Unraveling the Host Genetic Background Effect on Internal Organ Weight Influenced by Obesity and Diabetes Using Collaborative Cross Mice
Abstract
:1. Introduction
2. Results
2.1. Variation of Glucose Clearance between Different CC Lines Affected by Diet and Sex
2.2. Variation in Body Weight Change among Different CC Lines Induced by HFD
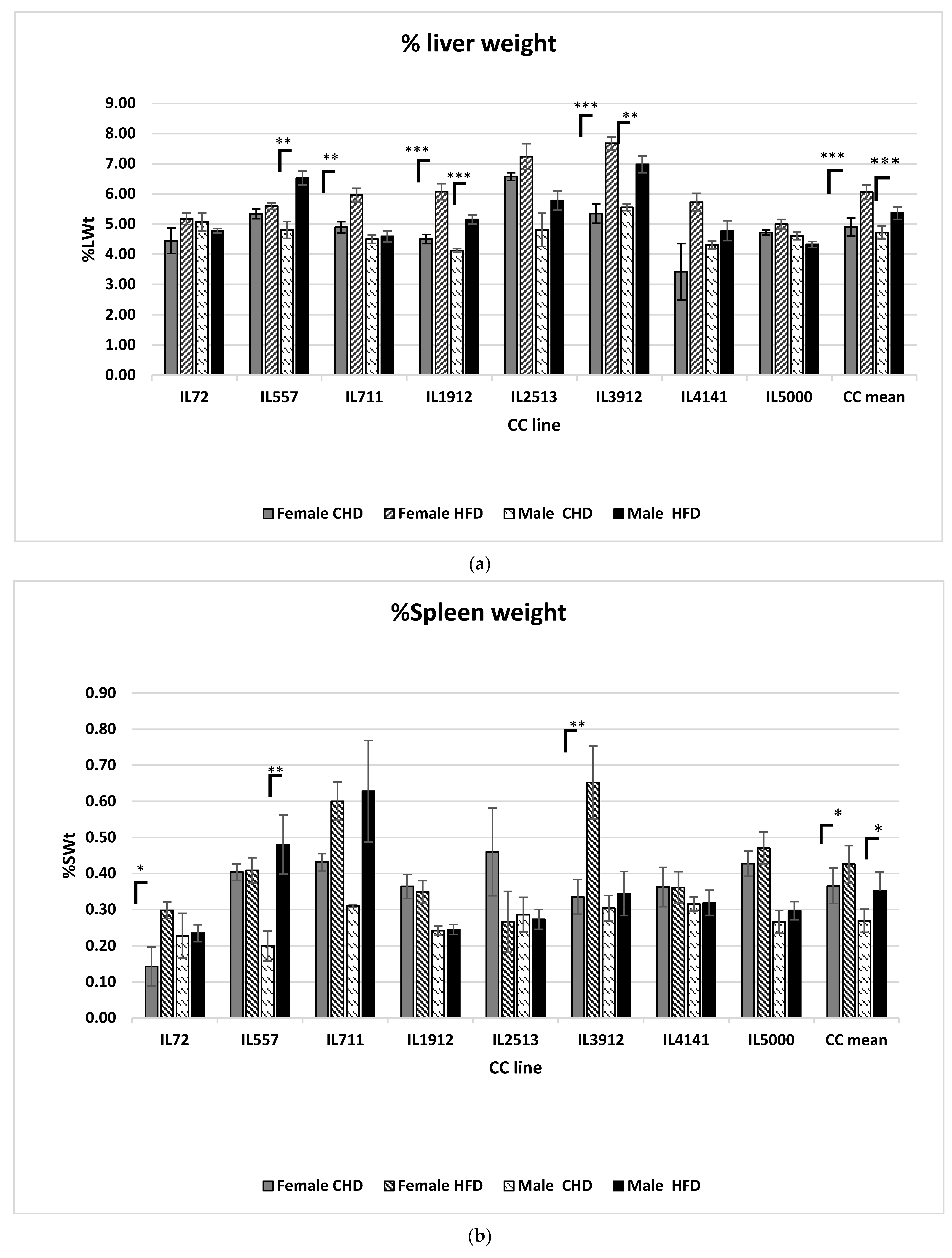
2.3. Diet Effect on Organ Weight among Different CC Lines
2.4. Effect of Diet on Organ Weight Changes in Proportion to Body Weight Changes
2.5. Heritability and Genetic Coefficient of Variation
2.6. Heatmaps
2.7. Classification and Regression Models
2.8. Regression–Liver, Spleen, and Heart
3. Discussion
4. Methods and Material
4.1. Ethical Aspects of the Project
4.2. Study Cohort
4.3. Study Design
4.4. Dietary Challenge
4.5. Intraperitoneal Glucose Tolerance Test (IPGTT)
4.6. Tissue Collection
4.7. Area under the Curve (AUC)
4.8. Organ Weight in Proportion to Body Weight
4.9. Effect of HFD on Change in Organ Weight in Proportion to Changes in Body Weight
4.10. Heritability and Genetic Coefficient of Variation
4.11. Classification Models
4.12. Model Validation
4.13. Regression Models
5. Conclusions
Supplementary Materials
Author Contributions
Funding
Institutional Review Board Statement
Informed Consent Statement
Data Availability Statement
Conflicts of Interest
Abbreviations
| T2DM | Type 2 diabetes mellitus |
| IDF | International Diabetes Federation |
| CC | Collaborative Cross mice |
| CHD | Chow diet |
| HFD | High-fat diet |
| T2D | Type 2 diabetes |
| WHO | World Health Organization |
| SFA | Saturated fatty acids |
| GRP | Genetic reference population |
| ML | Machine learning |
| IACUC | Institutional Animal Care and Use Committee |
| IPGTT | Intraperitoneal glucose tolerance test |
| IP | Intraperitoneal |
| AUC | Area under the curve |
| CVg | Genetic coefficient of variation |
| SD | Standard deviation |
| DT | Decision tree |
| RF | Random forest |
| KNN | k-nearest neighbor |
| BN | Bayesian network |
| NASH | Non-alcoholic steatohepatitis |
| QTL | Quantitative trait loci |
References
- Lone, I.M.; Iraqi, F.A. Genetics of murine type 2 diabetes and comorbidities. Mamm. Genome 2022, 33, 421–436. [Google Scholar] [CrossRef]
- Saeedi, P.; Petersohn, I.; Salpea, P.; Malanda, B.; Karuranga, S.; Unwin, N.; Colagiuri, S.; Guariguata, L.; Motala, A.A.; Ogurtsova, K.; et al. Global and regional diabetes prevalence estimates for 2019 and projections for 2030 and 2045: Results from the International Diabetes Federation Diabetes Atlas, 9th edition. Diabetes Res. Clin. Pract. 2019, 157, 107843. [Google Scholar] [CrossRef]
