Depression and Cognitive Dysfunction in Patients with Chronic Hepatitis C: Correlation with Viral Replication in the Peripheral Blood Mononuclear Cells and Cytokines in Serum
Abstract
:1. Introduction
2. Results
3. Discussion
4. Materials and Methods
4.1. Patients
4.2. Detection of the HCV RNA-Negative Strand in PBMC
4.3. Detection of Cytokines and Chemokines in Serum
4.4. Psychological Evaluation
4.5. Statistical Analysis
Author Contributions
Funding
Institutional Review Board Statement
Informed Consent Statement
Data Availability Statement
Conflicts of Interest
References
- Barkhuizen, A.; Rosen, H.R.; Wolf, S.; Flora, K.; Benner, K.; Bennett, R.M. Musculoskeletal pain and fatigue are associated with chronic hepatitis C: A report of 239 hepatology clinic patients. Am. J. Gastroenterol. 1999, 94, 1355–1360. [Google Scholar] [CrossRef] [PubMed]
- Forton, D.M.; Thomas, H.C.; Murphy, C.A.; Allsop, J.M.; Foster, G.R.; Main, J.; Wesnes, K.A.; Taylor-Robinson, S.D. Hepatitis C and cognitive impairment in a cohort of patients with mild liver disease. Hepatology 2002, 35, 433–439. [Google Scholar] [CrossRef] [PubMed]
- Hilsabeck, R.C.; Perry, W.; Hassanein, T.I. Neuropsychological impairment in patients with chronic hepatitis C. Hepatology 2002, 35, 440–446. [Google Scholar] [CrossRef] [PubMed]
- Forton, D.M.; Allsop, J.M.; Main, J.; Foster, G.R.; Thomas, H.C.; Taylor-Robinson, S.D. Evidence for a cerebral effect of the hepatitis C virus. Lancet 2001, 358, 38–39. [Google Scholar] [CrossRef]
- Taylor-Robinson, S.D. Applications of magnetic resonance spectroscopy to chronic liver disease. Clin. Med. 2001, 1, 54–60. [Google Scholar] [CrossRef]
- Weissenborn, K.; Krause, J.; Bokemeyer, M.; Hecker, H.; Schuler, A.; Ennen, J.C.; Ahl, B.; Manns, M.P.; Boker, K.W. Hepatitis C virus infection affects the brain-evidence from psychometric studies and magnetic resonance spectroscopy. J. Hepatol. 2004, 41, 845–851. [Google Scholar] [CrossRef]
- McAndrews, M.P.; Farcnik, K.; Carlen, P.; Damyanovich, A.; Mrkonjic, M.; Jones, S.; Heathcote, E.J. Prevalence and significance of neurocognitive dysfunction in hepatitis C in the absence of correlated risk factors. Hepatology 2005, 41, 801–808. [Google Scholar] [CrossRef] [PubMed]
- Marcus, C.D.; Taylor-Robinson, S.D.; Sargentoni, J.; Ainsworth, J.G.; Frize, G.; Easterbrook, P.J.; Shaunak, S.; Bryant, D.J. 1H MR spectroscopy of the brain in HIV-1-seropositive subjects: Evidence for diffuse metabolic abnormalities. Metab. Brain Dis. 1998, 13, 123–136. [Google Scholar] [CrossRef]
