Global Transcriptomic Analyses Provide New Insight into the Molecular Mechanisms of Endocarp Formation and Development in Iron Walnut (Juglans sigillata Dode)
Abstract
1. Introduction
2. Results
2.1. Morphological and Weight Changes during Iron Walnut Endocarp Development
2.2. Comparative Transcriptomic Analysis of Developing Endocarp in J. sigillate
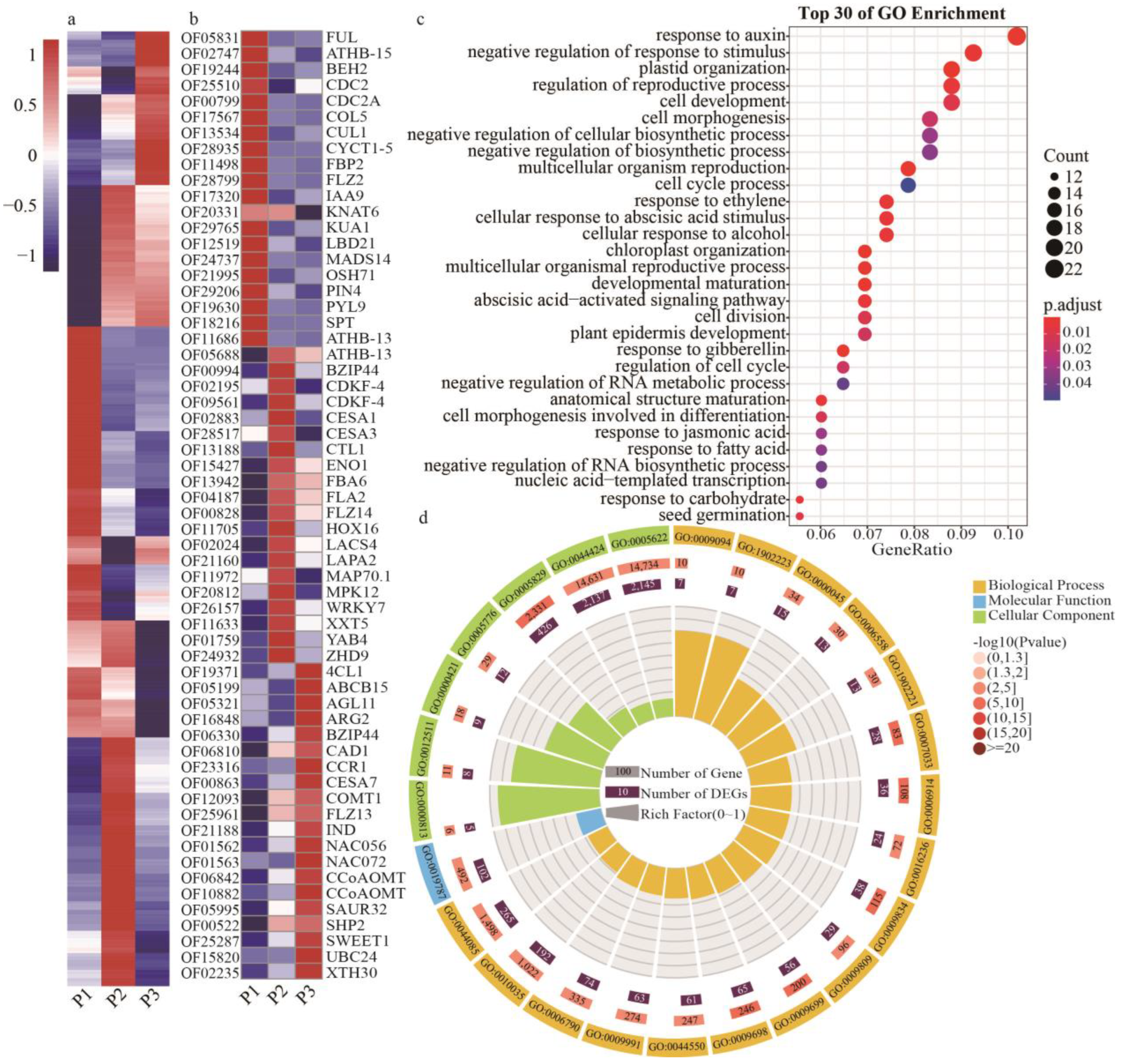
2.3. Clustered Analysis of Gene Expression during Shell Development
2.4. Global Gene Expression Analyses Identify Endocarp-Specific Genes
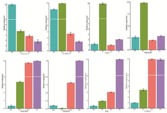
2.5. QRT-PCR Validation
3. Discussion
4. Materials and Methods
4.1. Plant Materials and Growth Conditions
4.2. Transcriptome Sequencing and Differential Gene Expression Analyses
4.3. Identification and Characterization of Tissue-Specific Genes
4.4. Gene Co-Expression Analysis and Cis-Element Predictions
4.5. QRT-PCR
5. Conclusions
Supplementary Materials
Author Contributions
Funding
Institutional Review Board Statement
Informed Consent Statement
Data Availability Statement
Conflicts of Interest
References
- Abdallah, I.B.; Tlili, N.; Martinez-Force, E.; Rubio, A.G.; Perez-Camino, M.C.; Albouchi, A.; Boukhchina, S. Content of carotenoids, tocopherols, sterols, triterpenic and aliphatic alcohols, and volatile compounds in six walnuts (Juglans regia L.) varieties. Food Chem. 2015, 173, 972–978. [Google Scholar] [CrossRef] [PubMed]
- Ning, D.L.; Wu, T.; Xiao, L.J.; Ma, T.; Fang, W.L.; Dong, R.Q.; Cao, F.L. Chromosomal-level assembly of Juglans sigillata genome using Nanopore, BioNano, and Hi-C analysis. Gigascience 2020, 9, giaa006. [Google Scholar] [CrossRef] [PubMed]
- Zhao, S.G.; Wen, J.; Wang, H.X.; Zhang, Z.H.; Li, X.B. Changes in Lignin Content and Activity of Related Enzymes in the Endocarp During the Walnut Shell Development Period. Hortic. Plant J. 2016, 2, 141–146. [Google Scholar] [CrossRef]
- Xiao, N.N.; Bock, P.; Antreich, S.J.; Staedler, Y.M.; Schonenberger, J.; Gierlinger, N. From the Soft to the Hard: Changes in Microchemistry during Cell Wall Maturation of Walnut Shells. Front. Plant Sci. 2020, 11, 466. [Google Scholar] [CrossRef]
- Dardick, C.; Callahan, A.M. Evolution of the fruit endocarp: Molecular mechanisms underlying adaptations in seed protection and dispersal strategies. Front. Plant Sci. 2014, 5, 284. [Google Scholar] [CrossRef] [PubMed]
- Pinney, K.; Polito, V.S. English walnut fruit growth and development. Sci. Hortic. 1983, 21, 19–28. [Google Scholar] [CrossRef]
