Preventive Effect of Molecular Iodine in Pancreatic Disorders from Hypothyroid Rabbits
Abstract
1. Introduction
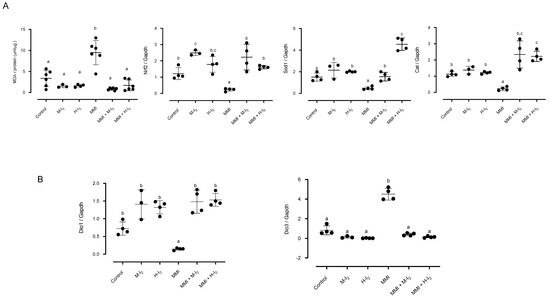
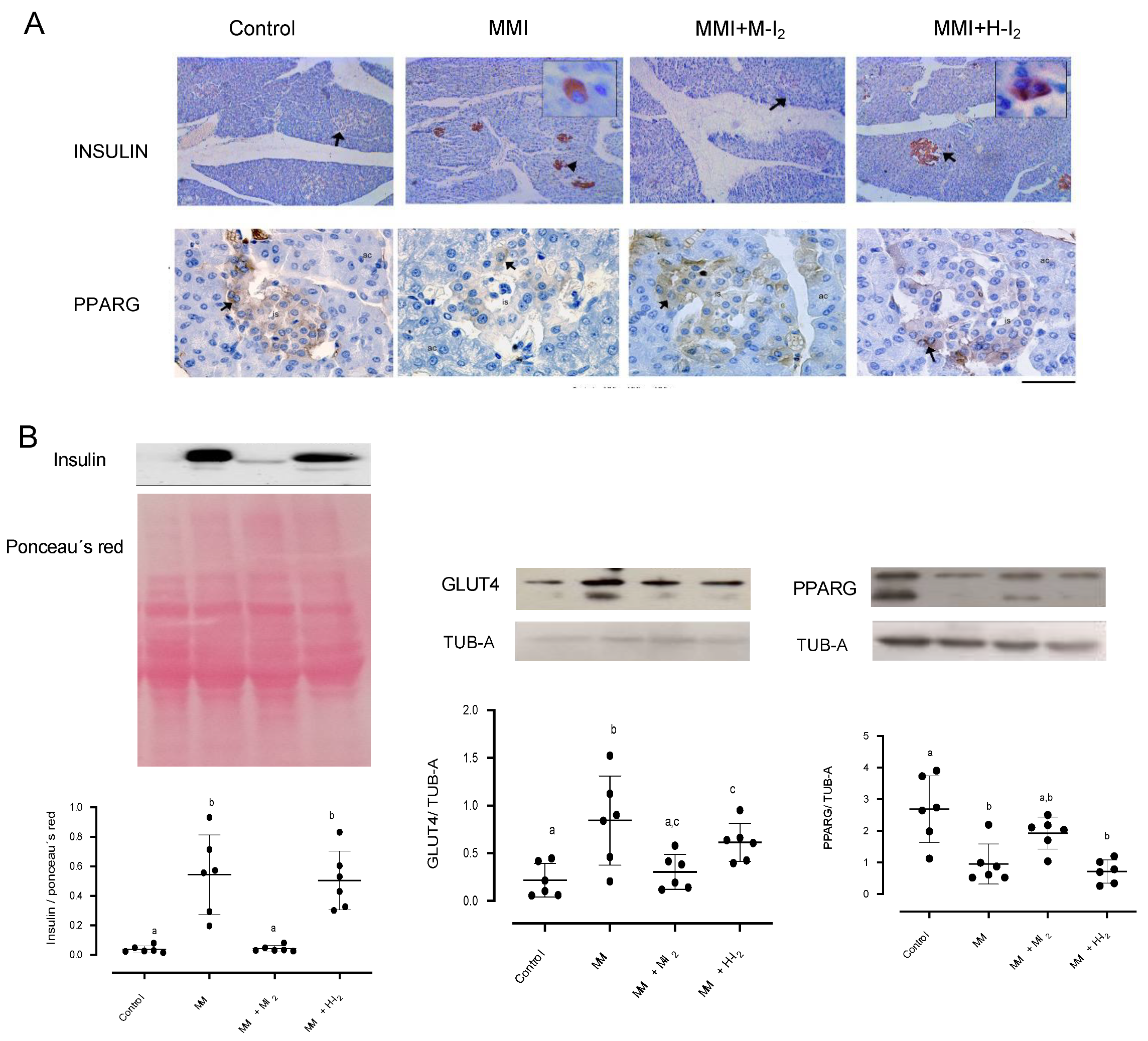
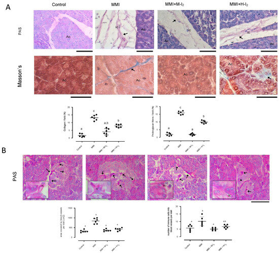
2. Results
3. Discussion
4. Materials and Methods
4.1. Animals
4.2. Thyroid Hormones and Metabolic and Inflammatory Variables
4.3. Expression of Deiodinases and Antioxidant Enzymes
4.4. Protein Extraction and Western Blotting
4.5. Immunohistochemistry
4.6. Acinar and Islet Morphology
4.7. Lipids and Peroxidation in the Pancreas
4.8. Statistical Analyses
5. Conclusions
Author Contributions
Funding
Institutional Review Board Statement
Data Availability Statement
Acknowledgments
Conflicts of Interest
References
- Chen, C.; Xie, Z.; Shen, Y.; Xia, S.F. The roles of thyroid and thyroid hormone in pancreas: Physiology and pathology. Int. J. Endocrinol. 2018, 2018, 2861034. [Google Scholar] [CrossRef] [PubMed]
- Eom, Y.S.; Wilson, J.R.; Bernet, V.J. Links between thyroid disorders and glucose homeostasis. Diabetes Met. J. 2022, 46, 239–256. [Google Scholar] [CrossRef] [PubMed]
- Aguayo-Mazzucato, C.; Zavacki, A.M.; Marinelarena, A.; Hollister-Lock, J.; El Khattabi, I.; Marsili, A.; Weir, G.C.; Sharma, A.; Larsen, P.R.; Bonner-Weir, S. Thyroid hormone promotes postnatal rat pancreatic β-cell development and glucose-responsive insulin secretion through MAFA. Diabetes 2013, 62, 1569–1580. [Google Scholar] [CrossRef] [PubMed]
- Ledda-Columbano, G.; Perra, A.; Pibiri, M.; Molotzu, F.; Columbano, A. Induction of pancreatic acinar cell proliferation by thyroid hormone. J. Endocrinol. 2005, 185, 393–399. [Google Scholar] [CrossRef] [PubMed]
- Chaker, L.; Ligthart, S.; Korevaa, T.I.; Hofma, A.; Franco, O.H.; Peeters, R.P.; Dehghan, A. Thyroid function and risk of type 2 diabetes: A population-based prospective cohort study. BMC Med. 2016, 14, 150–159. [Google Scholar] [CrossRef] [PubMed]
- Shimizuguchi, R.; Kamisawa, T.; Endo, T.; Kikuyama, M.; Kuruma, S.; Chiba, K.; Tabata, T.; Koizumi, S. Hypothyroidism in patients with autoimmune pancreatitis. World J. Gastrointest. Pharmacol. Ther. 2018, 9, 16–21. [Google Scholar] [CrossRef]
- Godini, A.; Ghasemi, A.; Zahedias, S. The possible mechanism of the impaired insulin secretion in hypothyroid rats. PLoS ONE 2015, 10, e0131198. [Google Scholar] [CrossRef]