- Meyerhoff, D.J.; Bloomer, C.; Cardenas, V.; Norman, D.; Weiner, M.W.; Fein, G. Elevated subcortical choline metabolites in cognitively and clinically asymptomatic HIV+ patients. Neurology 1999, 52, 995–1003. [Google Scholar] [CrossRef]
- McCombe, J.A.; Noorbakhsh, F.; Buchholz, C.; Trew, M.; Power, C. NeuroAIDS: A watershed for mental health and nervous system disorders. J. Psychiatry Neurosci. 2009, 34, 83–85. [Google Scholar]
- Radkowski, M.; Wilkinson, J.; Nowicki, M.; Adair, D.; Vargas, H.; Ingui, C.; Rakela, J.; Laskus, T. Search for hepatitis C virus negative-strand RNA sequences and analysis of viral sequences in the central nervous system: Evidence of replication. J. Virol. 2002, 76, 600–608. [Google Scholar] [CrossRef]
- Wilkinson, J.; Radkowski, M.; Laskus, T. Hepatitis C virus neuroinvasion: Identification of infected cells. J. Virol. 2009, 83, 1312–1319. [Google Scholar] [CrossRef]
- Letendre, S.; Paulino, A.D.; Rockenstein, E.; Adame, A.; Crews, L.; Cherner, M.; Heaton, R.; Ellis, R.; Everall, I.P.; Grant, I.; et al. Pathogenesis of hepatitis C virus coinfection in the brains of patients infected with HIV. J. Infect. Dis. 2007, 196, 361–370. [Google Scholar] [CrossRef] [PubMed]
- Forton, D.M.; Karayiannis, P.; Mahmud, N.; Taylor-Robinson, S.D.; Thomas, H.C. Identification of unique hepatitis C virus quasispecies in the central nervous system and comparative analysis of internal translational efficiency of brain, liver, and serum variants. J. Virol. 2004, 78, 5170–5183. [Google Scholar] [CrossRef] [PubMed]
- Laskus, T.; Radkowski, M.; Bednarska, A.; Wilkinson, J.; Adair, D.; Nowicki, M.; Nikolopoulou, G.B.; Vargas, H.; Rakela, J. Detection and analysis of hepatitis C virus sequences in cerebrospinal fluid. J. Virol. 2002, 76, 10064–10068. [Google Scholar] [CrossRef] [PubMed]
- Zheng, J.; Gendelman, H.E. The HIV-1 associated dementia complex: A metabolic encephalopathy fueled by viral replication in mononuclear phagocytes. Curr. Opin. Neurol. 1997, 10, 319–325. [Google Scholar] [CrossRef] [PubMed]
- Laskus, T.; Radkowski, M.; Wang, L.F.; Nowicki, M.; Rakela, J. Uneven distribution of hepatitis C virus quasispecies in tissues from subjects with end-stage liver disease: Confounding effect of viral adsorption and mounting evidence for the presence of low-level extrahepatic replication. J. Virol. 2000, 74, 1014–1017. [Google Scholar] [CrossRef]
- Lerat, H.; Rumin, S.; Habersetzer, F.; Berby, F.; Trabaud, M.A.; Trepo, C.; Inchauspe, G. In vivo tropism of hepatitis C virus genomic sequences in hematopoietic cells: Influence of viral load, viral genotype, and cell phenotype. Blood 1998, 91, 3841–3849. [Google Scholar] [CrossRef]