- Ye, Z.H.; Zhong, R. Molecular control of wood formation in trees. J. Exp. Bot. 2015, 66, 4119–4131. [Google Scholar] [CrossRef]
- Zhou, L.X.; Yarra, R.; Zhao, Z.H.; Jin, L.F.; Cao, H.X. Development of SSR markers based on transcriptome data and association mapping analysis for fruit shell thickness associated traits in oil palm (Elaeis guineensis Jacq.). 3 Biotech 2020, 10, 280. [Google Scholar] [CrossRef]
- Huang, Y.J.; Xiao, L.H.; Zhang, Z.R.; Zhang, R.; Wang, Z.J.; Huang, C.Y.; Huang, R.; Luan, Y.M.; Fan, T.Q.; Wang, J.H.; et al. The genomes of pecan and Chinese hickory provide insights into Carya evolution and nut nutrition. Gigascience 2019, 8, giz036. [Google Scholar] [CrossRef]
- Martinez-Garcia, P.J.; Crepeau, M.W.; Puiu, D.; Gonzalez-Ibeas, D.; Whalen, J.; Stevens, K.A.; Paul, R.; Butterfield, T.S.; Britton, M.T.; Reagan, R.L.; et al. The walnut (Juglans regia) genome sequence reveals diversity in genes coding for the biosynthesis of non-structural polyphenols. Plant J. 2016, 87, 507–532. [Google Scholar] [CrossRef]
- Ji, F.Y.; Ma, Q.G.; Zhang, W.T.; Liu, J.; Feng, Y.; Zhao, P.; Song, X.B.; Chen, J.X.; Zhang, J.P.; Wei, X.; et al. A genome variation map provides insights into the genetics of walnut adaptation and agronomic traits. Genome Biol. 2021, 22, 300. [Google Scholar] [CrossRef]
- Gong, X.; Xie, Z.H.; Qi, K.J.; Zhao, L.Y.; Yuan, Y.Z.; Xu, J.H.; Rui, W.K.; Shiratake, K.; Bao, J.P.; Khanizadeh, S.; et al. PbMC1a/1b regulates lignification during stone cell development in pear (Pyrus bretschneideri) fruit. Hortic. Res. 2020, 7, 59. [Google Scholar] [CrossRef]
- Dardick, C.D.; Callahan, A.M.; Chiozzotto, R.; Schaffer, R.J.; Piagnani, M.C.; Scorza, R. Stone formation in peach fruit exhibits spatial coordination of the lignin and flavonoid pathways and similarity to Arabidopsis dehiscence. BMC Biol. 2010, 8, 13. [Google Scholar] [CrossRef] [PubMed]
- Lin, J.S.; Zhang, W.P.; Zhang, X.T.; Ma, X.K.; Zhang, S.C.; Chen, S.; Wang, Y.B.; Jia, H.F.; Liao, Z.Y.; Lin, J.; et al. Signatures of selection in recently domesticated macadamia. Nat. Commun. 2022, 13, 242. [Google Scholar] [CrossRef] [PubMed]
- Wang, R.Z.; Xue, Y.S.; Fan, J.; Yao, J.L.; Qin, M.F.; Lin, T.; Lian, Q.; Zhang, M.Y.; Li, X.L.; Li, J.M.; et al. A systems genetics approach reveals PbrNSC as a regulator of lignin and cellulose biosynthesis in stone cells of pear fruit. Genome Biol. 2021, 22, 313. [Google Scholar] [CrossRef] [PubMed]