- Safayee, S.; Karbalaei, N.; Noorafshan, A.; Nadimi, E. Induction of oxidative stress, suppression of glucose-induced insulin release, ATP production, glucokinase activity, and histomorphometric changes in pancreatic islets of hypothyroid rat. Eur. J. Pharmacol. 2016, 791, 147–156. [Google Scholar] [CrossRef]
- Gholami, H.; Jeddi, S.; Zadeh-Vakili, A.; Farrokhfall, K.; Rouhollah, F.; Zarkesh, M.; Ghanbari, M.; Ghasemi, A. Transient congenital hypothyroidism alters gene expression of glucose transporters and impairs glucose sensing apparatus in young and aged offspring rats. Cell Physiol. Biochem. 2017, 43, 2338–2352. [Google Scholar] [CrossRef]
- Rodríguez-Castelán, J.; Zepeda-Pérez, D.; Rojas-Juárez, R.; Aceves, C.; Castelán, F.; Cuevas-Romero, E. Effects of hypothyroidism on the female pancreas involve the regulation of estrogen receptors. Steroids 2022, 181, 108996. [Google Scholar] [CrossRef]
- Rodríguez-Castelán, J.; Nicolás, L.; Morimoto, S.; Cuevas, E. The Langherhans islet cells of female rabbits are differentially affected by hypothyroidism depending on the islet size. Endocrine 2015, 48, 811–817. [Google Scholar] [CrossRef] [PubMed]
- Rodríguez-Castelán, J.; Martínez-Gómez, M.; Castelán, F.; Cuevas, E. Hypothyroidism affects vascularization and promotes immune cells infiltration into pancreatic islets of female rabbits. Int. J. Endocrinol. 2015, 2015, 17806. [Google Scholar] [CrossRef] [PubMed]
- Venturi, S. Environmental Iodine Deficiency: A Challenge to the Evolution of Terrestrial Life? Thyroid 2000, 10, 727–729. [Google Scholar] [CrossRef] [PubMed]
- Alfaro, Y.; Delgado, G.; Carabez, A.; Anguiano, B.; Aceves, C. Iodine and doxorubicin, a good combination for mammary cancer treatment: Antineoplastic adjuvancy, chemoresistance inhibition, and cardioprotection. Mol. Cancer 2013, 12, 45–49. [Google Scholar] [CrossRef]
- Greenwald, B.Y.M.; Frusic-Zlotkina, M.; Soroka, Y.; Ben-Sassond, S.; Bianco-Peled, H.; Kohen, R. A novel role of topical iodine in skin: Activation of the Nrf2 pathway. Free. Radic. Biol. Med. 2017, 104, 238–248. [Google Scholar] [CrossRef]
- Aceves, C.; Mendieta, I.; Anguiano, B.; Delgado-Gonzalez, E. Molecular iodine has extrathyroidal effects as an antioxidant, differentiator, and immunomodulator. Int. J. Mol. Sci. 2021, 22, 1228. [Google Scholar] [CrossRef]
- Hartoft-Nielsen, M.L.; Rasmussen, A.K.; Bock, T.; Feldt-Rasmussen, U.; Kaas, A.; Buschard, K. Iodine and triiodo-thyronine reduce the incidence of type 1 diabetes mellitus in the autoimmune prone BB rats. Autoimmunity 2009, 42, 131–138. [Google Scholar] [CrossRef]
