Abstract
Chalcone is a common simple fragment of natural products with anticancer activity. In a previous study, the research group discovered a series of chalcone derivatives with stronger anticancer activities. To find better anticancer drugs, novel chalcone derivatives A1–A14, B1–B14 have continuously been designed and synthesized. The antiproliferative activity of these compounds against breast cancer cells (MCF-7) was investigated by the Cell Counting Kit-8 (CCK-8) method with 5-fluorouracil (5-Fu) as the control drug. The results showed that compound A14 exhibited excellent antiproliferative ability compared to the control drug 5-Fu. Scratch experiments and cloning experiments further confirmed that compound A14 could inhibit the proliferation and colony formation activity of MCF-7 cells. In addition, molecular docking primarily explains the interaction between compound and protein. These results suggested that compound A14 could be a promising chalcone derivative for further anti-breast cancer research.
1. Introduction
Breast cancer is still one of the most common cancers among women worldwide [1,2]; though the cure rate of breast cancer has improved in the past decades due to early diagnosis [3] and surgery [4,5], the effectiveness of chemotherapy has not improved significantly [6]. In addition, the side effects caused by existing chemotherapy drugs are still a long-term challenge that threat patient’s health [7,8]. Therefore, it is still urgently desirable to develop novel chemotherapeutic agents for breast cancer without hurting normal cells and damaging human health [9].
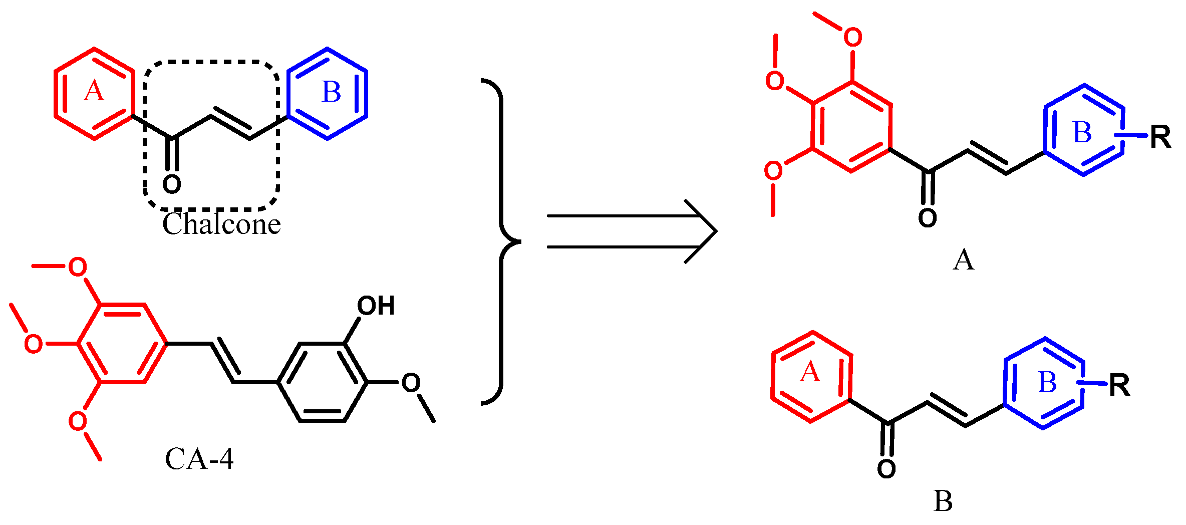
Natural products as lead compounds play an extremely important role in the development of new drugs [10,11,12]. Chalcone is a simple chemical scaffold commonly found in many natural products with the structure of 1,3-diphenyl-2-propene-1-one [13]. Because of the simplicity of synthesis, many chalcone derivatives with a broad range of biological activities have been developed [14,15]. In most research, a chalcone scaffold with two aromatic systems (Ring A and Ring B in Figure 1A) was synthesized by Claisen–Schmidt condensation [16]. The design methods of most chalcone derivatives mainly include (1) substitution of aromatic rings, (2) Binding with other pharmacological heterocycles, (3) Residue modification of two aryl groups [17]. Several chalcone-based compounds have been approved for marketing and clinical research [18]. For instance, Metochalcone is now used as a cholagogue [19]; Sofalcone was developed as an antiulcer and mucoprotective drug [20,21] (Figure 1A). These researches exemplify the chalcone-containing chemicals as potential drug candidate deserves more attention.
Figure 1.
(A) Structure of chalcone with α,β-unsaturated ketone connect aromatic ring A and ring B; representative examples of chalcone derivatives; (B) Structure of microtubulin inhibitors. trimethoxy phenyl in blue color is the functional group.
Microtubules are polymers formed by the combination of α-tubulin and β-tubulin [22,23]. Due to the kinetic characteristics of its polymerization and depolymerization, microtubules play an essential role in participating in cellular functions such as cell signaling [24], cell mitosis [25], cellular material transport [26], organelle localization and cell division [27]. Thus, microtubulin is considered an important target for cancer chemotherapy because of its ability to arrest tumor cell’s continuous abnormal proliferation [28]. It’s of significance to the development of microtubulin polymerization inhibitors for tumor chemotherapy [29,30]. Several microtubulin polymerization inhibition agents have been developed, such as Colchicine [31,32], Which is a representative microtubulin inhibitor that can lead to microtubule depolymerization [33]. In addition, Combretastatin A-4 (CA-4) acts as a microtubule destabilizing agent by specifically binding to the β-subunit of tubulin [34,35]. However, high toxicity, poor solubility, and low oral bioavailability limit its further application [36]. According to the structure features of these agents, the trimethoxy phenyl is an indispensable group for binding to the β-tubulin [37] (Figure 1B).
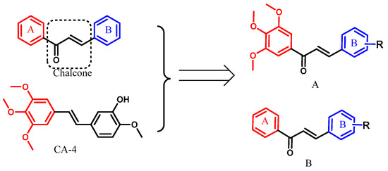
Based on the above-mentioned background, according to the principle of pharmacophore collocationin, we firstly retained the basic structure of chalcone as scaffold B and substituted the A-ring of chalcone structure with 3,4,5-trimethoxyphenyl to form the scaffold A. Then, we proceeded with the design and structural modification and obtained A and B-series derivatives (Figure 2). The anti-breast cancer (MCF-7) cellular activity of these compounds was evaluated by the CCK-8 method. Moreover, molecular docking was analyzed to verify whether compound A14 inhibited tubulin polymerization by binding to the colchicine binding site.
Figure 2.
The strategy of designing chalcone derivatives. Ring A in red color was substituted by trimethoxy phenyl; Ring B in blue color was modified by various groups.
2. Results and Discussion
2.1. Chemistry
The synthetic procedures of compounds A1–A14 and B1–B14 were illustrated in Scheme 1 and Scheme 2. Initially, acetyl groups were introduced to the starting compound 1,2,3-trimethoxybenzene (1) via the Friedel-Crafts reaction reaction and the 1-(3,4,5-trimethoxyphenyl) ethan-1-one (2) was obtained. Then, 4-formylbenzoic acid (3) was added into a solution of compound 2 in MeOH in the presence of an aqueous solution of sodium hydroxide to give (E)-4-(3-oxo-3-(3,4,5-trimethoxyphenyl)prop-1-en-1-yl)benzoic acid (4a), which formed the crude intermediate 5a under oxalylchloride treatment in the presence of catalytic amounts of DMF. Finally, Terminal products A1–A10 were obtained by the amide condensation of compound 5a with the corresponding primary amine fragments in the mixture of DCM and TEA. On the other hand, intermediate 4a was O-alkoxylate with alkyl bromides in the presence of K2CO3 in DMF to obtain compounds 5b–c. After that, the target compounds A11–A14 were obtained by nucleophilic substitution with thiol compounds. The synthesis steps of compounds B1–B14 were similar to that described above. All obtained chalcone derivatives were characterized by 1H NMR, 13C NMR, and mass spectrum (ESI).
Scheme 1.
Synthesis of compound A1–A14, B1–B14. Reagents and conditions: i: AcCl, AlCl3, DCM, 0 °C, 2 h; ii: MeOH, NaOH, 50 °C, 6 h; iii: (COCl)2, DMF, 0 °C, 3 h; iv: primary amine compounds, TEA, DCM, rt, 8 h; v: dibromoethane/dibromopropane, K2CO3, DMF, rt, 8 h; vi: thiol compounds, K2CO3, DMF, rt, 8 h.
Scheme 2.
Substituent groups of A1–A14, B1–B14.
2.2. Biological Evaluation
2.2.1. In Vitro Antiproliferative Activity
Most of the synthesized chalcone derivatives showed a stronger anti-cell proliferation ability against breast cancer tumor cells than the control drug 5-Fu (IC50 = 168.6 μM) (Table 1). The activity of series A derivatives with 3,4,5-trimethoxyphenyl group was mostly better than that of series B, indicating that 3,4,5-trimethoxyphenyl is an important pharmacophore fragment of chalcone derivatives to maintain the activity.
Table 1.
Antiproliferative activity of compounds on MCF-7 cells (IC50 μM).
Various amide compounds A1–A10 and B1–B11 were introduced to aromatic rings or alicyclic in order to investigate whether the change of substituent at the C4 position on the phenyl group affects the activity. The IC50 values of A1–A5 and B1–B6 showed that the introduction of a benzene ring performed limited influence on the MCF-7 cells inhibitory activity. It was speculated that the rigid structure of the benzene ring may lead to enhanced hydrophobicity and thus reduced their potency.
However, the activity of compounds A7–A9 and B8–B10 with IC50 values range from 10.63 μM to 35.95 μM, which displayed more potency than 5-Fu, suggesting that the introduction of different heterocycles at the C4 position on the phenyl group could enhance the activity. Among them, compounds A7 (IC50 = 19.07 μM), A8 (IC50 = 16.72 μM), and A9 (IC50 = 19.63 μM) showed more prominent tumor activity compared to that of the other compounds.
