Cyclodextrin-Based Displacement Strategy of Sterigmatocystin from Serum Albumin as a Novel Approach for Acute Poisoning Detoxification
Abstract
1. Introduction
2. Results and Discussion
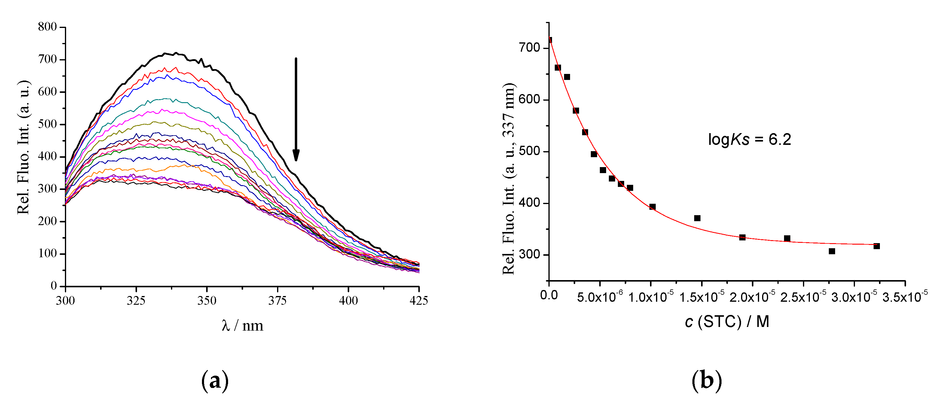
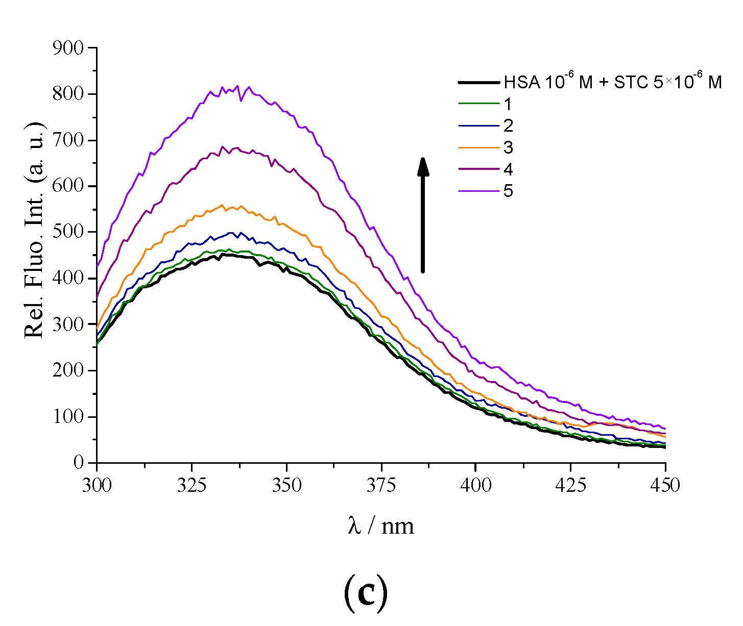
2.1. Study of STC Interactions with γ-CD, Sugammadex, β-CD, and HSA by Spectrophotometric Methods
2.2. Study of STC Interaction with HSA and Sugammadex by Microcalorimetry
2.3. Molecular Modelling
3. Materials and Methods
3.1. Reagent Preparation
3.2. Spectrophotometric Experiments
3.3. Microcalorimetric Titrations
3.4. Molecular Modelling
3.4.1. Docking
3.4.2. Molecular Dynamics (MD) Simulations
4. Conclusions
Supplementary Materials
Author Contributions
Funding
Institutional Review Board Statement
Informed Consent Statement
Data Availability Statement
Acknowledgments
Conflicts of Interest
References
- Yang, F.; Zhang, Y.; Liang, H. Interactive association of drugs binding to human serum albumin. Int. J. Mol. Sci. 2014, 15, 3580–3595. [Google Scholar] [CrossRef]
- Tuanny Franco, L.; Mousavi Khaneghah, A.; In Lee, S.H.; Fernandes Oliveira, C.A. Biomonitoring of mycotoxin exposure using urinary biomarker approaches: A review. Toxin Rev. 2019, 40, 383–403. [Google Scholar] [CrossRef]
- IARC. IARC monographs. A review of human cancerogens: Aflatoxins. In IARC Monographs on the Evaluation of Carcinogenic Risk to Humans; IARC Press: Lyon, France, 2012; Volume 100B, pp. 225–248. [Google Scholar]
- Jakšić, D.; Sertić, M.; Kifer, D.; Kocsubè, S.; Mornar Turk, A.; Nigović, B.; Šarkanj, B.; Krska, R.; Sulyok, M.; Šegvić Klarić, M. Fungi and their secondary metabolites in water-damaged indoors after a major flood event in eastern Croatia. Indoor Air 2021, 31, 730–744. [Google Scholar] [CrossRef]
- Wong, J.; Magun, B.; Wood, L. Lung inflammation caused by inhaled toxicants: A review. Int. J. Chron. Obstruct. Pulmon. Dis. 2016, 11, 1391. [Google Scholar] [CrossRef]
- Engelhart, S.; Loock, A.; Skutlarek, D.; Sagunski, H.; Lommel, A.; Färber, H.; Exner, M. Occurrence of toxigenic Aspergillus versicolor isolates and sterigmatocystin in carpet dust from damp indoor environments. Appl. Environ. Microbiol. 2002, 68, 3886–3890. [Google Scholar] [CrossRef]
- Gopalakrishnan, S.; Patel, D.J. Formation and structural features of a sterigmatocystin-formamidopyrimidine adduct at the DNA duplex level. J. Am. Chem. Soc. 1993, 115, 9321–9322. [Google Scholar] [CrossRef]
- Essigmann, J.M.; Barker, L.J.; Fowler, K.W.; Francisco, M.A.; Reinhold, V.N.; Wogan, G.N. Sterigmatocystin-DNA interactions: Identification of a major adduct formed after metabolic activation in vitro. Proc. Natl. Acad. Sci. USA 1979, 76, 179–183. [Google Scholar] [CrossRef]
- JECFA. Safety evaluation of certain food additives and contaminants: Aflatoxins. In Compendium of Food Additive Specifications, WHO Food Additives Series; Joint FAO/WHO Expert Committee on Food Additives, Ed.; Food and Agriculture Organization: Rome, Italy, 2008; pp. 305–356. ISBN 9789241660594. [Google Scholar]