- Mathers, C.D.; Loncar, D. Projections of Global Mortality and Burden of Disease from 2002 to 2030. PLoS Med. 2006, 3, e442. [Google Scholar] [CrossRef] [PubMed]
- Vigersky, R.A. An Overview of Management Issues in Adult Patients with Type 2 Diabetes Mellitus. J. Diabetes Sci. Technol. 2011, 5, 245–250. [Google Scholar] [CrossRef] [PubMed]
- Zatalia, S.R.; Sanusi, H. The role of antioxidants in the pathophysiology, complications, and management of diabetes mellitus. Acta Med. Indones. 2013, 45, 141–147. [Google Scholar]
- Belkina, A.; Denis, G.V. Obesity genes and insulin resistance. Curr. Opin. Endocrinol. Diabetes 2010, 17, 472–477. [Google Scholar] [CrossRef]
- Wisse, B.E. The inflammatory syndrome: The role of adipose tissue cytokines in metabolic disorders linked to obesity. J. Am. Soc. Nephrol. 2004, 15, 2792–2800. [Google Scholar] [CrossRef] [PubMed]
- Agha, M.; Agha, R. The rising prevalence of obesity: Part A: Impact on public health. Int. J. Surg. Oncol. 2017, 2, e17. [Google Scholar] [CrossRef]
- DeFronzo, R.A.; Ferrannini, E. Insulin Resistance: A Multifaceted Syndrome Responsible for NIDDM, Obesity, Hypertension, Dyslipidemia, and Atherosclerotic Cardiovascular Disease. Diabetes Care 1991, 14, 173–194. [Google Scholar] [CrossRef] [PubMed]
- Després, J.P. Is visceral obesity the cause of the metabolic syndrome? Ann. Med. 2006, 38, 52–63. [Google Scholar] [CrossRef]
- Kahn, B.B.; Flier, J.S. Obesity and insulin resistance. J. Clin. Investig. 2000, 106, 473–481. [Google Scholar] [CrossRef]
- Guh, D.P.; Zhang, W.; Bansback, N.; Amarsi, Z.; Birmingham, C.L.; Anis, A.H. The incidence of co-morbidities related to obesity and overweight: A systematic review and meta-analysis. BMC Public Health 2009, 9, 1–20. [Google Scholar] [CrossRef]
- Centers for Disease Control and Prevention. Obesity: Halting the epidemic by making health easier at a glance 2011. Retrieved Febr. 2011, 13, 2012. [Google Scholar]
- Silva Figueiredo, P.; Carla Inada, A.; Marcelino, G.; Maiara Lopes Cardozo, C.; de Cássia Freitas, K.; De Cássia Avellaneda Guimarães, R.; Pereira de Castro, A.; Aragão do Nascimento, V.; Aiko Hiane, P. Fatty acids consumption: The role metabolic aspects involved in obesity and its associated disorders. Nutrients 2017, 9, 1158. [Google Scholar] [CrossRef]
- Tan, B.L.; Norhaizan, M.E. Effect of High-Fat Diets on Oxidative Stress, Cellular Inflammatory Response and Cognitive Function. Nutrients 2019, 11, 2579. [Google Scholar] [CrossRef] [PubMed]