Moreover, further conformational investigations were carried out by varying the length of oxygen alkylation and changing to the sulfhydryl substituent groups. Results showed that both modified compounds effectively inhibited MCF-7 cells, indicating that oxygen alkylation at the C4 position on the phenyl group could enhance the activity to some extent. Among these compounds, compound A14 (IC50 = 9.795 μM) showed a remarkable antiproliferative effect on MCF-7 cells, whose IC50 value was superior to that of the positive control 5-Fu.
2.2.2. Cytotoxicity of Compounds A7, A8, A9, and A14 against Normal Human Liver Cell
We have selected compounds A7, A8, A9, and A14 with relatively low IC50 values, which are considered to have more potential and are more meaningful for further research. The toxic effects of compounds A7, A8, A9, and A14 on normal hepatocytes cells L-O2 were assessed in this work to examine the selective toxicity of the new compounds on cancer cells without harming normal cells. The selectivity index was calculated as a ratio of L-02 IC50/MCF-7 IC50 for these four compounds. According to the IC50 values and selectivity index in Table 2, all four tested compounds have significantly lower IC50 against MCF-7 cells compared to those against normal hepatocyte cells. Compound A14 was the most selective MCF-7 cell inhabitor; compound A8 showed the next highest level of potency and selectivity for MCF-7 cells. Therefore, A8 and A14 were chosen as representative medications for future research after thorough evaluation.
Table 2.
Antiproliferative effects of compounds A7, A8, A9, and A14 on human normal hepatocyte L-O2 and Corresponding Selectivity Index.
2.2.3. Migration Ability Assay
An obvious feature of breast cancer cells is their strong migration ability. In order to study the inhibitory effect of compounds on breast cancer cells migration, the scratch distances of compounds A8 and A14 on MCF-7 cells at different concentrations were measured by wound healing experiments. Figure 3 and Figure 4 showed that compared with the control group, compounds A8 and A14 effectively inhibited the migration of MCF-7 cells in a dose-dependent manner. Moreover, under similar concentrations, the inhibitory migration effect of the target compound on MCF-7 is more excellent than that of the control drug 5-Fu.
Figure 3.
Compound A8 inhibited MCF-7 cell migration after 24 h and 48 h treatment in various concentrations. The red line represents the distance of the scratch. (scare bar: 150 μm).
Figure 4.
Compound A14 inhibited MCF-7 cell migration after 24 h and 48 h treatment in various concentrations. The red line represents the distance of the scratch. (scare bar: 150 μm).
2.2.4. Cell Colony Formatting Assay
To further assess the effect of the most active optimal compound, A14, on the proliferation of MCF-7 cells, a cell colony formation assay was performed after 7 days of treatment. Colonies with drug concentrations greater than 8 µmol/L were significantly reduced compared to the blank control (Figure 5). The results indicated that compound A14 possesses colony-formation inhibitory abilities against MCF-7 cells.
Figure 5.
The colony formation of MCF-7 cells after the treatment with different concentrations of compound A14 for 7 days. (scare bar: 50 μm).
2.3. Molecular Docking Study
Previous studies indicated that 3,4,5-trimethoxyphenyl unit as a potent fragment to interact with tubulin [38]. To better understand the inhibitory mechanism of representative compound A14 on breast cancer cells, docking studies of compound A14 were performed at the colchicine binding site of the tubulin crystal structure (PDB ID: 4O2B) utilizing the AutoDock software (http://vina.scripps.edu/, accessed on 18 March 2023). The binding free energy of compound A14 was −7.2 kcal/mol, and the binding free energy of CA-4 was −6.0 kcal/mol, indicating the binding affinity of compound A14 towards tubulin. As shown in Figure 6, docking studies reveal that salt bridges and hydrogen bonding interactions play a key role in binding. The oxygen atom in 3,4,5-trimethoxyphenyl of compound A14 forms a hydrogen bonding interaction with hydrogen in secondary amine of Arg-61 (2.3 Å), the carbonyl of α,β-unsaturated carbonyl system establishes hydrogen bonds with hydrogen atom in primary amine of Arg 164 (2.7 Å) and Arg 105 (2.1 Å). In general, these findings suggested that compound A14 bearing 3,4,5-trimethoxyphenyl exhibited favorable docking with tubulin, implying that compounds’ potential to hinder the proliferation of breast cancer cells may be related to their inhibition of tubulin.
Figure 6.
The 3D docking and binding mode of compound A14 and tubulin (PDB: 4O2B), the left image shows the overall 3D view and the right image shows the partial 3D view.
3. Materials and Methods
3.1. Materials
3.1.1. Chemistry
All chemicals were purchased from Macklin or Aladdin and were dried and purified by traditional methods before use. Silica gel 60F-254 (Merck KGaA, Darmstadt, Germany). Silica plates were ordered for Thin-Layer Chromatography (TLC) plates, and silica gel 60–120 mesh was used for column chromatography. Nuclear magnetic resonance (NMR) spectra were recorded on a superconducting NMR instrument (Bruker AVANCE AV 400, Karlsruhe, Germany) with TMS as the internal standard, DMSO-d6 (2.5 ppm 1H, 39.5 ppm 13C) and CDCl3 (7.26 ppm 1H, 77 ppm 13C) as solvent. The chemical structures of the target compounds were determined by Electron Impact Mass Spectra (EI-MS) using a mass spectrometer (Agilent, Santa Clara, CA, USA). Melting points (m.p.) of all final compounds were recorded on an SGW X-4 apparatus (Shanghai, China). Synthesized compounds were analyzed by the high-performance liquid chromatography (HPLC) instrument (Agilent, Santa Clara, CA, USA), using the following column: 5 μm, 4.6 mm × 250 mm Supersil ODS2 C18 column.
3.1.2. Biological Evaluation
DMEM high glucose medium and fetal calf serum were obtained from Gibco (New York, NY, USA), and cell counting Kit-8 solution was purchased from Meilunbio (Dalian, China). Paraformaldehyde and Crystal Violet were purchased from Biosharp (Hefei, China). The MCF-7 and L-02 cell lines were purchased from the Shanghai Institute of Biochemistry (Shanghai, China) All the target compounds and 5-fluorouracil (5-Fu) were dissolved with DMSO at a concentration of 20 mM. Cell culture medium was a mixture of DMEM medium, 10% fetal bovine serum, and 1% penicillin–streptomycin solution stored at −4 °C. The cells were grown at 37 °C under 5% CO2.
3.2. Synthesis of Compounds
- Synthesis of 1-(3,4,5-trimethoxyphenyl)ethanone (2a)
To a solution of 1,2,3-trimethoxybenzene(1) (1.7 g, 10 mmol) in anhydrous DCM (40 mL), was added anhydrous aluminum trichloride (2.6 g, 20 mmol) and stirred together. Then, anhydrous acetyl chloride (0.73 mL, 10 mmol) was slowly added to the mixture. The reaction was protected by nitrogen gas and stirred at 0 °C for 4 h. Reaction mixture was quenched with water, extracted with DCM, and dried with Na2SO4. The organic phase was concentrated under reduced pressure. The crude product was purified to obtain the intermediate 2a through silica gel column chromatography.
- Synthesis of (E)-4-(3-oxo-3-(3,4,5-trimethoxyphenyl)prop-1-en-1-yl)benzoic acid (4a)
To a solution of compound 2a (2.1 g, 10 mmol) and 4-formylbenzoic acid (1.52 g, 10.1 mmol) in methanol (35 mL), 50% sodium hydroxide solution (4 mL) was slowly added, and the reaction solution was stirred at 50 °C for 5 h under reflux condenser. After completion of the reaction, the mixture was transferred to room temperature for cooling. Subsequently, an appropriate amount of dilute hydrochloric acid (0.1 mol/L) was added until the pH of the reaction solution was 3–4, and a large amount of solid was precipitated. The mixture was then filtered, and the filter cake was washed with methanol multiple times and dried to afford product 4a.
- Preparations of compound 4b were similar to 4a.
- Synthesis of (E)-4-(3-oxo-3-(3,4,5-trimethoxyphenyl)prop-1-en-1-yl) benzoyl chloride (5a)
Compound 4a (1.7 g, 5 mmol) was dissolved in anhydrous DCM (20 mL) and cooled to 0 °C. Next, anhydrous oxalyl chloride (0.6 mL, 6 mmol) was slowly added dropwise, followed by 2 drops of N, N-dimethylformamide as a catalyst. The reaction flask was then transferred to room temperature and left to react for 12 h. The progress of the reaction was monitored with TLC(DCM/MeOH 50:1). Crude product of yellow solid 5a was obtained via depressurization and concentration.
- Preparations of compound 5d were similar to 5a.
- Synthesis of 2-bromoethyl (E)-4-(3-oxo-3-(3,4,5-trimethoxyphenyl)Prop-1-en-1-yl)benzoate (5b)
To a solution of compound 4a (1.7 g, 5 mmol) in N,N-dimethylformamide (10 mL) at room temperature, dibromoethane (0.7 mL, 8 mmol, ρ = 2.18 g/cm3) was slowly added and reacted for 8 h. After completion of the reaction, the mixture was extracted with ethyl acetate 3–4 times; the organic layer was collected and dried with anhydrous sodium sulfate. The organic solution was concentrated under reduced pressure to obtain a crude product. Subsequently, compound 5b was purified by silica gel column chromatography.
- Preparations of compounds 5c, 5e, and 5f were similar to 5b.
