Reduction in CgA-Derived CST Protein Level in HTR-8/SVneo and BeWo Trophoblastic Cell Lines Caused by the Preeclamptic Environment
Abstract
1. Introduction
2. Results
2.1. Preeclamptic Conditions Have a Minimal Influence on CHGA Gene Expression and CgA Protein Level in HTR-8/SVneo and BeWO Cells


2.2. Hypoxia, Inflammation and Oxygen Stress Lower CST Protein Level in HTR-8/SVneo and BeWO Cells
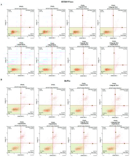
2.3. Preeclamptic Conditions Induce Apoptosis—The Higher Apoptotic Index Correlates with a Low Level of Catestatin Both for HTR-8/SVneo and BeWo Cell Lines
3. Discussion
4. Materials and Methods
4.1. Cell Culture
4.2. RNA Isolation
4.3. CHGA Real Time PCR (RT-PCR)
4.4. Total Protein Extraction
4.5. Media Collection for Protein Analysis
4.6. Western Blot Analysis
4.7. ELISA Test
4.8. Apoptosis
4.9. Statistical Analysis
5. Conclusions
Author Contributions
Funding
Institutional Review Board Statement
Informed Consent Statement
Data Availability Statement
Conflicts of Interest
References
- Brown, M.A.; Magee, L.A.; Kenny, L.C.; Karumanchi, S.A.; McCarthy, F.P.; Saito, S.; Hall, D.R.; Warren, C.E.; Adoyi, G.; Ishaku, S. The hypertensive disorders of pregnancy: ISSHP classification, diagnosis & management recommendations for international practice. Pregnancy Hypertens. 2018, 13, 291–310. [Google Scholar] [PubMed]
- Redman, C.W.G.; Sargent, I.L. Placental debris, oxidative stress and pre-eclampsia. Placenta 2000, 21, 597–602. [Google Scholar] [CrossRef]
- Burton, G.J.; Redman, C.W.; Roberts, J.M.; Moffett, A. Pre-eclampsia: Pathophysiology and clinical implications. BMJ 2019, 366, l2381. [Google Scholar] [CrossRef] [PubMed]
- Mukherjee, I.; Dhar, R.; Singh, S.; Sharma, J.B.; Nag, T.C.; Mridha, A.R.; Jaiswal, P.; Biswas, S.; Karmakar, S. Oxidative stress-induced impairment of trophoblast function causes preeclampsia through the unfolded protein response pathway. Sci. Rep. 2021, 11, 18415. [Google Scholar] [CrossRef] [PubMed]
- Žák, P.; Souček, M. Correlation of tumor necrosis factor alpha, interleukin 6 and interleukin 10 with blood pressure, risk of preeclampsia and low birth weight in gestational diabetes. Physiol. Res. 2019, 68, 395–408. [Google Scholar] [CrossRef]
- Kumar, P.; Magon, N. Hormones in pregnancy. Niger. Med. J. 2012, 53, 179–183. [Google Scholar] [CrossRef]
- Syversen, U.; Opsjøn, S.L.; Stridsberg, M.; Sandvik, A.K.; Dimaline, R.; Tingulstad, S.; Arntzen, K.J.; Brenna, E.; Waldum, H.L. Chromogranin A and pancreastatin-like immunoreactivity in normal pregnancies. J. Clin. Endocrinol. Metab. 1996, 81, 4470–4475. [Google Scholar]
- Florio, P.; Mezzesimi, A.; Turchetti, V.; Severi, F.M.; Ticconi, C.; Forconi, S.; Petraglia, F. High Levels of Human Chromogranin A in Umbilical Cord Plasma and Amniotic Fluid at Parturition. J. Soc. Gynecol. Investig. 2002, 9, 32–36. [Google Scholar] [CrossRef]
