Ion Separation Together with Water Purification via a New Type of Nanotube: A Molecular Dynamics Study
Abstract
1. Introduction
2. Model and Methodology
2.1. Model of an Ion Separation System
2.2. Methodology
- Step 1: Build the initial geometry model of the system with a fully relaxed CTT channel.
- Step 2: Reshape the positions of atoms in the system by minimizing the potential energy of the system.
- Step 3: Relax the system (Stage I) at 300 K by fixing the piston and confining the solution in the source reservoir (Ω1) for 300 ps. After this relaxation, the solution reaches a more reasonable state.
- Step 4: Open the valve to let the solution enters Ω2 and keep relaxing the whole system for 500 ps. The system reaches a relatively stable immersion state (Stage II).
- Step 5: In Stage III, push the graphene piston at a constant speed (v), e.g., 0.01 Å/ps in this study, to force the solution entering CTT channel for separation.
- Step 6: Record the essential data for post processing.
2.3. Physical Quantities of the System in Separation
3. Results and Discussion
3.1. Effect of Electric Field on Ion Separation
3.2. Mass Transfer through the A-30 Channel
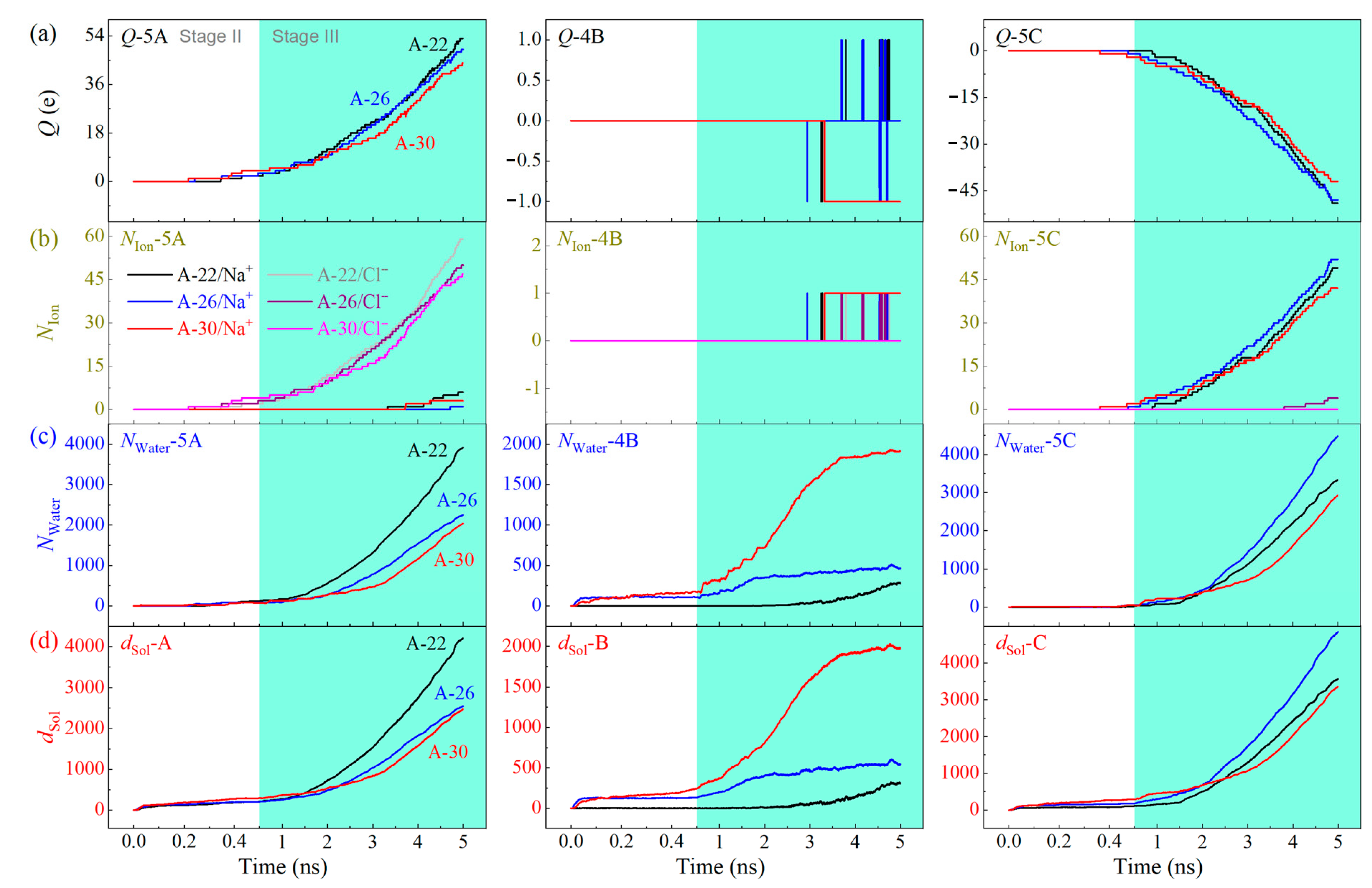
3.3. Size Effect of CTT on Ion Separation
3.4. Effect of Solute Concentration on Ion Separation
4. Conclusions
Supplementary Materials
Author Contributions
Funding
Institutional Review Board Statement
Acknowledgments
Conflicts of Interest
References
- Gryta, M. Long-term performance of membrane distillation process. J. Membr. Sci. 2005, 265, 153–159. [Google Scholar] [CrossRef]
- Alkhudhiri, A.; Darwish, N.; Hilal, N. Membrane distillation: A comprehensive review. Desalination 2002, 287, 2–18. [Google Scholar] [CrossRef]
- Greenlee, L.F.; Lawler, D.F.; Freeman, B.D.; Marrot, B.; Moulin, P. Reverse osmosis desalination: Water sources, technology, and today’s challenges. Water Res. 2009, 43, 2317–2348. [Google Scholar] [CrossRef] [PubMed]
- Peng Lee, K.; Arnot, T.C.; Mattia, D. A review of reverse osmosis membrane materials for desalination-development to date and future potential. J. Membr. Sci. 2011, 370, 1–22. [Google Scholar]
- Hilal, N.; Al-Zoubi, H.; Darwish, N.A.; Mohamma, A.W.; Abu Arabi, M. A comprehensive review of nanofiltration membranes: Treatment, pretreatment, modelling, and atomic force microscopy. Desalination 2004, 170, 281–308. [Google Scholar] [CrossRef]
- Mohammad, A.W.; Teow, Y.H.; Ang, W.L.; Chung, Y.T. Oatley-Radcliffe DL, Hilal, N. Nanofiltration membranes review: Recent advances and future prospects. Desalination 2015, 356, 226–254. [Google Scholar] [CrossRef]
- Huang, C.; Xu, T.; Zhang, Y.; Xue, Y.; Chen, G. Application of electrodialysis to the production of organic acids: State-of-the-art and recent developments. J. Membr. Sci. 2007, 288, 1–12. [Google Scholar] [CrossRef]
- Post, J.V.; Hamelers, H.V.M.; Buisman, C.J.N. Energy recovery from controlled mixing salt and fresh water with a reverse electrodialysis system. Environ. Sci. Technol. 2008, 42, 5785–5790. [Google Scholar] [CrossRef] [PubMed]