- Xue, C.; Yao, J.L.; Xue, Y.S.; Su, G.Q.; Wang, L.; Lin, L.K.; Allan, A.C.; Zhang, S.L.; Wu, J. PbrMYB169 positively regulates lignification of stone cells in pear fruit. J. Exp. Bot. 2019, 70, 1801–1814. [Google Scholar] [CrossRef]
- Xue, C.; Yao, J.L.; Qin, M.F.; Zhang, M.Y.; Allan, A.C.; Wang, D.F.; Wu, J. PbrmiR397a regulates lignification during stone cell development in pear fruit. Plant Biotechnol. J. 2019, 17, 103–117. [Google Scholar] [CrossRef]
- Singh, R.; Low, E.T.; Ooi, L.C.; Ong-Abdullah, M.; Ting, N.C.; Nagappan, J.; Nookiah, R.; Amiruddin, M.D.; Rosli, R.; Manaf, M.A.; et al. The oil palm SHELL gene controls oil yield and encodes a homologue of SEEDSTICK. Nature 2013, 500, 340–344. [Google Scholar] [CrossRef]
- Favaro, R.; Pinyopich, A.; Battaglia, R.; Kooiker, M.; Borghi, L.; Ditta, G.; Yanofsky, M.F.; Kater, M.M.; Colombo, L. MADS-box protein complexes control carpel and ovule development in Arabidopsis. Plant Cell 2003, 15, 2603–2611. [Google Scholar] [CrossRef]
- Kong, X.C.; Wang, F.; Geng, S.F.; Guan, J.T.; Tao, S.; Jia, M.J.; Sun, G.L.; Wang, Z.Y.; Wang, K.; Ye, X.G.; et al. The wheat AGL6-like MADS-box gene is a master regulator for floral organ identity and a target for spikelet meristem development manipulation. Plant Biotechnol. J. 2022, 20, 75–88. [Google Scholar] [CrossRef]
- Liu, D.M.; Wang, D.; Qin, Z.R.; Zhang, D.D.; Yin, L.J.; Wu, L.; Colasanti, J.; Li, A.L.; Mao, L. The SEPALLATA MADS-box protein SLMBP21 forms protein complexes with JOINTLESS and MACROCALYX as a transcription activator for development of the tomato flower abscission zone. Plant J. 2014, 77, 284–296. [Google Scholar] [CrossRef] [PubMed]
- Angenent, G.C.; Franken, J.; Busscher, M.; van Dijken, A.; van Went, J.L.; Dons, H.J.; van Tunen, A.J. A novel class of MADS box genes is involved in ovule development in Petunia. Plant Cell 1995, 10, 1569–1582. [Google Scholar]
- Mizzotti, C.; Ezquer, I.; Paolo, D.; Rueda-Romero, P.; Guerra, R.F.; Battaglia, R.; Rogachev, I.; Aharoni, A.; Kater, M.M.; Caporali, E.; et al. SEEDSTICK is a master regulator of development and metabolism in the Arabidopsis seed coat. PLoS Genet. 2014, 10, e1004856. [Google Scholar] [CrossRef]
- Ezquer, I.; Mizzotti, C.; Nguema-Ona, E.; Gotté, M.; Beauzamy, L.; Viana, V.E.; Dubrulle, N.; Costa de Oliveira, A.; Caporali, E.; Koroney, A.S.; et al. The Developmental Regulator SEEDSTICK Controls Structural and Mechanical Properties of the Arabidopsis Seed Coat. Plant Cell 2016, 28, 2478–2492. [Google Scholar] [CrossRef] [PubMed]