- Jakšić, D.; Šegvić Klarić, M.; Crnolatac, I.; Šijaković Vujičić, N.; Smrečki, V.; Górecki, M.; Pescitelli, G.; Piantanida, I. Unique Aggregation of Sterigmatocystin in Water Yields Strong and Specific Circular Dichroism Response Allowing Highly Sensitive and Selective Monitoring of Bio-Relevant Interactions. Mar. Drugs 2019, 17, 629. [Google Scholar] [CrossRef]
- Varshney, A.; Sen, P.; Ahmad, E.; Rehan, M.; Subbarao, N.; Khan, R.H. Ligand binding strategies of human serum albumin: How can the cargo be utilized? Chirality 2010, 22, 77–87. [Google Scholar] [CrossRef]
- Gan, L.S.; Skipper, P.L.; Peng, X.; Groopman, J.D.; Chen, J.-S.; Wogan, G.N.; Tannenbaum, S.R. Serum albumin adducts in the molecular epidemiology of aflatoxin carcinogenesis: Correlation with aflatoxin b1 intake and urinary excretion of aflatoxin m1. Carcinogenesis 1988, 9, 1323–1325. [Google Scholar] [CrossRef]
- Fliszár-Nyúl, E.; Faisal, Z.; Skaper, R.; Lemli, B.; Bayartsetseg, B.; Hetényi, C.; Gömbös, P.; Szabó, A.; Poór, M. Interaction of the Emerging Mycotoxins Beauvericin, Cyclopiazonic Acid, and Sterigmatocystin with Human Serum Albumin. Biomolecules 2022, 12, 1106. [Google Scholar] [CrossRef]
- Yang, L.P.H.; Keam, S.J. Sugammadex: A review of its use in anaesthetic practice. Drugs 2009, 69, 919–942. [Google Scholar] [CrossRef]
- Zwiers, A.; Van Den Heuvel, M.; Smeets, J.; Rutherford, S. Assessment of the potential for displacement interactions with sugammadex: A pharmacokinetic-pharmacodynamic modelling approach. Clin. Drug Investig. 2011, 31, 101–111. [Google Scholar] [CrossRef]
- Fenyvesi, É.; Vikmon, M.; Szente, L. Cyclodextrins in Food Technology and Human Nutrition: Benefits and Limitations. Crit. Rev. Food Sci. Nutr. 2016, 56, 1981–2004. [Google Scholar] [CrossRef]
- Janshoff, A.; Steinem, C.; Michalke, A.; Henke, C.; Galla, H.J. Monofunctionalized β-cyclodextrins as sensor elements for the detection of small molecules. Sens. Actuators B Chem. 2000, 70, 243–253. [Google Scholar] [CrossRef]
- Dall’asta, C.; Ingletto, G.; Corradini, R.; Galaverna, G.; Marchelli, R. Fluorescence Enhancement of Aflatoxins Using Native and Substituted Cyclodextrins. J. Incl. Phenom. 2003, 45, 257–263. [Google Scholar] [CrossRef]
- Amadasi, A.; Dall’Asta, C.; Ingletto, G.; Pela, R.; Marchelli, R.; Cozzini, P. Explaining cyclodextrin–mycotoxin interactions using a ’natural’ force field. Bioorg. Med. Chem. 2007, 15, 4585–4594. [Google Scholar] [CrossRef]
- Bom, A.; Bradley, M.; Cameron, K.; Clark, J.K.; van Egmond, J.; Feilden, H.; MacLean, E.J.; Muir, A.W.; Palin, R.; Rees, D.C.; et al. A novel concept of reversing neuromuscular block: Chemical encapsulation of rocuronium bromide by a cyclodextrin-based synthetic host. Angew. Chem. Int. Ed. 2002, 41, 266–269. [Google Scholar] [CrossRef]
- Maragos, C.M.; Appell, M.; Lippolis, V.; Visconti, A.; Catucci, L.; Pascale, M. Use of cyclodextrins as modifiers of fluorescence in the detection of mycotoxins. Food Addit. Contam. Part A 2008, 25, 164–171. [Google Scholar] [CrossRef]
- Mohos, V.; Faisal, Z.; Fliszár-Nyúl, E.; Szente, L.; Poór, M. Testing the extraction of 12 mycotoxins from aqueous solutions by insoluble beta-cyclodextrin bead polymer. Environ. Sci. Pollut. Res. Int. 2022, 29, 210–221. [Google Scholar] [CrossRef]
