.N. Overexpression of AtTTP affects ARF17 expression and leads to male sterility in Arabidopsis. PLoS ONE 2015, 10, e0117317. [Google Scholar] [CrossRef] [PubMed][Green Version]
- Jia, Y.; Kong, X.; Hu, K.; Cao, M.; Liu, J.; Ma, C.; Guo, S.; Yuan, X.; Zhao, S.; Robert, H.S.; et al. PIFs coordinate shade avoidance by inhibiting auxin repressor ARF18 and metabolic regulator QQS. New Phytol. 2020, 228, 609–621. [Google Scholar] [CrossRef] [PubMed]
- Okushima, Y.; Fukaki, H.; Onoda, M.; Theologis, A.; Tasaka, M. ARF7 and ARF19 regulate lateral root formation via direct activation of LBD/ASL genes in Arabidopsis. Plant Cell 2007, 19, 118–130. [Google Scholar] [CrossRef]
- Li, J.; Dai, X.; Zhao, Y. A role for auxin response factor 19 in auxin and ethylene signaling in Arabidopsis. Plant Physiol. 2006, 140, 899–908. [Google Scholar] [CrossRef]
- Zhao, D.; Jiao, J.; Du, B.; Liu, K.; Wang, C.; Ding, Y. Volatile organic compounds from Lysinibacillus macroides regulating the seedling growth of Arabidopsis thaliana. Physiol. Mol. Biol. Plants 2022, 28, 1997–2009. [Google Scholar] [CrossRef]
- Zuluaga, D.L.; Liuzzi, V.; Curci, P.L.; Sonnante, G. MicroRNAs in durum wheat seedlings under chronic and short-term nitrogen stress. Funct. Integr. Genom. 2018, 18, 645–657. [Google Scholar] [CrossRef]
- Chen, J.; Han, X.; Ye, S.; Liu, L.; Yang, B.; Cao, Y.; Zhuo, R.; Yao, X. Integration of small RNA, degradome, and transcriptome sequencing data illustrates the mechanism of low phosphorus adaptation in Camellia oleifera. Front. Plant Sci. 2022, 13, 932926. [Google Scholar] [CrossRef] [PubMed]
- Khan, S.; Stone, J.M. Arabidopsis thaliana GH3.9 in auxin and jasmonate cross talk. Plant Signal. Behav. 2007, 2, 483–485. [Google Scholar] [CrossRef] [PubMed]
- Taniguchi, M.; Nakamura, M.; Tasaka, M.; Morita, M.T. Identification of gravitropic response indicator genes in Arabidopsis inflorescence stems. Plant Signal. Behav. 2014, 9, e29570. [Google Scholar] [CrossRef] [PubMed]
- Lakehal, A.; Chaabouni, S.; Cavel, E.; Le Hir, R.; Ranjan, A.; Raneshan, Z.; Novak, O.; Pacurar, D.I.; Perrone, I.; Jobert, F.; et al. A molecular framework for the control of adventitious rooting by TIR1/AFB2-Aux/IAA-dependent auxin signaling in Arabidopsis. Mol. Plant 2019, 12, 1499–1514. [Google Scholar] [CrossRef]
- Arase, F.; Nishitani, H.; Egusa, M.; Nishimoto, N.; Sakurai, S.; Sakamoto, N.; Kaminaka, H. IAA8 involved in lateral root formation interacts with the TIR1 auxin receptor and ARF transcription factors in Arabidopsis. PLoS ONE 2012, 7, e43414. [Google Scholar] [CrossRef]
- Abe-Hara, C.; Yamada, K.; Wada, N.; Ueta, R.; Hashimoto, R.; Osakabe, K.; Osakabe, Y. Effects of the sliaa9 mutation on shoot elongation growth of tomato cultivars. Front. Plant Sci. 2021, 12, 627832. [Google Scholar] [CrossRef]
- Fujita, K.; Horiuchi, H.; Takato, H.; Kohno, M.; Suzuki, S. Auxin-responsive grape Aux/IAA9 regulates transgenic Arabidopsis plant growth. Mol. Biol. Rep. 2012, 39, 7823–7829. [Google Scholar] [CrossRef]
- Qin, Q.; Li, G.; Jin, L.; Huang, Y.; Wang, Y.; Wei, C.; Xu, Z.; Yang, Z.; Wang, H.; Li, Y. Auxin response factors (ARFs) differentially regulate rice antiviral immune response against rice dwarf virus. PLoS Pathog. 2020, 16, e1009118. [Google Scholar] [CrossRef]
- Estrella-Maldonado, H.; Chan-Leon, A.; Fuentes, G.; Giron-Ramirez, A.; Desjardins, Y.; Santamaria, J.M. The interaction between exogenous IBA with sucrose, light and ventilation alters the expression of ARFs and Aux/IAA genes in Carica papaya plantlets. Plant Mol. Biol. 2022, 110, 107–130. [Google Scholar] [CrossRef]
