Amino-Pyrazoles in Medicinal Chemistry: A Review
Abstract
1. Introduction
2. 3-Aminopyrazoles (3APs)
2.1. Anti-Infective 3APs
2.2. Anticancer and Anti-Inflammatory 3APs
- ✓
- The trimethoxyphenyl moiety and 4-methoxyphenyl moiety of Compound 5 are positioned in the hydrophobic pocket between Alaβ250-Alaβ316 and Valα181-Metβ259, respectively;
- ✓
- The trimethoxyphenyl moiety is situated in close proximity to Cysβ241;
- ✓
- The oxygen atom of the 4-methoxy substituent forms a hydrogen bond with the thiol group of Cysβ241;
- ✓
- The pyrazole NH group establishes one hydrogen bond with the Alaβ250 backbone NH functionality;
- ✓
- The hydrogen atom of 3-NH2 forms another hydrogen bond with the NH of Asnα101.
3. 4-Aminopyrazoles (4APs)
4. 5-Aminopyrazoles (5APs)
4.1. p38 Inhibitors 5APs
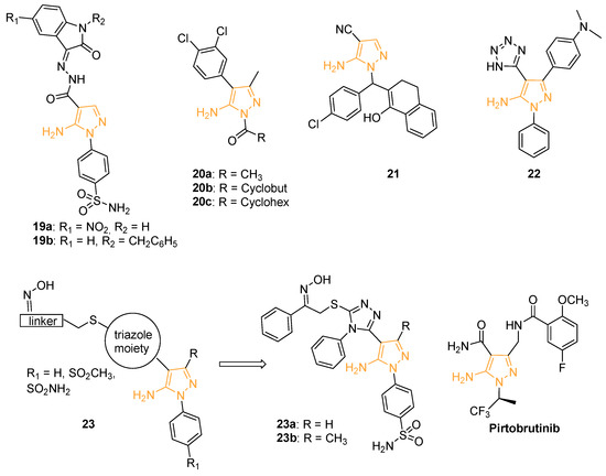
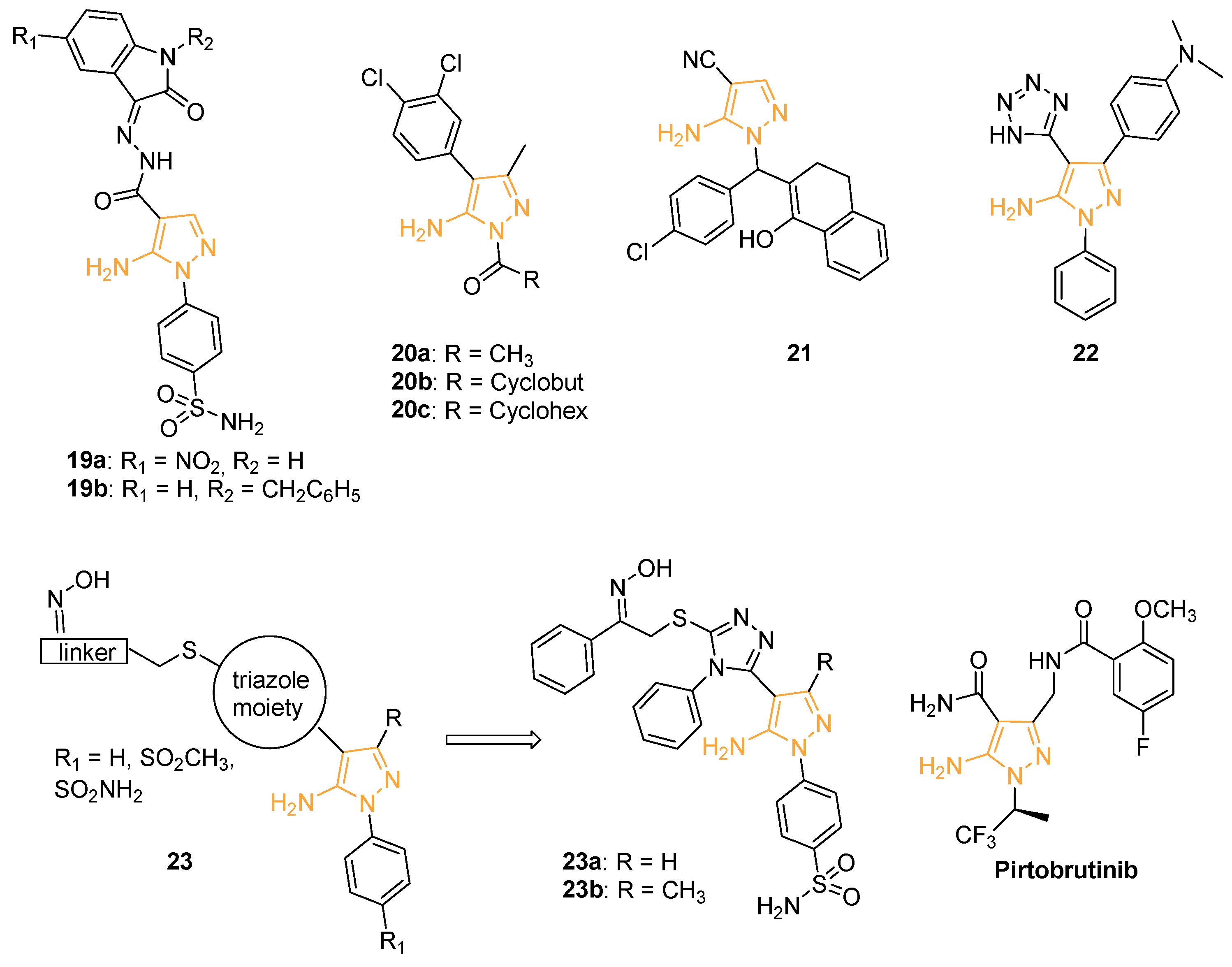
4.2. Anticancer/Antiproliferative 5APs
4.3. Antibacterial 5APs
4.4. Antimalarial 5APs
4.5. Anti-Inflammatory 5APs
4.6. 5APs with Other Pharmacological Activities
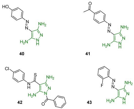
5. 3,5-Diaminopyrazoles (3,5-DAPs)
6. Conclusions
- (1)
- 3,5DAPs are biologically active when unsubstituted at the N1 position but embedded in the C-4 position;
- (2)
- 5APs endowed with anticancer/anti-inflammatory properties are generally characterised at the N1 position by phenyl or phenethyl groups (compounds 19–23, 33–36);
- (3)
- (3)5APs reported as p38 inhibitors (RO3201195, VPC00628, and SR-318) are characterised by a phenyl group at N1 and carbonil function of C4;
- (4)
- 5APs characterised by antimalarial activity are unsubstituted at N1;
- (5)
- 3APs and 5APS with anti-infective/antiviral activity could be substituted or unsubstituted at the N1 position.