- Synthesis of (E)-N-(4-fluorophenyl)-4-(3-oxo-3-(3,4,5-trimethoxyphenyl)prop-1-en-1-yl)
- benzamide (A1)
To a solution of crude product 5a in dichloromethane was added anhydrous triethylamine (0.7 mL, 5 mmol) and 4-fluoroaniline (0.55 g, 5 mmol), it was reacted overnight under anhydrous conditions at room temperature. After the reaction had finished, the mixture was washed with water and extracted with dichloromethane 3–4 times, and the lower organic layer was collected and dried with anhydrous sodium sulfate. The solution was concentrated under reduced pressure to obtain a crude product. Compound A1 was further purified through silica gel column chromatography.
- Preparations of compounds A2–A10, B1–B11 were similar to A1.
- Synthesis of 2-((1H-benzo[d]imidazol-2-yl)thio)ethyl (E)-4-(3-oxo-3-(3,4,5-trimethoxyphenyl)prop-1-en-1-yl)benzoate (A11)
To a solution of 1H-benzo[d]imidazole-2-thiol (0.122 g, 1.1 mmol) in N, N-dimethylformamide (10 mL) was added anhydrous potassium carbonate (0.13 g, 1.1 mmol) and compound 5b (0.45 g, 1 mmol). The reaction mixture was stirred at room temperature for 8 h. Upon completion of the reaction, the mixture was washed with saturated salt water and extracted with ethyl acetate 3–4 times. The organic layer was collected and dried with anhydrous sodium sulfate. The solution was concentrated under reduced pressure to obtain a crude product. Next, the final product A11 was purified through silica gel column chromatography.
- Preparations of compounds A11–A14, B12–B14 was similar to A11.
(E)-4-(3-oxo-3-(3,4,5-trimethoxyphenyl) prop-1-en-1-yl) benzoic acid (2a). Eluent petroleum ether/EtOAc (10:1). Yellow solid, 78% yield. mp: 165.5–168.3 °C. 1H NMR (400 MHz, DMSO-d6) δ 8.10–7.96 (m, 5H), 7.79 (d, J = 15.6 Hz, 1H), 7.46 (s, 2H), 3.92 (s, 6H), 3.78 (s, 3H).13C NMR (101 MHz, DMSO-d6) δ 198.47, 153.39, 143.95, 131.28, 107.96, 61.07, 56.81, 28.21 (Supplementary file Figures S1 and S2).
(E)-4-(3-oxo-3-phenylprop-1-en-1-yl) benzoic acid (4a). Yellow solid, 80% yield. mp: 187.3–190.5 °C. 1H NMR (400 MHz, DMSO-d6) δ 8.18 (d, J = 7.1 Hz, 1H), 8.08–8.00 (m, 2H), 7.79 (d, J = 15.7 Hz, 1H), 7.69 (t, J = 7.4 Hz, 1H), 7.59 (t, J = 7.6 Hz, 1H). 13C NMR (101 MHz, DMSO-d6) δ 191.17, 172.49, 153.13, 145.52, 144.05, 138.70, 132.03, 130.88, 130.82, 130.66, 127.15, 107.63, 61.07, 56.81. ESI-MS m/z: 342.86 [M + H]+, C19H18O6 [342.11] (Supplementary File Figures S3–S5).
(E)-4-(3-oxo-3-phenylprop-1-en-1-yl) benzoic acid (4b). Yellow solid, 80% yield. mp: 178.5–181.6 °C. 1H NMR (400 MHz, DMSO-d6) δ 8.18 (d, J = 7.1 Hz, 1H), 8.08–8.00 (m, 2H), 7.79 (d, J = 15.7 Hz, 1H), 7.69 (t, J = 7.4 Hz, 1H), 7.59 (t, J = 7.6 Hz, 1H).13C NMR (101 MHz, DMSO-d6) δ 192.81, 172.49, 145.52, 139.53, 138.02, 133.52, 132.03, 131.68, 131.42, 130.88, 130.82, 126.34. ESI-MS m/z: 253.26 [M + H]+, C16H12O3 [252.08] (Supplementary File Figures S6–S8).
2-bromoethyl (E)-4-(3-(3,5-dimethoxy-4-(l1-oxidaneyl) phenyl)-3-oxoprop-1-en-1-yl) benzoate (5b). Eluent petroleum ether/EtOAc (2:1). Yellow solid, 70% yield. mp: 189.1–192.3 °C. 1H NMR (400 MHz, DMSO-d6) δ 8.10–8.02 (m, 5H), 7.78 (d, J = 15.6 Hz, 1H), 7.45 (s, 2H), 4.65–4.59 (m, 2H), 3.91 (s, 6H), 3.87–3.83 (m, 2H), 3.78 (s, 3H). 13C NMR (101 MHz, DMSO-d6) δ 191.17, 169.53, 153.13, 145.52, 144.05, 138.70, 133.32, 131.20, 130.79, 130.66, 127.15, 107.63, 67.21, 61.07, 56.81, 32.70, 31.38.ESI-MS m/z: 449.22 [M + H]+, C21H21BrO6 [448.05] (Supplementary File Figures S9–S11).
3-bromopropyl(E)-4-(3-(3,5-dimethoxy-4-(l1-oxidaneyl) phenyl)-3-oxoprop-1-en-1-yl) benzoate (5c). Eluent petroleum ether/EtOAc (1:1). Yellow solid, 71% yield. mp: 160.5–162.9 °C. 1H NMR (400 MHz, DMSO-d6) δ 8.10–8.02 (m, 5H), 7.79 (d, J = 15.6 Hz, 1H), 7.45 (s, 2H), 4.37 (dt, J = 21.8, 6.1 Hz, 2H), 3.91 (s, 6H), 3.78 (s, 3H), 3.70 (dd, J = 13.7, 7.2 Hz, 2H), 2.27 (dp, J = 12.3, 6.3 Hz, 2H). 13C NMR (101 MHz, DMSO-d6) δ 191.17, 169.53, 153.13, 145.52, 144.05, 138.70, 133.32, 131.20, 130.79, 130.66, 127.15, 107.63, 67.21, 61.07, 56.81, 32.70, 31.38. ESI-MS m/z: 463.19 [M + H]+, C22H23BrO6 [462.07] (Supplementary File Figures S12–S14).
2-bromoethyl (E)-4-(3-oxo-3-phenylprop-1-en-1-yl) benzoate (5e). Eluent petroleum ether/EtOAc (2:1). Yellow solid, 65% yield. mp: 193.4–196.9 °C. 1H NMR (400 MHz, DMSO-d6) δ 8.18 (d, J = 7.4 Hz, 2H), 8.11–8.01 (m, 6H), 7.79 (d, J = 15.7 Hz, 1H), 7.70 (t, J = 7.3 Hz, 1H), 7.60 (t, J = 7.6 Hz, 2H), 4.63 (t, J = 5.5 Hz, 2H), 3.85 (t, J = 5.5 Hz, 2H). 13C NMR (101 MHz, DMSO-d) δ 192.81, 169.71, 145.52, 139.53, 138.02, 133.52, 132.65, 131.68, 131.42, 131.20, 130.91, 126.34, 66.77, 30.61. ESI-MS m/z: 359.11 [M + H]+, C18H15BrO3 [358.02] (Supplementary File Figures S15–S17).
3-bromopropyl (E)-4-(3-oxo-3-phenylprop-1-en-1-yl) benzoate (5f). Eluent petroleum ether/EtOAc (2:1). Yellow solid, 62% yield. mp: 200.4–204.7 °C. 1H NMR (400 MHz, DMSO-d6) δ 8.20–8.16 (m, 2H), 8.04 (s, 5H), 7.79 (d, J = 15.7 Hz, 1H), 7.70 (t, J = 7.3 Hz, 1H), 7.60 (t, J = 7.7 Hz, 2H), 4.40 (t, J = 6.1 Hz, 2H), 3.69 (t, J = 6.5 Hz, 2H), 2.29 (p, J = 6.3 Hz, 2H). 13C NMR (125 MHz, DMSO-d6) δ 192.81, 169.53, 145.52, 139.53, 138.02, 133.52, 133.32, 131.68, 131.42, 131.20, 130.79, 126.34, 67.21, 32.70, 31.38. ESI-MS m/z: 373.07 [M + H]+, C19H17BrO3 [372.04] (Supplementary File Figures S18–S20).
(E)-N-(4-fluorophenyl)-4-(3-oxo-3-(3,4,5-trimethoxyphenyl) prop-1-en-1-yl) benzamide (A1). Eluent petroleum ether/EtOAc (6:1). Yellow solid, 40% yield, mp: 230.6–232.8 °C. 1H NMR (400 MHz, DMSO-d6) δ 8.11–8.03 (m, 2H), 7.89–7.71 (m, 5H), 7.50 (d, J = 8.4 Hz, 1H), 7.47 (s, 1H), 7.28–7.15 (m, 3H), 3.92 (s, 3H), 3.86–3.77 (m, 6H). 13C NMR (101 MHz, DMSO-d6) δ 197.73, 188.33, 165.26, 153.44, 152.97, 143.10, 138.16, 136.51, 133.27, 129.37, 128.59, 127.72, 124.07, 122.72, 115.81, 115.71, 115.59, 115.49, 106.79, 106.22, 60.69, 60.59, 56.74, 56.53, 55.37. ESI-MS m/z: 435.92 [M + H]+, C25H22FNO5 [435.15] (Supplementary File Figures S21–S23).
(E)-N-(4-bromophenyl)-4-(3-oxo-3-(3,4,5-trimethoxyphenyl) prop-1-en-1-yl) benzamide (A2). Eluent petroleum ether/EtOAc (7:1). Yellow solid, 51% yield, mp: 158.4–160.8 °C. 1H NMR (400 MHz, DMSO-d6) δ 8.13–8.00 (m, 3H), 7.89–7.82 (m, 1H), 7.76 (dd, J = 19.4, 8.8 Hz, 2H), 7.56 (td, J = 16.6, 15.4, 8.5 Hz, 3H), 7.46 (s, 1H), 7.26 (d, J = 7.4 Hz, 1H), 7.13 (d, J = 8.7 Hz, 1H), 6.50 (t, J = 8.3 Hz, 1H), 3.88 (d, J = 30.7 Hz, 6H), 3.76 (d, J = 18.2 Hz, 3H). 13C NMR (101 MHz, DMSO-d6) δ 191.17, 169.54, 153.13, 145.52, 144.05, 141.21, 137.87, 137.56, 132.20, 131.67, 131.08, 130.66, 127.15, 123.40, 107.63, 90.49, 61.07, 56.81. ESI-MS m/z: 517.75 [M + Na]+, C25H22BrNO5 [495.07] (Supplementary File Figures S24–S26).