- Gong, J.; Lee, J.; Akio, H.; Schlegel, P.N.; Shen, R. Attenuation of Apoptosis by Chromogranin A-Induced Akt and Survivin Pathways in Prostate Cancer Cells. Endocrinology 2007, 148, 4489–4499. [Google Scholar] [CrossRef]
- Bílek, R.; Vlček, P.; Šafařík, L.; Michalský, D.; Novák, K.; Dušková, J.; Václavíková, E.; Widimský, J.; Zelinka, T. Chromogranin a in the laboratory diagnosis of pheochromocytoma and paraganglioma. Cancers 2019, 11, 586. [Google Scholar] [CrossRef]
- Garcia-Carbonero, R.; Matute Teresa, F.; Mercader-Cidoncha, E.; Mitjavila-Casanovas, M.; Robledo, M.; Tena, I.; Alvarez-Escola, C.; Arístegui, M.; Bella-Cueto, M.R.; Ferrer-Albiach, C.; et al. Multidisciplinary practice guidelines for the diagnosis, genetic counseling and treatment of pheochromocytomas and paragangliomas. Clin. Transl. Oncol. 2021, 23, 1995–2019. [Google Scholar] [CrossRef] [PubMed]
- Zhao, J.; Chow, R.P.; McLeese, R.H.; Hookham, M.B.; Lyons, T.J.; Yu, J.Y. Modelling preeclampsia: A comparative analysis of the common human trophoblast cell lines. FASEB BioAdv. 2021, 3, 23. [Google Scholar] [CrossRef] [PubMed]
- Ma, J.; Hu, H.; Lin, M.; Chen, L.; Liu, M.; Li, H.; Quan, S. ELABELA alleviates syncytiotrophoblast hypoxia/reoxygenation injury and preeclampsia-like symptoms in mice by reducing apoptosis. Placenta 2021, 106, 30–39. [Google Scholar] [CrossRef] [PubMed]
- Abou-Kheir, W.; Barrak, J.; Hadadeh, O.; Daoud, G. HTR-8/SVneo cell line contains a mixed population of cells. Placenta 2017, 50, 1–7. [Google Scholar] [CrossRef] [PubMed]
- Drwal, E.; Rak, A.; Gregoraszczuk, E. Co-culture of JEG-3, BeWo and syncBeWo cell lines with adrenal H295R cell line: An alternative model for examining endocrine and metabolic properties of the fetoplacental unit. Cytotechnology 2018, 70, 285. [Google Scholar] [CrossRef]
- Wang, Y.; Gu, Y.; Alexander, J.S.; Lewis, D.F.; Pecháňová, O.; Pecháňová, P. Preeclampsia Status Controls Interleukin-6 and Soluble IL-6 Receptor Release from Neutrophils and Endothelial Cells: Relevance to Increased Inflammatory Responses. Pathophysiology 2021, 28, 202–211. [Google Scholar] [CrossRef]
- Lv, J.; Zhang, X.; Wang, C.; Wang, H.; Wang, T.; Qian, Z. Hydrogen peroxide promotes the activation of preeclampsia peripheral T cells. Innate Immun. 2018, 24, 203–209. [Google Scholar] [CrossRef]
- Pavlacky, J.; Polak, J. Technical Feasibility and Physiological Relevance of Hypoxic Cell Culture Models. Front. Endocrinol. 2020, 11, 57. [Google Scholar] [CrossRef]
- Burton, G.J.; Cindrova-Davies, T.; Yung, H.W.; Jauniaux, E. HYPOXIA AND REPRODUCTIVE HEALTH: Oxygen and development of the human placenta. Reproduction 2021, 161, F53–F65. [Google Scholar] [CrossRef] [PubMed]
- Di Comite, G.; Rossi, C.M.; Marinosci, A.; Lolmede, K.; Baldissera, E.; Aiello, P.; Mueller, R.B.; Herrmann, M.; Voll, R.E.; Rovere-Querini, P.; et al. Circulating chromogranin A reveals extra-articular involvement in patients with rheumatoid arthritis and curbs TNF-α-elicited endothelial activation. J. Leukoc. Biol. 2008, 85, 81–87. [Google Scholar] [CrossRef]
