Ni-Based Hydrotalcite (HT)-Derived Cu Catalysts for Catalytic Conversion of Bioethanol to Butanol
Abstract
:1. Introduction
2. Results
2.1. N2 Physisorption Analysis of the Cu/NiMOx Catalysts
2.2. XRD Analysis of the Cu/NiMOx Catalysts
2.3. TEM Analysis of the Cu/NiMOx Catalysts
2.4. XPS Analysis of the Cu/NiMOx Catalysts
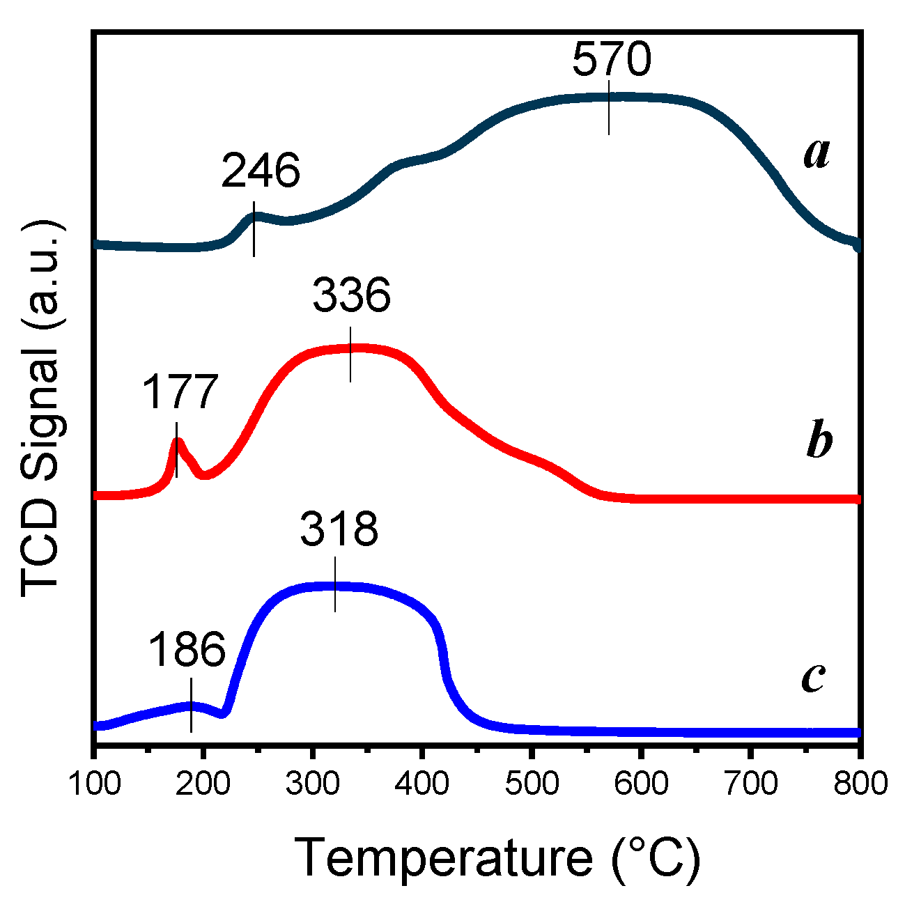
2.5. H2-TPR Results of the Cu/NiMOx Catalysts
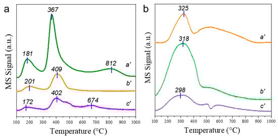
2.6. CO2/NH3-TPD Results
2.7. Catalytic Performance of Different Catalysts in Ethanol Coupling to Butanol
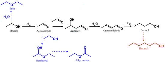
3. Discussion
4. Materials and Methods
4.1. Materials
4.2. Preparation of the Catalysts
4.2.1. Synthesis of Different Ni-Based HTs
4.2.2. Synthesis of Ni-Based HT-Derived Cu Catalysts
4.3. Catalytic Evaluation
4.4. Characterization
5. Conclusions
Author Contributions
Funding
Institutional Review Board Statement
Informed Consent Statement
Data Availability Statement
Acknowledgments
Conflicts of Interest
References
- Queneau, Y.; Han, B. Biomass: Renewable carbon resource for chemical and energy industry. Innovation 2022, 3, 100184. [Google Scholar] [CrossRef]
- Antar, M.; Lyu, D.; Nazari, M.; Shah, A.; Zhou, X.; Smith, D.L. Biomass for a sustainable bioeconomy: An overview of world biomass production and utilization. Renew. Sust. Energ. Rev. 2021, 139, 110691. [Google Scholar] [CrossRef]
- Rass-Hansen, J.; Falsig, H.; Jørgensen, B.; Christensen, C.H. Bioethanol: Fuel or feedstock. J. Chem. Technol. Biot. 2007, 82, 329–333. [Google Scholar] [CrossRef]
- Angelici, C.; Weckhuysen, B.M.; Bruijnincx, P.C. Chemocatalytic conversion of ethanol into butadiene and other bulk chemicals. ChemSusChem 2013, 6, 1595–1614. [Google Scholar] [CrossRef] [PubMed]
- Phillips, S.D.; Jones, S.B.; Meyer, P.A.; Snowden-Swan, L.J. Techno-economic analysis of cellulosic ethanol conversion to fuel and chemicals. Biofuel. Bioprod. Biorefin. 2022, 16, 640–652. [Google Scholar] [CrossRef]
- Sun, J.; Wang, Y. Recent advances in catalytic conversion of ethanol to chemicals. ACS Catal. 2014, 4, 1078–1090. [Google Scholar] [CrossRef]
- Chung, S.H.; Li, T.; Shoinkhorova, T.; Komaty, S.; Ramirez, A.; Mukhambetov, I.; Abou-Hamad, E.; Shterk, G.; Telalovic, S.; Dikhtiarenko, A.; et al. Origin of active sites on silica–magnesia catalysts and control of reactive environment in the one-step ethanol-to-butadiene process. Nat. Catal. 2023, 6, 363–376. [Google Scholar] [CrossRef]
- Mück, J.; Kocík, J.; Hájek, M.; Tišler, Z.; Frolich, K.; Kašpárek, A. Transition metals promoting Mg-Al mixed oxides for conversion of ethanol to butanol and other valuable products: Reaction pathways. Appl. Catal. A-Gen. 2021, 626, 118380. [Google Scholar] [CrossRef]