- Rodríguez-Castelán, J.; Delgado-González, E.; Varela-Floriano, V.; Anguiano, B.; Aceves, C. Molecular iodine supplement prevents streptomycin-induced pancreatitis in mice. Nutrients 2022, 14, 715. [Google Scholar] [CrossRef]
- Medina, M.C.; Molina, J.; Gadea, Y.; Fachado, A.; Murillo, M.; Simovic, G.; Pileggi, C.; Hernández, A.; Edlund, H.; Bianco, A.C. The thyroid hormone-inactivating type III deiodinase is expressed in mouse and human beta-cells and its targeted inactivation impairs insulin secretion. Endocrinology 2011, 152, 3717–3727. [Google Scholar] [CrossRef]
- Arroyo-Helguera, O.; Delgado, G.; Anguiano, B.; Aceves, C. Uptake and antiproliferative effect of molecular iodine in the MCF-7 breast cancer cell line. Endocr. Relat. Cancer 2006, 13, 1147–1158. [Google Scholar] [CrossRef][Green Version]
- Reed-Tsur, M.D.; De la Vieja, A.; Ginter, C.S.; Carrasco, N. Molecular characterization of v59e NIS, a Na+/I- symporter mutant that causes congenital I- transport defect. Endocrinology 2006, 149, 3077–3084. [Google Scholar] [CrossRef] [PubMed][Green Version]
- Moller, H.J. Soluble CD163. Scand. J. Clin. Invest. 2012, 72, 1–13. [Google Scholar] [CrossRef] [PubMed]
- Etzerodt, A.; Berg, R.M.; Plovsing, R.R.; Andersen, M.N.; Bebien, M.; Habbeddine, M.; Lawrence, T.; Möller, H.J.; Moestrup, S.K. Soluble ectodomain CD163 and extracellular vesicle associated CD163 are two differently regulated forms of ‘soluble CD163’ in plasma. Sci. Rep. 2017, 7, 40286. [Google Scholar] [CrossRef] [PubMed]
- Bahr, I.; Bazwinsky-Wutschke, I.; Wolgast, S.; Hofmann, K.; Streck, S.; Mühlbauer, E.; Wedekind, D.; Peschke, E. GLUT4 in the endocrine pancreas-indicating an impact in pancreatic islet cell physiology? Horm. Metab. Res. 2012, 44, 442–450. [Google Scholar] [CrossRef]
- Herter-Aeberli, I.; Cherkaoui, M.; El Ansari, N.; Rohner, R.; Stinca, S.; Chabaa, L.; von Eckardstein, A.; Aboussad, A.; Zimmermann, M.B. Iodine supplementation decreases hypercholesterolemia in iodine-deficient, overweight women: A randomized controlled trial. J. Nutr. 2015, 145, 2067–2075. [Google Scholar] [CrossRef]
- Zhao, S.J.; Ye, Y.; Sun, F.J.; Tian, E.J.; Chen, Z.P. The impact of dietary iodine intake on lipid metabolism in mice. Biol. Trace Elem. Res. 2011, 142, 581–588. [Google Scholar] [CrossRef]