- Li, B.; Leung, J.C.; Chan, L.Y.; Yiu, W.H.; Tang, S.C. A global perspective on the crosstalk between saturated fatty acids and Toll-like receptor 4 in the etiology of inflammation and insulin resistance. Prog. Lipid Res. 2019, 77, 101020. [Google Scholar] [CrossRef]
- Zhao, Y.; Forst, C.V.; Sayegh, C.E.; Wang, I.-M.; Yang, X.; Zhang, B. Molecular and genetic inflammation networks in major human diseases. Mol. Biosyst. 2016, 12, 2318–2341. [Google Scholar] [CrossRef] [PubMed]
- Lone, I.M.; Midlej, K.; Ben Nun, N.; Iraqi, F.A. Intestinal cancer development in response to oral infection with high-fat diet-induced Type 2 diabetes (T2D) in collaborative cross mice under different host genetic background effects. Mamm. Genome 2023, 34, 56–75. [Google Scholar] [CrossRef] [PubMed]
- Civelek, M.; Lusis, A.J. Systems genetics approaches to understand complex traits. Nat. Rev. Genet. 2013, 15, 34–48. [Google Scholar] [CrossRef]
- Edgar, T.; Manz, D. Research Methods for Cyber Security; Syngress: Oxford, UK, 2017; ISBN 978-0-12-805349-2. [Google Scholar]
- Roberts, C.K.; Hevener, A.L.; Barnard, R.J. Metabolic Syndrome and Insulin Resistance: Underlying Causes and Modification by Exercise Training. Compr. Physiol. 2013, 3, 158. [Google Scholar]
- Yehia, R.; Lone, I.M.; Yehia, I.; Iraqi, F.A. Studying the Pharmagenomic effect of Portulaca oleracea extract on anti-diabetic therapy using the Collaborative Cross mice. Phytomed. Plus 2023, 3, 100394. [Google Scholar] [CrossRef]
- Durrant, C.; Tayem, H.; Yalcin, B.; Cleak, J.; Goodstadt, L.; de Villena, F.P.-M.; Mott, R.; Iraqi, F.A. Collaborative Cross mice and their power to map host susceptibility to Aspergillus fumigatus infection. Genome Res. 2011, 21, 1239–1248. [Google Scholar] [CrossRef]
- Lone, I.M.; Zohud, O.; Nashef, A.; Kirschneck, C.; Proff, P.; Watted, N.; Iraqi, F.A. Dissecting the Complexity of Skeletal-Malocclusion-Associated Phenotypes: Mouse for the Rescue. Int. J. Mol. Sci. 2023, 24, 2570. [Google Scholar] [CrossRef]
- Abu Toamih Atamni, H.; Nashef, A.; Iraqi, F.A. The Collaborative Cross mouse model for dissecting genetic susceptibility to infectious diseases. Mamm. Genome 2018, 29, 471–487. [Google Scholar] [CrossRef] [PubMed]
- Soller, M.; Atamni, H.J.A.; Binenbaum, I.; Chatziioannou, A.; Iraqi, F.A. Designing a QTL Mapping Study for Implementation in the Realized Collaborative Cross Genetic Reference Population. Curr. Protoc. Mouse Biol. 2019, 9, e66. [Google Scholar] [CrossRef]
