Physiological, Biochemical, and Epigenetic Reaction of Maize (Zea mays L.) to Cultivation in Conditions of Varying Soil Salinity and Foliar Application of Silicon
Abstract
1. Introduction
2. Results
2.1. The Effect of Foliar Application of Silicon on the Relative Chlorophyll Content in Maize Leaves Cultivated in Varying Soil Salinity Conditions
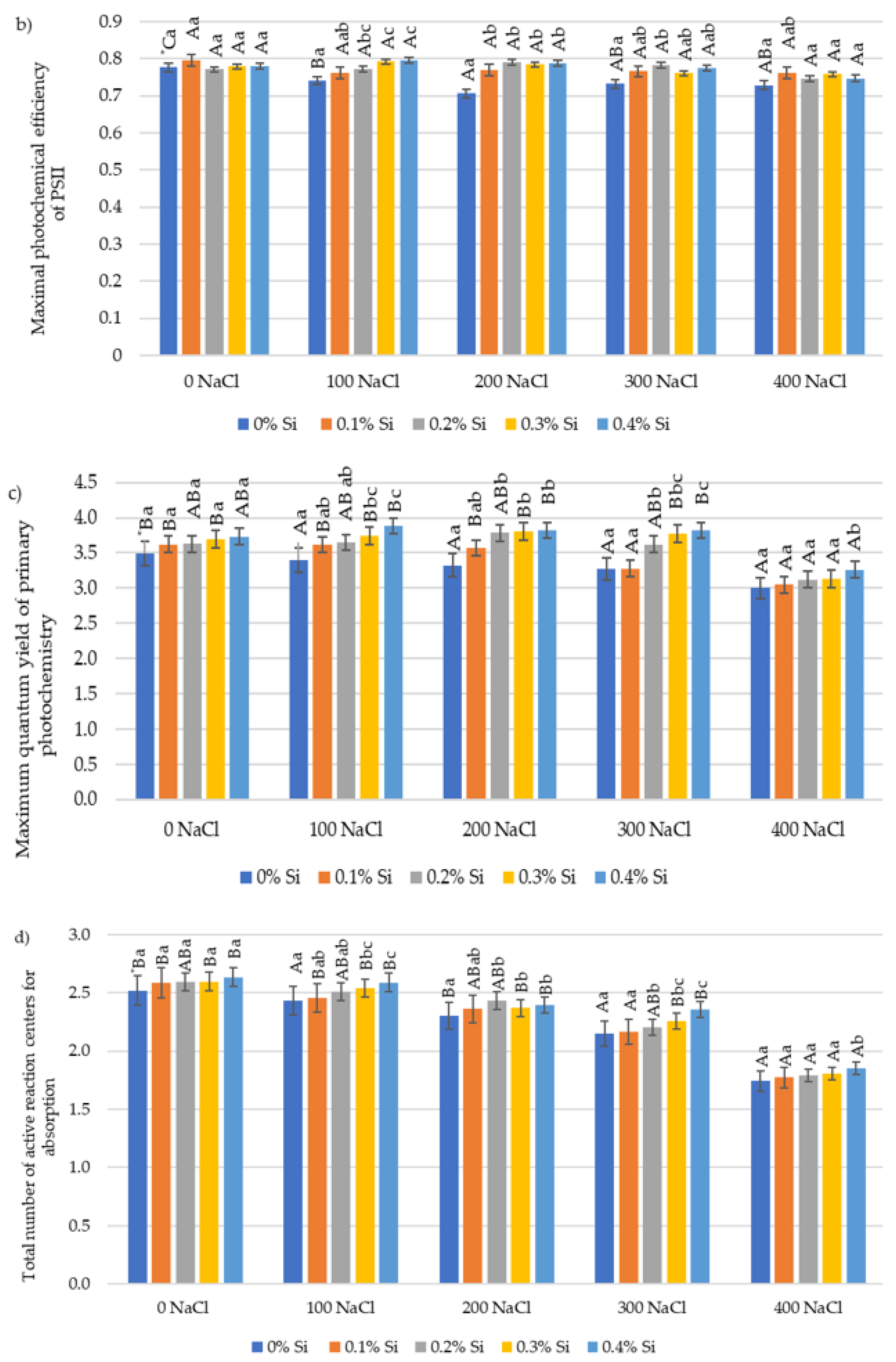
2.2. Effect of Foliar Application of Silicon on Chlorophyll Fluorescence Parameters in Maize Leaves Cultivated under Varying Salinity Conditions
2.3. Effect of Foliar Application of Silicon on the Gas Exchange Parameters of Maize Leaves Cultivated under Varying Salinity Conditions
2.4. Effect of Foliar Application of Silicon on the Content of Chlorophyll a and b and Carotenoids in Maize Leaves Cultivated in Conditions of Varied Salinity
2.5. The Effect of Foliar Application of Silicon on Proline Content in Maize Leaves Grown under Varied Salinity Conditions
2.6. Effect of Foliar Application of Silicon on DNA Methylation in Maize Plants Cultivated in Conditions of Varied Salinity
3. Discussion
4. Materials and Methods
4.1. Plant Growth Conditions
4.2. Measurement of Physiological Parameters
4.2.1. Relative Chlorophyll Content
4.2.2. Chlorophyll Fluorescence
4.2.3. Gas Exchange
4.3. Determination of the Chlorophyll, Carotenoids and Free Proline Content
4.4. MSAP Electrophoresis and Visualization and Methylation Analysis
4.5. Statistical Analysis
5. Conclusions
Author Contributions
Funding
Institutional Review Board Statement
Informed Consent Statement
Data Availability Statement
Conflicts of Interest
References
- Keeping, M.G.; Reynolds, O.L. Silicon in agriculture: New insights, new significance and growing application. Ann. Appl. Biol. 2009, 155, 153–154. [Google Scholar] [CrossRef]
- Covshoff, S.; Hibberd, J.M. Integrating C4 photosynthesis into C3 crops to increase yield potential. Curr. Opin. Biotechnol. 2012, 23, 209–214. [Google Scholar] [CrossRef] [PubMed]
- Cetner, M.D.; Dąbrowski, P.; Samborska, I.A.; Łukasik, I.; Swoczyna, T.; Pietkiewicz, S.; Bąba, W.; Kalaji, M.H. Zastosowanie pomiarów fluorescencji Chlorofilu W badaniach środowiskowych. Kosmos Prob. Nauk Biol. 2016, 65, 197–205. (In Polish) [Google Scholar]
- Khosravinejad, F.; Heydari, R.; Farboodnia, T. Effects of salinity on photosynthetic pigments, respiration, and water content in two barley varieties. Pak. J. Biol. Sci. 2008, 11, 2438–2442. [Google Scholar] [CrossRef] [PubMed]
- Taïbi, K.; Taïbi, F.; Abderrahim, L.A.; Ennajah, A.; Belkhodja, M.; Mulet, J.M. Effect of salt stress on growth, chlorophyll content, lipid peroxidation and antioxidant defence systems in Phaseolus vulgaris L. S. Afr. J. Bot. 2016, 105, 306–312. [Google Scholar] [CrossRef]
- Bayat, H.; Shafie, F.; Shahraki, B. Salinity effects on growth, chlorophyll content, total phenols, and antioxidant activity in Salvia lavandulifolia Vahl. Adv. Hort. Sci. 2022, 36, 145–153. [Google Scholar] [CrossRef]
- Yildiz, M.; Terzi, H. Effect of NaCl stress on chlorophyll biosynthesis, proline, lipid peroxidation and antioxidative enzymes in leaves of salt-tolerant and salt-sensitive barley cultivars. J. Agric. Sci. 2013, 19, 79–88. [Google Scholar] [CrossRef]
- Alharbi, K.; Al-Osaimi, A.A.; Alghamdi, B.A. Sodium chloride (NaCl)-induced physiological alteration and oxidative stress generation in Pisum sativum (L.): A toxicity assessment. ACS Omega 2022, 7, 20819–20832. [Google Scholar] [CrossRef]