- Nava-Villalba, M.; Nunez-Anita, R.E.; Bontempo, A.; Aceves, C. Activation of peroxisome proliferator-activated receptor gamma is crucial for antitumoral effects of 6-iodolactone. Mol. Cancer 2015, 14, 168–171. [Google Scholar] [CrossRef]
- Leahy, J.L. Thiazolidinediones in prediabetes and early type 2 diabetes: What can be learned about that disease’s pathogenesis. Curr. Diab Rep. 2009, 9, 215–220. [Google Scholar] [CrossRef]
- Chung, S.S.; Kim, M.; Lee, J.S.; Ahn, B.Y.; Jung, H.S.; Lee, H.M.; Park, K.S. Mechanism for antioxidative effects of thiazolidinediones in pancreatic b-cells. Am. J. Physiol. Endocrinol. Metab. 2011, 301, E912–E921. [Google Scholar] [CrossRef]
- Lin, C.Y.; Gurlo, T.; Haataja, L.; Hsueh, W.A.; Butler, P.C. Activation of peroxisome proliferator-activated receptor-g by rosiglitazone protects human islet cells against human islet amyloid polypeptide toxicity by a phosphatidylinositol 3-kinase-dependent pathway. J. Clin. Endocrinol. Metab. 2005, 90, 6678–6686. [Google Scholar] [CrossRef]
- Bilal, M.Y.; Dambaeva, S.; Kwak-Kim, J.; Gilman-Sachs, A.; Beaman, K.D. A role for iodine and thyroglobulin in modulating the function of human immune cells. Front. Immunol. 2017, 8, 1573–1578. [Google Scholar] [CrossRef] [PubMed]
- Valleé, A.; Lecarpentier, Y.; Guillevin, R.; Vallée, J.N. Interactions between TGF-β1, canonical WNT/β-catenin pathway and PPARγ in radiation-induced fibrosis. Oncotarget 2017, 8, 90579–90604. [Google Scholar] [CrossRef] [PubMed]
- Zang, G.; Sandberg, M.; Carlsson, P.O.; Welsh, N.; Jansson, L.; Barbu, L. Activated pancreatic stellate cells can impair pancreatic islet function in mice. Ups. J. Med. Sci. 2015, 120, 169–180. [Google Scholar] [CrossRef] [PubMed]
- Tsang, S.W.; Zhang, H.; Lin, Z.; Mu, H.; Bian, Z.X. Anti-fibrotic effect of tRNAs-resveratrol in pancreatic stellate cells. Biomed. Pharmacother. 2015, 71, 91–97. [Google Scholar] [CrossRef]
- Masamune, A.; Suzuki, N.; Kikuta, K.; Satoh, K.; Shimosegawa, T. Curcumin blocks activation of pancreatic stellate cells. J. Cell Biochem. 2006, 97, 1080–1093. [Google Scholar] [CrossRef]
- Xia, Y.; Xiao, H.T.; Liu, K.; Zhang, H.J.; Tsang, S.W. Resveratrol ameliorates the severity of fibrogenesis in mice with experimental chronic pancreatitis. Mol. Nutr. Food Res. 2018, 62, e1700561. [Google Scholar] [CrossRef]