- Chanal, P.M.; Kakkasageri, M.S.; Manvi, S.K. Security and privacy in the internet of things: Computational intelligent techniques-based approaches. In Recent Trends in Computational Intelligence Enabled Research; Academic Press: Cambridge, MA, USA, 2021; pp. 111–127. [Google Scholar]
- de Ferranti, S.; Mozaffarian, D. The perfect storm: Obesity, adipocyte dysfunction, and metabolic consequences. Clin. Chem. 2008, 54, 945–955. [Google Scholar] [CrossRef] [PubMed]
- Kojta, I.; Chacińska, M.; Błachnio-Zabielska, A.U. Obesity, Bioactive Lipids, and Adipose Tissue Inflammation in Insulin Resistance. Nutrients 2020, 12, 1305. [Google Scholar] [CrossRef]
- Dendup, T.; Feng, X.; Clingan, S.; Astell-Burt, T. Environmental Risk Factors for Developing Type 2 Diabetes Mellitus: A Systematic Review. Int. J. Environ. Res. Public Health 2018, 15, 78. [Google Scholar] [CrossRef] [PubMed]
- Karkar, L.; Atamni, H.J.A.; Milhem, A.; Houri-Haddad, Y.; Iraqi, F.A. Assessing the host genetic background effects on type 2 diabetes and obesity development in response to mixed–oral bacteria and high-fat diet using the collaborative cross mouse model. Anim. Model. Exp. Med. 2020, 3, 152–159. [Google Scholar] [CrossRef] [PubMed]
- Milhem, A.; Abu Toamih-Atamni, H.J.; Karkar, L.; Houri-Haddad, Y.; Iraqi, F.A. Studying host genetic background effects on multimorbidity of intestinal cancer development, type 2 diabetes and obesity in response to oral bacterial infection and high-fat diet using the collaborative cross (CC) lines. Anim. Model. Exp. Med. 2021, 4, 27–39. [Google Scholar] [CrossRef]
- Nashef, A.; Abu-Toamih Atamni, H.J.; Buchnik, Y.; Hasturk, H.; Kantarci, A.; Stephens, D.; Wiess, E.I.; Houri-Haddad, Y.; Iraqi, F.A. Collaborative Cross Mouse Population for Studying Alveolar Bone Changes and Impaired Glucose Tolerance Comorbidity After High-Fat Diet Consumption. J. Periodontol. 2017, 88, e150–e158. [Google Scholar] [CrossRef]
- Walter, F.; Addis, T. Organ work and organ weight. J. Exp. Med. 1939, 69, 467–483. [Google Scholar] [CrossRef]
- Riehle, C.; Bauersachs, J. Of mice and men: Models and mechanisms of diabetic cardiomyopathy. Basic Res. Cardiol. 2018, 114, 2. [Google Scholar] [CrossRef]
- Marwick, T.H. Diabetic heart disease. Postgrad. Med. J. 2008, 84, 188–192. [Google Scholar] [CrossRef]
- Abu-Toamih Atamni, H.J.; Ziner, Y.; Mott, R.; Wolf, L.; Iraqi, F.A. Glucose tolerance female-specific QTL mapped in collaborative cross mice. Mamm. Genome 2017, 28, 20–30. [Google Scholar] [CrossRef] [PubMed]