Author Contributions
Funding
Institutional Review Board Statement
Informed Consent Statement
Data Availability Statement
Conflicts of Interest
Abbreviations
| ACE | Angiotensin-converting enzyme |
| AD | Alzheimer’s Disease |
| ADME | Absorption, distribution, metabolism, and excretion |
| Aps | Aminopyrazoles |
| ATP | Adenosine triphosphate |
| BTK | Bruton kinase |
| c-di-GMP | Cyclic dimeric guanosine monophosphate |
| CDKs | Cyclin-dependent kinases |
| CLL | Chronic Lymphocytic Leukemia |
| COX | Cyclo-Oxygenase |
| DNA | Deoxyribonucleic acid |
| EGFR | Epidermal growth factor receptor |
| ELISA | Enzyme-linked immunosorbent assay |
| ERK | Extracellular signal-regulated kinase |
| fMLP N- | N-Formylmethionyl-leucyl-phenylalanine |
| GABA | Gamma-aminobutyric acid |
| GSK | Glycogen synthase kinase |
| hCA | Human carbonic anhydrase |
| HDF | Human dermal fibroblasts |
| HIV | Human immunodeficiency virus |
| HWB | Human whole blood |
| IKK | Ikappa Kinase |
| IL | Interleukin |
| JNK | Jun N-terminal kinase |
| LPS | Lipopolysaccharide |
| MAPKs | Mitogen-activated protein kinases |
| MBC | Minimum bactericidal concentration |
| MCL | Mantle cell lymphoma |
| MIC | Minimum inhibitory concentration |
| MK2 | Mitogen-activated protein kinase-2 |
| MRSA | Methicillin-resistant Staphylococcus aureus |
| MSSA | Methicillin-sensitive Staphylococcus aureus |
| MTT | [3-(4,5-Dimethylthiazol-2-yl)-2,5-Diphenyltetrazolium Bromide] |
| NADPH | Nicotinamide adenine dinucleotide phosphate |
| NCI | National cancer institute |
| NF-κB | Nuclear factor kappa B |
| NIK | NF-κB inducing kinase |
| NNRTI | Non-nucleoside RT inhibitor |
| NO | Nitric oxide |
| NPY | Neuropeptide Y |
| NSAIDs | Non-steroidal anti-inflammatory drugs |
| PDE | Phosphodiesterase |
| PTZ | Pentylene-tetrazole-induced seizure |
| ROS | Reactive oxygen species |
| RT | Reverse transcriptase |
| SARs | Structure-activity relationships |
| SLL | Small lymphocytic lymphoma |
| TFOs | Triplex forming oligonucleotide |
| TNFα | Tumour necrosis factor-alpha |
| VEGFR | Vascular endothelial growth factor |
| WS | Werner syndrome |
References
- Swaroop, T.R.; Sharath Kumar, K.S.; Palanivelu, M.; Chaitanya, S.; Rangappa, K.S. A catalyst-free green protocol for the synthesis of pyranopyrazoles using room-temperature ionic liquid choline chloride-urea. J. Heterocycl. Chem. 2014, 51, 1866–1870. [Google Scholar] [CrossRef]
- Marinozzi, M.; Marcelli, G.; Carotti, A. N-Aryl-5-aminopyrazole: A Versatile Architecture in Medicinal Chemistry. Mini-Rev. Med. Chem. 2015, 15, 272–299. [Google Scholar] [CrossRef]
- Fustero, S.; Sanchez-Rosello, M.; Barrio, P.; Simon-Fuentes, A. From 2000 to Mid-2010: A Fruitful Decade for the Synthesis of Pyrazoles. Chem. Rev. 2011, 111, 6984–7034. [Google Scholar] [CrossRef] [PubMed]
- Kumar, V.; Kaur, K.; Kumar Gupta, G.; Sharma, A.K. Pyrazole Containing Natural Products: Synthetic Preview and Biological Significance. Eur. J. Med. Chem. 2013, 69, 735–753. [Google Scholar] [CrossRef] [PubMed]
- Szabo, G.; Fischer, J.; Kis-Varga, A.; Gyires, K. New celecoxib derivatives as anti-inflammatory agents. J. Med. Chem. 2008, 51, 142–147. [Google Scholar] [CrossRef] [PubMed]
- Signorello, M.G.; Rapetti, F.; Meta, E.; Sidibè, A.; Bruno, O.; Brullo, C. New Series of Pyrazoles and Imidazo-pyrazoles Targeting Different Cancer and Inflammation Pathways. Molecules 2021, 26, 5735–5752. [Google Scholar] [CrossRef] [PubMed]
- Kaushik, D.; Khan, S.A.; Chawla, G.; Kumar, S. N′-[(5-chloro-3-methyl-1-phenyl-1H-pyrazol-4-yl)methylene] 2/4-substituted hydrazides: Synthesis and anticonvulsant activity. Eur. J. Med. Chem. 2010, 45, 3943–3949. [Google Scholar] [CrossRef]
- Bennania, F.E.; Doudachc, L.; Cherraha, Y.; Ramlib, Y.; Karrouchib, K.; Ansarb, M.; Abbes Faouzia, M.E. Overview of recent developments of pyrazole derivatives as an anticancer agent in different cell line. Bioorg. Chem. 2020, 97, 103470–103532. [Google Scholar] [CrossRef]