- Oren, Y. Capacitive deionization (CDI) for desalination and water treatment—Past, present and future (a review). Desalination 2008, 228, 10–29. [Google Scholar] [CrossRef]
- Suss, M.E.; Porada, S.; Sun, X.; Biesheuvel, P.M.; Yoon, J.; Presser, V. Water desalination via capacitive deionization: What is it and what can we expect from it? Energy Environ. Sci. 2015, 8, 2296–2319. [Google Scholar] [CrossRef]
- Biesheuvel, P.M.; van der Wal, A. Membrane capacitive deionization. J. Membr. Sci. 2010, 346, 256–262. [Google Scholar] [CrossRef]
- Zhao, R.; Biesheuvel, P.M.; van der Wal, A. Energy consumption and constant current operation in membrane capacitive deionization. Energy Environ. Sci. 2012, 5, 9520–9527. [Google Scholar] [CrossRef]
- Długołęcki, P.; van der Wal, A. Energy recovery in membrane capacitive deionization. Environ. Sci. Technol. 2013, 47, 4904–4910. [Google Scholar] [CrossRef] [PubMed]
- Santoro, C.; Arbizzani, C.; Erable, B.; Ieropoulos, I. Microbial fuel cells: From fundamentals to applications. A review. J. Power Sources 2017, 356, 225–244. [Google Scholar] [CrossRef] [PubMed]
- Sevda, S.; Yuan, H.; He, Z.; Abu-Reesh, I.M. Microbial desalination cell: An integrated approach for wastewater treatment and desalination systems for sustainable water desalination and wastewater treatment. Desalination 2015, 371, 9–17. [Google Scholar] [CrossRef]
- Li, Y.; Styczynski, J.; Huang, Y.; Xu, Z.; McCutcheon, J.; Li, B. Energy-positive wastewater treatment and desalination in an integrated microbial desalination cell (MDC)-microbial electrolysis cell (MEC). J. Power Sources 2017, 356, 529–538. [Google Scholar] [CrossRef]
- Walter, X.A.; Madrid, E.; Gajda, I.; Greenman, J.; Ieropoulos, I. Microbial fuel cell scale-up options: Performance evaluation of membrane (c-MFC) and membrane-less (s-MFC) systems under different feeding regimes. J. Power Sources 2022, 520, 230875. [Google Scholar] [CrossRef] [PubMed]
- Ouyang, T.; Hu, X.; Liu, W.; Shi, X.; Lu, J. An innovative model for biofilm-based microfluidic microbial fuel cells. J. Power Sources 2022, 521, 230940. [Google Scholar] [CrossRef]
- Whitby, M.; Quirke, N. Fluid flow in carbon nanotubes and nanopipes. Nat. Nanotechnol. 2007, 2, 87–94. [Google Scholar] [CrossRef] [PubMed]
- Sarkar, B.; Mandal, S.; Tsang, Y.F.; Kumar, P.; Kim, K.H.; Ok, Y.S. Designer carbon nanotubes for contaminant removal in water and wastewater: A critical review. Sci. Total Environ. 2018, 612, 561–581. [Google Scholar] [CrossRef] [PubMed]
- Ihsanullah. Carbon nanotube membranes for water purification: Developments, challenges, and prospects for the future. Sep. Purif. Technol. 2019, 209, 307–337. [Google Scholar] [CrossRef]
- Yu, F.; Shi, H.; Shi, J.; Teng, K.; Xu, Z.; Qian, X. High-performance forward osmosis membrane with ultra-fast water transport channel and ultra-thin polyamide layer. J. Membr. Sci. 2020, 616, 118611. [Google Scholar] [CrossRef]