(E)-N-(4-iodophenyl)-4-(3-oxo-3-(3,4,5-trimethoxyphenyl) prop-1-en-1-yl) benzamide (A3). Eluent petroleum ether/EtOAc (6:1). Brown solid, 45% yield, mp: 210.5–212.3 °C. 1H NMR (400 MHz, DMSO-d6) δ 10.34 (d, J = 68.4 Hz, 2H), 8.10–8.05 (m, 1H), 8.03 (d, J = 8.3 Hz, 1H), 7.85 (d, J = 8.2 Hz, 1H), 7.69 (dd, J = 15.7, 8.8 Hz, 3H), 7.59 (dd, J = 8.6, 3.2 Hz, 3H), 7.29–7.21 (m, 3H), 3.92 (s, 3H), 3.81 (d, J = 24.3 Hz, 6H). 13C NMR (101 MHz, DMSO-d6) δ 191.17, 169.54, 153.13, 145.52, 144.05, 141.21, 137.87, 137.56, 132.20, 131.67, 131.08, 130.66, 127.15, 123.40, 107.63, 90.49, 61.07, 56.81. ESI-MS m/z: 565.82 [M + Na]+, C25H22INO5 [543.05]. (Supplementary File Figures S27–S29).
(E)-N-(4-methoxyphenyl)-4-(3-oxo-3-(3,4,5-trimethoxyphenyl) prop-1-en-1-yl) benzamide (A4). Eluent petroleum ether/EtOAc (6:1). Brown solid, 39% yield, mp: 205.3–207.6 °C. 1H NMR (400 MHz, Chloroform-d) δ 7.96 (s, 1H), 7.91 (d, J = 7.5 Hz, 2H), 7.80 (d, J = 15.5 Hz, 1H), 7.71 (d, J = 7.6 Hz, 2H), 7.57 (d, J = 8.4 Hz, 2H), 7.28 (s, 2H), 6.91 (d, J = 7.9 Hz, 2H), 3.95 (s, 9H), 3.81 (s, 3H). 13C NMR (101 MHz, Chloroform-d) δ 191.17, 169.54, 159.47, 153.13, 145.52, 144.05, 137.56, 136.26, 132.20, 131.67, 131.08, 130.66, 127.15, 121.98, 116.72, 107.63, 61.07, 56.81, 55.86. ESI-MS m/z: 447.93 [M + H]+, C26H25NO6 [447.17] (Supplementary File Figures S30–S32).
(E)-4-(3-oxo-3-(3,4,5-trimethoxyphenyl) prop-1-en-1-yl)-N-(p-tolyl) benzamide (A5). Eluent petroleum ether/EtOAc (5:1). Yellow solid, 49% yield, mp: 239.7–241.4 °C. 1H NMR (400 MHz, DMSO-d6) δ 10.29–10.05 (m, 1H), 8.11–8.01 (m, 3H), 7.97–7.76 (m, 2H), 7.70–7.55 (m, 3H), 7.47 (s, 1H), 7.26 (d, J = 9.4 Hz, 1H), 7.15 (dd, J = 17.2, 6.2 Hz, 2H), 3.92 (s, 3H), 3.86–3.72 (m, 6H), 2.28 (d, J = 7.1 Hz, 3H).13C NMR (101 MHz, DMSO-d6) δ 191.17, 169.54, 153.13, 145.52, 144.05, 140.24, 137.56, 135.70, 132.20, 131.70, 131.67, 131.08, 130.66, 127.15, 119.62, 107.63, 61.07, 56.81, 21.89. ESI-MS m/z: 431.96 [M + H]+, C26H25NO5 [431.17] (Supplementary File Figures S33–S35).
(E)-4-(3-oxo-3-(3,4,5-trimethoxyphenyl) prop-1-en-1-yl)-N-(thiazol-2-yl) benzamide (A6). dichloromethane/methanol(70:1). Yellow solid, 70% yield, mp: 260.6–263.9 °C. 1H NMR (400 MHz, Chloroform-d) δ 8.09 (d, J = 7.9 Hz, 2H), 7.79 (d, J = 7.8 Hz, 2H), 7.60 (d, J = 15.7 Hz, 1H), 7.31 (s, 2H), 7.27 (s, 1H), 7.08 (s, 1H), 7.00 (d, J = 3.0 Hz, 1H), 3.96 (d, J = 4.2 Hz, 9H).13C NMR (101 MHz, Chloroform-d) δ 191.17, 168.62, 168.57, 153.13, 145.52, 144.05, 139.07, 137.56, 131.80, 131.08, 130.66, 130.66, 127.15, 113.96, 107.63, 61.07, 56.81. ESI-MS m/z: 424.81 [M + H]+, C22H20N2O5S [424.11] (Supplementary File Figures S36–S38).
(E)-4-(3-oxo-3-(3,4,5-trimethoxyphenyl) prop-1-en-1-yl)-N-(thiophen-2-ylmethyl) benzamide (A7). dichloromethane/methanol(80:1). Yellow solid, 60% yield, mp: 156.7–159.2 °C. 1H NMR (400 MHz, DMSO-d6) δ 9.26 (t, J = 5.9 Hz, 1H), 8.09–8.00 (m, 3H), 7.96 (d, J = 8.3 Hz, 2H), 7.78 (d, J = 15.5 Hz, 1H), 7.46 (s, 2H), 7.40 (dd, J = 5.0, 1.1 Hz, 1H), 7.04 (d, J = 2.4 Hz, 1H), 6.98 (dd, J = 4.9, 3.6 Hz, 1H), 4.66 (d, J = 5.8 Hz, 2H), 3.92 (s, 6H), 3.78 (s, 3H). 13C NMR (101 MHz, DMSO-d6) δ 188.29, 165.83, 153.43, 143.15, 143.01, 142.62, 137.92, 135.84, 133.28, 129.38, 128.19, 127.12, 125.94, 125.50, 123.88, 106.77, 60.68, 56.73, 55.38. ESI-MS m/z: 437.91 [M + H]+, C24H23NO5S [437.13] (Supplementary File Figures S39–S41).
(E)-4-(3-oxo-3-(3,4,5-trimethoxyphenyl) prop-1-en-1-yl)-N-((tetrahydrofuran-3-yl) methyl) benzamide (A8). dichloromethane/methanol(100:1). Yellow solid, 41% yield, mp: 141.5–142.9 °C. 1H NMR (400 MHz, DMSO-d6) δ 8.62 (dt, J = 50.7, 5.6 Hz, 1H), 8.04–7.99 (m, 1H), 7.93 (d, J = 8.3 Hz, 1H), 7.75 (d, J = 8.4 Hz, 1H), 7.46 (d, J = 5.0 Hz, 2H), 7.25 (s, 1H), 7.14–6.91 (m, 1H), 3.92 (s, 3H), 3.82–3.73 (m, 6H), 3.65 (ddd, J = 26.7, 11.6, 5.8 Hz, 2H), 3.48 (ddd, J = 16.3, 8.4, 5.3 Hz, 1H), 3.32–3.19 (m, 2H), 1.97–1.90 (m, 1H), 1.61 (tt, J = 13.3, 6.8 Hz, 1H), 1.26 (t, J = 16.0 Hz, 1H). 13C NMR (101 MHz, DMSO-d6) δ 192.95, 188.30, 166.26, 166.21, 153.42, 153.31, 143.21, 142.71, 142.61, 138.42, 138.26, 137.70, 136.32, 134.75, 133.29, 132.28, 129.37, 129.28, 128.95, 128.12, 127.57, 123.76, 106.76, 106.62, 70.97, 70.95, 67.27, 67.25, 60.66, 60.62, 56.71, 56.45, 55.35, 42.46, 42.39, 29.98, 29.95. ESI-MS m/z: 425.97 [M + H]+, C24H27NO6 [425.18] (Supplementary File Figures S42–S44).
(E)-N-(cyclopropylmethyl)-4-(3-oxo-3-(3,4,5-trimethoxyphenyl) prop-1-en-1-yl) benzamide (A9). dichloromethane/methanol(100:1). White solid, 69% yield, mp: 155.6–156.3 °C. 1H NMR (400 MHz, DMSO-d6) δ 8.43 (t, J = 5.6 Hz, 1H), 7.83–7.74 (m, 3H), 7.70 (d, J = 8.3 Hz, 2H), 7.54 (d, J = 15.6 Hz, 1H), 7.22 (s, 2H), 3.68 (s, 6H), 3.54 (s, 3H), 2.93 (t, J = 6.2 Hz, 2H), 0.88–0.75 (m, 1H), 0.24–0.18 (m, 2H), 0.01 (q, J = 4.8 Hz, 2H). 13C NMR (101 MHz, DMSO-d6) δ 188.30, 165.89, 153.42, 143.24, 142.60, 137.62, 136.42, 133.29, 129.28, 128.13, 123.71, 106.76, 60.67, 56.72, 55.37, 44.07, 11.48, 3.82. ESI-MS m/z: 395.87 [M + H]+, C23H25NO5 [395.17] (Supplementary File Figures S45–S47).