- Marengo, B.; Meta, E.; Brullo, C.; De Ciucis, C.; Colla, R.; Speciale, A.; Garbarino, O.; Bruno, O.; Domenicotti, C. Biological evaluation of pyrazolyl-urea and dihydro-imidazo-pyrazolyl-urea derivatives as potential anti-angiogenetic agents in the treatment of neuroblastoma. Oncotarget 2020, 11, 3459–3472. [Google Scholar] [CrossRef]
- Genin, M.J.; Biles, C.; Keiser, B.J.; Poppe, S.M.; Swaney, S.M.; Tarpley, W.G.; Yagi, Y.; Romero, D.L. Novel 1,5-diphenylpyrazole nonnucleoside HIV-1 reverse transcriptase inhibitors with enhanced activity versus the delavirdine-resistant P236L mutant: Lead identification and SAR of 3- and 4-substituted derivatives. J. Med. Chem. 2000, 43, 1034–1040. [Google Scholar] [CrossRef]
- Parmar, S.S.; Pandey, B.R.; Dwivedi, C.; Harbison, R.D. Anticonvulsant activity and monoamine oxidase inhibitory properties of 1,3,5-trisubstituted pyrazolines. J. Pharmacol. Sci. 1974, 63, 1152–1155. [Google Scholar] [CrossRef]
- Taher, A.T.; Sarg, M.T.M.; Ali, N.R.E.; Elnagdi, N.H. Design, synthesis, modeling studies and biological screening of novel pyrazole derivatives as potential analgesic and anti-inflammatory agents. Bioorg. Chem. 2019, 89, 103023–103035. [Google Scholar] [CrossRef]
- Brullo, C.; Caviglia, D.; Spallarossa, A.; Alfei, S.; Franzblau, S.G.; Tasso, B.; Schito, A.M. Microbiological Screening of 5-Functionalized Pyrazoles for the Future Development of Optimized Pyrazole-Based Delivery Systems. Pharmaceutics 2022, 14, 1770–1785. [Google Scholar] [CrossRef] [PubMed]
- Verma, R.; Verma, S.K.; Rakesh, K.P.; Girish, Y.R.; Ashrafizadeh, M.; Kumar, K.S.S.; Rangappa, K.S. Pyrazole-based analogs as potential antibacterial agents against methicillin-resistance staphylococcus aureus (MRSA) and its SAR elucidation. Eur. J. Med. Chem. 2021, 212, 113134–113158. [Google Scholar] [CrossRef]
- Alfei, S.; Brullo, C.; Caviglia, D.; Piatti, G.; Zorzoli, A.; Marimpietri, D.; Zuccari, G.; Schito, A.M. Pyrazole-Based Water-Soluble Dendrimer Nanoparticles as a Potential New Agent Against Staphylococci. Biomedicines 2022, 10, 17–37. [Google Scholar] [CrossRef]
- Yu, B.; Zhou, S.; Cao, L.; Hao, Z.; Yang, D.; Guo, X.; Zhang, N.; Bakulev, V.A.; Fan, Z. Design, Synthesis, and Evaluation of the Antifungal Activity of Novel Pyrazole–Thiazole Carboxamides as Succinate Dehydrogenase Inhibitors. J. Agric. Food Chem. 2020, 68, 7093–7102. [Google Scholar] [CrossRef]
- Desai, N.C.; Rajpara, K.M.; Joshi, V.V. Synthesis of pyrazole encompassing 2-pyridone derivatives as antibacterial agents. Bioorg. Med. Chem. Lett. 2013, 23, 2714–2717. [Google Scholar] [CrossRef]
- Kucukguzel, S.G.; Senkardes, S. Recent advances in bioactive pyrazoles. Eur. J. Med. Chem. 2015, 97, 786–815. [Google Scholar] [CrossRef]
- Brullo, C.; Rapetti, F.; Bruno, O. Pyrazolyl-Ureas as Interesting Scaffold in Medicinal Chemistry. Molecules 2020, 25, 3457–3491. [Google Scholar] [CrossRef]
- Ansari, A.; Ali, A.; Asif, M.; Shamsuzzaman, S. Review: Biologically active pyrazole derivatives. New J. Chem. 2017, 41, 16–41. [Google Scholar] [CrossRef]
- Küçükgüzel, S.G.; Coskun, G.P. Macromolecular Drug Targets in Cancer Treatment and Thiosemicarbazides as Anticancer Agents. Anticancer Agents Med. Chem. 2016, 16, 1288–1300. [Google Scholar] [CrossRef]
- Perez-Fernandez, R.; Goya, P.; Elguero, J. A review of recent progress (2002–2012) on the biological activities of pyrazoles. ARKIVOC Online J. Org. Chem. 2013, 2014, 233–293. [Google Scholar] [CrossRef]
- U.S National Library of Medicine ClinicalTrials.gov. Available online: https://clinicaltrials.gov/ct2/results?cond=AT7519&term=&cntry=&state=&city=&dist= (accessed on 8 March 2023).
- U.S National Library of Medicine ClinicalTrials.gov. Available online: https://clinicaltrials.gov/ct2/results?cond=&term=AT9283&cntry=&state=&city=&dist= (accessed on 8 March 2023).