- Dreni, L.; Jacchia, S.; Fornara, F.; Fornari, M.; Ouwerkerk, P.B.; An, G.; Colombo, L.; Kater, M.M. The D-lineage MADS-box gene OsMADS13 controls ovule identity in rice. Plant J. 2007, 52, 690–699. [Google Scholar] [CrossRef]
- Singh, R.; Low, E.L.; Ooi, L.C.; Ong-Abdullah, M.; Ting, N.C.; Nookiah, R.; Ithnin, M.; Marjuni, M.; Mustaffa, S.; Yaakub, Z.; et al. Variation for heterodimerization and nuclear localization among known and novel oil palm SHELL alleles. New Phytol. 2020, 226, 426–440. [Google Scholar] [CrossRef]
- Ferrandiz, C.; Fourquin, C. Role of the FUL-SHP network in the evolution of fruit morphology and function. J. Exp. Bot. 2014, 65, 4505–4513. [Google Scholar] [CrossRef]
- Girin, T.; Paicu, T.; Stephenson, P.; Fuentes, S.; Korner, E.; O’Brien, M.; Sorefan, K.; Wood, T.A.; Balanza, V.; Ferrandiz, C.; et al. INDEHISCENT and SPATULA interact to specify carpel and valve margin tissue and thus promote seed dispersal in Arabidopsis. Plant Cell 2011, 23, 3641–3653. [Google Scholar] [CrossRef]
- Zhao, W.Q.; Ding, L.; Liu, J.Y.; Zhang, X.; Li, S.; Zhao, K.K.; Guan, Y.X.; Song, A.P.; Wang, H.B.; Chen, S.M.; et al. Regulation of lignin biosynthesis by an atypical bHLH protein CmHLB in Chrysanthemum. J. Exp. Bot. 2022, 73, 2403–2419. [Google Scholar] [CrossRef]
- Gao, Z.Y.; Sun, W.J.; Wang, J.; Zhao, C.Y.; Zuo, K.J. GhbHLH18 negatively regulates fiber strength and length by enhancing lignin biosynthesis in cotton fibers. Plant Sci. 2019, 286, 7–16. [Google Scholar] [CrossRef]
- Heisler, M.G.; Atkinson, A.; Bylstra, Y.H.; Walsh, R.; Smyth, D.R. SPATULA; a gene that controls development of carpel margin tissues in Arabidopsis; encodes a bHLH protein. Development 2001, 128, 1089–1098. [Google Scholar] [CrossRef] [PubMed]
- De Jong, M.; Wolters-Arts, M.; Schimmel, B.C.; Stultiens, C.L.; de Groot, P.F.; Powers, S.J.; Tikunov, Y.M.; Bovy, A.G.; Mariani, C.; Vriezen, W.H.; et al. Solanum lycopersicum AUXIN RESPONSE FACTOR 9 regulates cell division activity during early tomato fruit development. J. Exp. Bot. 2015, 66, 3405–3416. [Google Scholar] [CrossRef] [PubMed]
- Wu, H.; Mori, A.; Jiang, X.S.; Wang, Y.X.; Yang, M. The INDEHISCENT protein regulates unequal cell divisions in Arabidopsis fruit. Planta 2006, 224, 971–997. [Google Scholar] [CrossRef] [PubMed]
- Liljegren, S.J.R.A.; Kempin, S.A.; Gremski, K.; Østergaard, L.; Guimil, S.; Reyes, D.K.; Yanofsky, M.F. Control of Fruit Patterning in Arabidopsis by INDEHISCENT. Cell 2004, 116, 843–853. [Google Scholar] [CrossRef]