- Hewedy, O.A.; Mahmoud, G.A.E.; Elshafey, N.F.; Khamis, G.; Karkour, A.M.; Lateif, K.S.A.; Amin, B.H.; Chiab, N.; El-Taher, A.M.; Elsheery, N.I. Plants take action to mitigate salt stress: Ask microbe for help, phytohormones, and genetic approaches. J. Water Land Dev. 2022, 55, 1–16. [Google Scholar] [CrossRef]
- Yang, X.; Liang, Z.; Wen, X.; Lu, C. Genetics engineering of the biosynthesis of glycinebetaine leads to increased tolerance of photosynthesis to salt stress in transgenic tobacco plants. Plant Mol. Biol. 2008, 66, 73–86. [Google Scholar] [CrossRef]
- Kalaji, H.M.; Rutkowska, A. Reakcje aparatu fotosyntetycznego siewek kukurydzy na stres solny. Zesz. Prob. Post. Nauk Roln. 2004, 496, 545–558. (In Polish) [Google Scholar]
- Brogowski, Z. Silicon in soil and its role in plant nutrition. Post. Nauk Roln. 2000, 6, 9–16. (In Polish) [Google Scholar]
- Epstein, E. Silicon: Its manifold roles in plants. Ann. Appl. Biol. 2009, 155, 155–160. [Google Scholar] [CrossRef]
- Bienert, G.P.; Schüssler, M.D.; Jahn, T.P. Metalloids: Essential, beneficial or toxic? Major intrinsic proteins sort it out. Trends Biochem. Sci. 2008, 33, 20–26. [Google Scholar] [CrossRef] [PubMed]
- Pilon-Smits, E.A.H.; Quinn, C.F.; Tapken, W.; Malagoli, M.; Schiavon, M. Physiological functions of beneficial elements. Curr. Opin. Plant Biol. 2009, 12, 267–274. [Google Scholar] [CrossRef] [PubMed]
- Grenda, A.; Skowrońska, M. Nowe trendy w badaniach nad biogeochemią krzemu. Zesz. Prob. Post. Nauk Roln. 2004, 502, 781–789. (In Polish) [Google Scholar]
- Liang, Y.; Sun, W.; Zhu, Y.G.; Christie, P. Mechanisms of silicon-mediated alleviation of abiotic stresses in higher plants: A review. Environ. Pollut. 2007, 147, 422–428. [Google Scholar] [CrossRef]
- Tuna, A.L.; Kaya, C.; Higgs, D.; Murillo-Amador, B.; Aydemir, S.; Girgin, A.R. Silicon improves salinity tolerance in wheat plants. Environ. Exp. Bot. 2008, 62, 10–16. [Google Scholar] [CrossRef]
- Xie, Z.; Song, F.; Xu, H.; Shao, H.; Song, R. Effects of silicon on photosynthetic characteristics of maize (Zea mays L.) on alluvial soil. Sci. World J. 2014, 2014, 718716. [Google Scholar] [CrossRef]
- Fialová, I.; Šimková, L.; Vaculíková, M.; Luxová, M. Effect of Si on the antioxidative defense of young maize roots under NaCl stress. Silicon 2018, 10, 2911–2914. [Google Scholar] [CrossRef]
- Stadnik, B.; Tobiasz-Salach, R.; Mazurek, M. Physiological and epigenetic reaction of barley (Hordeum vulgare L.) to the foliar application of silicon under soil salinity conditions. Int. J. Mol. Sci. 2022, 23, 1149. [Google Scholar] [CrossRef] [PubMed]
- Ma, J.F.; Yamaji, N. Functions and transport of silicon in plants. Cell. Mol. Life Sci. 2008, 65, 3049–3057. [Google Scholar] [CrossRef] [PubMed]
- Kaya, C.; Tuna, L.; Higgs, D. Effect of silicon on plant growth and mineral nutrition of maize grown under water-stress conditions. J. Plant Nutr. 2006, 29, 1469–1480. [Google Scholar] [CrossRef]
- Ma, J.F.; Yamaji, N. Silicon uptake and accumulation in higher plants. Trends Plant Sci. 2006, 11, 392–397. [Google Scholar] [CrossRef] [PubMed]
- Etesami, H.; Jeong, B.R. Silicon (Si): Review and future prospects on the action mechanisms in alleviating biotic and abiotic stresses in plants. Ecotoxicol. Environ. Saf. 2018, 147, 881–896. [Google Scholar] [CrossRef]
- Abdel-Haliem, M.E.F.; Hegazy, H.S.; Hassan, N.S.; Naguib, D.M. Effect of silica ions and nano silica on rice plants under salinity stress. Ecol. Eng. 2017, 99, 282–289. [Google Scholar] [CrossRef]