- Ebenezer, O.; Shapi, M.; Tuszynski, J.A. A Review of the Recent Development in the Synthesis and Biological Evaluations of Pyrazole Derivatives. Biomedicines 2022, 10, 1124–1180. [Google Scholar] [CrossRef]
- Karrouchi, K.; Radi, S.; Ramli, Y.; Taoufik, J.; Mabkhot, Y.N.; Al-aizari, F.A.; Ansar, M. Synthesis and Pharmacological Activities of Pyrazole Derivatives: A Review. Molecules 2018, 23, 134–219. [Google Scholar] [CrossRef]
- Karati, D.; Mahadik, K.R.; Kumar, D. Pyrazole Scaffolds: Centrality in Anti-Inflammatory and Antiviral Drug Design. Med. Chem. 2022, 18, 1060–1072. [Google Scholar] [CrossRef]
- Karati, D.; Mahadik, K.R.; Trivedi, P.; Kumar, D. A Molecular Insight into Pyrazole Congeners as Antimicrobial, Anticancer, and Antimalarial Agents. Med. Chem. 2022, 18, 1044–1059. [Google Scholar] [CrossRef]
- Delpe-Acharige, A.; Zhang, M.; Eschliman, K.; Dalecki, A.; Covarrubias-Zambrano, O.; Minjarez-Almeida, A.; Shrestha, T.; Lewis, T.; Al-Ibrahim, F.; Leonard, S.; et al. Pyrazolyl Thioureas and Carbothioamides with an NNSN Motif against MSSA and MRSA. ACS Omega 2021, 6, 6088–6099. [Google Scholar] [CrossRef]
- Hu, Y.; Shi, H.; Zhou, M.; Ren, Q.; Zhu, W.; Zhang, W.; Zhang, Z.; Zhou, C.; Liu, Y.; Ding, X.; et al. Discovery of Pyrido[2,3-b]indole Derivatives with Gram-Negative Activity Targeting Both DNA Gyrase and Topoisomerase IV. J. Med. Chem. 2020, 63, 9623–9649. [Google Scholar] [CrossRef]
- Fahim, A.M.; Farag, A.M. Synthesis, antimicrobial evaluation, molecular docking and theoretical calculations of novel pyrazolo[1,5-a]pyrimidine derivatives. J. Mol. Struct. 2020, 1199, 127025–127037. [Google Scholar] [CrossRef]
- Guillemont, J.; Benjahad, A.; Oumouch, S.; Decrane, L.; Palandjian, P.; Vernier, D.; Queguiner, L.; Andries, K.; De Béthune, M.P.; Hertogs, K.; et al. Synthesis and biological evaluation of C-5 methyl substituted 4-arylthio and 4-aryloxy-3-Iodopyridin-2(1H)-one type anti-HIV agents. J. Med. Chem. 2009, 52, 7473–7487. [Google Scholar] [CrossRef]
- Ravelli, R.B.G.; Gigant, B.; Curmi, P.A.; Jourdain, I.; Lachkar, S.; Sobel, A.; Knossow, M. Insight into tubulin regulation from a complex with colchicine and a stathmin-like domain. Nature 2004, 428, 198–202. [Google Scholar] [CrossRef] [PubMed]
- Liu, T.; Cui, R.; Chen, J.; Zhang, J.; He, Q.; Yang, B.; Hu, Y. 4,5-Diaryl-3-aminopyrazole derivatives as analogs of Combretastatin A-4: Synthesis and biological evaluation. Arch. Pharm. 2011, 344, 279–286. [Google Scholar] [CrossRef] [PubMed]
- Metwally, M.A.; Gouda, M.A.; Harmal, A.N.; Khalil, A.M. Synthesis, antitumor, cytotoxic and antioxidant evaluation of some new pyrazolotriazines attached to antipyrine moiety. Eur. J. Med. Chem. 2012, 56, 254–262. [Google Scholar] [CrossRef]
- Karrer, K.; Rubini, J.R. On the Fate of Labelled Ehrlich Ascites Cells in Mice, an Autoradiographic Study Using H3 Thymidine. Med. Pharmacol. Exp. Int. J. Exp. Med. 1965, 13, 124–130. [Google Scholar] [CrossRef]
- Lissi, E.; Modak, B.; Torres, R.; Escobar, J.; Urzua, A. Total antioxidant potential of resinous exudates from Heliotropium species, and a comparison of the ABTS and DPPH methods. Free Radic. Res. 1999, 30, 471–477. [Google Scholar] [CrossRef]
- Kiselyov, A.S.; Semenova, M.N.; Chernyshova, N.B.; Leitao, A.; Samet, A.V.; Kislyi, K.A.; Raihstat, M.M.; Oprea, T.; Lemcke, H.; Lantow, M.; et al. Novel derivatives of 1,3,4-oxadiazoles are potent mitostatic agents featuring strong microtubule depolymerizing activity in the sea urchin embryo and cell culture assays. Eur. J. Med. Chem. 2010, 45, 1683–1697. [Google Scholar] [CrossRef]
- Uchida, Y.; Taniguchi, Y.; Aoki, E.; Togo, M.; Sasaki, S. Formation of a stable triplex incorporating a CG interrupting site by a new WNA derivative containing 3-aminopyrazole as a nucleobase. Nucleic Acids Symp. Ser. 2008, 52, 137–138. [Google Scholar] [CrossRef]
- Velcicky, J.; Feifel, R.; Hawtin, S.; Heng, R.; Huppertz, C.; Koch, G.; Kroemer, M.; Moebitz, H.; Revesz, L.; Scheufler, C.; et al. Novel 3-aminopyrazole inhibitors of MK-2 discovered by scaffold hopping strategy. Bioorg. Med. Chem. Lett. 2010, 20, 1293–1297. [Google Scholar] [CrossRef]
- Liu, J.G.; Zhao, D.; Gong, Q.; Bao, F.; Chen, W.W.; Zhang, H.; Xu, M.H. Development of Bisindole-Substituted Aminopyrazoles as Novel GSK-3β Inhibitors with Suppressive Effects against Microglial Inflammation and Oxidative Neurotoxicity. ACS Chem. Neurosci. 2020, 11, 3398–3408. [Google Scholar] [CrossRef]