- Lehmann, R.; Zuellig, R.A.; Kugelmeier, P.; Baenninger, P.B.; Moritz, W.; Perren, A.; Clavien, P.A.; Weber, M.; Spinas, G.A. Superiority of small islets in human islet transplantation. Diabetes 2007, 56, 594–603. [Google Scholar] [CrossRef]
- Chen, C.; Cohrs, C.M.; Stertmann, J.; Bozsak, R.; Speier, S. Human beta cell mass and function in diabetes: Recent advances in knowledge and technologies to understand disease pathogenesis. Mol. Metab. 2017, 6, 943–957. [Google Scholar] [CrossRef]
- Arunagiri, A.; Haataja, L.; Pottekat, A.; Pamenan, F.; Kim, S.; Zeltser, L.M.; Paton, A.W.; Paton, J.C.; Tsai, B.; Itkin-Ansari, P.; et al. Proinsulin misfolding is an early event in the progression to type 2 diabetes. eLife 2019, 8, e44532. [Google Scholar] [CrossRef]
- Weir, G.C.; Bonner-Weir, B. Islet β cell mass in diabetes and how it relates to function, birth, and death. Ann. N. Y. Acad. Sci. 2013, 1281, 92–105. [Google Scholar] [CrossRef]
- Chakravarthy, H.; Gu, X.; Enge, M.; Dai, X.; Wang, Y.; Damond, N.; Downie, C.; Liu, K.; Wang, J.; Xing, Y.; et al. Converting adult pancreatic α cells into β cells by targeting both Dnmt1 and Arx. Cell Metab. 2017, 25, 622–634. [Google Scholar] [CrossRef] [PubMed]
- Rosen, E.D.; Kulkarni, R.N.; Sarraf, P.; Ozcan, U.; Okada, T.; Chung-Hsin, H. Targeted elimination of peroxisome proliferator-activated receptor γ in β cells leads to abnormalities in islet mass without compromising glucose homeostasis. Mol. Cell Biol. 2003, 23, 7222–7229. [Google Scholar] [CrossRef] [PubMed]
- Sharma, S.R.; Alonso, L.C. Lipotoxicity in the pancreatic beta cell: Not just survival and function, but proliferation as well? Curr. Diab. Rep. 2014, 14, 492–496. [Google Scholar] [CrossRef] [PubMed]
- Kikuchi, I.; Miyata, N.; Yoshimura, Y.; Miyamoto, K.; Tachikawa, N. Methimazole-induced acute pancreatitis: A case report. Clin. J. Gastroenterol. 2019, 12, 239–242. [Google Scholar] [CrossRef]




| Variable | Control | M-I2 | H-I2 | MMI | MMI + M-I2 | MMI + H-I2 | 
|---|---|---|---|---|---|---|
| T3 (ng/dL) | 79.6 + 4.1 a | 75.2 + 7.6 a | 74.5 + 4.8 a | 60.9 + 2.3 b | 73.0 + 3.9 a | 75.8 + 5.3 ab | 
| T4 (ug/dL) | 2.7 + 0.5 a | 2.4 + 0.4 a | 2.5 + 0.2 a | 1.4 + 0.2 b | 2.5 + 0.3 a | 2.3 + 0.5 a | 
| Glucose (mg/dL) | 113.2 + 5.1 a | 122 + 32 a | 119 + 23.6 a | 138.2 + 4.5 a | 113.0 + 5.9 a | 114.3 + 1.7 a | 
| Total cholesterol (mg/dL) | 74.3 + 0.8 a | 67.6 + 7.2 a | 70.4 + 12.7 a | 105.4 + 5.5 b | 63.5 + 7.0 a | 75.9 + 2.7 a | 