- Park, E.; Lee, C.-G.; Jeon, H.; Jeong, H.; Yeo, S.; Yong, Y.; Jeong, S.-Y. Anti-Obesity Effects of Combined Cornus officinalis and Ribes fasciculatum Extract in High-Fat Diet-Induced Obese Male Mice. Animals 2021, 11, 3187. [Google Scholar] [CrossRef] [PubMed]
- Abd El-Kader, S.M.; El-Den Ashmawy, E.M. Non-alcoholic fatty liver disease: The diagnosis and management. World J. Hepatol. 2015, 7, 846. [Google Scholar] [CrossRef] [PubMed]
- Sánchez, N.; Inostroza, V.; Pérez, M.C.; Moya, P.; Ubilla, A.; Besa, J.; Llaguno, E.; Vera, P.-G.C.; Inzunza, O.; Gaete, M. Tracking morphological complexities of organ development in culture. Mech. Dev. 2018, 154, 179–192. [Google Scholar] [CrossRef]
- Alberts, B.; Johnson, A.; Lewis, J.; Raff, M.; Roberts, K.; Walter, P. Genesis, modulation, and regeneration of skeletal muscle. In Molecular Biology of the Cell, 4th ed.; Garland Science: New York, NY, USA, 2002. [Google Scholar]
- Sprague, J.E.; Arbeláez, A.M. Glucose counterregulatory responses to hypoglycemia. Pediatr. Endocrinol. Rev. 2011, 9, 463–475. [Google Scholar]
- Yam, P.; Albright, J.; VerHague, M.; Gertz, E.R.; Pardo-Manuel de Villena, F.; Bennett, B.J. Genetic Background Shapes Phenotypic Response to Diet for Adiposity in the Collaborative Cross. Front. Genet. 2021, 11, 615012. [Google Scholar] [CrossRef]
- Powell-Wiley, T.M.; Poirier, P.; Burke, L.E.; Després, J.-P.; Gordon-Larsen, P.; Lavie, C.J.; Lear, S.A.; Ndumele, C.E.; Neeland, I.J.; Sanders, P.; et al. Obesity and Cardiovascular Disease: A Scientific Statement From the American Heart Association. Circulation 2021, 143, e984–e1010. [Google Scholar] [CrossRef]
- Cheverud, J.M.; Lawson, H.A.; Fawcett, G.L.; Wang, B.; Pletscher, L.S.; Fox, A.R.; Maxwell, T.J.; Ehrich, T.H.; Kenney-Hunt, J.P.; Wolf, J.B.; et al. Diet-Dependent Genetic and Genomic Imprinting Effects on Obesity in Mice. Obesity 2011, 19, 160–170. [Google Scholar] [CrossRef]
- Albuquerque, D.; Nóbrega, C.; Manco, L.; Padez, C. The contribution of genetics and environment to obesity. Br. Med Bull. 2017, 123, 159–173. [Google Scholar] [CrossRef] [PubMed]
- Iraqi, F.A.; Athamni, H.; Dorman, A.; Salymah, Y.; Tomlinson, I.; Nashif, A.; Shusterman, A.; Weiss, E.; Houri-Haddad, Y.; Mott, R.; et al. Heritability and coefficient of genetic variation analyses of phenotypic traits provide strong basis for high-resolution QTL mapping in the Collaborative Cross mouse genetic reference population. Mamm. Genome 2014, 25, 109–119. [Google Scholar] [CrossRef] [PubMed]
