Superfast Capture of Iodine from Air, Water, and Organic Solvent by Potential Dithiocarbamate-Based Organic Polymer
Abstract
1. Introduction
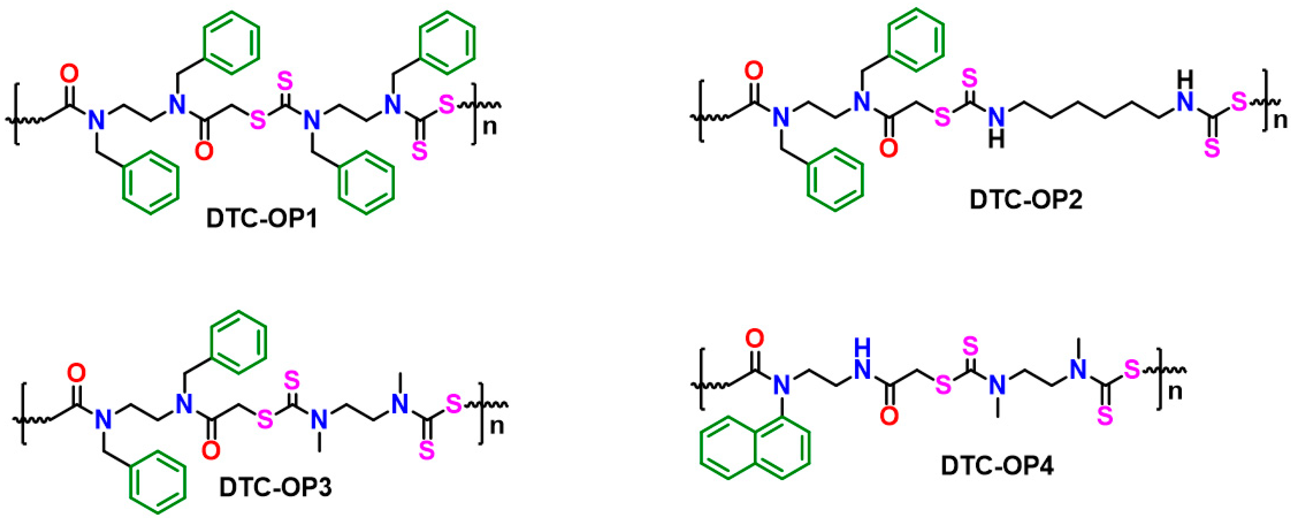
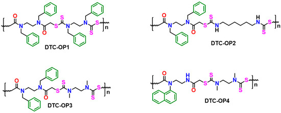
2. Results and Discussion
2.1. Iodine Vapor Adsorption
2.2. Iodine Adsorption from Organic Solvent
2.3. Iodine Adsorption from Aqueous Solution
3. Materials and Methods
3.1. Selection of Best DTC-OP
3.2. Iodine Adsorption in Vapor Phase
3.3. Iodine Release and Material Regeneration
3.4. Adsorption of Iodine in Liquid Phase
3.5. Kinetics Studies
4. Conclusions
Supplementary Materials
Author Contributions
Funding
Institutional Review Board Statement
Informed Consent Statement
Data Availability Statement
Acknowledgments
Conflicts of Interest
References
- Adamantiades, A.; Kessides, I. Nuclear Power for Sustainable Development: Current Status and Future Prospects. Energy Policy 2009, 37, 5149–5166. [Google Scholar] [CrossRef]
- Wang, Q.; Li, R.; He, G. Research Status of Nuclear Power: A Review. Renew. Sustain. Energy Rev. 2018, 90, 90–96. [Google Scholar] [CrossRef]
- Svensson, P.H.; Kloo, L. Synthesis, Structure, and Bonding in Polyiodide and Metal Iodide− Iodine Systems. Chem. Rev. 2003, 103, 1649–1684. [Google Scholar] [CrossRef] [PubMed]
- Nandanwar, S.U.; Coldsnow, K.; Utgikar, V.; Sabharwall, P.; Aston, D.E. Capture of Harmful Radioactive Contaminants from Off-Gas Stream Using Porous Solid Sorbents for Clean Environment–A Review. Chem. Eng. J. 2016, 306, 369–381. [Google Scholar] [CrossRef]
- Zhang, Y.; He, L.; Pan, T.; Xie, J.; Wu, F.; Dong, X.; Wang, X.; Chen, L.; Gong, S.; Liu, W. Superior Iodine Uptake Capacity Enabled by an Open Metal-Sulfide Framework Composed of Three Types of Active Sites. CCS Chem. 2022, 1–9. [Google Scholar] [CrossRef]
- Xie, L.; Zheng, Z.; Lin, Q.; Zhou, H.; Ji, X.; Sessler, J.L.; Wang, H. Calix [4] Pyrrole-based Crosslinked Polymer Networks for Highly Effective Iodine Adsorption from Water. Angew. Chem. 2022, 134, e202113724. [Google Scholar]
- Riley, B.J.; Vienna, J.D.; Strachan, D.M.; McCloy, J.S.; Jerden Jr, J.L. Materials and Processes for the Effective Capture and Immobilization of Radioiodine: A Review. J. Nucl. Mater. 2016, 470, 307–326. [Google Scholar] [CrossRef]
- Xu, L.; Li, C.G.; Zhang, K.; Wu, P. Bifunctional Tandem Catalysis on Multilamellar Organic-Inorganic Hybrid Zeolites. ACS Catal. 2014, 4, 2959–2968. [Google Scholar] [CrossRef]
- Zhou, J.; Lan, T.; Li, T.; Chen, Q.; Bai, P.; Liu, F.; Yuan, Z.; Zheng, W.; Luo, X.; Yan, W. Highly Efficient Capture of Iodine in Spent Fuel Reprocessing Off-Gas by Novelly Porous Copper-Doped Silica Zeolites. Sep. Purif. Technol. 2022, 290, 120895. [Google Scholar] [CrossRef]