| Triacylglycerol (mg/dL) | 72.5 + 4.9 a | 70.8 + 16.2 a | 50.9 + 8.7 a | 94.5 + 3.1 c | 36.8 + 2.6 b | 29.3 + 8.2 b | 
| LDL-C (mg/dL) | 12.4 + 1.5 a | 11.7 + 1.7 a | 13.2 + 3.9 a | 35.2 + 3.6 b | 10.5 + 1.9 a | 7.8 + 0.5 a | 
| HDL-C (mg/dL) | 46.3 + 3.9 a | 42.1 + 7.5 a | 34.3 + 5.9 a | 44.9 + 4.1 a | 58.9 + 2.0 b | 55.8 + 2.9 b | 
| VLDL-C (mg/dL) | 14.5 + 1.1 a | 14.2 + 3.2 a | 10.2 + 1.7 a | 13.8 + 1.7 a | 10.5 + 1.2 a | 8.2 + 1.0 a | 
| sCD163 | 0.04 + 0.01 a | 0.04 + 0.01 | 0.05 + 0.01 | 0.40 + 0.08 b | 0.07 + 0.01 a | 0.14 + 0.03 a | 
| Morphometric Variable | Control | M-I2 | H-I2 | MMI | MMI + M-I2 | MMI + H-I2 | Statistics | 
|---|---|---|---|---|---|---|---|
| Cross-sectional area (CSA) of islets (µm2) | 6218 ± 715 a | 7756 ± 130 a | 7495 ± 233 a | 5752 ± 860 a | 6922 ± 878 a | 7173 ± 1182 a | K = 3.5; p = 0.62 | 
| % Mean of small islets <4000 µm2 | 44.9 ± 6.6 a | 6.8 ± 0.5 b | 14.4 ± 2.2 ab | 52.7 ± 1.8 a | 25.6 ± 5.5 ab | 35.4 ± 10.1 ab | K = 19.2; p = 0.001 | 
| % Mean of medium islets 4000–7000 µm2 | 22.5 ± 3.3 a | 17.6 ± 3.0 a | 21.8 ± 5.4 a | 21.4 ± 1.2 a | 36.5 ± 4.5 a | 22.8 ± 5.0 a | K = 8.0; p = 0.15 | 
| % Mean of large islets >7000 µm2 | 32.6 ± 6.9 ab | 75.5 ± 2.7 a | 63.9 ± 5.6 ab | 25.9 ± 2.9 b | 37.9 ± 6.3 ab | 41.8 ± 9.9 ab | K = 14.5; p = 0.01 | 
| Mean CSA (µm2) for small islets | 2478 ± 221 ab | 2350 ± 74 ab | 3011 ± 126 a | 1971 ± 131 b | 2645 ± 272 ab | 2328± 118 ab | K = 12.1; p = 0.03 | 
| Mean CSA (µm2) for medium islets | 5524 ± 257 a | 5624 ± 86 a | 5445 ± 138 a | 5437 ± 88 a | 5579 ± 147 a | 5503 ± 271 a | K = 1.5; p = 0.90 | 
| Mean CSA (µm2) for large islets | 11,046 ± 827 a | 14,696 ± 349 a | 14,029 ± 657 a | 16,603 ± 2194 a | 9977 ± 1226 a | 11,909 ± 58 a | K = 13.6; p = 0.01 | 
| Mean number of cells in small islets | 24.3 ± 1.7 a | 19.2 ± 3.3 ab | 22.6 ± 1.5 ab | 16.6 ± 0.9 b | 21.4 ± 2.5 ab | 17.1 ± 1.3 ab | K = 16.1; p = 0.01 * | 
| Mean number of cells in medium islets | 45.4 ± 3.7 a | 33.2 ± 1.0 a | 36.9 ± 3.5 a | 45.2 ± 5.3 a | 43.4 ± 2.4 a | 40.8 ± 4.7 a | K = 6.0; p = 0.29 | 
| Mean number of cells in large islets | 103.1 ± 5.3 a | 75.6 ± 13.8 a | 93.9 ± 10.5 a | 84.9 ± 5.1 a | 83.8 ± 9.6 a | 75.7 ± 8.2 a | K = 7.3; p = 0.19 | 
| Gen | Reference | Primer Sequence | bp | 
|---|---|---|---|
| Nrf2 | XM_008258785.3 | FW: 5′-TGTGCTGTCAAGGGACATGG-3′ RV: 5′-GTGTTGGGCTGGCTGAATTG-3′ | 241 | 
| Cat | XM_002709045.4 | FW: 5′- AGAGTCGCTGCATCAGGTTT-3′ RV: 5′-CGTCCAAGAGGGGTAGTTGC-3′ | 265 | 