- Mielecki, J.; Gawronski, P.; Karpinski, S. Aux/IAA11 is required for UV-AB tolerance and auxin sensing in Arabidopsis thaliana. Int. J. Mol. Sci. 2022, 23, 13386. [Google Scholar] [CrossRef]
- Falkenberg, B.; Witt, I.; Zanor, M.I.; Steinhauser, D.; Mueller-Roeber, B.; Hesse, H.; Hoefgen, R. Transcription factors relevant to auxin signalling coordinate broad-spectrum metabolic shifts including sulphur metabolism. J. Exp. Bot. 2008, 59, 2831–2846. [Google Scholar] [CrossRef] [PubMed]
- Padmanabhan, M.S.; Shiferaw, H.; Culver, J.N. The Tobacco mosaic virus replicase protein disrupts the localization and function of interacting Aux/IAA proteins. Mol. Plant Microbe Interact. 2006, 19, 864–873. [Google Scholar] [CrossRef] [PubMed]
- Kohno, M.; Takato, H.; Horiuchi, H.; Fujita, K.; Suzuki, S. Auxin-nonresponsive grape Aux/IAA19 is a positive regulator of plant growth. Mol. Biol. Rep. 2012, 39, 911–917. [Google Scholar] [CrossRef]
- Akkasaeng, C.; Tantisuwichwong, N.; Chairam, I.; Prakrongrak, N.; Jogloy, S.; Pathanothai, A. Isolation and identification of peanut leaf proteins regulated by water stress. Pak. J. Biol. Sci. 2007, 10, 1611–1617. [Google Scholar] [CrossRef] [PubMed][Green Version]
- Siena, L.A.; Azzaro, C.A.; Podio, M.; Stein, J.; Leblanc, O.; Pessino, S.C.; Ortiz, J.P.A. The auxin-response repressor IAA30 is downregulated in reproductive tissues of apomictic Paspalum notatum. Plants 2022, 11, 1472. [Google Scholar] [CrossRef]
- Park, J.; Kim, Y.S.; Kim, S.G.; Jung, J.H.; Woo, J.C.; Park, C.M. Integration of auxin and salt signals by the NAC transcription factor NTM2 during seed germination in Arabidopsis. Plant Physiol. 2011, 156, 537–549. [Google Scholar] [CrossRef]
- Cao, M.; Chen, R.; Li, P.; Yu, Y.; Zheng, R.; Ge, D.; Zheng, W.; Wang, X.; Gu, Y.; Gelova, Z.; et al. TMK1-mediated auxin signalling regulates differential growth of the apical hook. Nature 2019, 568, 240–243. [Google Scholar] [CrossRef]
- Chen, K.; Qu, C.; Zhang, X.Y.; Wang, W.; Gu, C.R.; Liu, G.F.; Yu, Q.B.; Yang, C.P.; Jiang, J. Molecular mechanism of leaf adaxial upward curling caused by BpPIN3 suppression in Betula pendula. Front. Plant Sci. 2022, 13, 1060228. [Google Scholar] [CrossRef]
- Spartz, A.K.; Lee, S.H.; Wenger, J.P.; Gonzalez, N.; Itoh, H.; Inze, D.; Peer, W.A.; Murphy, A.S.; Overvoorde, P.J.; Gray, W.M. The SAUR19 subfamily of SMALL AUXIN UP RNA genes promote cell expansion. Plant J. 2012, 70, 978–990. [Google Scholar] [CrossRef]
- Wang, Z.; Yang, L.; Liu, Z.; Lu, M.; Wang, M.; Sun, Q.; Lan, Y.; Shi, T.; Wu, D.; Hua, J. Natural variations of growth thermo-responsiveness determined by SAUR26/27/28 proteins in Arabidopsis thaliana. New Phytol. 2019, 224, 291–305. [Google Scholar] [CrossRef]
- Howlader, J.; Robin, A.H.K.; Natarajan, S.; Biswas, M.K.; Sumi, K.R.; Song, C.Y.; Park, J.I.; Nou, I.S. Transcriptome analysis by RNA-Seq reveals genes related to plant height in two sets of parent-hybrid combinations in Easter lily (Lilium longiflorum). Sci. Rep. 2020, 10, 9082. [Google Scholar] [CrossRef] [PubMed]
- Chae, K.; Isaacs, C.G.; Reeves, P.H.; Maloney, G.S.; Muday, G.K.; Nagpal, P.; Reed, J.W. Arabidopsis SMALL AUXIN UP RNA63 promotes hypocotyl and stamen filament elongation. Plant J. 2012, 71, 684–697. [Google Scholar] [CrossRef] [PubMed]