- More, P.; Parinita, A.; Mastan, S.G.; Agarwal, P.K. MSAP marker based DNA methylation study in Salicornia brachiata DREB2A transgenic tobacco. Plant Gene 2016, 6, 77–81. [Google Scholar] [CrossRef]
- Ashapkin, V.V.; Kutueva, L.I.; Aleksandrushkina, N.I.; Vanyushin, B.F. Epigenetic mechanisms of plant adaptation to biotic and abiotic stresses. Int. J. Mol. Sci. 2020, 21, 7457. [Google Scholar] [CrossRef]
- Sun, M.; Yang, Z.; Liu, L.; Duan, L. DNA Methylation in plant responses and adaption to abiotic stresses. Int. J. Mol. Sci. 2022, 23, 6910. [Google Scholar] [CrossRef]
- Sun, L.; Miao, X.; Cui, J.; Deng, J.; Wang, X.; Wang, Y.; Zhang, Y.; Gao, S.; Yang, K. Genome-wide high-resolution mapping of DNA methylation identifies epigenetic variation across different salt stress in maize (Zea mays L.). Euphytica 2018, 214, 25. [Google Scholar] [CrossRef]
- Tan, M.P. Analysis of DNA methylation of maize in response to osmotic and salt stress based on methylation-sensitive amplified polymorphism. Plant Physiol. Biochem. 2010, 48, 21–26. [Google Scholar] [CrossRef] [PubMed]
- Tyczewska, A.; Gracz-Bernaciak, J.; Szymkowiak, J.; Twardowski, T. Herbicide stress-induced DNA methylation changes in two Zea mays inbred lines differing in Roundup® resistance. J. Appl. Genet. 2021, 62, 235–248. [Google Scholar] [CrossRef] [PubMed]
- Bocchini, M.; D’Amato, R.; Ciancaleoni, S.; Fontanella, M.C.; Palmerini, C.A.; Beone, G.M.; Onofri, A.; Negri, V.; Marconi, G.; Albertini, E.; et al. Soil selenium (Se) biofortification changes the physiological, biochemical and epigenetic responses to water stress in Zea mays L. by inducing a higher drought tolerance. Front Plant. Sci. 2018, 27, 389. [Google Scholar] [CrossRef] [PubMed]
- Shan, X.; Wang, X.; Yang, G.; Wu, Y.; Su, S.; Li, S.; Liu, H.; Yuan, Y. Analysis of the DNA methylation of maize (Zea mays L.) in response to cold stress based on methylation-sensitive amplified polymorphisms. J. Plant Biol. 2012, 56, 32–38. [Google Scholar] [CrossRef]
- Zenda, T.; Liu, S.; Yao, D.; Duan, H. Analysis of sulphur and chlorine induced DNA cytosine methylation alterations in fresh corn (Zea mays L. saccharata and rugosa) leaf tissues by methylation sensitive amplification polymorphism (MSAP) approach. Genes. Genom. 2018, 40, 913–925. [Google Scholar] [CrossRef]
- Marconi, G.; Pace, R.; Traini, A.; Raggi, L.; Lutts, S.; Chiusano, M.; Guiducci, M.; Falcinelli, M.; Benincasa, P.; Albertini, E. Use of MSAP markers to analyse the effects of salt stress on DNA methylation in rapeseed (Brassica napus var. oleifera). PLoS ONE 2013, 8, e75597. [Google Scholar] [CrossRef]
- Mastan, S.G.; Rathore, M.S.; Bhatt, V.D.; Yadav, P.; Chikara, J. Assessment of changes in DNA methylation by methylation-sensitive amplification polymorphism in Jatropha curcas L. subjected to salinity stress. Gene 2012, 508, 125–129. [Google Scholar] [CrossRef]
- Peraza-Echeverria, S.; Herrera-Valencia, A.V.; James-Kay, A. Detection of DNA methylation changes in micropropagated banana plants using methkumarylation-sensitive amplification polymorphism (MSAP). Plant Sci. 2001, 161, 359–367. [Google Scholar] [CrossRef]
- Xiong, L.Z.; Xu, C.G.; Saghai Maroof, M.A.; Zhang, Q. Patterns of cytosine methylation in an elite rice hybrid and its parental lines, detected by a methylation-sensitive amplification polymorphism technique. Mol. Gen. Genet. 1999, 261, 439–446. [Google Scholar] [CrossRef]
- FAO. Available online: https://www.fao.org/faostat/en/#data/QCL (accessed on 28 November 2022).