- Breiman, L. Random forests. Mach. Learn. 2001, 45, 5–32. [Google Scholar] [CrossRef]
- Soofi, A.A.; Awan, A. Classification Techniques in Machine Learning: Applications and Issues. J. Basic Appl. Sci. 2017, 13, 459–465. [Google Scholar] [CrossRef]
- Zou, Q.; Qu, K.; Luo, Y.; Yin, D.; Ju, Y.; Tang, H. Predicting Diabetes Mellitus With Machine Learning Techniques. Front. Genet. 2018, 9, 515. [Google Scholar] [CrossRef] [PubMed]







| Trait | H2 | CVg | |||
|---|---|---|---|---|---|
| CHD | HFD | CHD | HFD | ||
| ♀ | ∆BW | 0.684 | 0.572 | 0.348 | 0.402 |
| AUC | 0.681 | 0.543 | 0.205 | 0.267 | |
| act-Lwt | 0.497 | 0.698 | 0.170 | 0.212 | |
| act-Swt | 0.328 | 0.306 | 0.211 | 0.262 | |
| act-Hwt | 0.155 | 0.179 | 0.091 | 0.102 | |
| %LWT | 0.543 | 0.728 | 0.152 | 0.143 | |
| %SWT | 0.322 | 0.314 | 1.511 | 1.222 | |
| %HWT | 0.131 | 0.309 | 0.658 | 0.975 | |
| ♂ | ∆BW | 0.444 | 0.792 | 0.276 | 0.484 |
| AUC | 0.593 | 0.802 | 0.268 | 0.347 | |
| act-Lwt | 0.735 | 0.835 | 0.224 | 0.323 | |
| act-Swt | 0.092 | 0.539 | 0.099 | 0.386 | |
| act-Hwt | 0.271 | 0.629 | 0.155 | 0.235 | |
| %LWT | 0.507 | 0.750 | 0.151 | 0.162 | |
| %SWT | 0.062 | 0.750 | 0.900 | 2.577 | |
| %HWT | 0.091 | 0.363 | 0.499 | 1.123 | |
| ♀ | ∆LW/∆BW | 0.45 | 1.24 | ||
| ∆SW/∆BW | 0.19 | 0.87 | |||
| ♂ | ∆LW/∆BW | 0.33 | 0.41 | ||
| ∆SW/∆BW | 0.16 | 0.98 | |||
| Percent liver weight | ||||||||
| Model/Line | IL72 | IL557 | IL711 | IL1912 | IL2513 | IL3912 | IL4141 | IL5000 |
| N | 18 | 22 | 23 | 34 | 19 | 31 | 25 | 35 |
| Decision Trees | 0.395 | 0.505 | 0.531 | 0.653 | 0.404 | 0.442 | 0.518 | 0.423 |
| Naïve Bayes | 0.25 | 0.663 | 0.336 | 0.631 | 0.227 | 0.415 | 0.431 | 0.379 |
| K-nearest Neighbors | 0.357 | 0.569 | 0.597 | 0.54 | 0.436 | 0.339 | 0.426 | 0.506 |
| Random Forest | 0.362 | 0.415 | 0.513 | 0.687 | 0.274 | 0.45 | 0.465 | 0.348 |
| Percent spleen weight | ||||||||
| Model/Line | IL72 | IL557 | IL711 | IL1912 | IL2513 | IL3912 | IL4141 | IL5000 |
| N | 18 | 22 | 23 | 34 | 19 | 31 | 25 | 35 |
| Decision Trees | 0.457 | 0.538 | 0.499 | 0.62 | 0.509 | 0.488 | 0.42 | 0.545 |
| Naïve Bayes | 0.387 | 0.625 | 0.796 | 0.848 | 0.688 | 0.607 | 0.349 | 0.684 |
| K-nearest Neighbors | 0.543 | 0.248 | 0.331 | 0.804 | 0.58 | 0.563 | 0.386 | 0.633 |
| Random Forest | 0.443 | 0.563 | 0.71 | 0.81 | 0.666 | 0.504 | 0.365 | 0.593 |
| Percent heart weight | ||||||||
| Model/Line | IL72 | IL557 | IL711 | IL1912 | IL2513 | IL3912 | IL4141 | IL5000 |
| N | 18 | 22 | 23 | 34 | 19 | 31 | 25 | 35 |