- He, S.L.; Hsieh, H.L.; Jauh, G.Y. SMALL AUXIN UP RNA62/75 are required for the translation of transcripts essential for pollen tube growth. Plant Physiol. 2018, 178, 626–640. [Google Scholar] [CrossRef] [PubMed]
- Zhao, P.; Zhang, J.; Chen, S.; Zhang, Z.; Wan, G.; Mao, J.; Wang, Z.; Tan, S.; Xiang, C. ERF1 inhibits lateral root emergence by promoting local auxin accumulation and repressing ARF7 expression. Cell Rep. 2023, 42, 112565. [Google Scholar] [CrossRef]
- Hu, L.Q.; Chang, J.H.; Yu, S.X.; Jiang, Y.T.; Li, R.H.; Zheng, J.X.; Zhang, Y.J.; Xue, H.W.; Lin, W.H. PIN3 positively regulates the late initiation of ovule primordia in Arabidopsis thaliana. PLoS Genet. 2022, 18, e1010077. [Google Scholar] [CrossRef]
- Mira, M.M.; Huang, S.; Kapoor, K.; Hammond, C.; Hill, R.D.; Stasolla, C. Expression of Arabidopsis class 1 phytoglobin (AtPgb1) delays death and degradation of the root apical meristem during severe PEG-induced water deficit. J. Exp. Bot. 2017, 68, 5653–5668. [Google Scholar] [CrossRef]
- Waldie, T.; Leyser, O. Cytokinin targets auxin transport to promote shoot branching. Plant Physiol. 2018, 177, 803–818. [Google Scholar] [CrossRef]
- Di Mambro, R.; Svolacchia, N.; Dello Ioio, R.; Pierdonati, E.; Salvi, E.; Pedrazzini, E.; Vitale, A.; Perilli, S.; Sozzani, R.; Benfey, P.N.; et al. The Lateral Root Cap Acts as an auxin sink that controls meristem size. Curr. Biol. 2019, 29, 1199–1205.e4. [Google Scholar] [CrossRef]
- Roychoudhry, S.; Sageman-Furnas, K.; Wolverton, C.; Grones, P.; Tan, S.; Molnar, G.; De Angelis, M.; Goodman, H.L.; Capstaff, N.; Lloyd, J.P.B.; et al. Antigravitropic PIN polarization maintains non-vertical growth in lateral roots. Nat. Plants 2023, 9, 1500–1513. [Google Scholar] [CrossRef]
- Schroeder, M.M.; Gomez, M.Y.; McLain, N.; Gachomo, E.W. Bradyrhizobium japonicum IRAT FA3 alters Arabidopsis thaliana root architecture via regulation of auxin efflux transporters PIN2, PIN3, PIN7, and ABCB19. Mol. Plant Microbe Interact. 2022, 35, 215–229. [Google Scholar] [CrossRef]
- Dal Bosco, C.; Dovzhenko, A.; Liu, X.; Woerner, N.; Rensch, T.; Eismann, M.; Eimer, S.; Hegermann, J.; Paponov, I.A.; Ruperti, B.; et al. The endoplasmic reticulum localized PIN8 is a pollen-specific auxin carrier involved in intracellular auxin homeostasis. Plant J. 2012, 71, 860–870. [Google Scholar] [CrossRef] [PubMed]
- Wang, Y.; Weng, J.; Zhu, C.; Ai, R.; Zhou, J.; Wang, C.; Chen, Q.; Fu, L. Allergenicity assessment and allergen profile analysis of different Chinese wheat cultivars. World Allergy Organ. J. 2021, 14, 100559. [Google Scholar] [CrossRef] [PubMed]
- Shaikhali, J.; de Dios Barajas-Lopez, J.; Otvos, K.; Kremnev, D.; Garcia, A.S.; Srivastava, V.; Wingsle, G.; Bako, L.; Strand, A. The CRYPTOCHROME1-dependent response to excess light is mediated through the transcriptional activators ZINC FINGER PROTEIN EXPRESSED IN INFLORESCENCE MERISTEM LIKE1 and ZML2 in Arabidopsis. Plant Cell 2012, 24, 3009–3025. [Google Scholar] [CrossRef] [PubMed]
- Duan, Z.; Zhang, Y.; Tu, J.; Shen, J.; Yi, B.; Fu, T.; Dai, C.; Ma, C. The Brassica napus GATA transcription factor BnA5.ZML1 is a stigma compatibility factor. J. Integr. Plant Biol. 2020, 62, 1112–1131. [Google Scholar] [CrossRef] [PubMed]
- Velez-Bermudez, I.C.; Salazar-Henao, J.E.; Fornale, S.; Lopez-Vidriero, I.; Franco-Zorrilla, J.M.; Grotewold, E.; Gray, J.; Solano, R.; Schmidt, W.; Pages, M.; et al. A MYB/ZML complex regulates wound-induced lignin genes in maize. Plant Cell 2015, 27, 3245–3259. [Google Scholar] [CrossRef]