- Gao, X.; Zou, C.; Wang, L.; Zhang, F. Silicon improves water use efficiency in maize plants. J. Plant Nutr. 2005, 27, 1457–1470. [Google Scholar] [CrossRef]
- Gharineh, M.H.; Karmollachaab, A. Effect of silicon on physiological characteristics wheat growth under water-deficit stress induced by PEG. Int. J. Agron. Plant Prod. 2013, 4, 1543–1548. [Google Scholar]
- Khan, W.U.D.; Aziz, T.; Hussain, I.; Ramzani, M.A.; Reichenauer, T.G. Silicon: A beneficial nutrient for maize crop to enhance photochemical efficiency of photosystem II under salt stress. Arch. Agron. Soil Sci. 2016, 63, 599–611. [Google Scholar] [CrossRef]
- Ashraf, M.; Harris, P.J.C. Photosynthesis under stressful environments: An overview. Photosynthetica 2013, 51, 163–190. [Google Scholar] [CrossRef]
- Maathuis, F.J.M.; Amtmann, A. K+ nutrition and Na+ toxicity: The basis of cellular K+/Na+ ratios. Ann. Bot. 1999, 84, 123–133. [Google Scholar] [CrossRef]
- Shabala, S.; Cuin, T.A. Potassium transport and plant salt tolerance. Physiol. Plant. 2008, 133, 651–669. [Google Scholar] [CrossRef] [PubMed]
- Wang, W.S.; Pan, Y.J.; Zhao, X.Q.; Dwivedi, D.; Zhu, L.H.; Ali, J.; Fu, B.Y.; Li, Z.K. Drought-induced site-specific DNA methylation and its association with drought tolerance in rice (Oryza sativa L.). J. Exp. Bot. 2011, 62, 1951–1960. [Google Scholar] [CrossRef]
- Mittler, R. Oxidative stress, antioxidants and stress tolerance. Trends Plant Sci. 2002, 7, 405–410. [Google Scholar] [CrossRef]
- Ozfidan-Konakci, C.; Yildiztugay, E.; Kucukoduk, M. Protective roles of exogenously applied gallic acid in Oryza sativa subjected to salt and osmotic stresses: Effects on the total antioxidant capacity. Plant Growth Regul. 2015, 75, 219–234. [Google Scholar] [CrossRef]
- Munns, R.; Day, D.A.; Fricke, W.; Watt, M.; Arsova, B.; Barkla, B.J.; Bose, J.; Byrt, C.S.; Chen, Z.H.; Foster, K.J.; et al. Energy costs of salt tolerance in crop plants. New Phytol. 2020, 225, 1072–1090. [Google Scholar] [CrossRef]
- Netondo, G.W.; Onyango, J.C.; Beck, E. Sorghum and salinity: II. Gas exchange and chlorophyll fluorescence of sorghum under salt stress. Crop. Sci. 2004, 44, 806. [Google Scholar] [CrossRef]
- Stepien, P.; Johnson, G.N. Contrasting responses of photosynthesis to salt stress in the glycophyte Arabidopsis and the halo-phyte Thellungiella: Role of the plastid terminal oxidase as an alternative electron sink. Plant Physiol. 2009, 149, 1154–1165. [Google Scholar] [CrossRef] [PubMed]
- Munns, R.; Tester, M. Mechanisms of salinity tolerance. Annu. Rev. Plant Biol. 2008, 59, 651–681. [Google Scholar] [CrossRef] [PubMed]
- Zeng, F.; Shabala, L.; Zhou, M.; Zhang, G.; Shabala, S. Barley responses to combined waterlogging and salinity stress: Separating effects of oxygen deprivation and elemental toxicity. Front. Plant Sci. 2013, 4, 313. [Google Scholar] [CrossRef]
- Qados, A.M.S.A. Mechanism of nanosilicon-mediated alleviation of salinity stress in faba bean (Vicia faba L.) plants. J. Exp. Agric. Int. 2015, 7, 78–95. [Google Scholar] [CrossRef]
- Negrao, S.; Schmöckel, S.M.; Tester, M. Evaluating traits contributing to salinity tolerance. Ann. Bot. 2017, 119, 13–26. [Google Scholar] [CrossRef]
- Taiz, L.; Zeiger, E. Photosynthesis: Physiological and ecological considerations. In Plant Physiology, 4th ed.; Taiz, L., Zeiger, E., Eds.; Sinauer Associates Inc.: Franklin, MA, USA, 2002; Volume 9, pp. 172–174. [Google Scholar]
- Zeeshan, M.; Lu, M.; Sehar, S.; Holford, P.; Wu, F. Comparison of biochemical, anatomical, morphological, and physiological responses to salinity stress in wheat and barley genotypes deferring in salinity tolerance. Agronomy 2020, 10, 127. [Google Scholar] [CrossRef]
- Abdelaal, K.A.A.; Mazrou, Y.S.A.; Hafez, Y.M. Silicon foliar application mitigates salt stress in sweet pepper plants by enhancing water status, photosynthesis, antioxidant enzyme activity and fruit yield. Plants 2020, 9, 733. [Google Scholar] [CrossRef] [PubMed]