- Lusardi, M.; Rotolo, C.; Ponassi, M.; Iervasi, E.; Rosano, C.; Spallarossa, A. One-Pot Synthesis and Antiproliferative Activity of Highly Functionalized Pyrazole Derivatives. ChemMedChem 2022, 17, e202100670. [Google Scholar] [CrossRef]
- Lusardi, M.; Profumo, A.; Rotolo, C.; Iervasi, E.; Rosano, C.; Spallarossa, A.; Ponassi, M. Regioselective Synthesis, Structural Characterization, and Antiproliferative Activity of Novel Tetra-Substituted Phenylaminopyrazole Derivatives. Molecules 2022, 27, 5814–5829. [Google Scholar] [CrossRef] [PubMed]
- Bianchi, M.; Bonacina, F.; Osvaldo, A.; Pirola, C. Synthesis and pharmacological properties of pyrazoles. II. 1-Substituted 4-aminopyrazoles. Farmaco 1970, 25, 592–617. [Google Scholar]
- Lankau, H.J.; Menzer, M.; Rostock, A.; Arnold, T.; Rundfeldt, C.; Unverferth, K. Synthesis and anticonvulsant activity of new 4-aminopyrazoles and 5-aminopyrazol-3-ones. Pharmazie 1999, 54, 705–706. [Google Scholar]
- Rose, D.; Nauman, F.; Meinigke, B.; Hofkes, H. Agent for Dyeing Keratin Containing Fibers. WO Patent WO 02/09662, 7 February 2002. [Google Scholar]
- Kaymakçioğlu, B.K.; Rollas, S.; Körceğez, E.; Aricioğlu, F. Synthesis and biological evaluation of new N-substituted-N′-(3,5-di/1,3,5-trimethylpyrazole-4-yl)thiourea/urea derivatives. Eur. J. Pharm. Sci. 2005, 26, 97–103. [Google Scholar] [CrossRef] [PubMed]
- Burgart, Y.V.; Agafonova, N.A.; Shchegolkov, E.V.; Krasnykh, O.P.; Kushch, S.O.; Evstigneeva, N.P.; Gerasimova, N.A.; Maslova, V.V.; Triandafilova, G.A.; Solodnikov, S.Y.; et al. Multiple biological active 4-aminopyrazoles containing trifluoromethyl and their 4-nitroso-precursors: Synthesis and evaluation. Eur. J. Med. Chem. 2020, 208, 112768–112785. [Google Scholar] [CrossRef] [PubMed]
- Burgart, Y.V.; Makhaeva, G.F.; Krasnykh, O.P.; Borisevich, S.S.; Agafonova, N.A.; Kovaleva, N.V.; Boltneva, N.P.; Rudakova, E.V.; Shchegolko, E.V.; Triandafilova, G.A.; et al. Synthesis of 4-Aminopyrazol-5-ols as Edaravone Analogs and Their Antioxidant Activity. Molecules 2022, 27, 7722. [Google Scholar] [CrossRef]
- Sabio, G.; Davis, R.J. TNF and MAP kinase signaling pathways. Semin. Immunol. 2014, 26, 237–245. [Google Scholar] [CrossRef]
- Zhang, J.; Shen, B.; Lin, A. Novel strategies for inhibition of the p38 MAPK pathway. Trends Pharmacol. Sci. 2007, 28, 286–295. [Google Scholar] [CrossRef]
- Loesch, M.; Chen, G. The p38 MAPK stress pathway as a tumor suppressor or more? Front. Biosci. 2008, 13, 3581–3593. [Google Scholar] [CrossRef]
- Zhai, Z.; Ren, Y.; Shu, C.; Chen, D.; Liu, X.; Liang, Y.; Li, A.; Zhou, J. JAC1 targets YY1 mediated JWA/p38 MAPK signaling to inhibit proliferation and induce apoptosis in TNBC. Cell Death Discov. 2022, 8, 169–181. [Google Scholar] [CrossRef]
- Kumar, S.; Boehm, J.; Lee, J.C. p38 MAP kinases: Key signalling molecules as therapeutic targets for inflammatory diseases. Nat. Rev. Drug Discov. 2003, 2, 717–726. [Google Scholar] [CrossRef] [PubMed]
- O’Keefe, S.J.; Mudgett, J.S.; Cupo, S.; Parsons, J.N.; Chartrain, N.A.; Fitzgerald, C.; Chen, S.L.; Lowitz, K.; Rasa, C.; Visco, D.; et al. Chemical genetics define the roles of p38α and p38β in acute and chronic inflammation. J. Biol. Chem. 2007, 282, 34663–34671. [Google Scholar] [CrossRef] [PubMed]
- Goldstein, D.M.; Alfredson, T.; Bertrand, J.; Browner, M.F.; Clifford, K.; Dalrymple, S.A.; Dunn, J.; Freire-Moar, J.; Harris, S.; Labadie, S.S.; et al. Discovery of S-[5-Amino-1-(4-fluorophenyl)-1H-pyrazol-4-yl]-[3-(2,3-dihydroxypropoxy)phenyl]-methanone (RO3201195), an Orally Bioavailable and Highly Selective Inhibitor of p38 Map Kinase. J. Med. Chem. 2006, 49, 1562–1575. [Google Scholar] [CrossRef] [PubMed]
- Bagley, M.C.; Davis, T.; Dix, M.C.; Murziani, P.G.S.; Rokicki, M.J.; Kipling, D. Microwave-assisted synthesis of 5-aminopyrazol-4-yl ketones and the p38MAPK inhibitor RO3201195 for study in Werner syndrome cells. Bioorg. Med. Chem. Lett. 2008, 18, 3745–3748. [Google Scholar] [CrossRef]
- Bagley, M.C.; Davis, T.; Dix, M.C.; Murziani, P.G.S.; Rokicki, M.J.; Kipling, D. Microwave-assisted synthesis of a pyrazolyl ketone library for evaluation as p38 MAPK inhibitors in Werner syndrome cells. Future Med. Chem. 2010, 2, 203–213. [Google Scholar] [CrossRef]
- Bagley, M.C.; Dwyer, J.E.; Baashen, M.; Dix, M.C.; Murziani, P.G.S.; Rokicki, M.J.; Kipling, D.; Davis, T. The effect of RO3201195 and a pyrazolyl ketone P38 MAPK inhibitor library on the proliferation of Werner syndrome cells. Org. Biomol. Chem. 2016, 14, 947–956. [Google Scholar] [CrossRef]