- Dowson, G.R.; Haddow, M.F.; Lee, J.; Wingad, R.L.; Wass, D.F. Catalytic conversion of ethanol into an advanced biofuel: Unprecedented selectivity for n-butanol. Angew. Chem. Int. Ed. 2013, 52, 9005–9008. [Google Scholar] [CrossRef]
- Jiang, D.; Fang, G.; Tong, Y.; Wu, X.; Wang, Y.; Hong, D.; Leng, W.; Liang, Z.; Tu, P.; Liu, L.; et al. Multifunctional Pd@UiO-66 catalysts for continuous catalytic upgrading of ethanol to n-butanol. ACS Catal. 2018, 8, 11973–11978. [Google Scholar] [CrossRef]
- Zhang, Q.; Dong, J.; Liu, Y.; Wang, Y.; Cao, Y. Towards a green bulk-scale biobutanol from bioethanol upgrading. J. Energy Chem. 2016, 25, 907–910. [Google Scholar] [CrossRef]
- Tsuchida, T.; Sakuma, S.; Takeguchi, T.; Ueda, W. Direct synthesis of n-butanol from ethanol over nonstoichiometric hydroxyapatite. Ind. Eng. Chem. Res. 2006, 45, 8634–8642. [Google Scholar] [CrossRef]
- Veza, I.; Said, M.F.M.; Latiff, Z.A. Recent advances in butanol production by acetone-butanol-ethanol (ABE) fermentation. Biomass Bioenergy 2021, 144, 105919. [Google Scholar] [CrossRef]
- Yuan, B.; Zhang, J.; An, Z.; Zhu, Y.; Shu, X.; Song, H.; Xiang, X.; Wang, W.; Jing, Y.; Zheng, L.; et al. Atomic Ru catalysis for ethanol coupling to C4+ alcohols. Appl. Catal. B 2022, 309, 121271. [Google Scholar] [CrossRef]
- Lopez-Olmos, C.; Morales, M.V.; Guerrero-Ruiz, A.; Ramirez-Barria, C.; Asedegbega-Nieto, E.; Rodriguez-Ramos, I. Continuous gas-phase condensation of bioethanol to 1-butanol over bifunctional Pd/Mg and Pd/Mg-carbon catalysts. ChemSusChem 2018, 11, 3502–3511. [Google Scholar] [CrossRef] [PubMed]
- Pang, J.; Zheng, M.; He, L.; Li, L.; Pan, X.; Wang, A.; Wang, X.; Zhang, T. Upgrading ethanol to n-butanol over highly dispersed Ni-MgAlO catalysts. J. Catal. 2016, 344, 184–193. [Google Scholar] [CrossRef]
- Fu, S.; Shao, Z.; Wang, Y.; Liu, Q. Manganese-catalyzed upgrading of ethanol into 1-butanol. J. Am. Chem. Soc. 2017, 139, 11941–11948. [Google Scholar] [CrossRef]
- Perrone, O.M.; Lobefaro, F.; Aresta, M.; Nocito, F.; Boscolo, M.; Dibenedetto, A. Butanol synthesis from ethanol over CuMgAl mixed oxides modified with palladium (II) and indium (III). Fuel Process. Technol. 2018, 177, 353–357. [Google Scholar] [CrossRef]
- Hanspal, S.; Young, Z.D.; Prillaman, J.T.; Davis, R.J. Influence of surface acid and base sites on the Guerbet coupling of ethanol to butanol over metal phosphate catalysts. J. Catal. 2017, 352, 182–190. [Google Scholar] [CrossRef]