- Parida, A.K.; Das, A.B.; Mittra, B. Effects of NaCl stress on the structure, pigment complex composition, and photosynthetic activity of mangrove Bruguiera parviflora chloroplasts. Photosynthetica 2003, 41, 191–200. [Google Scholar] [CrossRef]
- Kalteh, M.; Alipour, Z.T.; Ashraf, S.; Marashi Aliabadi, M.; Falah Nosratabadi, A. Effect of silica nanoparticles on basil (Ocimum basilicum) under salinity stress. J. Chem. Health Risks 2018, 4, 49–55. [Google Scholar] [CrossRef]
- Chung, Y.S.; Kim, K.S.; Hamayun, M.; Kim, Y. Silicon confers soybean resistance to salinity stress through regulation of reactive oxygen and reactive nitrogen species. Front. Plant Sci. 2020, 10, 1725. [Google Scholar] [CrossRef]
- Brestic, M.; Zivcak, M. PSII fluorescence techniques for measurement of drought and high temperature stress signal in crop plants: Protocols and applications. In Molecular Stress Physiology of Plants; Rout, G.R., Das, A.B., Eds.; Springer: Berlin/Heidelberg, Germany, 2013; pp. 87–131. [Google Scholar] [CrossRef]
- Kalaji, H.M.; Jajoo, A.; Oukarroum, A.; Brestic, M.; Zivcak, M.; Samborska, I.A.; Cetner, M.D.; Łukasik, I.; Goltsev, V.N.; Ladle, R.J. Chlorophyll a fluorescence as a tool to monitor physiological status of plants under abiotic stress conditions. Acta Physiol. Plant. 2016, 38, 102. [Google Scholar] [CrossRef]
- Kumar, S.; Soukup, M.; Elbaum, R. Silicification in grasses: Variation between different cell types. Front. Plant Sci. 2017, 8, 438. [Google Scholar] [CrossRef] [PubMed]
- Souri, Z.; Khanna, K.; Karimi, N.; Ahmad, P. Silicon and plants: Current knowledge and future prospects. J. Plant Growth Reg. 2021, 40, 906–925. [Google Scholar] [CrossRef]
- Ibrahim, W.; Ahmed, I.M.; Chen, X.; Cao, F.; Zhu, S.; Wu, F. Genotypic differences in photosynthetic performance, antioxidant capacity, ultrastructure and nutrients in response to combined stress of salinity and Cd in cotton. BioMetals 2015, 28, 1063–1078. [Google Scholar] [CrossRef]
- Khan, W.U.D.; Aziz, T.; Maqsood, M.A.; Farooq, M.; Abdullah, Y.; Ramzani, P.M.A.; Bilal, H.M. Silicon nutrition mitigates salinity stress in maize by modulating ion accumulation, photosynthesis, and antioxidants. Photosynthetica 2018, 56, 1047–1057. [Google Scholar] [CrossRef]
- Xia, J.; Li, Y.; Zou, D. Effects of salinity stress on PSII in Ulva lactuca as probed by chlorophyll fluorescence measurements. Aquat. Bot. 2004, 80, 129–137. [Google Scholar] [CrossRef]
- Laane, H.M. The effects of foliar sprays with different silicon compounds. Plants 2018, 7, 45. [Google Scholar] [CrossRef]
- Mateos-Naranjo, E.; Andrades-Moreno, L.; Davy, A.J. Silicon alleviates deleterious effects of high salinity on the halophytic grass Spartina densiflora. Plant Physiol. Biochem. 2013, 63, 115–121. [Google Scholar] [CrossRef]
- Ueda, A.; Kanechi, M.; Uno, Y.; Inagaki, N. Photosynthetic limitations of a halophyte sea aster (Aster tripolium L.) under water stress and NaCl stress. J. Plant Res. 2003, 116, 65–70. [Google Scholar] [CrossRef]
- Hernández, J.A.; Olmos, E.; Corpas, F.J.; Sevilla, F.; del Río, L.A. Salt-induced oxidative stress in chloroplasts of pea plants. Plant Sci. 1995, 105, 151–167. [Google Scholar] [CrossRef]
- Ali, M.; Gul, A.; Hasan, H.; Gul, S.; Fareed, A.; Nadeem, M.; Siddique, R.; Jan, S.U.; Jamil, M. Cellular mechanisms of drought tolerance in wheat. In Climate Change and Food Security with Emphasis on Wheat; Oztruk, M., Gul, A., Eds.; Academic Press: Cambridge, MA, USA, 2020; Volume 9, pp. 155–164. [Google Scholar] [CrossRef]
- Gururani, M.A.; Venkatesh, J.; Tran, L.S.P. Regulation of photosynthesis during abiotic stress-induced photoinhibition. Mol. Plant 2015, 8, 1304–1320. [Google Scholar] [CrossRef]
- Abogadallah, G.M. Insights into the significance of antioxidative defense under salt stress. Plant Signal. Behav. 2010, 5, 369–374. [Google Scholar] [CrossRef]
- Leegood, R.C.; Lea, P.J.; Adcock, M.D.; Häusler, R.E. The regulation and control of photorespiration. J. Exp. Bot. 1995, 46, 1397–1414. [Google Scholar] [CrossRef]