- Petersen, L.K.; Blakskjær, P.; Chaikuad, A.; Christensen, B.; Dietvorst, J.; Holmkvist, J.; Knapp, S.; Kořínek, M.; Larsen, L.K.; Pedersen, A.E.; et al. Novel p38α MAP kinase inhibitors identified from yoctoReactor DNA-encoded small molecule library. Med. Chem. Commun. 2016, 7, 1332–1339. [Google Scholar] [CrossRef]
- Röhm, S.; Berger, B.T.; Schröder, M.; Chaikuad, A.; Winkel, R.; Hekking, K.F.W.; Benningshof, J.J.C.; Müller, G.; Tesch, R.; Kudolo, M.; et al. Fast Iterative Synthetic Approach toward Identification of Novel Highly Selective p38 MAP Kinase Inhibitors. J. Med. Chem. 2019, 62, 10757–10782. [Google Scholar] [CrossRef]
- Röhm, S.; Schröder, M.; Dwyer, J.E.; Widdowson, C.S.; Chaikuad, A.; Berger, B.T.; Joerger, A.C.; Krämer, A.; Harbig, J.; Dauch, D.; et al. Selective targeting of the C and DGF-out pocket in p38 MAPK. Eur. J. Med. Chem. 2020, 208, 112721–112755. [Google Scholar] [CrossRef]
- Supuran, C.T.; Scozzafava, A.; Casini, A. Carbonic anhydrase inhibitors. Med. Res. Rev. 2003, 23, 146–189. [Google Scholar] [CrossRef]
- Ibrahim, H.S.; Abou-Seri, S.H.; Tanc, M.; Elaasser, M.M.; Abdel-Aziz, H.A.; Supuran, C.T. Isatin-pyrazole benzenesulfonamide hybrids potently inhibit tumor-associated carbonic anhydrase isoforms IX and XII. Eur. J. Med. Chem. 2015, 103, 583–593. [Google Scholar] [CrossRef] [PubMed]
- Pippione, A.C.; Sainas, S.; Federico, A.; Lupino, E.; Piccinini, M.; Kubbutat, M.; Contreras, J.M.; Morice, C.; Barge, A.; Ducime, A.; et al. N-Acetyl-3-aminopyrazoles block the noncanonical NF-kB cascade by selectively inhibiting NIK. Med. Chem. Commun. 2018, 9, 963–968. [Google Scholar] [CrossRef] [PubMed]
- Sharma, V.; Bhatia, P.; Alam, O.; Naim, M.J.; Nawaz, F.; Sheik, A.A.; Jha, M. Recent advancement in the discovery and development of COX-2 inhibitors: Insight into biological activities and SAR studies (2008–2019). Bioorg. Chem. 2019, 89, 103007–103051. [Google Scholar] [CrossRef]
- Tołoczko-Iwaniuk, N.; Dziemiánczyk-Pakieła, D.; Nowaszewska, B.K.; Celinska-Janowicz, K.; Miltyk, W. Celecoxib in cancer therapy and prevention–review. Curr. Drug Targets 2019, 20, 302–315. [Google Scholar] [CrossRef] [PubMed]
- Hassan, A.Y.; Saleh, N.M.; Kadh, M.S.; Abou-Amra, E.S. New fused pyrazolopyrimidine derivatives; heterocyclic styling, synthesis, molecular docking and anticancer evaluation. J. Heterocycl. Chem. 2020, 57, 2704–2721. [Google Scholar] [CrossRef]
- Anwer, K.E.; Sayed, G.H. Conventional and microwave reactions of 1,3-diaryl-5,4-enaminonitrile-pyrazole derivative with expected antimicrobial and anticancer activities. J. Heterocycl. Chem. 2020, 57, 2339–2353. [Google Scholar] [CrossRef]
- Fadaly, W.A.A.; Elshaier, Y.A.M.M.; Hassanein, E.H.M.; Abdellatif, K.R.A. New 1,2,4-triazole/pyrazole hybrids linked to oxime moiety as nitric oxide donor celecoxib analogs: Synthesis, cyclooxygenase inhibition antiinflammatory, ulcerogenicity, anti-proliferative activities, apoptosis, molecular modeling and nitric oxide release studies. Bioorg. Chem. 2020, 98, 103752–103771. [Google Scholar] [CrossRef]
- Gomez, E.B.; Ebata, K.; Randeria, H.S.; Rosendahl, M.S.; Cedervall, E.P.; Morales, T.H.; Hanson, L.M.; Brown, N.E.; Gong, X.; Stephens, J.R.; et al. Pirtobrutinib preclinical characterization: A highly selective, non-covalent (reversible) BTK inhibitor. Blood 2023, 141, blood.2022018674. [Google Scholar] [CrossRef]
- Shi, E.K. FDA approves 2 oncology drugs. Chem. Engin. News 2023, 101, 13. [Google Scholar]
- Michot, J.M.; Ribrag, V. Pirtobrutinib shows evidence to inaugurate a third generation of BTK inhibitors. Lancet 2021, 397, 855–857. [Google Scholar] [CrossRef]
- Mato, A.R.; Shah, N.N.; Jurczak, W.; Cheah, C.Y.; Pagel, J.M.; Woyach, J.A.; Fakhri, B.; Eyre, T.A.; Lamanna, N.; Patel, M.R.; et al. Pirtobrutinib in relapsed or refractory B-cell malignancies (BRUIN): A phase 1/2 study. Lancet 2021, 397, 892–901. [Google Scholar] [CrossRef] [PubMed]
- Brandhuber, B.J.; Ku, N.C.Y.; Nanda, N.; Smith, S.A.; Tsai, D. Dosing of a Bruton’s Tyrosine Kinase Inhibitor. WO Patent WO/2021/113497, 10 June 2021. [Google Scholar]
- Guisot, N. Compounds Useful as Kinase Inhibitors. WO Patent WO/2017/103611, 22 June 2017. [Google Scholar]
- Tasso, B.; Spallarossa, A.; Russo, E.; Brullo, C. The Development of BTK Inhibitors: A Five-Year Update. Molecules 2021, 26, 7411–7441. [Google Scholar] [CrossRef] [PubMed]
- U.S National Library of Medicine ClinicalTrials.gov. Available online: https://clinicaltrials.gov/ct2/results?term=pirtobrutinib (accessed on 8 March 2023).