- Osman, M.B.; Krafft, J.; Thomas, C.; Yoshioka, T.; Kubo, J.; Costentin, G. Importance of the nature of the active acid/base pairs of hydroxyapatite involved in the catalytic transformation of ethanol to n-butanol revealed by operando drifts. ChemCatChem 2019, 11, 1765–1778. [Google Scholar] [CrossRef]
- Metzker, G.; Vargas, J.; de Lima, L.; Perrone, O.; Siqueira, M.; Varanda, L.; Boscolo, M. First row transition metals on the ethanol Guerbet reaction: Products distribution and structural behavior of mixed metal oxides as catalysts. Appl. Catal. A-Gen. 2021, 623, 118272. [Google Scholar] [CrossRef]
- Cheng, F.; Guo, H.; Cui, J.; Hou, B.; Li, D. Guerbet reaction of methanol and ethanol catalyzed by CuMgAlO mixed oxides: Effect of M2+/Al3+ ratio. J. Fuel Chem. Technol. 2018, 46, 1472–1481. [Google Scholar] [CrossRef]
- Yang, C.; Meng, Z. Bimolecular condensation of ethanol to 1-butanol catalyzed by alkali cation zeolites. J. Catal. 1993, 142, 37–44. [Google Scholar] [CrossRef]
- Xu, B.; Yang, C.; Meng, Z. Modification of NaX zeolite and its relation to reactivity for ethanol condensation. Chin. J. Catal. 1994, 15, 482–486. [Google Scholar]
- Seekhiaw, P.; Pinthong, P.; Praserthdam, P.; Jongsomjit, B. Optimal conditions for butanol production from ethanol over MgAlO catalyst derived from Mg-Al layer double hydroxides. J. Oleo. Sci. 2022, 71, 141–149. [Google Scholar] [CrossRef] [PubMed]
- Zhang, J.; Shi, K.; Zhu, Y.; An, Z.; Wang, W.; Ma, X.; Shu, X.; Song, H.; Xiang, X.; He, J. Interfacial sites in Ag supported layered double oxide for dehydrogenation coupling of ethanol to n-butanol. ChemistryOpen 2021, 10, 1095–1103. [Google Scholar] [CrossRef]
- Cuello-Penaloza, P.A.; Dastidar, R.G.; Wang, S.; Du, Y.; Lanci, M.P.; Wooler, B.; Kliewer, C.E.; Hermans, I.; Dumesic, J.A.; Huber, G.W. Ethanol to distillate-range molecules using Cu/MgxAlOy catalysts with low Cu loadings. Appl. Catal. B 2022, 304, 120984. [Google Scholar] [CrossRef]
- Marcu, I.; Tanchoux, N.; Fajula, F.; Tichit, D. Catalytic conversion of ethanol into butanol over M-Mg-Al mixed oxide catalysts (M = Pd, Ag, Mn, Fe, Cu, Sm, Yb) obtained from LDH precursors. Catal. Lett. 2012, 143, 23–30. [Google Scholar] [CrossRef]
- Wang, Z.; Yin, M.; Pang, J.; Li, X.; Xing, Y.; Su, Y.; Liu, S.; Liu, X.; Wu, P.; Zheng, M.; et al. Active and stable Cu doped NiMgAlO catalysts for upgrading ethanol to n-butanol. J. Energy Chem. 2022, 72, 306–317. [Google Scholar] [CrossRef]
- Benito, P.; Vaccari, A.; Antonetti, C.; Licursi, D.; Schiarioli, N.; Rodriguez-Castellón, E.; Galletti, A.M.R. Tunable copper-hydrotalcite derived mixed oxides for sustainable ethanol condensation to n-butanol in liquid phase. J. Clean. Prod. 2019, 209, 1614–1623. [Google Scholar] [CrossRef]