- Navas, S.; Martin, J.; Quiroga, J.A.; Castillo, I.; Carreno, V. Genetic diversity and tissue compartmentalization of the hepatitis C virus genome in blood mononuclear cells, liver, and serum from chronic hepatitis C patients. J. Virol. 1998, 72, 1640–1646. [Google Scholar] [CrossRef]
- Shimizu, Y.K.; Igarashi, H.; Kanematu, T.; Fujiwara, K.; Wong, D.C.; Purcell, R.H.; Yoshikura, H. Sequence analysis of the hepatitis C virus genome recovered from serum, liver, and peripheral blood mononuclear cells of infected chimpanzees. J. Virol. 1997, 71, 5769–5773. [Google Scholar] [CrossRef]
- Afridi, R.; Suk, K. Neuroinflammatory Basis of Depression: Learning From Experimental Models. Front. Cell Neurosci. 2021, 15, 691067. [Google Scholar] [CrossRef] [PubMed]
- Wilkinson, J.; Radkowski, M.; Eschbacher, J.M.; Laskus, T. Activation of brain macrophages/microglia cells in hepatitis C infection. Gut 2010, 59, 1394–1400. [Google Scholar] [CrossRef] [PubMed]
- Laskus, T.; Radkowski, M.; Piasek, A.; Nowicki, M.; Horban, A.; Cianciara, J.; Rakela, J. Hepatitis C Virus in Lymphoid Cells of Patients Coinfected with Human Immunodeficiency Virus Type 1: Evidence of Active Replication in Monocytes/Macrophages and Lymphocytes. J. Infect. Dis. 2000, 181, 442–448. [Google Scholar] [CrossRef]
- Ducoulombier, D.; Roque-Afonso, A.M.; Di Liberto, G.; Penin, F.; Kara, R.; Richard, Y.; Dussaix, E.; Feray, C. Frequent compartmentalization of hepatitis C virus variants in circulating B cells and monocytes. Hepatology 2004, 39, 817–825. [Google Scholar] [CrossRef]
- Hickey, W.F.; Vass, K.; Lassmann, H. Bone marrow-derived elements in the central nervous system: An immunohistochemical and ultrastructural survey of rat chimeras. J. Neuropathol. Exp. Neurol. 1992, 51, 246–256. [Google Scholar] [CrossRef]
- Unger, E.R.; Sung, J.H.; Manivel, J.C.; Chenggis, M.L.; Blazar, B.R.; Krivit, W. Male donor-derived cells in the brains of female sex-mismatched bone marrow transplant recipients: A Y-chromosome specific in situ hybridization study. J. Neuropathol. Exp. Neurol. 1993, 52, 460–470. [Google Scholar] [CrossRef]
- Hickey, W.F. Leukocyte traffic in the central nervous system: The participants and their roles. Semin. Immunol. 1999, 11, 125–137. [Google Scholar] [CrossRef]
- Leonard, B.E. Inflammation and depression: A causal or coincidental link to the pathophysiology? Acta Neuropsychiatr. 2018, 30, 1–16. [Google Scholar] [CrossRef]