- Chen, H.; Wang, J.P.; Liu, H.Z.; Li, H.Y.; Lin, Y.J.; Shi, R.; Yang, C.M.; Gao, J.H.; Zhou, C.G.; Li, Q.Z.; et al. Hierarchical Transcription Factor and Chromatin Binding Network for Wood Formation in Black Cottonwood (Populus trichocarpa). Plant Cell 2019, 31, 602–626. [Google Scholar] [CrossRef] [PubMed]
- Mitsuda, N.; Iwase, A.; Yamamoto, H.; Yoshida, M.; Seki, M.; Shinozaki, K.; Ohme-Takagi, M. NAC transcription factors; NST1 and NST3; are key regulators of the formation of secondary walls in woody tissues of Arabidopsis. Plant Cell 2007, 19, 270–280. [Google Scholar] [CrossRef] [PubMed]
- Lyu, X.L.; Shi, L.; Zhao, M.; Li, Z.P.; Liao, N.Q.; Meng, Y.Q.; Ma, Y.Y.; Zhou, Y.L.; Xue, Q.; Hu, Z.Y.; et al. A natural mutation of the NST1 gene arrests secondary cell wall biosynthesis in the seed coat of a hull-less pumpkin accession. Hortic. Res. 2022, 9, uhac136. [Google Scholar] [CrossRef] [PubMed]
- Pertea, M.; Kim, D.; Pertea, G.M.; Leek, J.T.; Salzberg, S.L. Transcript-level expression analysis of RNA-seq experiments with HISAT, StringTie and Ballgown. Nat. Protoc. 2016, 11, 1650–1667. [Google Scholar] [CrossRef]
- Carpenter, C.M.; Frank, D.N.; Williamson, K.; Arbet, J.; Wagner, B.D.; Kechris, K.; Kroehl, M.E. tidyMicro: A pipeline for microbiome data analysis and visualization using the tidyverse in R. BMC Bioinform. 2021, 22, 41. [Google Scholar] [CrossRef]
- Love, M.I.; Huber, W.; Anders, S. Moderated estimation of fold change and dispersion for RNA-seq data with DESeq2. Genome Biol. 2014, 15, 550. [Google Scholar] [CrossRef]
- Kumar, L.; Futschik, M.E. Mfuzz: A software package for soft clustering of microarray data. Bioinformation 2007, 2, 5–7. [Google Scholar] [CrossRef] [PubMed]
- Frazee, A.C.; Pertea, G.; Jaffe, A.E.; Langmead, B.; Salzberg, S.L.; Leek, J.T. Ballgown bridges the gap between transcriptome assembly and expression analysis. Nat. Biotechnol. 2015, 33, 243–246. [Google Scholar] [CrossRef] [PubMed]
- Huynh-Thu, V.A.; Irrthum, A.; Wehenkel, L.; Geurts, P. Inferring regulatory networks from expression data using tree-based methods. PLoS ONE 2010, 5, e12776. [Google Scholar] [CrossRef]
- Shannon, P.; Markiel, A.; Ozier, O.; Baliga, N.S.; Wang, J.T.; Ramage, D.; Amin, N.; Schwikowski, B.; Ideker, T. Cytoscape: A software environment for integrated models of biomolecular interaction networks. Genome Res. 2003, 13, 2498–2504. [Google Scholar] [CrossRef] [PubMed]
- Higo, K.; Ugawa, Y.; Iwamoto, M.; Korenaga, T. Plant cis-acting regulatory DNA elements (PLACE) database: 1999. Nucleic Acids Res. 1999, 27, 297–300. [Google Scholar] [CrossRef]