- James, R.A.; Rivelli, A.R.; Munns, R.; von Caemmerer, S. Factors affecting CO2 assimilation, leaf injury and growth in salt-stressed durum wheat. Funct. Plant Biol. 2002, 29, 1393–1403. [Google Scholar] [CrossRef]
- Sharma, N.; Gupta, N.K.; Gupta, S.; Hasegawa, H. Effect of NaCl salinity on photosynthetic rate, transpiration rate, and oxidative stress tolerance in contrasting wheat genotypes. Photosynthetica 2005, 43, 609–613. [Google Scholar] [CrossRef]
- Yeo, A.R.; Flowers, S.A.; Rao, G.; Welfare, K.; Senanayake, N.; Flowers, T.J. Silicon reduces sodium uptake in rice (Oryza sativa L.) in saline conditions and this is accounted for by a reduction in the transpirational bypass flow. Plant Cell Environ. 1999, 22, 559–565. [Google Scholar] [CrossRef]
- Li, H.; Zhu, Y.; Hu, Y.; Han, W.; Gong, H. Beneficial effects of silicon in alleviating salinity stress of tomato seedlings grown under sand culture. Acta Physiol. Plant 2015, 37, 71. [Google Scholar] [CrossRef]
- Zhu, Y.; Gong, H. Beneficial effects of silicon on salt and drought tolerance in plants. Agron. Sustain. Dev. 2014, 34, 455–472. [Google Scholar] [CrossRef]
- De Oliveira, R.L.L.; De Mello Prado, R.; Felisberto, G.; Cruz, F.J.R. Different sources of silicon by foliar spraying on the growth and gas exchange in sorghum. J. Soil Sci. Plan. Nutr. 2019, 19, 948–953. [Google Scholar] [CrossRef]
- Rios, J.J.; Martínez-Ballesta, M.C.; Ruiz, J.M.; Blasco, B.; Carvajal, M. Silicon-mediated improvement in plant salinity tolerance: The role of aquaporins. Front. Plant Sci. 2017, 8, 948. [Google Scholar] [CrossRef]
- Aliu, S.; Rusinovci, I.; Fetahu, S.; Gashi, B.; Simeonovska, E.; Rozman, L. The effect of salt stress on the germination of maize (Zea mays L.) seeds and photosynthetic pigments. Acta Agric. Slov. 2015, 105, 85–94. [Google Scholar] [CrossRef]
- Di, H.; Tian, Y.; Zu, H.; Meng, X.; Zeng, X.; Wang, Z. Enhanced salinity tolerance in transgenic maize plants expressing a BADH gene from Atriplex micrantha. Euphytica 2015, 206, 775–783. [Google Scholar] [CrossRef]
- Raza, M.M.; Ullah, S.; Aziz, T.; Abbas, T.; Yousaf, M.M.; Altay, V.; Ozturk, M. Alleviation of salinity stress in maize using silicon nutrition. Not. Bot. Horti Agrobot. 2019, 47, 1340–1347. [Google Scholar] [CrossRef]
- Barbosa, M.A.M.; da Silva, M.H.L.; Viana, G.D.M.; Ferreira, T.R.; de Carvalho Souza, C.L.F.; Lobato, E.M.S.G.; da Silva Lobato, A.K. Beneficial repercussion of silicon (Si) application on photosynthetic pigments in maize plants. Aust. J. Crop. Sci. 2015, 9, 1113–1118. [Google Scholar]
- Rohanipoor, A.; Norouzi, M.; Moezzi, A.; Hassibi, P. Effect of silicon on some physiological properties of maize (Zea mays) under salt stress. J. Biol. Environ. Sci. 2013, 7, 71–79. [Google Scholar]
- Cha-Um, S.; Kirdmanee, C. Effect of salt stress on proline accumulation, photosynthetic ability and growth characters in two maize cultivars. Pak. J. Bot. 2009, 41, 87–98. [Google Scholar]
- Pingle, S.N.; Suryawanshi, S.T.; Pawar, K.R.; Harke, S.N. The effect of salt stress on proline content in maize (Zea mays). Environ. Sci. Proc. 2022, 16, 64. [Google Scholar] [CrossRef]
- Carpici, E.B.; Celik, N.; Bayram, G. The effects of salt stress on the growth, biochemical parameter and mineral element content of some maize (Zea mays L.) cultivars. Afr. J. Biotechnol. 2010, 9, 6937–6942. [Google Scholar] [CrossRef]
- Agami, R.A. Alleviating the adverse effects of NaCl stress in maize seedlings by pretreating seeds with salicylic acid and 24-epibrassinolide. S. Afr. J. Bot. 2013, 88, 171–177. [Google Scholar] [CrossRef]
- Molazem, D.; Bashirzadeh, A. Impact of salinity stress on proline reaction, peroxide activity, and antioxidant enzymes in maize (Zea mays L.). Polish J. Environ. Stud. 2015, 24, 597–603. [Google Scholar] [CrossRef]