- Grant, R.S.; Kapoor, V. Murine glial cells regenerate NAD, after peroxide-induced depletion, using either nicotinic acid, nicotinamide, or quinolinic acid as substrates. J. Neurochem. 1998, 70, 1759–1763. [Google Scholar] [CrossRef] [PubMed]
- Zhu, C.B.; Lindler, K.M.; Owens, A.W.; Daws, L.C.; Blakely, R.D.; Hewlett, W.A. Interleukin-1 receptor activation by systemic lipopolysaccharide induces behavioral despair linked to MAPK regulation of CNS serotonin transporters. Neuropsychopharmacology 2010, 35, 2510–2520. [Google Scholar] [CrossRef]
- Horikawa, H.; Kato, T.A.; Mizoguchi, Y.; Monji, A.; Seki, Y.; Ohkuri, T.; Gotoh, L.; Yonaha, M.; Ueda, T.; Hashioka, S.; et al. Inhibitory effects of SSRIs on IFN-gamma induced microglial activation through the regulation of intracellular calcium. Prog. Neuropsychopharmacol. Biol. Psychiatry 2010, 34, 1306–1316. [Google Scholar] [CrossRef] [PubMed]
- Muller, N.; Schwarz, M.J.; Dehning, S.; Douhe, A.; Cerovecki, A.; Goldstein-Muller, B.; Spellmann, I.; Hetzel, G.; Maino, K.; Kleindienst, N.; et al. The cyclooxygenase-2 inhibitor celecoxib has therapeutic effects in major depression: Results of a double-blind, randomized, placebo controlled, add-on pilot study to reboxetine. Mol. Psychiatry 2006, 11, 680–684. [Google Scholar] [CrossRef] [PubMed]
- Nettis, M.A.; Lombardo, G.; Hastings, C.; Zajkowska, Z.; Mariani, N.; Nikkheslat, N.; Worrell, C.; Enache, D.; McLaughlin, A.; Kose, M.; et al. Augmentation therapy with minocycline in treatment-resistant depression patients with low-grade peripheral inflammation: Results from a double-blind randomised clinical trial. Neuropsychopharmacology 2021, 46, 939–948. [Google Scholar] [CrossRef] [PubMed]
- Dudek, K.A.; Dion-Albert, L.; Lebel, M.; LeClair, K.; Labrecque, S.; Tuck, E.; Ferrer Perez, C.; Golden, S.A.; Tamminga, C.; Turecki, G.; et al. Molecular adaptations of the blood-brain barrier promote stress resilience vs. depression. Proc. Natl. Acad. Sci. USA 2020, 117, 3326–3336. [Google Scholar] [CrossRef] [PubMed]
- Martinez, J.M.; Garakani, A.; Yehuda, R.; Gorman, J.M. Proinflammatory and “resiliency” proteins in the CSF of patients with major depression. Depress. Anxiety 2012, 29, 32–38. [Google Scholar] [CrossRef]
- Himmerich, H.; Patsalos, O.; Lichtblau, N.; Ibrahim, M.A.A.; Dalton, B. Cytokine Research in Depression: Principles, Challenges, and Open Questions. Front. Psychiatry 2019, 10, 30. [Google Scholar] [CrossRef]
- Lotrich, F.E. Inflammatory cytokine-associated depression. Brain Res. 2015, 1617, 113–125. [Google Scholar] [CrossRef]