- Jensen, J.; Ørntoft, T. Normalization of real-time quantitative RT-PCR data: A model based variance estimation approach to identify genes suited for normalization-applied to bladder-and colon-cancer data-sets. Cancer Res. 2004, 64, 5245–5250. [Google Scholar]
- Livak, K.J.; Schmittgen, T.D. Analysis of relative gene expression data using real-time quantitative PCR and the 2(T)(-Delta Delta C) method. Methods 2001, 25, 402–408. [Google Scholar] [CrossRef] [PubMed]





Disclaimer/Publisher’s Note: The statements, opinions and data contained in all publications are solely those of the individual author(s) and contributor(s) and not of MDPI and/or the editor(s). MDPI and/or the editor(s) disclaim responsibility for any injury to people or property resulting from any ideas, methods, instructions or products referred to in the content. |
© 2023 by the authors. Licensee MDPI, Basel, Switzerland. This article is an open access article distributed under the terms and conditions of the Creative Commons Attribution (CC BY) license (https://creativecommons.org/licenses/by/4.0/).
Share and Cite
Yu, A.; Zou, H.; Li, P.; Yao, X.; Guo, J.; Sun, R.; Wang, G.; Xi, X.; Liu, A. Global Transcriptomic Analyses Provide New Insight into the Molecular Mechanisms of Endocarp Formation and Development in Iron Walnut (Juglans sigillata Dode). Int. J. Mol. Sci. 2023, 24, 6543. https://doi.org/10.3390/ijms24076543
Yu A, Zou H, Li P, Yao X, Guo J, Sun R, Wang G, Xi X, Liu A. Global Transcriptomic Analyses Provide New Insight into the Molecular Mechanisms of Endocarp Formation and Development in Iron Walnut (Juglans sigillata Dode). International Journal of Molecular Sciences. 2023; 24(7):6543. https://doi.org/10.3390/ijms24076543
Chicago/Turabian StyleYu, Anmin, Hanyu Zou, Ping Li, Xiaowei Yao, Jiayu Guo, Rui Sun, Gaosheng Wang, Xueliang Xi, and Aizhong Liu. 2023. "Global Transcriptomic Analyses Provide New Insight into the Molecular Mechanisms of Endocarp Formation and Development in Iron Walnut (Juglans sigillata Dode)" International Journal of Molecular Sciences 24, no. 7: 6543. https://doi.org/10.3390/ijms24076543
APA StyleYu, A., Zou, H., Li, P., Yao, X., Guo, J., Sun, R., Wang, G., Xi, X., & Liu, A. (2023). Global Transcriptomic Analyses Provide New Insight into the Molecular Mechanisms of Endocarp Formation and Development in Iron Walnut (Juglans sigillata Dode). International Journal of Molecular Sciences, 24(7), 6543. https://doi.org/10.3390/ijms24076543