- Zhang, Z.; Li, S.; Mi, B.; Wang, J.; Ding, J. Surface slip on rotating graphene membrane enables the temporal selectivity that breaks the permeability-selectivity trade-off. Sci. Adv. 2020, 6, eaba9471. [Google Scholar] [CrossRef]
- Tu, Y.S.; Xiu, P.; Wan, R.Z.; Hu, J.; Zhou, R.H.; Fang, H.P. Water-mediated signal multiplication with Y-shaped carbon nanotubes. Proc. Natl. Acad. Sci. USA 2009, 106, 18120–18124. [Google Scholar] [CrossRef] [PubMed]
- Rivera, J.L.; Starr, F.W. Rapid transport of water via a carbon nanotube syringe. J. Phys. Chem. C 2010, 114, 3737–3742. [Google Scholar] [CrossRef]
- Kou, J.L.; Lu, H.J.; Wu, F.M.; Fan, J.T.; Yao, J. Electricity resonance-induced fast transport of water through nanochannels. Nano Lett. 2014, 14, 4931–4936. [Google Scholar] [CrossRef]
- Barton, R.A.; Ilic, B.; Verbridge, S.S.; Cipriany, B.R.; Parpia, J.M.; Craighead, H.G. Fabrication of a nanomechanical mass sensor containing a nanofluidic channel. Nano Lett. 2010, 10, 2058–2063. [Google Scholar] [CrossRef]
- Chen, H.; Ge, Y.; Ye, S.; Zhu, Z.; Tu, Y.; Ge, D.; Xu, Z.; Chen, W.; Yang, X. Water transport facilitated by carbon nanotubes enables a hygroresponsive actuator with negative hydrotaxis. Nanoscale 2020, 12, 6104–6110. [Google Scholar] [CrossRef]
- Alexiadis, A.; Kassinos, S. The density of water in carbon nanotubes. Chem. Eng. Sci. 2008, 63, 2047–2056. [Google Scholar] [CrossRef]
- Das, A.; Jayanthi, S.; Deepak, H.S.M.V.; Ramanathan, K.V.; Kumar, A.; Dasgupta, C.; Sood, A.K. Single-file diffusion of confined water inside SWNTs: An NMR study. Acs Nano. 2010, 4, 1687–1695. [Google Scholar] [CrossRef]
- Hummer, G.; Rasaiah, J.C.; Noworyta, J.P. Water conduction through the hydrophobic channel of a carbon nanotube. Nature 2001, 414, 188–190. [Google Scholar] [CrossRef]
- Yin, H.; Cai, K.; Wei, N.; Qin, Q.H.; Shi, J. Study on the dynamics responses of a transmission system made from carbon nanotubes. J. Appl. Phys. 2015, 117, 234305. [Google Scholar] [CrossRef]
- Yang, L.K.; Cai, K.; Shi, J.; Qin, Q.H. Significance tests on the output power of a thermally driven rotary nanomotor. Nanotechnology 2017, 28, 215705. [Google Scholar] [CrossRef] [PubMed]
- Cai, K.; Wu, P.W.; Shi, J.; Zhong, Z.; Zhang, Y.Y. CNT-motor driven by competition between thermal fluctuation and REF. Int. J. Mech. Sci. 2022, 225, 107372. [Google Scholar] [CrossRef]
- Sahu, P.; Ali, S.M.; Shenoy, K.T.; Mohan, S. Nanoscopic insights of saline water in carbon nanotube appended filters using molecular dynamics simulations. Phys. Chem. Chem. Phys. 2019, 21, 8529–8542. [Google Scholar] [CrossRef] [PubMed]
- Su, Z.; Chen, J.; Zhao, Y.; Su, J. How ions block the single-file water transport through a carbon nanotube. Phys. Chem. Chem. Phys. 2019, 21, 11298–11305. [Google Scholar] [CrossRef] [PubMed]
- Elliott, J.D.; Troisi, A.; Carbone, P. A QM/MD coupling method to model the ion-induced polarization of graphene. J. Chem. Theory Comput. 2020, 16, 5253–5263. [Google Scholar] [CrossRef] [PubMed]