- Helle, K.B. The chromogranin A-derived peptides vasostatin-I and catestatin as regulatory peptides for cardiovascular functions. Cardiovasc. Res. 2010, 85, 9–16. [Google Scholar] [CrossRef]
- Roatta, S.; Passatore, M.; Novello, M.; Colombo, B.; Dondossola, E.; Mohammed, M.; Losano, G.; Corti, A.; Helle, K.B. The chromogranin A- derived N-terminal peptide vasostatin-I: In vivo effects on cardiovascular variables in the rabbit. Regul. Pept. 2011, 168, 10–20. [Google Scholar] [CrossRef]
- Mahapatra, N.R.; Connor, D.T.O.; Vaingankar, S.M.; Hikim, A.P.S.; Mahata, M.; Ray, S.; Staite, E.; Wu, H.; Gu, Y.; Dalton, N.; et al. Hypertension from targeted ablation of chromogranin A can be rescued by the human ortholog. J. Clin. Investig. 2005, 115, 1942–1952. [Google Scholar] [CrossRef]
- Hernandez-Trejo, J.A.; Suarez-Perez, D.; Gutierrez-Martinez, I.Z.; Fernandez-Vargas, O.E.; Serrano, C.; Candelario-Martínez, A.A.; Meraz-Ríos, M.A.; Citalán-Madrid, A.F.; Hernández-Ruíz, M.; Reyes-Maldonado, E.; et al. The pro-inflammatory cytokines IFNγ/TNFα increase chromogranin A-positive neuroendocrine cells in the colonic epithelium. Biochem. J. 2016, 473, 3805–3818. [Google Scholar] [CrossRef]
- Zalewska, E.; Kmieć, P.; Sworczak, K. Role of Catestatin in the Cardiovascular System and Metabolic Disorders. Front. Cardiovasc. Med. 2022, 9, 1247. [Google Scholar] [CrossRef] [PubMed]
- Tuuli, M.G.; Longtine, M.S.; Nelson, D.M. Review: Oxygen and trophoblast biology—A source of controversy. Placenta 2011, 32, S109–S118. [Google Scholar] [CrossRef] [PubMed]
- Bralewska, M.; Biesiada, L.; Grzesiak, M.; Rybak-Krzyszkowska, M.; Huras, H.; Gach, A.; Pietrucha, T.; Sakowicz, A. Chromogranin A demonstrates higher expression in preeclamptic placentas than in normal pregnancy. BMC Pregnancy Childbirth 2021, 21, 680. [Google Scholar] [CrossRef] [PubMed]
- Sahu, B.S.; Sonawane, P.J.; Mahapatra, N.R. Chromogranin A: A novel susceptibility gene for essential hypertension. Cell. Mol. Life Sci. 2010, 67, 861–874. [Google Scholar] [CrossRef] [PubMed]
- Ying, W.; Tang, K.; Avolio, E.; Schilling, J.M.; Pasqua, T.; Liu, M.A.; Cheng, H.; Zhang, J.; Pasqua, S.; Bandyopadhyay, G.; et al. Catestatin (CST) is a key mediator of the immunoendocrine regulation of cardiovascular function. bioRxiv 2020. [Google Scholar] [CrossRef]
- Chu, S.Y.; Peng, F.; Wang, J.; Liu, L.; Meng, L.; Zhao, J.; Han, X.N.; Ding, W.H. Catestatin in defense of oxidative-stress-induced apoptosis: A novel mechanism by activating the beta2 adrenergic receptor and PKB/Akt pathway in ischemic-reperfused myocardium. Peptides 2019, 123, 170200. [Google Scholar] [CrossRef] [PubMed]
- Theurl, M.; Schgoer, W.; Albrecht, K.; Jeschke, J.; Egger, M.; Beer, A.G.; Vasiljevic, D.; Rong, S.; Wolf, A.M.; Bahlmann, F.H.; et al. The Neuropeptide Catestatin Acts as a Novel Angiogenic Cytokine via a Basic Fibroblast Growth Factor–Dependent Mechanism. Circ. Res. 2010, 107, 1326–1335. [Google Scholar] [CrossRef] [PubMed]