(E)-4-(3-oxo-3-(3,4,5-trimethoxyphenyl) prop-1-en-1-yl)-N-(1H-pyrazol-5-yl) benzamide (A10). petroleum ether/EtOAc (6:1). Brown solid, 38% yield, mp: 103.7–105.7 °C. 1H NMR (400 MHz, DMSO-d6) δ 9.38 (s, 1H), 8.05–8.00 (m, 2H), 7.80 (t, J = 1.0 Hz, 1H), 7.65–7.61 (m, 3H), 7.47 (s, 1H), 7.23 (s, 2H), 6.61 (s, 1H), 3.86 (s, 6H), 3.78 (s, 3H).13C NMR (101 MHz, DMSO-d6) δ 191.17, 168.83, 153.95, 153.13, 145.52, 144.05, 137.56, 137.39, 131.73, 131.66, 131.08, 130.66, 127.15, 107.63, 97.71, 61.07, 56.81. ESI-MS m/z: 429.90 [M + Na]+, C22H21N3O5 [407.15] (Supplementary File Figures S48–S50).
2-((1H-benzo[d]imidazol-2-yl) thio) ethyl (E)-4-(3-oxo-3-(3,4,5-trimethoxyphenyl) prop-1-en-1-yl) benzoate (A11). petroleum ether/EtOAc (4:1). Yellow solid, 69% yield, mp: 98.0–99.9 °C. 1H NMR (400 MHz, Chloroform-d) δ 7.97 (d, J = 8.3 Hz, 1H), 7.89–7.76 (m, 1H), 7.64–7.55 (m, 1H), 7.52 (s, 2H), 7.33 (d, J = 14.8 Hz, 2H), 7.28 (s, 1H), 7.23 (s, 1H), 7.20 (td, J = 6.9, 3.1 Hz, 3H), 4.65 (dt, J = 28.6, 6.4 Hz, 2H), 4.00–3.83 (m, 9H), 3.66 (dt, J = 23.4, 6.4 Hz, 2H). 13C NMR (101 MHz, Chloroform-d) δ 191.17, 170.30, 155.44, 153.13, 145.52, 144.05, 142.19, 140.51, 138.70, 132.65, 131.20, 130.91, 130.66, 127.78, 127.54, 127.15, 119.34, 116.12, 107.63, 65.59, 61.07, 56.81, 33.85. ESI-MS m/z: 518.97 [M + H]+, C28H26N2O6S [518.15] (Supplementary File Figures S51–S53).
3-((1H-benzo[d]imidazol-2-yl) thio) propyl(E)-4-(3-oxo-3-(3,4,5-trimethoxyphenyl) prop-1-en-1-yl) benzoate (A12). petroleum ether/EtOAc (3:1). Yellow solid, 61% yield, mp: 96.4–98.4 °C. 1H NMR (400 MHz, Chloroform-d) δ 8.07–7.99 (m, 2H), 7.80 (d, J = 15.6 Hz, 1H), 7.64 (d, J = 8.1 Hz, 2H), 7.60–7.53 (m, 1H), 7.50 (dt, J = 6.0, 3.5 Hz, 2H), 7.29 (d, J = 7.9 Hz, 2H), 7.20–7.14 (m, 2H), 4.44 (t, J = 5.4 Hz, 2H), 3.95 (d, J = 4.0 Hz, 9H), 3.48 (t, J = 6.9 Hz, 2H), 2.32–2.22 (m, 2H). 13C NMR (101 MHz, Chloroform-d) δ 188.95, 165.89, 162.80, 153.21, 149.94, 143.17, 142.82, 139.16, 133.12, 131.37, 130.15, 128.29, 123.84, 122.24, 106.29, 63.47, 61.01, 56.45, 53.49, 36.62, 29.19, 28.77. ESI-MS m/z: 532.98 [M + H]+, C29H28N2O6S [532.17] (Supplementary File Figures S54–S56).
2-(pyridin-4-ylthio) ethyl (E)-4-(3-oxo-3-(3,4,5-trimethoxyphenyl) prop-1-en-1-yl) benzoate (A13). petroleum ether/EtOAc (3:1). Yellow solid, 68% yield, mp: 99.6–101.2 °C. 1H NMR (400 MHz, Chloroform-d) δ 8.49–8.41 (m, 2H), 8.05 (d, J = 8.3 Hz, 1H), 7.95–7.83 (m, 1H), 7.72 (d, J = 8.3 Hz, 1H), 7.57 (d, J = 15.7 Hz, 1H), 7.42 (d, J = 8.3 Hz, 1H), 7.33–7.18 (m, 5H), 4.57 (dt, J = 26.0, 6.9 Hz, 2H), 4.01–3.84 (m, 9H), 3.39 (dt, J = 19.9, 6.9 Hz, 2H). 13C NMR (101 MHz, Chloroform-d) δ 191.17, 170.30, 153.13, 151.59, 145.52, 144.05, 138.70, 138.67, 132.65, 131.20, 130.91, 130.66, 127.15, 122.83, 107.63, 65.84, 61.07, 56.81, 34.78. ESI-MS m/z: 480.05 [M + H]+, C26H25NO6S [479.14] (Supplementary File Figures S57–S59).
3-(pyridin-4-ylthio) propyl (E)-4-(3-oxo-3-(3,4,5-trimethoxyphenyl) prop-1-en-1-yl) benzoate (A14). petroleum ether/EtOAc (3:1). Yellow solid, 59% yield, mp: 128.9–130.3 °C. 1H NMR (400 MHz, Chloroform-d) δ 8.40 (d, J = 6.3 Hz, 2H), 8.10 (d, J = 8.1 Hz, 2H), 7.84–7.71 (m, 1H), 7.29 (d, J = 6.0 Hz, 2H), 7.16 (d, J = 6.4 Hz, 3H), 7.15 (d, J = 6.4 Hz, 2H), 4.50 (t, J = 6.1 Hz, 2H), 3.96 (d, J = 3.7 Hz, 9H), 3.16 (q, J = 7.6 Hz, 2H), 2.31–2.15 (m, 2H). 13C NMR (101 MHz, Chloroform-d) δ 188.75, 165.76, 153.25, 153.14, 149.05, 148.95, 142.94, 139.41, 133.10, 131.29, 130.16, 129.55, 129.13, 128.32, 124.00, 120.83, 106.32, 63.41, 61.00, 56.48, 56.26, 27.91, 27.39. ESI-MS m/z: 493.98 [M + H]+, C27H27NO6S [493.16] (Supplementary File Figures S60–S62).
(E)-N-(4-fluorophenyl)-4-(3-oxo-3-phenylprop-1-en-1-yl) benzamide (B1). Eluent petroleum ether/EtOAc (7:1). White solid, 40% yield, mp: 177.6–179.9 °C. 1H NMR (400 MHz, DMSO-d6) δ 10.40 (s, 1H), 8.22–8.18 (m, 2H), 8.09–8.01 (m, 5H), 7.85–7.79 (m, 3H), 7.73–7.68 (m, 1H), 7.60 (t, J = 7.6 Hz, 2H), 7.21 (t, J = 8.9 Hz, 2H). 13C NMR (101 MHz, DMSO-d6) δ 189.63, 165.23, 143.23, 138.10, 137.87, 136.55, 135.88, 133.81, 129.40, 129.30, 129.10, 128.64, 128.09, 124.22, 122.78, 122.70, 115.80, 115.58 (Supplementary File Figures S63–S65).
(E)-N-(4-chlorophenyl)-4-(3-oxo-3-phenylprop-1-en-1-yl) benzamide (B2). Eluent petroleum ether/EtOAc (6:1). Yellow solid, 39% yield, mp: 148.8–151.6 °C. 1H NMR (400 MHz, DMSO-d6) δ 10.29 (s, 1H), 8.01–7.96 (m, 2H), 7.85 (d, J = 8.0 Hz, 2H), 7.83–7.76 (m, 2H), 7.65 (t, J = 7.4 Hz, 1H), 7.60 (d, J = 8.1 Hz, 2H), 7.53 (t, J = 7.6 Hz, 2H), 7.39 (d, J = 8.9 Hz, 2H), 7.01 (d, J = 8.8 Hz, 2H). 13C NMR (101 MHz, DMSO-d6) δ 192.81, 169.54, 145.52, 141.57, 139.53, 137.56, 133.52, 132.23, 132.20, 131.68, 131.67, 131.42, 131.08, 130.21, 126.34, 124.01. ESI-MS m/z: 361.83 [M + H]+, C22H16ClNO2 [361.09] (Supplementary File Figures S66 and S67).
(E)-N-(4-bromophenyl)-4-(3-oxo-3-phenylprop-1-en-1-yl) benzamide (B3). Eluent petroleum ether/EtOAc (6:1). White solid, 42% yield, mp: 204.5–206.2 °C. 1H NMR (400 MHz, DMSO-d6) δ 10.46 (s, 1H), 8.22–8.17 (m, 2H), 8.09–8.01 (m, 5H), 7.81–7.77 (m, 2H), 7.70 (t, J = 7.3 Hz, 1H), 7.65–7.51 (m, 5H). 13C NMR (101 MHz, DMSO-d6) δ 189.62, 165.42, 143.19, 138.93, 138.21, 137.86, 136.42, 133.82, 131.94, 129.31, 129.11, 128.70, 124.28, 122.76, 115.97. ESI-MS m/z: 405.82 [M + H]+, C22H16BrNO2 [405.04] (Supplementary File Figures S68–S70).