- Kim, Y.S.; Kim, S.G.; Lee, M.; Lee, I.; Park, H.Y.; Seo, P.J.; Jung, J.H.; Kwon, E.J.; Suh, S.W.; Paek, K.H.; et al. HD-ZIP III activity is modulated by competitive inhibitors via a feedback loop in Arabidopsis shoot apical meristem development. Plant Cell 2008, 20, 920–933. [Google Scholar] [CrossRef]
- Somers, D.E.; Kim, W.Y.; Geng, R. The F-box protein ZEITLUPE confers dosage-dependent control on the circadian clock, photomorphogenesis, and flowering time. Plant Cell 2004, 16, 769–782. [Google Scholar] [CrossRef]
- Verma, A.; Lee, C.; Morriss, S.; Odu, F.; Kenning, C.; Rizzo, N.; Spollen, W.G.; Lin, M.; McRae, A.G.; Givan, S.A.; et al. The novel cyst nematode effector protein 30D08 targets host nuclear functions to alter gene expression in feeding sites. New Phytol. 2018, 219, 697–713. [Google Scholar] [CrossRef]
- Higgins, J.D.; Sanchez-Moran, E.; Armstrong, S.J.; Jones, G.H.; Franklin, F.C. The Arabidopsis synaptonemal complex protein ZYP1 is required for chromosome synapsis and normal fidelity of crossing over. Genes Dev. 2005, 19, 2488–2500. [Google Scholar] [CrossRef]
- Vallarino, J.G.; Merchante, C.; Sanchez-Sevilla, J.F.; de Luis Balaguer, M.A.; Pott, D.M.; Ariza, M.T.; Casanal, A.; Pose, D.; Vioque, A.; Amaya, I.; et al. Characterizing the involvement of FaMADS9 in the regulation of strawberry fruit receptacle development. Plant Biotechnol. J. 2020, 18, 929–943. [Google Scholar] [CrossRef]
- Xie, W.; Huang, J.; Liu, Y.; Rao, J.; Luo, D.; He, M. Exploring potential new floral organ morphogenesis genes of Arabidopsis thaliana using systems biology approach. Front. Plant Sci. 2015, 6, 829. [Google Scholar] [CrossRef] [PubMed]
- Dinkins, R.; Pflipsen, C.; Thompson, A.; Collins, G.B. Ectopic expression of an Arabidopsis single zinc finger gene in tobacco results in dwarf plants. Plant Cell Physiol. 2002, 43, 743–750. [Google Scholar] [CrossRef] [PubMed]
- Tavva, V.S.; Palli, S.R.; Dinkins, R.D.; Collins, G.B. Applications of EcR gene switch technology in functional genomics. Arch. Insect. Biochem. Physiol. 2007, 65, 164–179. [Google Scholar] [CrossRef] [PubMed]
- Cai, S.; Lashbrook, C.C. Stamen abscission zone transcriptome profiling reveals new candidates for abscission control: Enhanced retention of floral organs in transgenic plants overexpressing Arabidopsis ZINC FINGER PROTEIN2. Plant Physiol. 2008, 146, 1305–1321. [Google Scholar] [CrossRef] [PubMed]
- Joseph, M.P.; Papdi, C.; Kozma-Bognar, L.; Nagy, I.; Lopez-Carbonell, M.; Rigo, G.; Koncz, C.; Szabados, L. The Arabidopsis ZINC FINGER PROTEIN3 interferes with abscisic acid and light signaling in seed germination and plant development. Plant Physiol. 2014, 165, 1203–1220. [Google Scholar] [CrossRef] [PubMed]
- Zhou, Z.; An, L.; Sun, L.; Zhu, S.; Xi, W.; Broun, P.; Yu, H.; Gan, Y. Zinc finger protein5 is required for the control of trichome initiation by acting upstream of zinc finger protein8 in Arabidopsis. Plant Physiol. 2011, 157, 673–682. [Google Scholar] [CrossRef] [PubMed]
- Gan, Y.; Liu, C.; Yu, H.; Broun, P. Integration of cytokinin and gibberellin signalling by Arabidopsis transcription factors GIS, ZFP8 and GIS2 in the regulation of epidermal cell fate. Development 2007, 134, 2073–2081. [Google Scholar] [CrossRef] [PubMed]
- Haydon, M.J.; Cobbett, C.S. A novel major facilitator superfamily protein at the tonoplast influences zinc tolerance and accumulation in Arabidopsis. Plant Physiol. 2007, 143, 1705–1719. [Google Scholar] [CrossRef]