- León, M.; Díaz, E.; Ordóñez, S. Ethanol catalytic condensation over Mg-Al mixed oxides derived from Hydrotalcites. Catal. Today 2011, 164, 436–442. [Google Scholar] [CrossRef]
- Di Cosimo, J.I.; Díez, V.K.; Xu, M.; Iglesia, E.; Apesteguía, C.R. Structure and surface and catalytic properties of Mg-Al basic oxides. J. Catal. 1998, 178, 499–510. [Google Scholar] [CrossRef]
- Li, J.; Lin, L.; Tan, Y.; Wang, S.; Yang, W.; Chen, X.; Luo, W.; Ding, Y. High performing and stable Cu/NiAlOx catalysts for the continuous catalytic conversion of ethanol into butanol. ChemCatChem 2022, 14, e202200539. [Google Scholar] [CrossRef]
- Liu, Z.; Li, J.; Tan, Y.; Guo, L.; Ding, Y. Copper supported on MgAlOx and ZnAlOx porous mixed-oxides for conversion of bioethanol via Guerbet coupling reaction. Catalysts 2022, 12, 1170. [Google Scholar] [CrossRef]
- Sing, K.S.W.; Williams, R.T. Physisorption hysteresis loops and the characterization of nanoporous materials. Adsorp. Sci. Technol. 2004, 22, 773–782. [Google Scholar] [CrossRef]
- Balestra, G.; de Maron, J.; Tabanelli, T.; Cavani, F.; Nieto, J.M.L. The selective ethanol Guerbet condensation over alkali metal-doped sepiolite. Catal. Today 2023, 423, 114013. [Google Scholar] [CrossRef]
- Pang, J.; Zheng, M.; Wang, C.; Yang, X.; Liu, H.; Liu, X.; Sun, J.; Wang, Y.; Zhang, T. Hierarchical echinus-like Cu-MFI catalysts for ethanol dehydrogenation. ACS Catal. 2020, 10, 13624–13629. [Google Scholar] [CrossRef]
- Lopez-Olmos, C.; Guerrero-Ruiz, A.; Rodríguez-Ramos, I. Optimization of Cu-Ni-Mn-catalysts for the conversion of ethanol to butanol. Catal. Today 2020, 357, 132–142. [Google Scholar] [CrossRef]
- Sun, C.; Tang, Y.; Gao, F.; Sun, J.; Ma, K.; Tang, C.; Dong, L. Effects of different manganese precursors as promoters on catalytic performance of CuO-MnOx/TiO2 catalysts for NO removal by CO. Phys. Chem. Chem. Phys. 2015, 17, 15996. [Google Scholar] [CrossRef]
- He, J.; Li, X.; Kou, J.; Tao, T.; Shen, X.; Jiang, D.; Lina, L.; Li, X. Catalytic upgrading of ethanol to higher alcohols over nickel-modified Cu–La2O3/Al2O3 catalysts. Catal. Sci. Technol. 2023, 13, 170–177. [Google Scholar] [CrossRef]
- Wang, Z.; Pang, J.; Song, L.; Li, X.; Yuan, Q.; Li, X.; Liu, S.; Zheng, M. Conversion of ethanol to n-butanol over NiCeO2 based catalysts: Effects of metal dispersion and NiCe interactions. Ind. Eng. Chem. Res. 2020, 59, 22057–22067. [Google Scholar] [CrossRef]
- He, J.; Lin, L.; Liu, M.; Miao, C.; Wu, Z.; Chen, R.; Chen, S.; Chen, T.; Su, Y.; Zhang, T.; et al. A durable Ni/La-Y catalyst for efficient hydrogenation of γ-valerolactone into pentanoic biofuels. J. Energy Chem. 2022, 70, 347–355. [Google Scholar] [CrossRef]