- Xiao, H.; Zhou, H.; Feng, S.; Gore, D.B.; Zhong, Z.; Xing, W. In Situ Growth of Two-Dimensional ZIF-L Nanoflakes on Ceramic Membrane for Efficient Removal of Iodine. J. Memb. Sci. 2021, 619, 118782. [Google Scholar] [CrossRef]
- Gao, R.; Lu, Y.; Xiao, S.; Li, J. Facile Fabrication of Nanofibrillated Chitin/Ag2O Heterostructured Aerogels with High Iodine Capture Efficiency. Sci. Rep. 2017, 7, 1–9. [Google Scholar] [CrossRef] [PubMed]
- Hasanpour, M.; Hatami, M. Photocatalytic Performance of Aerogels for Organic Dyes Removal from Wastewaters: Review Study. J. Mol. Liq. 2020, 309, 113094. [Google Scholar] [CrossRef]
- Katsoulidis, A.P.; He, J.; Kanatzidis, M.G. Functional Monolithic Polymeric Organic Framework Aerogel as Reducing and Hosting Media for Ag Nanoparticles and Application in Capturing of Iodine Vapors. Chem. Mater. 2012, 24, 1937–1943. [Google Scholar] [CrossRef]
- Lu, Y.; Liu, H.; Gao, R.; Xiao, S.; Zhang, M.; Yin, Y.; Wang, S.; Li, J.; Yang, D. Coherent-Interface-Assembled Ag2O-Anchored Nanofibrillated Cellulose Porous Aerogels for Radioactive Iodine Capture. ACS Appl. Mater. Interfaces 2016, 8, 29179–29185. [Google Scholar] [CrossRef]
- Wu, Y.; Xie, Y.; Zhong, F.; Gao, J.; Yao, J. Fabrication of Bimetallic Hofmann-Type Metal-Organic Frameworks@ Cellulose Aerogels for Efficient Iodine Capture. Microporous and Mesoporous Mater. 2020, 306, 110386. [Google Scholar] [CrossRef]
- Qasem, K.M.A.; Khan, S.; Ahamad, M.N.; Saleh, H.A.M.; Ahmad, M.; Shahid, M. Radioactive Iodine Capture by Metal Organic Frameworks in Liquid and Vapour Phases: An Experimental, Kinetic and Mechanistic Study. J Environ. Chem. Eng. 2021, 9, 106720. [Google Scholar] [CrossRef]
- Xie, W.; Cui, D.; Zhang, S.-R.; Xu, Y.-H.; Jiang, D.-L. Iodine Capture in Porous Organic Polymers and Metal–Organic Frameworks Materials. Mater. Horiz. 2019, 6, 1571–1595. [Google Scholar] [CrossRef]
- Wang, P.; Xu, Q.; Li, Z.; Jiang, W.; Jiang, Q.; Jiang, D. Exceptional Iodine Capture in 2D Covalent Organic Frameworks. Adv. Mater. 2018, 30, 1801991. [Google Scholar] [CrossRef]
- Zhou, J.; Hao, S.; Gao, L.; Zhang, Y. Study on Adsorption Performance of Coal Based Activated Carbon to Radioactive Iodine and Stable Iodine. Ann. Nucl. Energy 2014, 72, 237–241. [Google Scholar] [CrossRef]
- Guo, Z.; Sun, P.; Zhang, X.; Lin, J.; Shi, T.; Liu, S.; Sun, A.; Li, Z. Amorphous Porous Organic Polymers Based on Schiff-Base Chemistry for Highly Efficient Iodine Capture. Chem.–Asian J. 2018, 13, 2046–2053. [Google Scholar] [CrossRef]
- Mohan, A.; Al-Sayah, M.H.; Ahmed, A.; El-Kadri, O.M. Triazine-Based Porous Organic Polymers for Reversible Capture of Iodine and Utilization in Antibacterial Application. Sci. Rep. 2022, 12, 1–10. [Google Scholar] [CrossRef] [PubMed]