| Decision Trees | 0.361 | 0.868 | 0.63 | 0.779 | 0.56 | 0.789 | 0.847 | 0.452 |
| Naïve Bayes | 0.191 | 0.946 | 0.709 | 0.888 | 0.335 | 0.82 | 0.842 | 0.566 |
| K-nearest Neighbors | 0.326 | 0.659 | 0.644 | 0.471 | 0.38 | 0.822 | 0.478 | 0.288 |
| Random Forest | 0.162 | 0.921 | 0.758 | 0.899 | 0.493 | 0.816 | 0.864 | 0.377 |
| CHD (11% Fat) | HFD (42% Fat) | ||||
|---|---|---|---|---|---|
| CC line | ♀ | ♂ | ♀ | ♂ | Total |
| IL72 | 4 | 4 | 4 | 6 | 18 |
| IL557 | 6 | 3 | 8 | 5 | 22 |
| IL711 | 7 | 4 | 7 | 5 | 23 |
| IL1912 | 10 | 9 | 7 | 8 | 34 |
| IL2513 | 4 | 5 | 3 | 7 | 19 |
| IL3912 | 4 | 10 | 10 | 7 | 31 |
| IL4141 | 4 | 8 | 7 | 6 | 25 |
| IL5000 | 7 | 5 | 14 | 9 | 35 |
| Total | 46 | 48 | 60 | 53 | 207 |
Disclaimer/Publisher’s Note: The statements, opinions and data contained in all publications are solely those of the individual author(s) and contributor(s) and not of MDPI and/or the editor(s). MDPI and/or the editor(s) disclaim responsibility for any injury to people or property resulting from any ideas, methods, instructions or products referred to in the content. |
© 2023 by the authors. Licensee MDPI, Basel, Switzerland. This article is an open access article distributed under the terms and conditions of the Creative Commons Attribution (CC BY) license (https://creativecommons.org/licenses/by/4.0/).
Share and Cite
Ghnaim, A.; Lone, I.M.; Nun, N.B.; Iraqi, F.A. Unraveling the Host Genetic Background Effect on Internal Organ Weight Influenced by Obesity and Diabetes Using Collaborative Cross Mice. Int. J. Mol. Sci. 2023, 24, 8201. https://doi.org/10.3390/ijms24098201
Ghnaim A, Lone IM, Nun NB, Iraqi FA. Unraveling the Host Genetic Background Effect on Internal Organ Weight Influenced by Obesity and Diabetes Using Collaborative Cross Mice. International Journal of Molecular Sciences. 2023; 24(9):8201. https://doi.org/10.3390/ijms24098201
Chicago/Turabian StyleGhnaim, Aya, Iqbal M. Lone, Nadav Ben Nun, and Fuad A. Iraqi. 2023. "Unraveling the Host Genetic Background Effect on Internal Organ Weight Influenced by Obesity and Diabetes Using Collaborative Cross Mice" International Journal of Molecular Sciences 24, no. 9: 8201. https://doi.org/10.3390/ijms24098201
APA StyleGhnaim, A., Lone, I. M., Nun, N. B., & Iraqi, F. A. (2023). Unraveling the Host Genetic Background Effect on Internal Organ Weight Influenced by Obesity and Diabetes Using Collaborative Cross Mice. International Journal of Molecular Sciences, 24(9), 8201. https://doi.org/10.3390/ijms24098201