- Xiao, Y.; Zhan, N.; Li, J.; Tan, Y.; Ding, Y. Highly selective and stable Cu catalysts based on Ni-Al catalytic systems for bioethanol upgrading to n-butanol. Molecules 2023, 28, 5683. [Google Scholar] [CrossRef] [PubMed]
- Hernández, W.Y.; De Vlieger, K.; Van Der Voort, P.; Verberckmoes, A. Ni-Cu hydrotalcite-derived mixed oxides as highly selective and stable catalysts for the synthesis of ꞵ-branched bioalcohols by the Guerbet reaction. ChemSusChem 2016, 9, 3196–3205. [Google Scholar] [CrossRef]
- Gao, Y.; Zhao, Z.; Jia, H.; Yang, X.; Lei, X.; Kong, X.; Zhang, F. Partially reduced Ni2+, Fe3+-layered double hydroxide for ethanol electrocatalysis. J. Mater. Sci. 2019, 54, 14515–14523. [Google Scholar] [CrossRef]
- Hong, N.N.; Manh, H.K.; Minh, T.L.; Mai, P.P.T.; Hai, N.C.T. Study on spinel-typed catalyst NiCo2O4 for total oxidation of toluene. Vietnam J. Catal. Adsorp. 2021, 10, 101–106. [Google Scholar] [CrossRef]
- Zhu, Q.; Yin, L.; Ji, K.; Li, C.; Wang, B.; Tan, T. Effect of catalyst structure and acid base property on the multiproduct upgrade of ethanol and acetaldehyde to C4 (butadiene and butanol) over the Y-SiO2 catalysts. ACS Sustain. Chem. Eng. 2020, 8, 1555–1565. [Google Scholar] [CrossRef]
- Zhang, J.; Shi, K.; An, Z.; Zhu, Y.; Shu, X.; Song, H.; Xiang, X.; He, J. Acid-base promoted dehydrogenation coupling of ethanol on supported Ag particles. Ind. Eng. Chem. Res. 2020, 59, 3342–3350. [Google Scholar] [CrossRef]
- Li, J.; Wang, S.; Li, H.; Tan, Y.; Ding, Y. Zn promoted Mg-Al mixed oxides-supported gold nanoclusters for direct oxidative esterification of aldehyde to ester. Int. J. Mol. Sci. 2021, 22, 8668. [Google Scholar] [CrossRef] [PubMed]
- Ndou, A.S.; Plint, N.; Coville, N.J. Dimerisation of ethanol to butanol over solid-base catalysts. Appl. Catal. A-Gen. 2003, 251, 337–345. [Google Scholar] [CrossRef]
- Jiang, D.; Wu, X.; Mao, J.; Ni, J.; Li, X. Continuous catalytic upgrading of ethanol to n-butanol over Cu-CeO2/AC catalysts. Chem. Commun. 2016, 52, 13749–13752. [Google Scholar] [CrossRef]
- Wu, X.; Fang, G.; Tong, Y.; Jiang, D.; Liang, Z.; Leng, W.; Liu, L.; Tu, P.; Wang, H.; Ni, J.; et al. Catalytic upgrading of ethanol to n-butanol: A progress in catalyst development. ChemSusChem 2018, 11, 71–85. [Google Scholar] [CrossRef]
- Petrolini, D.D.; Eagan, N.; Ball, M.R.; Burt, S.P.; Hermans, I.; Huber, G.W.; Dumesic, J.A.; Martins, L. Ethanol condensation at elevated pressure over copper on AlMgO and AlCaO porous mixed-oxide supports. Catal. Sci. Technol. 2019, 9, 2032–2042. [Google Scholar] [CrossRef]
- Wang, L.; Zhu, W.; Zheng, D.; Yu, X.; Cui, J.; Jia, M.; Zhang, W.; Wang, Z. Direct transformation of ethanol to ethyl acetate on Cu/ZrO2 catalyst. Reac. Kinet. Mech. Cat. 2010, 101, 365–375. [Google Scholar] [CrossRef]