- Faisal, Z.; Fliszár-Nyúl, E.; Dellafiora, L.; Galaverna, G.; Dall’Asta, C.; Lemli, B.; Kunsági-Máté, S.; Szente, L.; Poór, M. Interaction of zearalenone-14-sulfate with cyclodextrins and the removal of the modified mycotoxin from aqueous solution by beta-cyclodextrin bead polymer. J. Mol. Liq. 2020, 310, 113236. [Google Scholar] [CrossRef]
- Appell, M.; Evans, K.O.; Jackson, M.A.; Compton, D.L. Determination of ochratoxin A in grape juice and wine using nanosponge solid phase extraction clean-up and liquid chromatography with fluorescence detection. J. Liq. Chromatogr. Relat. Technol. 2019, 41, 949–954. [Google Scholar] [CrossRef]
- Appell, M.; Jackson, M.A. Synthesis and evaluation of cyclodextrin-based polymers for patulin extraction from aqueous solutions. J. Incl. Phenom. Macrocycl. Chem. 2010, 68, 117–122. [Google Scholar] [CrossRef]
- Shi, J.; Li, G.; Cui, Y.; Zhang, Y.; Liu, D.; Shi, Y.; He, H. Correction to: Surface-imprinted β-cyclodextrin-functionalized carbon nitride nanosheets for fluorometric determination of sterigmatocystin. Mikrochim. Acta 2021, 188, 332. [Google Scholar] [CrossRef]
- Lakowicz, J.R. Principles of Fluorescence Spectroscopy; Springer: Berlin/Heidelberg, Germany, 2006; ISBN 0387312781. [Google Scholar]
- Roy, N.; Bomzan, P.; Nath Roy, M. Probing Host-Guest inclusion complexes of Ambroxol Hydrochloride with α- & β-Cyclodextrins by physicochemical contrivance subsequently optimized by molecular modeling simulations. Chem. Phys. Lett. 2020, 748, 137372. [Google Scholar] [CrossRef]
- Hou, T.; Wang, J.; Li, Y.; Wang, W. Assessing the performance of the MM/PBSA and MM/GBSA methods. 1. The accuracy of binding free energy calculations based on molecular dynamics simulations. J. Chem. Inf. Model. 2011, 51, 69–82. [Google Scholar] [CrossRef]
- Trott, O.; Olson, A.J. AutoDock Vina: Improving the speed and accuracy of docking with a new scoring function, efficient optimization, and multithreading. J. Comput. Chem. 2010, 31, 455–461. [Google Scholar] [CrossRef]
- Ghuman, J.; Zunszain, P.A.; Petitpas, I.; Bhattacharya, A.A.; Otagiri, M.; Curry, S. Structural basis of the drug-binding specificity of human serum albumin. J. Mol. Biol. 2005, 353, 38–52. [Google Scholar] [CrossRef]
- Ionescu, C.M.; Sehnal, D.; Falginella, F.L.; Pant, P.; Pravda, L.; Bouchal, T.; Svobodová Vařeková, R.; Geidl, S.; Koča, J. AtomicChargeCalculator: Interactive web-based calculation of atomic charges in large biomolecular complexes and drug-like molecules. J. Cheminform. 2015, 7, 50. [Google Scholar] [CrossRef]
- Case, D.A.; Betz, R.M.; Cerutti, D.S.; Cheatham, T.E., III; Darden, T.A.; Duke, R.E.; Giese, T.J.; Gohlke, H.; Goetz, A.W.; Homeyer, N.; et al. AMBER 2016; University of California: San Francisco, CA, USA, 2016. [Google Scholar]
- Ryckaert, J.P.; Ciccotti, G.; Berendsen, H.J.C. Numerical integration of the cartesian equations of motion of a system with constraints: Molecular dynamics of n-alkanes. J. Comput. Phys. 1977, 23, 327–341. [Google Scholar] [CrossRef]
- Darden, T.; York, D.; Pedersen, L. Particle mesh Ewald: An N⋅log(N) method for Ewald sums in large systems. J. Chem. Phys. 1998, 98, 10089. [Google Scholar] [CrossRef]