- Gouda, M.A.; Berghot, M.A.; El-Ghani, G.E.A.; Khalil, A.M. Synthesis and antimicrobial activities of some new thiazole and pyrazole derivatives based on 4,5,6,7-tetrahydrobenzothiophene moiety. Eur. J. Med. Chem. 2010, 45, 1338–1345. [Google Scholar] [CrossRef] [PubMed]
- Behbehani, H.; Ibrahim, H.M.; Makhseed, S.; Elnagdi, M.H.; Mahmoud, H. 2-Aminothiophenes as building blocks in heterocyclic synthesis: Synthesis and antimicrobial evaluation of a new class of pyrido[1,2-a]thieno[3,2-e]pyrimidine, quinoline and pyridin-2-one derivatives. Eur. J. Med. Chem. 2012, 52, 51–65. [Google Scholar] [CrossRef] [PubMed]
- Al-Adiwish, W.M.; Tahir, M.I.M.; Siti-Noor-Adnalizawati, A.; Hashim, S.F.; Ibrahim, N.; Yaacob, W.A. Synthesis, antibacterial activity and cytotoxicity of new fused pyrazolo[1,5-a]pyrimidine and pyrazolo[5,1-c][1,2,4]triazine derivatives from new 5-aminopyrazoles. Eur. J. Med. Chem. 2013, 64, 464–476. [Google Scholar] [CrossRef] [PubMed]
- Eldin, M.S.M.; Elazzazy, A.M.; Saleh, T.S.; Mekky, A.E.M.; Al-Bogami, A.S. Development of Novel Amphiphilic Pyrazole-g-PolyGlycidyl methacrylate-Based Polymers with Potential Antimicrobial Activity. Adv. Polym. Technol. 2018, 37, 706–713. [Google Scholar] [CrossRef]
- Modi, P.; Patel, S.; Chhabria, M. Discovery of newer pyrazole derivatives with potential anti-tubercular activity via 3D-QSAR based pharmacophore modelling, virtual screening, molecular docking and molecular dynamics simulation studies. Mol. Divers. 2022. [Google Scholar] [CrossRef]
- Dominguez, J.N.; Charris, J.E.; Caparelli, M.; Riggione, F. Synthesis and Antimalarial Activity of Substituted Pyrazole Derivatives. Arzneim. Forsch./Drug Res. 2002, 52, 482–488. [Google Scholar] [CrossRef]
- Verma, M.; Gupta, R.K.; Nema, R.K.; Misra, U. Synthesis of Some Substituted Pyrazole Derivatives and Their Evaluation as Antiprotozoal Agents. Int. J. Chem. Sci. 2008, 6, 179–184. [Google Scholar]
- Abdellatif, K.R.A.; Abdellal, E.K.A.; Lamie, P.F.; Labib, M.B.; El-Nahaas, E.S.; Abdelhakeem, M.M. New pyrazole derivatives possessing amino/methanesulphonyl pharmacophore with good gastric safety profile: Design, synthesis, cyclooxygenase inhibition, anti-inflammatory activity and histopathological studies. Bioorg. Chem. 2019, 95, 103540–103552. [Google Scholar] [CrossRef]
- Brullo, C.; Massa, M.; Rapetti, F.; Alfei, S.; Bertolotto, M.B.; Montecucco, F.; Signorello, M.G.; Bruno, O. New Hybrid Pyrazole and Imidazopyrazole Antinflammatory Agents Able to Reduce ROS Production in Different Biological Targets. Molecules 2020, 25, 899–916. [Google Scholar] [CrossRef] [PubMed]
- Brullo, C.; Russo, E.; Garibaldi, S.; Altieri, P.; Ameri, P.; Ravera, S.; Signorello, M.G. Inside the mechanisms of three newly synthetized pyrazole derivatives. Antioxidants 2023, 12, 216–228. [Google Scholar] [CrossRef] [PubMed]
- Kordik, C.P.; Luo, C.; Zanoni, B.C.; Dax, S.L.; McNally, J.J.; Lovenberg, T.W.; Wilson, S.J.; Reitz, A.B. Aminopyrazoles with High Affinity for the Human Neuropeptide Y5 Receptor. Bioorg. Med. Chem. Lett. 2001, 11, 2283–2286. [Google Scholar] [CrossRef] [PubMed]
- Simon-Delso, N.; Amaral-Rogers, V.; Belzunces, L.P.; Bonmatin, J.M.; Chagnon, M.; Downs, C.; Furlan, L.; Gibbons, D.W.; Giorio, C.; Girolami, V.; et al. Systemic insecticides (neonicotinoids and fipronil): Trends, uses, mode of action and metabolites. Environ. Sci. Pollut. Res. 2015, 22, 5–34. [Google Scholar] [CrossRef]
- Hebishy, A.M.S.; Salama, H.T.; Elgemeie, G.H. New Route to the Synthesis of Benzamide-Based 5-Aminopyrazoles and Their Fused Heterocycles Showing Remarkable Antiavian Influenza Virus Activity. ACS Omega 2020, 5, 25104–25112. [Google Scholar] [CrossRef]
- Krystof, V.; Cankar, P.; Frysova, I.; Slouka, J.; Kontopidis, G.; Dzubak, P.; Hajduch, M.; Srovnal, J.; De Azevedo, W.F., Jr.; Orsag, M.; et al. 4-Arylazo-3,5-diamino-1H-pyrazole CDK Inhibitors: SAR Study, Crystal Structure in Complex with CDK2, Selectivity, and Cellular Effects. J. Med. Chem. 2006, 49, 6500–6509. [Google Scholar] [CrossRef]
- Ismail, M.M.F.; Soliman, D.H.; Sabour, R.; Farrag, A.M. Synthesis of new arylazopyrazoles as apoptosis inducers: Candidates to inhibit proliferation of MCF-7 cells. Arch. Pharm. 2021, 354, e2000214. [Google Scholar] [CrossRef]
- Corona, A.; Onnis, V.; Deplano, A.; Bianco, G.; Demurtas, M.; Distinto, S.; Cheng, Y.C.; Alcaro, S.; Esposito, F.; Tramontano, E. Design, synthesis and antiviral evaluation of novel heteroarylcarbothioamide derivatives as dual inhibitors of HIV-1 reverse transcriptase-associated RNase H and RDDP functions. Phatogens Dis. 2017, 75, ftx078. [Google Scholar] [CrossRef]
- Jansen, C.U.; Uhd, J.; Andersen, J.B.; Hultqvist, L.D.; Jakobsen, T.H.; Nilsson, M.; Nielsen, T.E.; Givskov, M.; Tolker-Nielsen, T.; Qvortrup, K.M. SAR study of 4-arylazo-3,5-diamino-1H-pyrazoles: Identification of small molecules that induce dispersal of Pseudomonas aeruginosa biofilms. RSC Med. Chem. 2021, 12, 1868–1879. [Google Scholar] [CrossRef]