(E)-N-(4-iodophenyl)-4-(3-oxo-3-phenylprop-1-en-1-yl) benzamide (B4). Eluent petroleum ether/EtOAc (5:1). Brown solid, 43% yield, mp: 198.0–200.1 °C. 1H NMR (400 MHz, DMSO-d6) δ 10.43 (s, 1H), 8.19 (d, J = 7.6 Hz, 2H), 8.05 (q, J = 8.3 Hz, 5H), 7.81 (d, J = 15.6 Hz, 1H), 7.69 (dd, J = 15.2, 7.9 Hz, 5H), 7.60 (t, J = 7.6 Hz, 2H). 13C NMR (101 MHz, DMSO-d6) δ 189.63, 165.41, 143.20, 139.40, 138.20, 137.86, 137.78, 136.45, 133.82, 129.31, 129.11, 128.70, 124.28, 123.00, 88.01. ESI-MS m/z: 453.74 [M + H]+, C22H16INO2 [453.02] (Supplementary File Figures S71–S73).
(E)-N-(4-methoxyphenyl)-4-(3-oxo-3-phenylprop-1-en-1-yl) benzamide (B5). Eluent petroleum ether/EtOAc (7:1). Yellow solid, 40% yield, mp: 189.1–191.2 °C. 1H NMR (400 MHz, DMSO-d6) δ 10.22 (s, 1H), 8.24–8.15 (m, 2H), 8.05 (dd, J = 7.9, 3.8 Hz, 5H), 7.81 (d, J = 15.6 Hz, 1H), 7.72–7.67 (m, 3H), 7.60 (dd, J = 8.3, 6.9 Hz, 2H), 6.97–6.92 (m, 2H), 3.76 (s, 3H). 13C NMR (101 MHz, DMSO-d6) δ 189.63, 164.84, 156.11, 143.29, 137.88, 136.82, 133.80, 132.55, 129.32, 129.27, 129.10, 128.55, 124.10, 122.52, 114.94, 114.23, 55.65. ESI-MS m/z: 357.87 [M + H]+, C23H19NO3 [357.14] (Supplementary File Figures S74–S76).
(E)-4-(3-oxo-3-phenylprop-1-en-1-yl)-N-(p-tolyl) benzamide (B6). Eluent petroleum ether/EtOAc (7:1). Yellow solid, 49% yield, mp: 192.3–194.2 °C. 1H NMR (400 MHz, DMSO-d6) δ 10.26 (s, 1H), 8.23–8.16 (m, 2H), 8.05 (dd, J = 8.7, 4.9 Hz, 4H), 7.81 (d, J = 15.6 Hz, 1H), 7.68 (t, J = 8.1 Hz, 3H), 7.61 (d, J = 7.5 Hz, 2H), 7.52 (dd, J = 17.5, 8.1 Hz, 1H), 7.17 (d, J = 8.2 Hz, 2H), 2.29 (s, 3H). 13C NMR (101 MHz, DMSO-d6) δ 192.81, 169.54, 145.52, 140.24, 139.53, 137.56, 135.70, 133.52, 132.20, 131.70, 131.68, 131.67, 131.42, 131.08, 126.34, 119.62, 21.89. ESI-MS m/z: 341.91 [M + H]+, C23H19NO2 [341.14] (Supplementary File Figures S77–S79).
(E)-4-(3-oxo-3-phenylprop-1-en-1-yl)-N-(thiazol-2-yl) benzamide (B7). dichloromethane/methanol(100:1). White solid, 60% yield, mp: 229.3–231.8 °C. 1H NMR (400 MHz, DMSO-d6) δ 8.20 (t, J = 7.8 Hz, 4H), 8.08 (d, J = 8.7 Hz, 3H), 7.82 (d, J = 15.7 Hz, 1H), 7.70 (t, J = 7.3 Hz, 1H), 7.63–7.57 (m, 3H), 7.31 (d, J = 3.5 Hz, 1H). 13C NMR (101 MHz, DMSO-d6) δ 189.58, 142.98, 138.93, 137.83, 133.83, 129.39, 129.32, 129.13, 124.64, 114.44. ESI-MS m/z: 334.87 [M + H]+, C19H14N2O2S [334.08] (Supplementary File Figures S80–S82).
(E)-4-(3-oxo-3-phenylprop-1-en-1-yl)-N-(thiophen-2-ylmethyl) benzamide (B8). dichloromethane/methanol(100:1). Yellow solid, 61% yield, mp: 145.9–147.1 °C. 1H NMR (400 MHz, DMSO-d6) δ 9.26 (t, J = 5.8 Hz, 1H), 8.18 (d, J = 7.3 Hz, 2H), 8.02 (d, J = 4.8 Hz, 1H), 8.00 (s, 1H), 7.96 (d, J = 8.4 Hz, 2H), 7.76 (t, J = 4.0 Hz, 1H), 7.72 (dd, J = 5.9, 3.2 Hz, 1H), 7.69 (d, J = 6.2 Hz, 1H), 7.59 (t, J = 7.6 Hz, 2H), 7.40 (dd, J = 5.1, 1.1 Hz, 1H), 7.04 (d, J = 2.4 Hz, 1H), 6.97 (dd, J = 5.0, 3.5 Hz, 1H), 4.66 (d, J = 5.8 Hz, 2H). 13C NMR (101 MHz, DMSO-d6) δ 192.81, 169.53, 145.52, 140.08, 139.53, 137.56, 134.83, 133.52, 131.97, 131.68, 131.42, 131.15, 129.71, 128.02, 127.59, 126.34, 46.98. ESI-MS m/z: 347.89 [M + H]+, C21H17NO2S [347.10] (Supplementary File Figures S83–S85).
(E)-4-(3-oxo-3-phenylprop-1-en-1-yl)-N-((tetrahydrofuran-3-yl) methyl) benzamide (B9). dichloromethane/methanol(110:1). Yellow solid, 69% yield, mp: 103.6–105.2 °C. 1H NMR (400 MHz, DMSO-d6) δ 8.69 (t, J = 5.6 Hz, 1H), 8.18 (d, J = 7.2 Hz, 2H), 8.03–7.98 (m, 3H), 7.93 (d, J = 8.3 Hz, 2H), 7.79 (d, J = 15.7 Hz, 1H), 7.73–7.67 (m, 1H), 7.59 (t, J = 7.6 Hz, 2H), 3.72 (ddd, J = 20.8, 8.0, 6.5 Hz, 2H), 3.63 (q, J = 7.8 Hz, 1H), 3.50 (dd, J = 8.5, 5.3 Hz, 1H), 3.33–3.22 (m, 2H), 2.02–1.89 (m, 1H), 1.62 (dq, J = 12.6, 6.7 Hz, 1H). 13C NMR (101 MHz, DMSO-d6) δ 189.62, 166.21, 143.34, 137.89, 137.64, 136.37, 133.75, 129.29, 129.21, 129.07, 128.18, 123.93, 70.98, 67.27, 42.47, 29.98. ESI-MS m/z: 335.93 [M + H]+, C21H21NO3 [335.15] (Supplementary File Figures S86–S88).
(E)-N-(cyclopropylmethyl)-4-(3-oxo-3-phenylprop-1-en-1-yl) benzamide (B10). dichloromethane/methanol(100:1). White solid, 58% yield, mp: 120.4–124.3 °C. 1H NMR (400 MHz, DMSO-d6) δ 8.44 (t, J = 5.5 Hz, 1H), 7.94 (d, J = 7.3 Hz, 2H), 7.83–7.69 (m, 5H), 7.56 (s, 1H), 7.45 (t, J = 7.3 Hz, 1H), 7.35 (t, J = 7.6 Hz, 2H), 2.93 (t, J = 6.2 Hz, 2H), 0.81 (tq, J = 12.9, 7.1, 6.0 Hz, 1H), 0.26–0.17 (m, 2H), 0.01 (q, J = 4.8 Hz, 2H). 13C NMR (101 MHz, DMSO-d6) δ 189.60, 165.89, 143.37, 137.90, 137.56, 136.47, 133.74, 129.28, 129.19, 129.07, 128.19, 123.89, 44.09, 11.47, 3.83. ESI-MS m/z: 328.88 [M + Na]+, C20H19NO2 [305.14] (Supplementary File Figures S89–S91).
(E)-4-(3-oxo-3-phenylprop-1-en-1-yl)-N-(1H-pyrazol-5-yl) benzamide (B11). dichloromethane/methanol(120:1). Brown solid, 39% yield, mp: 85.6–87.3 °C. 1H NMR (400 MHz, DMSO-d6) δ 8.21 (dd, J = 10.2, 5.1 Hz, 3H), 8.05 (q, J = 8.3 Hz, 5H), 7.81 (d, J = 15.7 Hz, 1H), 7.70 (t, J = 7.3 Hz, 1H), 7.60 (t, J = 7.6 Hz, 2H), 6.06 (d, J = 2.9 Hz, 1H). 13C NMR (101 MHz, DMSO-d6) δ 189.66, 164.39, 159.98, 143.17, 138.33, 137.86, 134.50, 133.82, 131.83, 131.43, 129.33, 129.11, 128.66, 124.56, 102.91. ESI-MS m/z: 339.87 [M + Na]+, C19H15N3O2 [317.12] (Supplementary File Figures S92–S94).
2-((1H-benzo[d]imidazol-2-yl)thio)ethyl (E)-4-(3-oxo-3-phenylprop-1-en-1-yl) benzoate (B12). petroleum ether/EtOAc (4:1). Yellow solid, 60% yield, mp: 152.0–154.2 °C. 1H NMR (400 MHz, Chloroform-d) δ 8.06 (d, J = 8.0 Hz, 2H), 8.00 (d, J = 8.2 Hz, 2H), 7.80 (d, J = 15.7 Hz, 1H), 7.64 (s, 3H), 7.59–7.53 (m, 4H), 7.28 (s, 1H), 7.25 (dd, J = 6.0, 3.2 Hz, 2H), 4.71 (t, J = 6.3 Hz, 2H), 3.71 (t, J = 6.3 Hz, 2H). 13C NMR (101 MHz, Chloroform-d) δ 192.81, 170.30, 155.44, 145.52, 142.19, 140.51, 139.53, 138.02, 133.52, 132.65, 131.68, 131.42, 131.20, 130.91, 127.78, 127.54, 126.34, 119.34, 116.12, 65.59, 33.85. ESI-MS m/z: 450.77 [M + Na]+, C25H20N2O3S [428.12] (Supplementary File Figures S95–S97).