- Genheden, S.; Ryde, U. The MM/PBSA and MM/GBSA methods to estimate ligand-binding affinities. Expert Opin. Drug Discov. 2015, 10, 449–461. [Google Scholar] [CrossRef] [PubMed]
- Keserü, G.M.; Swinney, D.C. Thermodynamics and Kinetics of Drug Binding; Keserü, G., Swinney, D.C., Eds.; Wiley: New York, NY, USA, 2015; Volume 65, ISBN 978-3-527-67302-5. [Google Scholar]
- Gohlke, H.; Kiel, C.; Case, D.A. Insights into Protein–Protein Binding by Binding Free Energy Calculation and Free Energy Decomposition for the Ras–Raf and Ras–RalGDS Complexes. J. Mol. Biol. 2003, 330, 891–913. [Google Scholar] [CrossRef]
- Rastelli, G.; Del Rio, A.; Degliesposti, G.; Sgobba, M. Fast and accurate predictions of binding free energies using MM-PBSA and MM-GBSA. J. Comput. Chem. 2010, 31, 797–810. [Google Scholar] [CrossRef] [PubMed]









| Complex | logKs (CD) | logKs (UV) | logKs (ITC) | logKs (fluo) |
|---|---|---|---|---|
| STC + CD-β | 6.1 a | 6.0 a | - | - |
| STC + CD-γ | 6.7 a | 6.0 b | - | - |
| STC + Sugammadex | 6.4 a | 6.3 a | 6.5 | - |
| STC + HSA | 4.5 a | 5.0 c | 6.1 e | 6.2 d |
| Complex | Number of Intermolecular H Bonds | ΔGbind (kcal/mol) |
|---|---|---|
| Sagamore–STC | 0.48 ± 0.78 | 28.90 |
| HSA–STC | 0.27 ± 0.59 | 30.99 |
Disclaimer/Publisher’s Note: The statements, opinions and data contained in all publications are solely those of the individual author(s) and contributor(s) and not of MDPI and/or the editor(s). MDPI and/or the editor(s) disclaim responsibility for any injury to people or property resulting from any ideas, methods, instructions or products referred to in the content. |
© 2023 by the authors. Licensee MDPI, Basel, Switzerland. This article is an open access article distributed under the terms and conditions of the Creative Commons Attribution (CC BY) license (https://creativecommons.org/licenses/by/4.0/).
Share and Cite
Jakšić, D.; Šegvić Klarić, M.; Rimac, H.; Kerep, R.; Piantanida, I. Cyclodextrin-Based Displacement Strategy of Sterigmatocystin from Serum Albumin as a Novel Approach for Acute Poisoning Detoxification. Int. J. Mol. Sci. 2023, 24, 4485. https://doi.org/10.3390/ijms24054485
Jakšić D, Šegvić Klarić M, Rimac H, Kerep R, Piantanida I. Cyclodextrin-Based Displacement Strategy of Sterigmatocystin from Serum Albumin as a Novel Approach for Acute Poisoning Detoxification. International Journal of Molecular Sciences. 2023; 24(5):4485. https://doi.org/10.3390/ijms24054485
Chicago/Turabian StyleJakšić, Daniela, Maja Šegvić Klarić, Hrvoje Rimac, Robert Kerep, and Ivo Piantanida. 2023. "Cyclodextrin-Based Displacement Strategy of Sterigmatocystin from Serum Albumin as a Novel Approach for Acute Poisoning Detoxification" International Journal of Molecular Sciences 24, no. 5: 4485. https://doi.org/10.3390/ijms24054485
APA StyleJakšić, D., Šegvić Klarić, M., Rimac, H., Kerep, R., & Piantanida, I. (2023). Cyclodextrin-Based Displacement Strategy of Sterigmatocystin from Serum Albumin as a Novel Approach for Acute Poisoning Detoxification. International Journal of Molecular Sciences, 24(5), 4485. https://doi.org/10.3390/ijms24054485