- Lee, S.; Ricachenevsky, F.K.; Punshon, T. Functional overlap of two major facilitator superfamily transporter, ZIF1, and ZIFL1 in zinc and iron homeostasis. Biochem. Biophys. Res. Commun. 2021, 560, 7–13. [Google Scholar] [CrossRef]
- Remy, E.; Cabrito, T.R.; Batista, R.A.; Teixeira, M.C.; Sa-Correia, I.; Duque, P. The major facilitator superfamily transporter ZIFL2 modulates cesium and potassium homeostasis in Arabidopsis. Plant Cell Physiol. 2015, 56, 148–162. [Google Scholar] [CrossRef][Green Version]
- Wu, C.Q.; Hu, H.H.; Zeng, Y.; Liang, D.C.; Xie, K.B.; Zhang, J.W.; Chu, Z.H.; Xiong, L.Z. Identification of novel stress-responsive transcription factor genes in rice by cDNA array analysis. J. Integr. Plant Biol. 2006, 48, 1216–1224. [Google Scholar] [CrossRef]
- Kawachi, M.; Kobae, Y.; Mori, H.; Tomioka, R.; Lee, Y.; Maeshima, M. A mutant strain Arabidopsis thaliana that lacks vacuolar membrane zinc transporter MTP1 revealed the latent tolerance to excessive zinc. Plant Cell Physiol. 2009, 50, 1156–1170. [Google Scholar] [CrossRef] [PubMed]
- Maathuis, F.J. The role of monovalent cation transporters in plant responses to salinity. J. Exp. Bot. 2006, 57, 1137–1147. [Google Scholar] [CrossRef] [PubMed]
- Zhao, Y.N.; Li, C.; Li, H.; Liu, X.S.; Yang, Z.M. OsZIP11 is a trans-Golgi-residing transporter required for rice iron accumulation and development. Gene 2022, 836, 146678. [Google Scholar] [CrossRef] [PubMed]
- Henriques, R.; Jasik, J.; Klein, M.; Martinoia, E.; Feller, U.; Schell, J.; Pais, M.S.; Koncz, C. Knock-out of Arabidopsis metal transporter gene IRT1 results in iron deficiency accompanied by cell differentiation defects. Plant Mol. Biol. 2002, 50, 587–597. [Google Scholar] [CrossRef] [PubMed]
- Niihama, M.; Takemoto, N.; Hashiguchi, Y.; Tasaka, M.; Morita, M.T. ZIP genes encode proteins involved in membrane trafficking of the TGN-PVC/vacuoles. Plant Cell Physiol. 2009, 50, 2057–2068. [Google Scholar] [CrossRef] [PubMed]
- Wu, J.; Zhao, F.J.; Ghandilyan, A.; Logoteta, B.; Olortegui Guzman, M.; Schat, H.; Wang, X.; Aarts, M.G.M. Identification and functional analysis of two ZIP metal transporters of the hyperaccumulator Thlaspi caerulescens. Plant Soil 2009, 325, 79–95. [Google Scholar] [CrossRef]
- Lee, S.; Lee, J.; Ricachenevsky, F.K.; Punshon, T.; Tappero, R.; Salt, D.E.; Guerinot, M.L. Redundant roles of four ZIP family members in zinc homeostasis and seed development in Arabidopsis thaliana. Plant J. 2021, 108, 1162–1173. [Google Scholar] [CrossRef]
- Kilambi, H.V.; Kumar, R.; Sharma, R.; Sreelakshmi, Y. Chromoplast-specific carotenoid-associated protein appears to be important for enhanced accumulation of carotenoids in hp1 tomato fruits. Plant Physiol. 2013, 161, 2085–2101. [Google Scholar] [CrossRef]
- Luo, J.; Tang, S.; Peng, X.; Yan, X.; Zeng, X.; Li, J.; Li, X.; Wu, G. Elucidation of cross-talk and specificity of early response mechanisms to salt and PEG-simulated drought stresses in Brassica napus using comparative proteomic analysis. PLoS ONE 2015, 10, e0138974. [Google Scholar] [CrossRef]
- Trentmann, S.M.; Kende, H. Analysis of Arabidopsis cDNA that shows homology to the tomato E8 cDNA. Plant Mol. Biol. 1995, 29, 161–166. [Google Scholar] [CrossRef] [PubMed]
- Awad, J.; Stotz, H.U.; Fekete, A.; Krischke, M.; Engert, C.; Havaux, M.; Berger, S.; Mueller, M.J. 2-cysteine peroxiredoxins and thylakoid ascorbate peroxidase create a water-water cycle that is essential to protect the photosynthetic apparatus under high light stress conditions. Plant Physiol. 2015, 167, 1592–1603. [Google Scholar] [CrossRef] [PubMed]