3-((1H-benzo[d]imidazol-2-yl) thio) propyl (E)-4-(3-oxo-3-phenylprop-1-en-1-yl) benzoate (B13). petroleum ether/EtOAc (3:1). Yellow solid, 59% yield, mp: 90.1–92.3 °C. 1H NMR (400 MHz, DMSO-d6) δ 8.37 (d, J = 5.8 Hz, 2H), 8.18 (d, J = 7.4 Hz, 2H), 8.05 (s, 5H), 7.79 (d, J = 15.7 Hz, 1H), 7.70 (t, J = 7.3 Hz, 1H), 7.60 (t, J = 7.6 Hz, 2H), 7.31 (d, J = 6.1 Hz, 2H), 4.41 (t, J = 6.1 Hz, 2H), 3.25 (t, J = 7.2 Hz, 2H), 2.11 (p, J = 6.6 Hz, 2H). 13C NMR (101 MHz, DMSO-d6) δ 192.81, 169.53, 155.73, 145.52, 141.49, 141.25, 139.53, 138.02, 133.52, 133.32, 131.68, 131.42, 131.20, 130.79, 127.78, 127.54, 126.34, 119.34, 116.12, 65.94, 32.50, 28.97. ESI-MS m/z: 442.98 [M + H]+, C26H22N2O3S [442.14] (Supplementary File Figures S98–S100).
3-(pyridin-4-ylthio) propyl(E)-4-(3-oxo-3-phenylprop-1-en-1-yl) benzoate (B14). petroleum ether/EtOAc (4:1). Yellow solid, 55% yield, mp: 105.7–107.8 °C. 1H NMR (400 MHz, Chloroform-d) δ 8.41 (d, J = 5.5 Hz, 2H), 8.10 (d, J = 8.3 Hz, 2H), 8.05 (d, J = 7.2 Hz, 2H), 7.83 (d, J = 15.7 Hz, 1H), 7.73 (d, J = 8.3 Hz, 1H), 7.66–7.59 (m, 3H), 7.53 (t, J = 7.6 Hz, 1H), 7.15 (d, J = 6.3 Hz, 2H), 4.50 (t, J = 6.1 Hz, 2H), 3.16 (t, J = 7.2 Hz, 2H), 2.22 (p, J = 6.6 Hz, 2H). 13C NMR (101 MHz, Chloroform-d) δ 190.12, 149.36, 143.05, 137.87, 133.11, 130.17, 129.51, 129.22, 128.99, 128.75, 128.57, 128.32, 120.81. ESI-MS m/z: 403.97 [M + H]+, C24H21NO3S [403.12] (Supplementary File Figures S101–S103).
3.3. Biological Evaluation
3.3.1. CCK-8 Method for Evaluate Antiproliferative Activity
Cells were seeded into 96 well plates with 4000 cells/well using DMEM solution and incubated in a humid atmosphere containing 5% CO2 at 37 °C for 24 h. Compounds with different concentrations (200 μM, 100 μM, 50 μM, 25 μM, 12.5 μM, 6.25 μM, 3.125 μM, 1.5625 μM) were added to the culture medium for 24 h. After that, CCK-8 reagent (10 μL) was added under dark conditions and incubated the plate in a CO2 incubator at 37 °C for 2 h. After incubation, the absorbance was measured using an enzyme-linked immunosorbent assay at a wavelength of 450 nm. Cell survival rate was calculated as a percentage of the control group.
By using Graph Pad Prism 8.0 software, the concentration that inhibits 50% of maximum cell proliferation was determined to be IC50 value.
3.3.2. Migration Ability Assay
MCF-7 cells were seeded into six-well plates at a density of 3000 cells/well and growing for 24 h. Scratches were made in confluent monolayers with 200 μL pipette tip. After that, each well was washed with PBS buffer 3 times to remove non-adherent cell debris. MCF-7 cells were continually incubated with different concentrations of compounds or positive control for 24 or 48 h. The area of cells migrated across the wound was photographed using phase contrast microscopy at 0 h, 24 h, and 48 h. The migration distance of cells into the wound area was measured by ImageJ2 software at room temperature.
3.3.3. Cell Colony Formatting Assay
MCF-7 cells were seeded into six-well plates at a density of 1000 cells/well and cultivated for 24 h. After that, the cells were continually incubated with different concentrations of compounds and positive control for 7 days. Each well was carefully rinsed three times with PBS buffer quickly at room temperature. Collected cells were fixed for 1 h at room temperature by adding 2 mL of 4% paraformaldehyde solution. The results were analyzed using the ImageJ software.
3.3.4. Molecular Docking Study
The target protein was downloaded from the PDB database (https://www.rcsb.org/) (accessed on 18 March 2023), and the crystal structure of the target protein was processed by AutoDock Vina software (http://vina.scripps.edu/) (accessed on 18 March 2023). The water and modified amino acids were removed from the protein. The energy was optimized, and force field parameters were adjusted to meet a low energy conformation of the ligand structure. Three-dimensional structures of compounds were constructed using Chem3D software (14.0.0.17)and converted into pdbqt format for use. The target structure was then molecularly docked to the target compound using vina within pyrx software (0.8), and the affinity (kcal/mol) value was calculated. The lower the affinity value, the more stable the ligand-receptor binding. Finally, the results were visualized and analyzed using Pymol (1.8.x).
4. Conclusions
In this study, a series of novel chalcone derivatives were synthesized, and their antitumor activity was investigated. The compounds’ antiproliferative activity against breast cancer was evaluated through a CCK-8 assay. These compounds with trimethoxy phenyl structure in A series exhibited better in vitro cytotoxicity than 5-Fu. In addition, the introduction of the heterocyclic ring or oxygen alkylation attached in the A and B series resulted in enhanced cytotoxicity against MCF-7 cells. Compounds with good activity were selected for normal hepatocyte toxicity assay, scratch migration assay, and cell clone formation assay to evaluate their potential as antitumor candidates. The results showed that compound A14 demonstrated significant inhibition of the proliferation and migration of breast cancer cells, and molecular docking results indicated that A14 was able to bind with colchicine binding sites of microtubulin. It may serve as a new template for the synthesis and development of anti-breast cancer chemotherapy.
Supplementary Materials
The following supporting information can be downloaded at: https://www.mdpi.com/article/10.3390/ijms242115549/s1.
Author Contributions
Synthesis and structural identification, W.L. and J.C.; supervision (synthesis and structural identification), G.C.; biological studies, W.L. and X.G.; supervision (biological studies), X.J. and L.Y.; writing, W.L.; data analysis, J.C. and X.J.; writing—review and editing, G.C. and L.Y.; project administration, G.C. and L.Y. All authors have read and agreed to the published version of the manuscript.
Funding
The work was supported by the Innovation and strengthening project of Guangdong Pharmaceutical University-Special Projects in Key Fields of General Colleges and Universities in Guangdong Province (2022ZDZX2030) and Guangdong Province Graduate Education Innovation Program in 2021 (2021JGXM071), Medical Scientific Research Foundation of Guangdong Province (B20234214), Scientific Research Project of Guangdong Provincial Bureau of Traditional Chinese Medicine (20231205).
Institutional Review Board Statement
This article does not contain any studies with human participants or animals performed by any of the authors.
Informed Consent Statement
Not applicable.
Data Availability Statement
Data is contained within the article and Supplementary Material.
Acknowledgments
The authors are grateful to Guangdong Pharmaceutical University for technical assistance in research.
Conflicts of Interest
The authors declare no conflict of interest.