- Li, Z.; Li, H.; Wang, D.; Suwansoontorn, A.; Du, G.; Liu, Z.; Hasan, M.M.; Nagao, Y. A Simple and Cost-Effective Synthesis of Ionic Porous Organic Polymers with Excellent Porosity for High Iodine Capture. Polymer (Guildf) 2020, 204, 122796. [Google Scholar] [CrossRef]
- Qian, X.; Wang, B.; Zhu, Z.-Q.; Sun, H.-X.; Ren, F.; Mu, P.; Ma, C.; Liang, W.-D.; Li, A. Novel N-Rich Porous Organic Polymers with Extremely High Uptake for Capture and Reversible Storage of Volatile Iodine. J. Hazard. Mater. 2017, 338, 224–232. [Google Scholar] [CrossRef] [PubMed]
- Jie, K.; Zhou, Y.; Li, E.; Li, Z.; Zhao, R.; Huang, F. Reversible Iodine Capture by Nonporous Pillar [6] Arene Crystals. J. Am. Chem. Soc. 2017, 139, 15320–15323. [Google Scholar] [CrossRef] [PubMed]
- Luo, D.; He, Y.; Tian, J.; Sessler, J.L.; Chi, X. Reversible Iodine Capture by Nonporous Adaptive Crystals of a Bipyridine Cage. J. Am. Chem. Soc. 2021, 144, 113–117. [Google Scholar] [CrossRef]
- Xiong, S.; Tang, X.; Pan, C.; Li, L.; Tang, J.; Yu, G. Carbazole-Bearing Porous Organic Polymers with a Mulberry-like Morphology for Efficient Iodine Capture. ACS Appl. Mater. Interfaces 2019, 11, 27335–27342. [Google Scholar] [CrossRef]
- Pan, X.; Ding, C.; Zhang, Z.; Ke, H.; Cheng, G. Functional Porous Organic Polymer with High S and N for Reversible Iodine Capture. Microporous and Mesoporous Mater. 2020, 300, 110161. [Google Scholar] [CrossRef]
- Pei, C.; Ben, T.; Xu, S.; Qiu, S. Ultrahigh Iodine Adsorption in Porous Organic Frameworks. J. Mater. Chem. A Mater. 2014, 2, 7179–7187. [Google Scholar] [CrossRef]
- Baig, N.; Shetty, S.; Pasha, S.S.; Pramanik, S.K.; Alameddine, B. Copolymer Networks with Contorted Units and Highly Polar Groups for Ultra-Fast Selective Cationic Dye Adsorption and Iodine Uptake. Polymer (Guildf) 2022, 239, 124467. [Google Scholar] [CrossRef]
- Xie, Y.; Pan, T.; Lei, Q.; Chen, C.; Dong, X.; Yuan, Y.; Shen, J.; Cai, Y.; Zhou, C.; Pinnau, I.; et al. Ionic Functionalization of Multivariate Covalent Organic Frameworks to Achieve an Exceptionally High Iodine-Capture Capacity. Angew. Chem. – Int. Ed. 2021, 60, 22432–22440. [Google Scholar] [CrossRef]
- Thurakkal, L.; Porel, M. Efficient Mercury Removal in 30 Seconds by Designing a Dithiocarbamate-Based Organic Polymer with Customizable Functionalities and Tuneable Properties. Environ. Sci. Water Res. Technol 2023. Accepted manuscript. [Google Scholar] [CrossRef]
- Xie, Y.; Pan, T.; Lei, Q.; Chen, C.; Dong, X.; Yuan, Y.; Maksoud, W.A.; Zhao, L.; Cavallo, L.; Pinnau, I.; et al. Efficient and Simultaneous Capture of Iodine and Methyl Iodide Achieved by a Covalent Organic Framework. Nat. Commun. 2022, 13. [Google Scholar] [CrossRef] [PubMed]
- Lin, J.X.; Liang, J.; Feng, J.F.; Karadeniz, B.; Lü, J.; Cao, R. Iodine Uptake and Enhanced Electrical Conductivity in a Porous Coordination Polymer Based on Cucurbit [6] Uril. Inorg. Chem. Front. 2016, 3, 1393–1397. [Google Scholar] [CrossRef]