- Zhang, X.; Wei, M.J.; Xu, F.; Wang, Y. Thickness-dependent ion rejection in nanopores. J. Membr. Sci. 2020, 601, 117899. [Google Scholar] [CrossRef]
- Velioglu, S.; Karahan, H.E.; Goh, K.; Bae, T.H.; Chen, Y.; Chew, J.W. Metallicity-dependent ultrafast water transport in carbon nanotubes. Small 2020, 16, 1907575. [Google Scholar] [CrossRef]
- Sam, A.; Prasad, V.K.; Sathian, S.P. Water flow in carbon nanotubes: The role of tube chirality. Phys. Chem. Chem. Phys. 2019, 21, 6566–6573. [Google Scholar] [CrossRef]
- Haenggi, P.; Marchesoni, F. Artificial Brownian motors: Controlling transport on the nanoscale. Rev. Mod. Phys. 2009, 81, 387–442. [Google Scholar] [CrossRef]
- Yang, D.; Li, Q.; Shi, J.; Wang, J.; Liu, Q. Inner surface modification of 1.76 nm diameter (13,13) carbon nanotubes and the desalination behavior of its reverse osmosis membrane. New, J. Chem. 2017, 41, 14325–14333. [Google Scholar] [CrossRef]
- Druchok, M.; Luksic, M. Carboxylated carbon nanotubes can serve as pathways for molecules in sandwich-like two-phase organic-water systems. J. Mol. Liq. 2019, 291, 111287. [Google Scholar] [CrossRef]
- Sadeghi, F.; Ajori, S.; Ansari, R. Continuum modeling of ion-selective membranes constructed from functionalized carbon nanotubes. Eur. Phys. J. Plus 2020, 135, 553. [Google Scholar] [CrossRef]
- Zhou, X.; Cai, H.F.; Hu, C.W.; Shi, J.; Li, Z.L.; Cai, K. Analogous diamondene nanotube structure prediction based on molecular dynamics and first-principle calculations. Nanomaterials 2020, 10, 846. [Google Scholar] [CrossRef]
- Cai, K.; Zhou, X.; Shi, J.; Qin, Q.H. Water transport behaviors in a CTT-type nanotube system. Microfluid. Nanofluidics 2022, 26, 91. [Google Scholar] [CrossRef]
- Plimpton, S. Fast parallel algorithms for short-range molecular-dynamics. J. Comput. Phys. 1995, 117, 1–19. [Google Scholar] [CrossRef]
- Berendsen, H.; Grigera, J.R.; Straatsma, T. The missing term in effective pair potentials. J. Phys. Chem. 1987, 91, 6269–6271. [Google Scholar] [CrossRef]
- Mark, P.; Nilsson, L. Structure and Dynamics of the TIP3P, SPC, and SPC/E Water Models at 298 K. J. Phys. Chem. A 2001, 105, 9954–9960. [Google Scholar] [CrossRef]
- Ye, H.-F.; Wang, J.; Zheng, Y.-G.; Zhang, H.-W.; Chen, Z. Machine learning for reparameterization of four-site water models: TIP4P-BG and TIP4P-BGT. Phys. Chem. Chem. Phys. 2021, 23, 10164. [Google Scholar] [CrossRef]
- Ryckaert, J.P.; Ciccotti, G.; Berendsen, H.J.C. Numerical integration of the cartesian equations of motion of a system with constraints: Molecular dynamics of n-alkanes. J. Comput. Phys. 1977, 23, 327–341. [Google Scholar] [CrossRef]
- Joung, I.S.; Cheatham, T.E. Determination of alkali and halide monovalent ion parameters for use in explicitly solvated biomolecular simulations. J. Phys. Chem. B 2008, 112, 9020–9041. [Google Scholar] [CrossRef] [PubMed]
- Stuart, S.J.; Tutein, A.B.; Harrison, J.A. A reactive potential for hydrocarbons with intermolecular interactions. J. Chem. Phys. 2000, 112, 6472–6486. [Google Scholar] [CrossRef]