- Marques-Deak, A.H.; Neto, F.L.; Dominguez, W.V.; Solis, A.C.; Kurcgant, D.; Sato, F.; Ross, J.M.; Prado, E.B. Cytokine profiles in women with different subtypes of major depressive disorder. J. Psychiatr. Res. 2007, 41, 152–159. [Google Scholar] [CrossRef]
- Dieperink, E.; Willenbring, M.; Ho, S.B. Neuropsychiatric symptoms associated with hepatitis C and interferon alpha: A review. Am. J. Psychiatry 2000, 157, 867–876. [Google Scholar] [CrossRef]
- Yarlott, L.; Heald, E.; Forton, D. Hepatitis C virus infection, and neurological and psychiatric disorders—A review. J. Adv. Res. 2017, 8, 139–148. [Google Scholar] [CrossRef]
- Hilsabeck, R.C.; Hassanein, T.I.; Carlson, M.D.; Ziegler, E.A.; Perry, W. Cognitive functioning and psychiatric symptomatology in patients with chronic hepatitis C. J. Int. Neuropsychol. Soc. 2003, 9, 847–854. [Google Scholar] [CrossRef]
- Lowry, D.; Coughlan, B.; McCarthy, O.; Crowe, J. Investigating health-related quality of life, mood and neuropsychological test performance in a homogeneous cohort of Irish female hepatitis C patients. J. Viral Hepat. 2010, 17, 352–359. [Google Scholar] [CrossRef] [PubMed]
- Cordoba, J.; Flavia, M.; Jacas, C.; Sauleda, S.; Esteban, J.I.; Vargas, V.; Esteban, R.; Guardia, J. Quality of life and cognitive function in hepatitis C at different stages of liver disease. J. Hepatol. 2003, 39, 231–238. [Google Scholar] [CrossRef]
- Brosseron, F.; Krauthausen, M.; Kummer, M.; Heneka, M.T. Body fluid cytokine levels in mild cognitive impairment and Alzheimer’s disease: A comparative overview. Mol. Neurobiol. 2014, 50, 534–544. [Google Scholar] [CrossRef] [PubMed]
- Pawlowski, T.; Radkowski, M.; Malyszczak, K.; Inglot, M.; Zalewska, M.; Jablonska, J.; Laskus, T. Depression and neuroticism in patients with chronic hepatitis C: Correlation with peripheral blood mononuclear cells activation. J. Clin. Virol. 2014, 60, 105–111. [Google Scholar] [CrossRef]
- Raison, C.L.; Borisov, A.S.; Majer, M.; Drake, D.F.; Pagnoni, G.; Woolwine, B.J.; Vogt, G.J.; Massung, B.; Miller, A.H. Activation of central nervous system inflammatory pathways by interferon-alpha: Relationship to monoamines and depression. Biol. Psychiatry 2009, 65, 296–303. [Google Scholar] [CrossRef]
- Brabers, N.A.; Nottet, H.S. Role of the pro-inflammatory cytokines TNF-alpha and IL-1beta in HIV-associated dementia. Eur. J. Clin. Investig. 2006, 36, 447–458. [Google Scholar] [CrossRef]