- Natarajan, G.P.; Venkataraman, S.M.; Pitchamuthu, S.; Rengaraj, M. Impact of silicon seed priming on osmoregulants, antioxidants, and seedling growth of maize grown under chemo-stress. World J. Environ. Biosci. 2022, 11, 1–7. [Google Scholar] [CrossRef]
- Moussa, H.R. Influence of exogenous application of silicon on physiological response of salt-stressed maize (Zea mays L.). Int. J. Agric. Biol. 2006, 8, 293–297. [Google Scholar]
- Delavar, K.; Ghanati, F.; Behmanesh, M.; Zare-Maivan, H. Physiological parameters of silicon-treated maize under salt stress conditions. Silicon 2018, 10, 2585–2592. [Google Scholar] [CrossRef]
- Parveen, A.; Liu, W.; Hussain, S.; Asghar, J.; Perveen, S.; Xiong, Y. Silicon priming regulates morpho-physiological growth and oxidative metabolism in maize under drought stress. Plants 2019, 8, 431. [Google Scholar] [CrossRef] [PubMed]
- Bruce, T.J.A.; Matthes, M.C.; Napier, J.A.; Pickett, J.A. Stressful “memories” of plants: Evidence and possible mechanisms. Plant Sci. 2007, 173, 603–608. [Google Scholar] [CrossRef]
- Turgut-Kara, N.; Arikan, B.; Celik, H. Epigenetic memory and priming in plants. Genetica 2020, 148, 47–54. [Google Scholar] [CrossRef]
- Lukens, L.N.; Zhan, S. The plant genome’s methylation status and response to stress: Implications for plant improvement. Curr. Opin. Plant Biol. 2007, 10, 317–322. [Google Scholar] [CrossRef]
- Eichten, S.R.; Swanson-Wagner, R.A.; Schnable, J.C.; Waters, A.J.; Hermanson, P.J.; Liu, S.; Yeh, C.T.; Jia, Y.; Gendler, K.; Freeling, M.; et al. Heritable epigenetic variation among maize inbreds. PLOS Genet. 2011, 7, e1002372. [Google Scholar] [CrossRef]
- Choi, C.S.; Sano, H. Abiotic-stress induces demethylation and transcriptional activation of a gene encoding a glycerophosphodiesterase-like protein in tobacco plants. Mol. Genet. Genom. 2007, 277, 589–600. [Google Scholar] [CrossRef]
- Mager, S.; Ludewig, U. Massive loss of DNA methylation in nitrogen-, but not in phosphorus-deficient Zea mays roots is poorly correlated with gene expression differences. Front. Plant Sci. 2018, 9, 497. [Google Scholar] [CrossRef]
- Shen, H.; He, H.; Li, J.; Chen, W.; Wang, X.; Guo, L.; Peng, Z.; He, G.; Zhong, S.; Qi, Y.; et al. Genome-wide analysis of DNA methylation and gene expression changes in two Arabidopsis ecotypes and their reciprocal hybrids. Plant Cell. 2012, 24, 875–892. [Google Scholar] [CrossRef] [PubMed]
- Li, P.; Ponnala, L.; Gandotra, N.; Wang, L.; Si, Y.; Tausta, S.L.; Kebrom, T.H.; Provart, N.; Patel, R.; Myers, C.R.; et al. The developmental dynamics of the maize leaf transcriptome. Nat. Genet. 2010, 42, 1060–1067. [Google Scholar] [CrossRef] [PubMed]
- Ding, Y.; Fromm, M.; Avramova, Z. Multiple exposures to drought ‘train’ transcriptional responses in Arabidopsis. Nat. Commun. 2012, 3, 740. [Google Scholar] [CrossRef] [PubMed]
- Bernstein, B.E.; Meissner, A.; Lander, E.S. The mammalian epigenome. Cell 2007, 128, 669–681. [Google Scholar] [CrossRef]
- Maxwell, K.; Johnson, G.N. Chlorophyll fluorescence-a practical guide. J. Exp. Bot. 2000, 51, 659–668. [Google Scholar] [CrossRef]
- Strasser, R.J.; Tsimilli-Michael, M.; Srivastava, A. Analysis of the chlorophyll a fluorescence transient. In Chlorophyll a Fluorescence: A Signature of Photosynthesis; Papageorgiou, G.C., Govindjee, Eds.; Springer: Dordrecht, The Netherlands, 2004; pp. 321–362. [Google Scholar] [CrossRef]
- Hiscox, J.D.; Israelstam, G.F. A method for the extraction of chlorophyll from leaf tissue without maceration. Canad. J. Bot. 1979, 57, 1332–1334. [Google Scholar] [CrossRef]
- Arnon, D.I. Copper enzymes in isolated chloroplasts. Polyphenoloxidase in Beta vulgaris. Plant Physiol. 1949, 24, 1–15. [Google Scholar] [CrossRef]
- Lichtenthaler, H.K. Chlorophylls and carotenoids: Pigments of photosynthetic biomembranes. Methods Enzymol. 1987, 148, 350–382. [Google Scholar] [CrossRef]
- Bates, L.S.; Waldren, R.P.; Teare, I.D. Rapid determination of free proline for water-stress studies. Plant Soil 1973, 39, 205–207. [Google Scholar] [CrossRef]