- Delhommelle, J.; Millie, P. Inadequacy of the Lorentz-Berthelot combining rules for accurate predictions of equilibrium properties by molecular simulation. Mol. Phys. 2001, 99, 619–625. [Google Scholar] [CrossRef]
- Nosé, S. A unified formulation of the constant temperature molecular dynamics methods. J. Chem. Phys. 1984, 81, 511–519. [Google Scholar] [CrossRef]
- Hoover, W. Canonical dynamics: Equilibrium phase-space distributions. Phys. Rev. A 1985, 31, 1695–1697. [Google Scholar] [CrossRef]
- Luzar, A.; Chandler, D. Hydrogen-bond kinetics in liquid water. Nature 1996, 379, 55–57. [Google Scholar] [CrossRef]








| Concentration | NaCl | H2O |
|---|---|---|
| 0 mol/L | 0 | 9330 |
| 0.6 mol/L | 103 | 9250 |
| 1 mol/L | 176 | 9180 |
| Element | ε (kcal/mol) | σ (Å) | q (e) |
| C [31] | 0.0860 | 3.4000 | 0.0000 |
| O [48] | 0.1553 | 3.1660 | −0.8476 |
| H (H2O) [48] | 0.0000 | 0.0000 | 0.4238 |
| H (C-H) | 0.0000 | 0.0000 | 0.0000 |
| Na+ [52] | 0.3526 | 2.1595 | 1.0000 |
| Cl− [52] | 0.0128 | 4.8305 | −1.0000 |
| Zone | Q (e) | NWater | dSol | ||||||
|---|---|---|---|---|---|---|---|---|---|
| A-22 | A-26 | A-30 | A-22 | A-26 | A-30 | A-22 | A-26 | A-30 | |
| A/5A | −53 | −49 | −44 | 3916 | 2251 | 2039 | 4200 | 2546 | 2474 |
| B/4B | 0 | 0 | 1 | 288 | 465 | 1910 | 313 | 544 | 1973 |
| C/5C | 49 | 48 | 42 | 3331 | 4481 | 2927 | 3569 | 4844 | 3359 |
| RPuri | 3.82% | 6.46% | 27.78% | ||||||
Disclaimer/Publisher’s Note: The statements, opinions and data contained in all publications are solely those of the individual author(s) and contributor(s) and not of MDPI and/or the editor(s). MDPI and/or the editor(s) disclaim responsibility for any injury to people or property resulting from any ideas, methods, instructions or products referred to in the content. |
© 2023 by the authors. Licensee MDPI, Basel, Switzerland. This article is an open access article distributed under the terms and conditions of the Creative Commons Attribution (CC BY) license (https://creativecommons.org/licenses/by/4.0/).
Share and Cite
Shi, J.; Zhou, X.; Jia, P.; Cai, K. Ion Separation Together with Water Purification via a New Type of Nanotube: A Molecular Dynamics Study. Int. J. Mol. Sci. 2023, 24, 6677. https://doi.org/10.3390/ijms24076677
Shi J, Zhou X, Jia P, Cai K. Ion Separation Together with Water Purification via a New Type of Nanotube: A Molecular Dynamics Study. International Journal of Molecular Sciences. 2023; 24(7):6677. https://doi.org/10.3390/ijms24076677
Chicago/Turabian StyleShi, Jiao, Xin Zhou, Pan Jia, and Kun Cai. 2023. "Ion Separation Together with Water Purification via a New Type of Nanotube: A Molecular Dynamics Study" International Journal of Molecular Sciences 24, no. 7: 6677. https://doi.org/10.3390/ijms24076677
APA StyleShi, J., Zhou, X., Jia, P., & Cai, K. (2023). Ion Separation Together with Water Purification via a New Type of Nanotube: A Molecular Dynamics Study. International Journal of Molecular Sciences, 24(7), 6677. https://doi.org/10.3390/ijms24076677