- Eicher, T.; Hauptmann, S. The Chemistry of Heterocycles; Wiley-VCH: Hoboken, NJ, USA, 2003; ISBN 3527307206. [Google Scholar]
- Naim, M.J.; Alam, O.; Nawaz, F.; Alam, M.J.; Alam, P. Current status of pyrazole and its biological activities. J. Pharm. Bioallied Sci. 2016, 8, 2–17. [Google Scholar]
- Katz, A.M.; Pearsom, C.M.; Kannedy, J.H. A clinical trial of indomethacin in rheumatoid arthritis. Clin. Pharmacol. Ther. 1965, 6, 25–30. [Google Scholar] [CrossRef] [PubMed]
- Anwara, H.F.; Mohamed, H.E. Recent developments I aminopyrazole chemistry. Arkivoc 2009, 2009, 198–250. [Google Scholar] [CrossRef]
- Abu Elmaati, T.M.; El-Taweel, F.M. New Trends in the Chemistry of 5-Aminopyrazoles. J. Heterocycl. Chem. 2004, 41, 109–134. [Google Scholar] [CrossRef]
- Duarte, C.D.; Barreiro, E.J.; Fraga, C.A. Privileged structures: A useful concept for the rational design of new lead drug candidates. Mini Rev. Med. Chem. 2007, 70, 1108–1119. [Google Scholar] [CrossRef]















| AP Class | Cpd | Biological Activity | Target(s) | Ref |
|---|---|---|---|---|
| 3APs | 5 | Anticancer | Tubulin | [33] |
| 6 | Anticancer and antioxidant | / | [35] | |
| 7 | Antiproliferative and anti-mitotic | / | [38] | |
| 8 | Antiproliferative | CG interrupting site | [39] | |
| 9 | Anti-inflammatory | MK2 | [40] | |
| 10 | Anti-inflammatory | GSK-3β | [41] | |
| 11 | Antiproliferative | / | [42] | |
| 4APs | 15 | Anticancer | / | [48] |
| 16 | Antioxidant | / | [49] | |
| 5APs | RO3201195 | Anti-inflammatory | p38α | [56] |
| 17 | Anti-inflammatory | p38α | [59] | |
| VPC00628 | Anti-inflammatory | p38α | [60] | |
| SR-318 | Anti-inflammatory | p38α | [61] | |
| 18 | Anti-inflammatory | p38α | [62] | |
| 19 | Anticancer | hCA XII | [64] | |
| 20 | Anticancer | NF-κB | [65] | |
| 21 | Antiproliferative | COX-2 | [68] | |
| 22 | Antiproliferative | / | [69] | |
| 23 | Antiproliferative | EGFR | [70] | |
| 33 | Anti-inflammatory | COX-2 | [86] | |
| 34 | Anti-inflammatory | COX-2 | [86] | |
| 35 | Anti-inflammatory | COX-2 | [70] | |
| 36 | Antioxidant | PDE4 | [87] | |
| 3,5DAPs | 40 | Anticancer | CDK9 | [92] |
| 41 | Antiproliferative | CDK2/cyclin | [93] |
| AP Class | Cpd | Biological Activity | Target(s) | Ref |
|---|---|---|---|---|
| 3APs | 1 | Antibacterial | S. aureus (G+) | [29] |
| 2 | Antibacterial | S. aureus (G+) and E. coli (G−) | [30] | |
| 3 | Antibacterial and antifungal | B. subtilis (G+), S. pneumoniae (G+), E. coli (G−), A. flavus, S. racemosum, and G. candidum | [31] | |
| 4 | Antiviral | HIV-1 reverse transcriptase | [32] | |
| 5APs | 22 | Antibacterial | B. subtilis (G+), S. aureus (G+), E. coli (G−), and P. aereuginosa (G−) | [69] |
| 24 | Antibacterial and antifungal | B. theringiensis (G+), K. pneumoniae (G−), B. fabe, and F. oxysporum | [79] | |
| 25 | Antibacterial and antifungal | B. subtilis (G+), C. albicans, and S. cerevisiae | [80] | |
| 26 | Antibacterial | S. aureus (G+) and E. coli (G−) | [81] | |
| 27 | Antibacterial | Gram-negative strains | [82] | |
| 28 | Antibacterial | B. subtilis (G+), S. aureus (G+), E. coli (G−), and P. aereuginosa (G−) | [69] | |
| 29 | Antibacterial | B. subtilis (G+), S. aureus (G+), E. coli (G−), and P. aereuginosa (G−) | [69] | |
| 30 | Anti-tubercular | InhA | [83] | |
| 31 | Antimalarial | P. falciparum | [84] | |
| 32 | Antimalarial and antiprotozoal | P. falciparum and L. donovani | [85] | |
| 39 | Antiviral | Influenza A (H5N1) | [91] | |
| 3,5DAPs | 42 | Antiviral | HIV-1 RNase H | [94] |
| 43 | Antibacterial | P. aereuginosa (G−) | [95] |
Disclaimer/Publisher’s Note: The statements, opinions and data contained in all publications are solely those of the individual author(s) and contributor(s) and not of MDPI and/or the editor(s). MDPI and/or the editor(s) disclaim responsibility for any injury to people or property resulting from any ideas, methods, instructions or products referred to in the content. |
© 2023 by the authors. Licensee MDPI, Basel, Switzerland. This article is an open access article distributed under the terms and conditions of the Creative Commons Attribution (CC BY) license (https://creativecommons.org/licenses/by/4.0/).
Share and Cite
Lusardi, M.; Spallarossa, A.; Brullo, C. Amino-Pyrazoles in Medicinal Chemistry: A Review. Int. J. Mol. Sci. 2023, 24, 7834. https://doi.org/10.3390/ijms24097834
Lusardi M, Spallarossa A, Brullo C. Amino-Pyrazoles in Medicinal Chemistry: A Review. International Journal of Molecular Sciences. 2023; 24(9):7834. https://doi.org/10.3390/ijms24097834
Chicago/Turabian StyleLusardi, Matteo, Andrea Spallarossa, and Chiara Brullo. 2023. "Amino-Pyrazoles in Medicinal Chemistry: A Review" International Journal of Molecular Sciences 24, no. 9: 7834. https://doi.org/10.3390/ijms24097834
APA StyleLusardi, M., Spallarossa, A., & Brullo, C. (2023). Amino-Pyrazoles in Medicinal Chemistry: A Review. International Journal of Molecular Sciences, 24(9), 7834. https://doi.org/10.3390/ijms24097834