- Muntjewerff, E.M.; Parv, K.; Mahata, S.K.; Phillipson, M.; van den Bogaart, G. The anti-inflammatory peptide Catestatin blocks chemotaxis. J. Leukoc. Biol. 2021, 112, 273–278. [Google Scholar] [CrossRef]
- Mahata, S.K.; Kiranmayi, M.; Mahapatra, N.R. Catestain: A master regulator of cardiovascular functions. Curr. Med. Chem. 2018, 25, 1352–1374. [Google Scholar] [CrossRef]
- Mahapatra, N.R. Catestatin is a novel endogenous peptide that regulates cardiac function and blood pressure. Cardiovasc. Res. 2008, 80, 330–338. [Google Scholar] [CrossRef]
- Muntjewerff, E.M.; Dunkel, G.; Nicolasen, M.J.T.; Mahata, S.K.; van den Bogaart, G. Catestatin as a Target for Treatment of Inflammatory Diseases. Front. Immunol. 2018, 9, 2199. [Google Scholar] [CrossRef] [PubMed]
- O’Connor, D.T.; Kailasam, M.T.; Kennedy, B.P.; Ziegler, M.G.; Yanaihara, N.; Parmer, R.J. Early decline in the catecholamine release-inhibitory peptide catestatin in humans at genetic risk of hypertension. J. Hypertens. 2002, 20, 1335–1345. [Google Scholar] [CrossRef]
- Tüten, N.; Güralp, O.; Gök, K.; Hamzaoglu, K.; Oner, Y.O.; Makul, M.; Bulut, H.; Irmak, K.; Tüten, A.; Malik, E. Serum catestatin level is increased in women with preeclampsia. J. Obstet. Gynaecol. 2022, 42, 55–60. [Google Scholar] [CrossRef]
- Luketin, M.; Mizdrak, M.; Boric-Skaro, D.; Martinovic, D.; Tokic, D.; Vilovic, M.; Supe-Domic, D.; Kurir, T.T.; Bozic, J. Plasma Catestatin Levels and Advanced Glycation End Products in Patients on Hemodialysis. Biomolecules 2021, 11, 456. [Google Scholar] [CrossRef] [PubMed]
- Sharp, A.N.; Heazell, A.E.P.; Crocker, I.P.; Mor, G. Placental Apoptosis in Health and Disease. Am. J. Reprod. Immunol. 2010, 64, 159. [Google Scholar]
- Liao, F.; Zheng, Y.; Cai, J.; Fan, J.; Wang, J.; Yang, J.; Cui, Q.; Xu, G.; Tang, C.; Geng, B. Catestatin attenuates endoplasmic reticulum induced cell apoptosis by activation type 2 muscarinic acetylcholine receptor in cardiac ischemia/reperfusion. Sci. Rep. 2015, 5, 16590. [Google Scholar] [CrossRef]
- Gupta, S.K.; Malhotra, S.S.; Malik, A.; Verma, S.; Chaudhary, P. Cell Signaling Pathways Involved during Invasion and Syncytialization of Trophoblast Cells. Am. J. Reprod. Immunol. 2016, 75, 361–371. [Google Scholar] [CrossRef] [PubMed]
- Fabi, F.; Grenier, K.; Parent, S.; Adam, P.; Tardif, L.; Leblanc, V.; Asselin, E. Regulation of the PI3K/Akt pathway during decidualization of endometrial stromal cells. PLoS ONE 2017, 12, e0177387. [Google Scholar] [CrossRef]
- Liu, L.; Wang, Y.; Yu, Q. The PI3K/Akt signaling pathway exerts effects on the implantation of mouse embryos by regulating the expression of RhoA. Int. J. Mol. Med. 2014, 33, 1089–1096. [Google Scholar] [CrossRef]
- Ferguson, S.S.G.; Feldman, R.D. β-Adrenoceptors as Molecular Targets in the Treatment of Hypertension. Can. J. Cardiol. 2014, 30, S3–S8. [Google Scholar] [CrossRef]