| Sod1 | NM_001082627.2 | FW: 5′-CTTCGAGCAGAAGGGAACAGG-3′ RV: 5′-GCTGCCTGCAGTCACATTAC-3′ | 214 | 
| Dio1 | NM_001099958.1 | FW: 5′-GCCAGAAGACCGGGATAGC-3′ RV: 5′-GGTGCTGAAGAAGGTGGGAAT-3′ | 71 | 
| Dio3 | XM_008248683.3 | FW: 5′-TCTACATTGAGGAGGCGCAC-3′ RV: 5′-ACATGATGGTGCCACTCTGG-3′ | 225 | 
| Gapdh | NM_001082253.1 | FW: 5′-TCGGAGTGAACGGATTTGGC-3′ RV: 5′- CCAGCATCACCCCACTTGAT-3′ | 256 | 
| Disclaimer/Publisher’s Note: The statements, opinions and data contained in all publications are solely those of the individual author(s) and contributor(s) and not of MDPI and/or the editor(s). MDPI and/or the editor(s) disclaim responsibility for any injury to people or property resulting from any ideas, methods, instructions or products referred to in the content. | 
© 2023 by the authors. Licensee MDPI, Basel, Switzerland. This article is an open access article distributed under the terms and conditions of the Creative Commons Attribution (CC BY) license (https://creativecommons.org/licenses/by/4.0/).
Share and Cite
Rodríguez-Castelán, J.; Delgado-González, E.; Rodríguez-Benítez, E.; Castelán, F.; Cuevas-Romero, E.; Anguiano, B.; Jeziorski, M.C.; Aceves, C. Preventive Effect of Molecular Iodine in Pancreatic Disorders from Hypothyroid Rabbits. Int. J. Mol. Sci. 2023, 24, 14903. https://doi.org/10.3390/ijms241914903
Rodríguez-Castelán J, Delgado-González E, Rodríguez-Benítez E, Castelán F, Cuevas-Romero E, Anguiano B, Jeziorski MC, Aceves C. Preventive Effect of Molecular Iodine in Pancreatic Disorders from Hypothyroid Rabbits. International Journal of Molecular Sciences. 2023; 24(19):14903. https://doi.org/10.3390/ijms241914903
Chicago/Turabian StyleRodríguez-Castelán, Julia, Evangelina Delgado-González, Esteban Rodríguez-Benítez, Francisco Castelán, Estela Cuevas-Romero, Brenda Anguiano, Michael C. Jeziorski, and Carmen Aceves. 2023. "Preventive Effect of Molecular Iodine in Pancreatic Disorders from Hypothyroid Rabbits" International Journal of Molecular Sciences 24, no. 19: 14903. https://doi.org/10.3390/ijms241914903
APA StyleRodríguez-Castelán, J., Delgado-González, E., Rodríguez-Benítez, E., Castelán, F., Cuevas-Romero, E., Anguiano, B., Jeziorski, M. C., & Aceves, C. (2023). Preventive Effect of Molecular Iodine in Pancreatic Disorders from Hypothyroid Rabbits. International Journal of Molecular Sciences, 24(19), 14903. https://doi.org/10.3390/ijms241914903
 
        


 
       