- Doyle, J.J.; Doyle, J.L. Isolation of plant DNA from fresh tissue. Focus 1990, 12, 13–15. [Google Scholar]
- Bassam, B.J.; Gresshoff, P.M. Silver staining DNA in polyacrylamide gels. Nat. Protoc. 2007, 2, 2649–2654. [Google Scholar] [CrossRef] [PubMed]
- Xu, M.; Li, X.; Korban, S.S. AFLP-based detection of DNA methylation. Plant Mol. Biol. Report. 2000, 18, 361–368. [Google Scholar] [CrossRef]
- Xiangqian, L.; Mingliang, X.; Schuyler, S.K. DNA methylation profiles differ between field-andin vitro-grown leaves of apple. J. Plant Physiol. 2002, 159, 1229–1234. [Google Scholar] [CrossRef]









| Variants | Type of Methylation | |||
|---|---|---|---|---|
| NaCl | Si | Fully (Symmetric) | Hemi-Methylation | Total |
| 0 | 0.0% | 18.8 | 34.6 | 53.4 |
| 0 | 0.1% | 17.5 | 37.5 | 55.0 |
| 0 | 0.2% | 24.2 | 28.8 | 53.0 |
| 0 | 0.3% | 18.1 | 39.6 | 57.7 |
| 0 | 0.4% | 23.1 | 36.5 | 59.6 |
| 100 | 0.1% | 15.6 | 26.2 | 41.8 |
| 100 | 0.2% | 18.2 | 25.8 | 43.9 |
| 100 | 0.3% | 17.1 | 28.9 | 46.1 |
| 100 | 0.4% | 14.3 | 31.4 | 45.7 |
| 200 | 0.1% | 23.3 | 26.7 | 50.0 |
| 200 | 0.2% | 18.3 | 37.4 | 55.7 |
| 200 | 0.3% | 15.4 | 37.6 | 53.0 |
| 200 | 0.4% | 20.2 | 37.8 | 58.0 |
| 300 | 0.1% | 16.0 | 34.4 | 50.4 |
| 300 | 0.2% | 21.7 | 28.7 | 50.4 |
| 300 | 0.3% | 17.7 | 35.5 | 53.2 |
| 300 | 0.4% | 29.8 | 29.8 | 59.6 |
| 400 | 0.1% | 28.1 | 35.1 | 63.2 |
| 400 | 0.2% | 20.2 | 42.7 | 62.9 |
| 400 | 0.3% | 22.7 | 39.4 | 62.1 |
| 400 | 0.4% | 22.0 | 42.4 | 64.4 |
| MSAP Stage | Primer/Adapter | Sequence |
|---|---|---|
| Ligation | EcoRI-Adapter | 5′CTCGTAGACTGCGTACC 3′ 3′CATCTGACGCATGGTTAA 5′ |
| MspI-HpaII-Adapter | 5′CGACTCAGGACTCAT 3′ 3′TGAGTCCTGAGTAGCAG 5′ | |
| Preamplification | Pre-EcoRI | 5′GACTGCGTACCAATTC 3′ |
| Pre-MspI-HpaII | 5′GATGAGTCCTGAGTCGG 3′ | |
| Selective amplification | EcoRI-ACT | 5′GACTGCGTACCAATTCACT 3′ |
| EcoRI-AC | 5′GACTGCGTACCAATTCAC 3′ | |
| EcoRI-AT | 5′GACTGCGTACCAATTCAT 3′ | |
| MspI/HpaII-ATG | 5′GATGAGTCCTGAGTCGGATG 3′ | |
| MspI/HpaII-CTA | 5′GATGAGTCCTGAGTCGGCTA 3′ | |
| MspI/HpaII-CT | 5′GATGAGTCCTGAGTCGGCT 3′ | |
| MspI/HpaII-GT | 5′GATGAGTCCTGAGTCGGGT 3′ |
Disclaimer/Publisher’s Note: The statements, opinions and data contained in all publications are solely those of the individual author(s) and contributor(s) and not of MDPI and/or the editor(s). MDPI and/or the editor(s) disclaim responsibility for any injury to people or property resulting from any ideas, methods, instructions or products referred to in the content. |
© 2023 by the authors. Licensee MDPI, Basel, Switzerland. This article is an open access article distributed under the terms and conditions of the Creative Commons Attribution (CC BY) license (https://creativecommons.org/licenses/by/4.0/).
Share and Cite
Tobiasz-Salach, R.; Mazurek, M.; Jacek, B. Physiological, Biochemical, and Epigenetic Reaction of Maize (Zea mays L.) to Cultivation in Conditions of Varying Soil Salinity and Foliar Application of Silicon. Int. J. Mol. Sci. 2023, 24, 1141. https://doi.org/10.3390/ijms24021141
Tobiasz-Salach R, Mazurek M, Jacek B. Physiological, Biochemical, and Epigenetic Reaction of Maize (Zea mays L.) to Cultivation in Conditions of Varying Soil Salinity and Foliar Application of Silicon. International Journal of Molecular Sciences. 2023; 24(2):1141. https://doi.org/10.3390/ijms24021141
Chicago/Turabian StyleTobiasz-Salach, Renata, Marzena Mazurek, and Beata Jacek. 2023. "Physiological, Biochemical, and Epigenetic Reaction of Maize (Zea mays L.) to Cultivation in Conditions of Varying Soil Salinity and Foliar Application of Silicon" International Journal of Molecular Sciences 24, no. 2: 1141. https://doi.org/10.3390/ijms24021141
APA StyleTobiasz-Salach, R., Mazurek, M., & Jacek, B. (2023). Physiological, Biochemical, and Epigenetic Reaction of Maize (Zea mays L.) to Cultivation in Conditions of Varying Soil Salinity and Foliar Application of Silicon. International Journal of Molecular Sciences, 24(2), 1141. https://doi.org/10.3390/ijms24021141