- Pacheco, H.; de Souza, E.; Landi, S.; David, M.; Prillaman, J.; Davis, R.; Toniolo, F. Ru promoted MgO and Al-modified MgO for ethanol upgrading. Top. Catal. 2019, 62, 894–907. [Google Scholar] [CrossRef]









| Entry | Catalysts | Cu Loadings (%) a | Specific Surface Area (m2/g) b | Total Volume (cm3/g) b | Pore Size (nm) b |
|---|---|---|---|---|---|
| 1 | Cu/NiAlOx | 1.6 | 260 | 0.29 | 1.93 |
| 2 | Cu/NiFeOx | 1.5 | 223 | 0.23 | 1.92 |
| 3 | Cu/NiCoOx | 1.3 | 209 | 0.24 | 1.93 |
| Entry | Samples | Basic Sites (μmol/g) a | Acidic Sites (μmol/g) b | |||
|---|---|---|---|---|---|---|
| Weak Basic Sites | Medium Basic Sites | Strong Basic Sites | Weak Acidic Sites | Strong Acidic Sites | ||
| 1 | NiAlOx | 76.7 | 280.9 | 56.2 | 42.0 | 53.2 |
| 2 | NiFeOx | 22.6 | 88.0 | 0 | 131.6 | 23.5 |
| 3 | NiCoOx | 29.6 | 79.7 | 20.3 | 37.3 | 18.6 |
Disclaimer/Publisher’s Note: The statements, opinions and data contained in all publications are solely those of the individual author(s) and contributor(s) and not of MDPI and/or the editor(s). MDPI and/or the editor(s) disclaim responsibility for any injury to people or property resulting from any ideas, methods, instructions or products referred to in the content. |
© 2023 by the authors. Licensee MDPI, Basel, Switzerland. This article is an open access article distributed under the terms and conditions of the Creative Commons Attribution (CC BY) license (https://creativecommons.org/licenses/by/4.0/).
Share and Cite
Xiao, Y.; Li, J.; Tan, Y.; Chen, X.; Bai, F.; Luo, W.; Ding, Y. Ni-Based Hydrotalcite (HT)-Derived Cu Catalysts for Catalytic Conversion of Bioethanol to Butanol. Int. J. Mol. Sci. 2023, 24, 14859. https://doi.org/10.3390/ijms241914859
Xiao Y, Li J, Tan Y, Chen X, Bai F, Luo W, Ding Y. Ni-Based Hydrotalcite (HT)-Derived Cu Catalysts for Catalytic Conversion of Bioethanol to Butanol. International Journal of Molecular Sciences. 2023; 24(19):14859. https://doi.org/10.3390/ijms241914859
Chicago/Turabian StyleXiao, Yan, Jie Li, Yuan Tan, Xingkun Chen, Fenghua Bai, Wenhao Luo, and Yunjie Ding. 2023. "Ni-Based Hydrotalcite (HT)-Derived Cu Catalysts for Catalytic Conversion of Bioethanol to Butanol" International Journal of Molecular Sciences 24, no. 19: 14859. https://doi.org/10.3390/ijms241914859
APA StyleXiao, Y., Li, J., Tan, Y., Chen, X., Bai, F., Luo, W., & Ding, Y. (2023). Ni-Based Hydrotalcite (HT)-Derived Cu Catalysts for Catalytic Conversion of Bioethanol to Butanol. International Journal of Molecular Sciences, 24(19), 14859. https://doi.org/10.3390/ijms241914859