- Kriechbaumer, V.; Maneta-Peyret, L.; Fouillen, L.; Botchway, S.W.; Upson, J.; Hughes, L.; Richardson, J.; Kittelmann, M.; Moreau, P.; Hawes, C. The odd one out: Arabidopsis reticulon 20 does not bend ER membranes but has a role in lipid regulation. Sci. Rep. 2018, 8, 2310. [Google Scholar] [CrossRef] [PubMed]
- Wang, S.; Xue, M.; He, C.; Shen, D.; Jiang, C.; Zhao, H.; Niu, D. AtMC1 associates with Lsm4 to regulate plant immunity through modulating pre-mRNA splicing. Mol. Plant Microbe Interact. 2021, 34, 1423–1432. [Google Scholar] [CrossRef] [PubMed]
- Raza, A.; Su, W.; Hussain, M.A.; Mehmood, S.S.; Zhang, X.; Cheng, Y.; Zou, X.; Lv, Y. Integrated analysis of metabolome and transcriptome reveals insights for cold tolerance in rapeseed (Brassica napus L.). Front. Plant Sci. 2021, 12, 721681. [Google Scholar] [CrossRef] [PubMed]
- Eudes, A.; Teixeira Benites, V.; Wang, G.; Baidoo, E.E.; Lee, T.S.; Keasling, J.D.; Loque, D. Precursor-directed combinatorial biosynthesis of cinnamoyl, dihydrocinnamoyl, and benzoyl anthranilates in Saccharomyces cerevisiae. PLoS ONE 2015, 10, e0138972. [Google Scholar] [CrossRef] [PubMed]
- Soubeyrand, E.; Kelly, M.; Keene, S.A.; Bernert, A.C.; Latimer, S.; Johnson, T.S.; Elowsky, C.; Colquhoun, T.A.; Block, A.K.; Basset, G.J. Arabidopsis 4-COUMAROYL-COA LIGASE 8 contributes to the biosynthesis of the benzenoid ring of coenzyme Q in peroxisomes. Biochem. J. 2019, 476, 3521–3532. [Google Scholar] [CrossRef]
- Goyer, A.; Collakova, E.; Diaz de la Garza, R.; Quinlivan, E.P.; Williamson, J.; Gregory, J.F., III; Shachar-Hill, Y.; Hanson, A.D. 5-Formyltetrahydrofolate is an inhibitory but well tolerated metabolite in Arabidopsis leaves. J. Biol. Chem. 2005, 280, 26137–26142. [Google Scholar] [CrossRef]
- Ercetin, M.E.; Ananieva, E.A.; Safaee, N.M.; Torabinejad, J.; Robinson, J.Y.; Gillaspy, G.E. A phosphatidylinositol phosphate-specific myo-inositol polyphosphate 5-phosphatase required for seedling growth. Plant Mol. Biol. 2008, 67, 375–388. [Google Scholar] [CrossRef]
- Ercetin, M.E.; Gillaspy, G.E. Molecular characterization of an Arabidopsis gene encoding a phospholipid-specific inositol polyphosphate 5-phosphatase. Plant Physiol. 2004, 135, 938–946. [Google Scholar] [CrossRef]
- Wang, Y.; Lin, W.H.; Chen, X.; Xue, H.W. The role of Arabidopsis 5PTase13 in root gravitropism through modulation of vesicle trafficking. Cell Res. 2009, 19, 1191–1204. [Google Scholar] [CrossRef] [PubMed]
- Ananieva, E.A.; Gillaspy, G.E.; Ely, A.; Burnette, R.N.; Erickson, F.L. Interaction of the WD40 domain of a myoinositol polyphosphate 5-phosphatase with SnRK1 links inositol, sugar, and stress signaling. Plant Physiol. 2008, 148, 1868–1882. [Google Scholar] [CrossRef] [PubMed]
- Chadaeva, I.; Ponomarenko, P.; Kozhemyakina, R.; Suslov, V.; Bogomolov, A.; Klimova, N.; Shikhevich, S.; Savinkova, L.; Oshchepkov, D.; Kolchanov, N.A.; et al. Domestication explains two-thirds of differential-gene-expression variance between domestic and wild animals; the remaining one-third reflects intraspecific and interspecific variation. Animals 2021, 11, 2667. [Google Scholar] [CrossRef] [PubMed]
- Jores, T.; Tonnies, J.; Wrightsman, T.; Buckler, E.S.; Cuperus, J.T.; Fields, S.; Queitsch, C. Synthetic promoter designs enabled by a comprehensive analysis of plant core promoters. Nat. Plants 2021, 7, 842–855. [Google Scholar] [CrossRef]