- Radkowski, M.; Bednarska, A.; Horban, A.; Stanczak, J.; Wilkinson, J.; Adair, D.M.; Nowicki, M.; Rakela, J.; Laskus, T. Infection of primary human macrophages with hepatitis C virus in vitro: Induction of tumour necrosis factor-alpha and interleukin 8. J. Gen. Virol. 2004, 85 Pt 1 Pt 1, 47–59. [Google Scholar] [CrossRef]
- Kato, N.; Yoshida, H.; Ono-Nita, S.K.; Kato, J.; Goto, T.; Otsuka, M.; Lan, K.; Matsushima, K.; Shiratori, Y.; Omata, M. Activation of intracellular signaling by hepatitis B and C viruses: C-viral core is the most potent signal inducer. Hepatology 2000, 32, 405–412. [Google Scholar] [CrossRef]
- Hoshida, Y.; Kato, N.; Yoshida, H.; Wang, Y.; Tanaka, M.; Goto, T.; Otsuka, M.; Taniguchi, H.; Moriyama, M.; Imazeki, F.; et al. Hepatitis C virus core protein and hepatitis activity are associated through transactivation of interleukin-8. J. Infect. Dis. 2005, 192, 266–275. [Google Scholar] [CrossRef] [PubMed]
- Foucher, J.; Chanteloup, E.; Vergniol, J.; Castera, L.; Le Bail, B.; Adhoute, X.; Bertet, J.; Couzigou, P.; de Ledinghen, V. Diagnosis of cirrhosis by transient elastography (FibroScan): A prospective study. Gut 2006, 55, 403–408. [Google Scholar] [CrossRef] [PubMed]
- Laskus, T.; Radkowski, M.; Jablonska, J.; Kibler, K.; Wilkinson, J.; Adair, D.; Rakela, J. Human immunodeficiency virus facilitates infection/replication of hepatitis C virus in native human macrophages. Blood 2004, 103, 3854–3859. [Google Scholar] [CrossRef] [PubMed]
- Beck, A.T.; Ward, C.H.; Mendelson, M.; Mock, J.; Erbaugh, J. An inventory for measuring depression. Arch. Gen. Psychiatry 1961, 4, 561–571. [Google Scholar] [CrossRef] [PubMed]
- Eysenck, H.J.; Eysenck, S.B.J. Manual of the Eysenck Personality Inventory; Hodder&Stoughton: London, UK, 1975; pp. 390–401. [Google Scholar]
- Spielberger, C.D.; Gorsuch, R.L.; Lushene, R.; Vagg, P.R.; Jacobs, G.A. Manual for the State-Trait Anxiety Inventory; Consulting Psychologist Press: Palo Alto, CA, USA, 1983. [Google Scholar]
- Grant, D.A.; Berg, E.A. A behavioral analysis of degree of reinforcement and ease of shifting to new responses in a Weigl-type card-sorting problem. J. Exp. Psychol. 1948, 38, 404–411. [Google Scholar] [CrossRef] [PubMed]
- Ruff, R.M. Ruff Figural Fluency Test; Odessa, F.L., Ed.; Psychological Assessment Resources: Lutz, FL, USA, 2011. [Google Scholar]
- Delis, D.C.; Kramer, J.H.; Kaplan, E.; Ober, B.A. California Verbal Learning Test—Second Edition (CVLT–II) [Database Record]; PsycTESTS; American Psychological Association: Washington, DC, USA, 1987–2000. [Google Scholar]