- Harijan, D.K.L.; Chandra, V.; Yoon, T.; Kim, K.S. Radioactive Iodine Capture and Storage from Water Using Magnetite Nanoparticles Encapsulated in Polypyrrole. J. Hazard. Mater. 2018, 344, 576–584. [Google Scholar] [CrossRef] [PubMed]
- Mahanta, D.; Madras, G.; Radhakrishnan, S.; Patil, S. Adsorption of Sulfonated Dyes by Polyaniline Emeraldine Salt and Its Kinetics. J. Phys. Chem. B 2008, 112, 10153–10157. [Google Scholar] [CrossRef] [PubMed]
- Abney, C.W.; Mayes, R.T.; Saito, T.; Dai, S. Materials for the Recovery of Uranium from Seawater. Chem. Rev. 2017, 117, 13935–14013. [Google Scholar] [CrossRef]
- García-Zubiri, I.X.; González-Gaitano, G.; Isasi, J.R. Sorption Models in Cyclodextrin Polymers: Langmuir, Freundlich, and a Dual-Mode Approach. J. Colloid. Interface Sci. 2009, 337, 11–18. [Google Scholar] [CrossRef]
- Ho, Y.-S.; McKay, G. Pseudo-Second Order Model for Sorption Processes. Process biochem. 1999, 34, 451–465. [Google Scholar] [CrossRef]







Disclaimer/Publisher’s Note: The statements, opinions and data contained in all publications are solely those of the individual author(s) and contributor(s) and not of MDPI and/or the editor(s). MDPI and/or the editor(s) disclaim responsibility for any injury to people or property resulting from any ideas, methods, instructions or products referred to in the content. |
© 2023 by the authors. Licensee MDPI, Basel, Switzerland. This article is an open access article distributed under the terms and conditions of the Creative Commons Attribution (CC BY) license (https://creativecommons.org/licenses/by/4.0/).
Share and Cite
Thurakkal, L.; Cheekatla, S.R.; Porel, M. Superfast Capture of Iodine from Air, Water, and Organic Solvent by Potential Dithiocarbamate-Based Organic Polymer. Int. J. Mol. Sci. 2023, 24, 1466. https://doi.org/10.3390/ijms24021466
Thurakkal L, Cheekatla SR, Porel M. Superfast Capture of Iodine from Air, Water, and Organic Solvent by Potential Dithiocarbamate-Based Organic Polymer. International Journal of Molecular Sciences. 2023; 24(2):1466. https://doi.org/10.3390/ijms24021466
Chicago/Turabian StyleThurakkal, Liya, Subba Rao Cheekatla, and Mintu Porel. 2023. "Superfast Capture of Iodine from Air, Water, and Organic Solvent by Potential Dithiocarbamate-Based Organic Polymer" International Journal of Molecular Sciences 24, no. 2: 1466. https://doi.org/10.3390/ijms24021466
APA StyleThurakkal, L., Cheekatla, S. R., & Porel, M. (2023). Superfast Capture of Iodine from Air, Water, and Organic Solvent by Potential Dithiocarbamate-Based Organic Polymer. International Journal of Molecular Sciences, 24(2), 1466. https://doi.org/10.3390/ijms24021466