References
- Akram, M.; Iqbal, M.; Daniyal, M.; Khan, A.U. Awareness and current knowledge of breast cancer. Biol. Res. 2017, 50, 33. [Google Scholar] [CrossRef]
- Tao, Z.; Shi, A.; Lu, C.; Song, T.; Zhang, Z.; Zhao, J. Breast Cancer: Epidemiology and Etiology. Cell Biochem. Biophys. 2015, 72, 333–338. [Google Scholar] [CrossRef]
- McDonald, E.S.; Clark, A.S.; Tchou, J.; Zhang, P.; Freedman, G.M. Clinical Diagnosis and Management of Breast Cancer. J. Nucl. Med. 2016, 57 (Suppl. S1), 9S–16S. [Google Scholar] [CrossRef]
- Trapani, D.; Ginsburg, O.; Fadelu, T.; Lin, N.U.; Hassett, M.; Ilbawi, A.M.; Anderson, B.O.; Curigliano, G. Global challenges and policy solutions in breast cancer control. Cancer Treat. Rev. 2022, 104, 102339. [Google Scholar] [CrossRef]
- Tosello, G.; Torloni, M.R.; Mota, B.S.; Neeman, T.; Riera, R. Breast surgery for metastatic breast cancer. Cochrane Database Syst. Rev. 2018, 3, Cd011276. [Google Scholar] [CrossRef]
- Bai, X.; Ni, J.; Beretov, J.; Graham, P.; Li, Y. Triple-negative breast cancer therapeutic resistance: Where is the Achilles’ heel? Cancer Lett. 2021, 497, 100–111. [Google Scholar] [CrossRef]
- Kerr, A.J.; Dodwell, D.; McGale, P.; Holt, F.; Duane, F.; Mannu, G.; Darby, S.C.; Taylor, C.W. Adjuvant and neoadjuvant breast cancer treatments: A systematic review of their effects on mortality. Cancer Treat. Rev. 2022, 105, 102375. [Google Scholar] [CrossRef]
- Wang, H.; Mao, X. Evaluation of the Efficacy of Neoadjuvant Chemotherapy for Breast Cancer. Drug Des. Dev. Ther. 2020, 14, 2423–2433. [Google Scholar] [CrossRef]
- Buumba, B.M.; Bhardwaj, S.; Kaur, P. A Critical Review on Recent Development of Techniques and Drug Targets in the Management of Breast Cancer. Mini Rev. Med. Chem. 2021, 21, 2103–2129. [Google Scholar] [CrossRef]
- Rodrigues, T.; Reker, D.; Schneider, P.; Schneider, G. Counting on natural products for drug design. Nat. Chem. 2016, 8, 531–541. [Google Scholar] [CrossRef]
- Newman, D.J.; Cragg, G.M. Natural Products as Sources of New Drugs over the Nearly Four Decades from 01/1981 to 09/2019. J. Nat. Prod. 2020, 83, 770–803. [Google Scholar] [CrossRef] [PubMed]
- Li, T.; Li, W.; Yang, X.; Chen, G.; Jin, X.; Chen, W.; Ye, L. Design, Synthesis, anticancer evaluation and in silico studies of 2,4,6-trimethoxychalcone derivatives. Saudi Pharm. J. 2023, 31, 65–84. [Google Scholar] [CrossRef] [PubMed]
- Zhuang, C.; Zhang, W.; Sheng, C.; Zhang, W.; Xing, C.; Miao, Z. Chalcone: A Privileged Structure in Medicinal Chemistry. Chem. Rev. 2017, 117, 7762–7810. [Google Scholar] [CrossRef]
- Xiao, J.; Gao, M.; Diao, Q.; Gao, F. Chalcone Derivatives and their Activities against Drug-resistant Cancers: An Overview. Curr. Top. Med. Chem. 2021, 21, 348–362. [Google Scholar] [CrossRef] [PubMed]
- Yang, J.; Lv, J.; Cheng, S.; Jing, T.; Meng, T.; Huo, D.; Ma, X.; Wen, R. Recent Progresses in Chalcone Derivatives as Potential Anticancer Agents. Anti-Cancer Agents Med. Chem. 2023, 23, 1265–1283. [Google Scholar] [CrossRef] [PubMed]
- Dhaliwal, J.S.; Moshawih, S.; Goh, K.W.; Loy, M.J.; Hossain, M.S.; Hermansyah, A.; Kotra, V.; Kifli, N.; Goh, H.P.; Dhaliwal, S.K.S.; et al. Pharmacotherapeutics Applications and Chemistry of Chalcone Derivatives. Molecules 2022, 27, 7062. [Google Scholar] [CrossRef]
- Constantinescu, T.; Lungu, C.N. Anticancer Activity of Natural and Synthetic Chalcones. Int. J. Mol. Sci. 2021, 22, 11306. [Google Scholar] [CrossRef]
- Salehi, B.; Quispe, C.; Chamkhi, I.; El Omari, N.; Balahbib, A.; Sharifi-Rad, J.; Bouyahya, A.; Akram, M.; Iqbal, M.; Docea, A.O.; et al. Pharmacological Properties of Chalcones: A Review of Preclinical Including Molecular Mechanisms and Clinical Evidence. Front. Pharmacol. 2020, 11, 592654. [Google Scholar] [CrossRef]
- Alonso Muñoz, C.; Díaz Velázquez, I. Personal experience in the pre- and postoperative periods of biliary surgery with the preparation 1314 CB (trimethoxy-chalcone) combined with Oddi’s sphincter spasmolytics. Rev. Esp. Enferm. Apar. Dig. 1972, 38, 755–768. [Google Scholar]
- Onda, K.; Tong, S.; Nakahara, A.; Kondo, M.; Monchusho, H.; Hirano, T.; Kaitu’u-Lino, T.; Beard, S.; Binder, N.; Tuohey, L.; et al. Sofalcone upregulates the nuclear factor (erythroid-derived 2)-like 2/heme oxygenase-1 pathway, reduces soluble fms-like tyrosine kinase-1, and quenches endothelial dysfunction: Potential therapeutic for preeclampsia. Hypertension 2015, 65, 855–862. [Google Scholar] [CrossRef]
- Tanaka, H.; Nakamura, S.; Onda, K.; Tazaki, T.; Hirano, T. Sofalcone, an anti-ulcer chalcone derivative, suppresses inflammatory crosstalk between macrophages and adipocytes and adipocyte differentiation: Implication of heme-oxygenase-1 induction. Biochem. Biophys. Res. Commun. 2009, 381, 566–571. [Google Scholar] [CrossRef] [PubMed]
- Goodson, H.V.; Jonasson, E.M. Microtubules and Microtubule-Associated Proteins. Cold Spring Harb. Perspect. Biol. 2018, 10, a022608. [Google Scholar] [CrossRef] [PubMed]
- Logan, C.M.; Menko, A.S. Microtubules: Evolving roles and critical cellular interactions. Exp. Biol. Med. 2019, 244, 1240–1254. [Google Scholar] [CrossRef] [PubMed]
- Elbaum, M.; Chausovsky, A.; Levy, E.T.; Shtutman, M.; Bershadsky, A.D. Microtubule involvement in regulating cell contractility and adhesion-dependent signalling: A possible mechanism for polarization of cell motility. Biochem. Soc. Symp. 1999, 65, 147–172. [Google Scholar] [PubMed]
- Travis, S.M.; Mahon, B.P.; Petry, S. How Microtubules Build the Spindle Branch by Branch. Annu. Rev. Cell Dev. Biol. 2022, 38, 1–23. [Google Scholar] [CrossRef] [PubMed]
- Garcin, C.; Straube, A. Microtubules in cell migration. Essays Biochem. 2019, 63, 509–520. [Google Scholar] [CrossRef]
- Uchida, K.; Scarborough, E.A.; Prosser, B.L. Cardiomyocyte Microtubules: Control of Mechanics, Transport, and Remodeling. Annu. Rev. Physiol. 2022, 84, 257–283. [Google Scholar] [CrossRef]
- Sebastian, J.; Rathinasamy, K. Microtubules and Cell Division: Potential Pharmacological Targets in Cancer Therapy. Curr. Drug Targets 2023, 24, 889–918. [Google Scholar] [CrossRef]
- Gudimchuk, N.B.; McIntosh, J.R. Regulation of microtubule dynamics, mechanics and function through the growing tip. Nat. Rev. Mol. Cell Biol. 2021, 22, 777–795. [Google Scholar] [CrossRef]
- Dent, E.W.; Baas, P.W. Microtubules in neurons as information carriers. J. Neurochem. 2014, 129, 235–239. [Google Scholar] [CrossRef]
- Rogalska, A.; Miśkiewicz, K.; Marczak, A. Inhibitors of microtubule polymerization- new natural compounds as potential anti-cancer drugs. Postep. Hig. Med. Dosw. 2015, 69, 571–585. [Google Scholar] [CrossRef]
- Deftereos, S.G.; Beerkens, F.J.; Shah, B.; Giannopoulos, G.; Vrachatis, D.A.; Giotaki, S.G.; Siasos, G.; Nicolas, J.; Arnott, C.; Patel, S.; et al. Colchicine in Cardiovascular Disease: In-Depth Review. Circulation 2022, 145, 61–78. [Google Scholar] [CrossRef] [PubMed]
- Angelidis, C.; Kotsialou, Z.; Kossyvakis, C.; Vrettou, A.R.; Zacharoulis, A.; Kolokathis, F.; Kekeris, V.; Giannopoulos, G. Colchicine Pharmacokinetics and Mechanism of Action. Curr. Pharm. Des. 2018, 24, 659–663. [Google Scholar] [CrossRef] [PubMed]
- Paidakula, S.; Nerella, S.; Kankala, S.; Kankala, R.K. Recent Trends in Tubulin-Binding Combretastatin A-4 Analogs for Anticancer Drug Development. Curr. Med. Chem. 2022, 29, 3748–3773. [Google Scholar] [CrossRef]
- Xia, L.Y.; Zhang, Y.L.; Yang, R.; Wang, Z.C.; Lu, Y.D.; Wang, B.Z.; Zhu, H.L. Tubulin Inhibitors Binding to Colchicine-Site: A Review from 2015 to 2019. Curr. Med. Chem. 2020, 27, 6787–6814. [Google Scholar] [CrossRef]
- Patil, P.O.; Patil, A.G.; Rane, R.A.; Patil, P.C.; Deshmukh, P.K.; Bari, S.B.; Patil, D.A.; Naphade, S.S. Recent advancement in discovery and development of natural product combretastatin-inspired anticancer agents. Anticancer Agents Med. Chem. 2015, 15, 955–969. [Google Scholar] [CrossRef]
- Li, L.; Jiang, S.; Li, X.; Liu, Y.; Su, J.; Chen, J. Recent advances in trimethoxyphenyl (TMP) based tubulin inhibitors targeting the colchicine binding site. Eur. J. Med. Chem. 2018, 151, 482–494. [Google Scholar] [CrossRef]
- Negi, A.S.; Gautam, Y.; Alam, S.; Chanda, D.; Luqman, S.; Sarkar, J.; Khan, F.; Konwar, R. Natural antitubulin agents: Importance of 3,4,5-trimethoxyphenyl fragment. Bioorg. Med. Chem. 2015, 23, 373–389. [Google Scholar] [CrossRef]
Disclaimer/Publisher’s Note: The statements, opinions and data contained in all publications are solely those of the individual author(s) and contributor(s) and not of MDPI and/or the editor(s). MDPI and/or the editor(s) disclaim responsibility for any injury to people or property resulting from any ideas, methods, instructions or products referred to in the content. |
© 2023 by the authors. Licensee MDPI, Basel, Switzerland. This article is an open access article distributed under the terms and conditions of the Creative Commons Attribution (CC BY) license (https://creativecommons.org/licenses/by/4.0/).



