- Matthews, C.G.; Klove, K. Instruction Manual for the Adult Neuropsychology Test Battery; University of Wisconsin Medical School: Madison, WI, USA, 1964. [Google Scholar]



| Cytokine/ Chemokine | BDI | STAI | Neuroticism | |||
|---|---|---|---|---|---|---|
| Correlation Coefficient | Statistical Significance a | Correlation Coefficient | Statistical Significance | Correlation Coefficient | Statistical Significance | |
| IL-1ra | −0.06 | NS | 0.10 | NS | −0.19 | NS |
| IL-1β | −0.08 | NS | −0.02 | NS | −0.14 | NS |
| IL-2 | −0.10 | NS | −0.01 | NS | −0.13 | NS |
| IL-4 | −0.05 | NS | −0.04 | NS | 0.27 | 0.02 (0.37) b |
| IL-7 | 0.02 | NS | −0.05 | NS | 0.24 | 0.046 (0.38) |
| IL-8 | 0.29 | 0.012 (0.28) | 0.30 | 0.009 (0.21) | 0.18 | NS |
| IL-9 | −0.04 | NS | 0.14 | NS | 0.08 | NS |
| IL-13 | −0.10 | NS | −0.12 | NS | −0.06 | NS |
| IL-17 | −0.12 | NS | −0.12 | NS | 0.10 | NS |
| TNF-α | −0.13 | NS | −0.11 | NS | 0.04 | NS |
| IFN-γ | 0.13 | NS | 0.21 | 0.06 (0.51) | −0.03 | NS |
| IP-10/CXCL10 | −0.07 | NS | 0.09 | NS | −0.05 | NS |
| GM-CSF | 0.21 | 0.08 | 0.06 | NS | 0.03 | NS |
| G-CSF | −0.04 | NS | 0.07 | NS | 0.15 | NS |
| FGF-basic | 0.16 | NS | 0.07 | NS | −0.01 | NS |
| PDGF-BB | −0.10 | NS | −0.04 | NS | −0.06 | NS |
| MCP-1/CCL2 | 0.11 | NS | 0.23 | 0.05 (0.51) | −0.02 | NS |
| MIP-1α/CCL3 | 0.029 | NS | 0.09 | NS | 0.12 | NS |
| MIP-1β/CCL4 | 0.12 | NS | 0.06 | NS | 0.00 | NS |
| RANTES/CCL5 | −0.14 | NS | −0.03 | NS | −0.07 | NS |
| Eotaxin | −0.04 | NS | −0.10 | NS | 0.25 | 0.03 (0.37) |
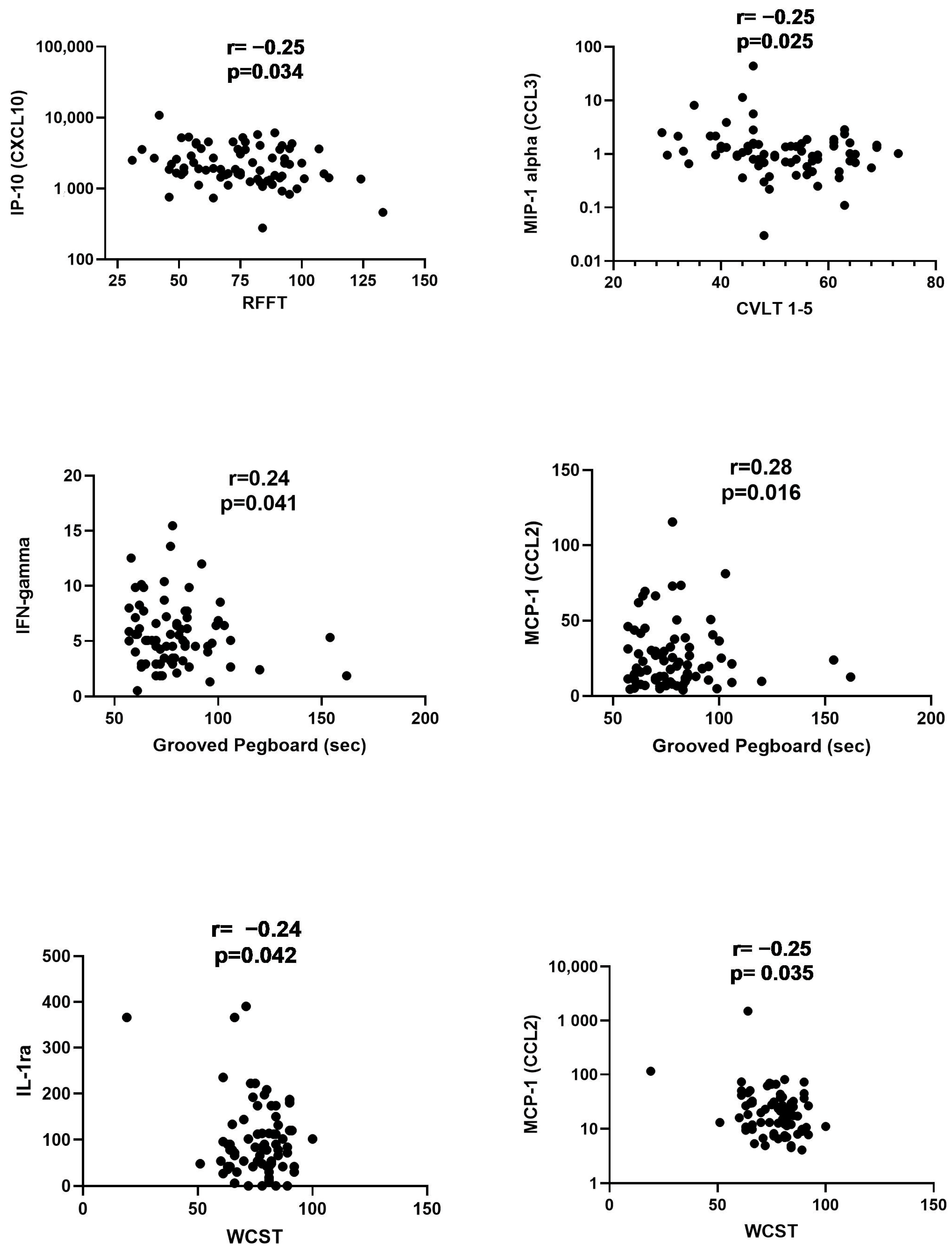
| Cytokine/ Chemokine | RFFT a | CVLT 1–5 b | Grooved Pegboard Test | |||
|---|---|---|---|---|---|---|
| Correlation Coefficient | Statistical Significance c | Correlation Coefficient | Statistical Significance | Correlation Coefficient | Statistical Significance | |
| IL-1ra | −0.06 | NS | −0.10 | NS | −0.07 | NS |
| IL-1β | −0.08 | NS | 0.16 | NS | 0.09 | NS |
| IL-2 | 0.01 | NS | −0.12 | NS | 0.13 | NS |
| IL-4 | 0.10 | NS | 0.05 | NS | −0.07 | NS |
| IL-7 | 0.01 | NS | 0.08 | NS | 0.00 | NS |
| IL-8 | −0.18 | NS | −0.08 | NS | 0.13 | NS |
| IL-9 | 0.05 | NS | −0.02 | NS | −0.05 | NS |
| IL-13 | −0.19 | NS | −0.17 | NS | −0.03 | NS |
| IL-17 | −0.12 | NS | −0.13 | NS | −0.05 | NS |
| TNF-α | 0.03 | NS | −0.05 | NS | −0.13 | NS |
| IFN-γ | 0.10 | NS | 0.17 | NS | 0.24 | 0.041 (0.48) d |
| IP-10/CXCL10 | −0.25 | 0.034 (0.74) | −0.09 | NS | 0.10 | NS |
| GM-CSF | 0.06 | NS | 0.17 | NS | 0.02 | NS |
| G-CSF | −0.02 | NS | −0.16 | NS | 0.02 | NS |
| FGF-basic | −0.15 | NS | −0.05 | NS | 0.04 | NS |