- Kasowski, M.; Grubert, F.; Heffelfinger, C.; Hariharan, M.; Asabere, A.; Waszak, S.; Habegger, L.; Rozowsky, J.; Shi, M.; Urban, A.; et al. Variation in transcription factor binding among humans. Science 2010, 328, 232–235. [Google Scholar] [CrossRef]
- 1000 Genomes Project Consortium; Abecasis, G.; Auton, A.; Brooks, L.; DePristo, M.; Durbin, R.; Handsaker, R.; Kang, H.; Marth, G.; McVean, G.; et al. An integrated map of genetic variation from 1.092 human genomes. Nature 2012, 491, 56–65. [Google Scholar]
- Stajich, J.E.; Block, D.; Boulez, K.; Brenner, S.E.; Chervitz, S.A.; Dagdigian, C.; Fuellen, G.; Gilbert, J.G.; Korf, I.; Lapp, H.; et al. The Bioperl toolkit: Perl modules for the life sciences. Genom. Res. 2002, 12, 1611–1618. [Google Scholar] [CrossRef]
- Blackmore, C.C.; Richardson, M.L.; Linnau, K.F.; Schwed, A.M.; Lomoschitz, F.M.; Escobedo, E.M.; Hunter, J.C.; Jurkovich, G.J.; Cummings, P. Web-based image review and data acquisition for multiinstitutional research. AJR Am. J. Roentgenol. 2003, 180, 1243–1246. [Google Scholar] [CrossRef]






| # | Indicator | Result |
|---|---|---|
| Genome-wide analysis in silico: | ||
| 1 | Total number of the Arabidopsis thaliana genes documented in the Ensembl Plants database [31] and, thus, taken into account | 32,833 (100%) |
| 2 | Total number of the Arabidopsis thaliana protein-coding genes, which were selected for further analysis | 27,628 (80.04%) |
| 3 | Total number of the transcripts from the Arabidopsis thaliana genes taken into account | 54,013 (100%) |
| 4 | Total number of the protein-coding transcripts selected from the above amount of the Arabidopsis thaliana transcripts, which were selected for further analysis | 48,321 (89.46%) |
| 5 | Total number of the nucleotide substitutions (SNPs) localized in the proximal region of 90 bp in length just before TSS for the analyzed transcripts | 871,707 (100%) |
| 6 | Total number of candidate SNP markers having significant changes in the TBP binding affinity identified in this work | 54,993 (6.31%) |
| 7 | Total number of candidate SNP markers that down-regulated gene expression | 27,568 (3.16%) |
| 8 | Total number of candidate SNP markers that up-regulated gene expression | 27,425 (3.15%) |
| 9 | Total number of A. thaliana genes whose expression may be significantly altered by the promoter proximal SNPs changing the TBP binding affinity | 18,636 (56.78%) |
| 10 | The arithmetic mean estimate and its standard error rate of the equilibrium dissociation constant (KD) expressed in nanomoles per liter (nM) of the complexes between the TBP and only the ancestral alleles of the promoters of the Arabidopsis thaliana genes (Mean ± SEM) | 3.96 ± 0.01 nM |
| 11 | The arithmetic mean estimate and its standard error rate of the same KD-values in the case of only the minor alleles of the Arabidopsis thaliana promoters | 4.07 ± 0.01 nM |
| 12 | Statistical significance of the difference between ancestral and minor alleles of the Arabidopsis thaliana promoters examined by the arithmetic mean of the KD-values in question according to the following: | |
| 8.07 (10−7) | |
| 7.78 (10−2) | |
| 13 | The standard deviation of the same KD-values in the case of only the ancestral alleles of the Arabidopsis thaliana promoters | 1.95 nM |
| 14 | The standard deviation of the same KD-values in the case of only the minor alleles of the Arabidopsis thaliana promoters | 1.90 nM |
| 15 | Significance of the difference between ancestral and minor alleles of the A. thaliana promoters studied by the standard deviation of the KD-values by means of Fisher’s F-test and F-score (PADJ) | 1.06 (10−2) |