- Correia, M.; Agapitov, A.; Sinkey, C.; Haynes, W. Vasodilatation Induced by Beta 2 Adrenergic Receptor Activation Is Impaired in Obese Hypertensives before and after Weight Loss: 9C.03. J. Hypertens. 2010, 28, e437. [Google Scholar] [CrossRef]
- Aune, B.; Vårtun Øian, P.; Sager, G. Evidence of dysfunctional β2-adrenoceptor signal system in pre-eclampsia. BJOG Int. J. Obstet. Gynaecol. 2000, 107, 116–121. [Google Scholar] [CrossRef] [PubMed]
- Pfaffl, M.W. A new mathematical model for relative quantification in real-time RT-PCR. Nucleic Acids Res. 2001, 29, e45. [Google Scholar] [CrossRef]



| Variants | Stimulants |
|---|---|
| Control | 8%O2 |
| Hypoxic conditions (HC) | 2%O2 |
| Inflammatory-like preeclamptic environment (ILPE1) | 2%O2 +1 ng/mL IL6 |
| Inflammatory-like preeclamptic environment (ILPE2) | 2%O2 +10 ng/mL IL6 |
| Oxidative stress-like preeclamptic environment (OLPE1) | 2%O2 +10 µM H2O2 |
| Oxidative stress-like preeclamptic environment (OLPE2) | 2%O2 +50 µM H2O2 |
| Preeclamptic-like environment (PLE1) | 2%O2 +1 ng/mL IL6 10 µM + H2O2 |
| Preeclamptic-like environment (PLE2) | 2%O2 +10 ng/mL IL6 +50 µM H2O2 |
Disclaimer/Publisher’s Note: The statements, opinions and data contained in all publications are solely those of the individual author(s) and contributor(s) and not of MDPI and/or the editor(s). MDPI and/or the editor(s) disclaim responsibility for any injury to people or property resulting from any ideas, methods, instructions or products referred to in the content. |
© 2023 by the authors. Licensee MDPI, Basel, Switzerland. This article is an open access article distributed under the terms and conditions of the Creative Commons Attribution (CC BY) license (https://creativecommons.org/licenses/by/4.0/).
Share and Cite
Bralewska, M.; Pietrucha, T.; Sakowicz, A. Reduction in CgA-Derived CST Protein Level in HTR-8/SVneo and BeWo Trophoblastic Cell Lines Caused by the Preeclamptic Environment. Int. J. Mol. Sci. 2023, 24, 7124. https://doi.org/10.3390/ijms24087124
Bralewska M, Pietrucha T, Sakowicz A. Reduction in CgA-Derived CST Protein Level in HTR-8/SVneo and BeWo Trophoblastic Cell Lines Caused by the Preeclamptic Environment. International Journal of Molecular Sciences. 2023; 24(8):7124. https://doi.org/10.3390/ijms24087124
Chicago/Turabian StyleBralewska, Michalina, Tadeusz Pietrucha, and Agata Sakowicz. 2023. "Reduction in CgA-Derived CST Protein Level in HTR-8/SVneo and BeWo Trophoblastic Cell Lines Caused by the Preeclamptic Environment" International Journal of Molecular Sciences 24, no. 8: 7124. https://doi.org/10.3390/ijms24087124
APA StyleBralewska, M., Pietrucha, T., & Sakowicz, A. (2023). Reduction in CgA-Derived CST Protein Level in HTR-8/SVneo and BeWo Trophoblastic Cell Lines Caused by the Preeclamptic Environment. International Journal of Molecular Sciences, 24(8), 7124. https://doi.org/10.3390/ijms24087124