| PDGF-BB | 0.05 | NS | 0.05 | NS | −0.19 | NS |
| MCP-1/CCL2 | −0.16 | NS | −0.04 | NS | 0.28 | 0.016 (0.36) |
| MIP-1α/CCL3 | −0.14 | NS | −0.25 | 0.025 (0.56) | 0.00 | NS |
| MIP-1β/CCL4 | 0.01 | NS | 0.04 | NS | −0.17 | NS |
| RANTES/CCL5 | −0.07 | NS | 0.04 | NS | −0.08 | NS |
| Eotaxin | 0.04 | NS | 0.02 | NS | −0.03 | NS |
Disclaimer/Publisher’s Note: The statements, opinions and data contained in all publications are solely those of the individual author(s) and contributor(s) and not of MDPI and/or the editor(s). MDPI and/or the editor(s) disclaim responsibility for any injury to people or property resulting from any ideas, methods, instructions or products referred to in the content. |
© 2023 by the authors. Licensee MDPI, Basel, Switzerland. This article is an open access article distributed under the terms and conditions of the Creative Commons Attribution (CC BY) license (https://creativecommons.org/licenses/by/4.0/).
Share and Cite
Radkowski, M.; Kryczka, T.; Szymańska-Kotwica, B.; Berak, H.; Horban, A.; Pawłowski, T.; Perlejewski, K.; Laskus, T. Depression and Cognitive Dysfunction in Patients with Chronic Hepatitis C: Correlation with Viral Replication in the Peripheral Blood Mononuclear Cells and Cytokines in Serum. Int. J. Mol. Sci. 2023, 24, 15351. https://doi.org/10.3390/ijms242015351
Radkowski M, Kryczka T, Szymańska-Kotwica B, Berak H, Horban A, Pawłowski T, Perlejewski K, Laskus T. Depression and Cognitive Dysfunction in Patients with Chronic Hepatitis C: Correlation with Viral Replication in the Peripheral Blood Mononuclear Cells and Cytokines in Serum. International Journal of Molecular Sciences. 2023; 24(20):15351. https://doi.org/10.3390/ijms242015351
Chicago/Turabian StyleRadkowski, Marek, Tomasz Kryczka, Bogna Szymańska-Kotwica, Hanna Berak, Andrzej Horban, Tomasz Pawłowski, Karol Perlejewski, and Tomasz Laskus. 2023. "Depression and Cognitive Dysfunction in Patients with Chronic Hepatitis C: Correlation with Viral Replication in the Peripheral Blood Mononuclear Cells and Cytokines in Serum" International Journal of Molecular Sciences 24, no. 20: 15351. https://doi.org/10.3390/ijms242015351
APA StyleRadkowski, M., Kryczka, T., Szymańska-Kotwica, B., Berak, H., Horban, A., Pawłowski, T., Perlejewski, K., & Laskus, T. (2023). Depression and Cognitive Dysfunction in Patients with Chronic Hepatitis C: Correlation with Viral Replication in the Peripheral Blood Mononuclear Cells and Cytokines in Serum. International Journal of Molecular Sciences, 24(20), 15351. https://doi.org/10.3390/ijms242015351