| 16 | Statistical significance of the difference between ancestral and minor alleles of the Arabidopsis thaliana promoters examined as the difference between the distributions of the KD-values according to the following: | |
| 298.17 (10−9) | |
| 0.04 (10−9) | |
| 17 | Total number of the Arabidopsis thaliana protein-coding genes whose SNP-related expression changes were hand annotated (Supplementary Materials: Table S1) | 109 |
| 18 | Total number of the plant benefits annotated within this work | 173 |
| 19 | Total number of the plant species whose gene expression changes were taken into account within the framework of our hand-curated annotation | 17 |
| 20 | Total number of the original articles on experimental observations of benefits from gene expression alterations cited in this work | 83 |
| 21 | Total number of the proximal promoter SNPs, which can statistically significantly alter expression of the Arabidopsis thaliana genes and their paralogs annotated within this work | 2426 |
Disclaimer/Publisher’s Note: The statements, opinions and data contained in all publications are solely those of the individual author(s) and contributor(s) and not of MDPI and/or the editor(s). MDPI and/or the editor(s) disclaim responsibility for any injury to people or property resulting from any ideas, methods, instructions or products referred to in the content. |
© 2024 by the authors. Licensee MDPI, Basel, Switzerland. This article is an open access article distributed under the terms and conditions of the Creative Commons Attribution (CC BY) license (https://creativecommons.org/licenses/by/4.0/).
Share and Cite
Bogomolov, A.; Zolotareva, K.; Filonov, S.; Chadaeva, I.; Rasskazov, D.; Sharypova, E.; Podkolodnyy, N.; Ponomarenko, P.; Savinkova, L.; Tverdokhleb, N.; et al. AtSNP_TATAdb: Candidate Molecular Markers of Plant Advantages Related to Single Nucleotide Polymorphisms within Proximal Promoters of Arabidopsis thaliana L. Int. J. Mol. Sci. 2024, 25, 607. https://doi.org/10.3390/ijms25010607
Bogomolov A, Zolotareva K, Filonov S, Chadaeva I, Rasskazov D, Sharypova E, Podkolodnyy N, Ponomarenko P, Savinkova L, Tverdokhleb N, et al. AtSNP_TATAdb: Candidate Molecular Markers of Plant Advantages Related to Single Nucleotide Polymorphisms within Proximal Promoters of Arabidopsis thaliana L. International Journal of Molecular Sciences. 2024; 25(1):607. https://doi.org/10.3390/ijms25010607
Chicago/Turabian StyleBogomolov, Anton, Karina Zolotareva, Sergey Filonov, Irina Chadaeva, Dmitry Rasskazov, Ekaterina Sharypova, Nikolay Podkolodnyy, Petr Ponomarenko, Ludmila Savinkova, Natalya Tverdokhleb, and et al. 2024. "AtSNP_TATAdb: Candidate Molecular Markers of Plant Advantages Related to Single Nucleotide Polymorphisms within Proximal Promoters of Arabidopsis thaliana L." International Journal of Molecular Sciences 25, no. 1: 607. https://doi.org/10.3390/ijms25010607
APA StyleBogomolov, A., Zolotareva, K., Filonov, S., Chadaeva, I., Rasskazov, D., Sharypova, E., Podkolodnyy, N., Ponomarenko, P., Savinkova, L., Tverdokhleb, N., Khandaev, B., Kondratyuk, E., Podkolodnaya, O., Zemlyanskaya, E., Kolchanov, N. A., & Ponomarenko, M. (2024). AtSNP_TATAdb: Candidate Molecular Markers of Plant Advantages Related to Single Nucleotide Polymorphisms within Proximal Promoters of Arabidopsis thaliana L. International Journal of Molecular Sciences, 25(1), 607. https://doi.org/10.3390/ijms25010607

