Structure–Activity Relationships and Antiplasmodial Potencies of Novel 3,4-Disubstituted 1,2,5-Oxadiazoles
Abstract
:1. Introduction
2. Results and Discussion
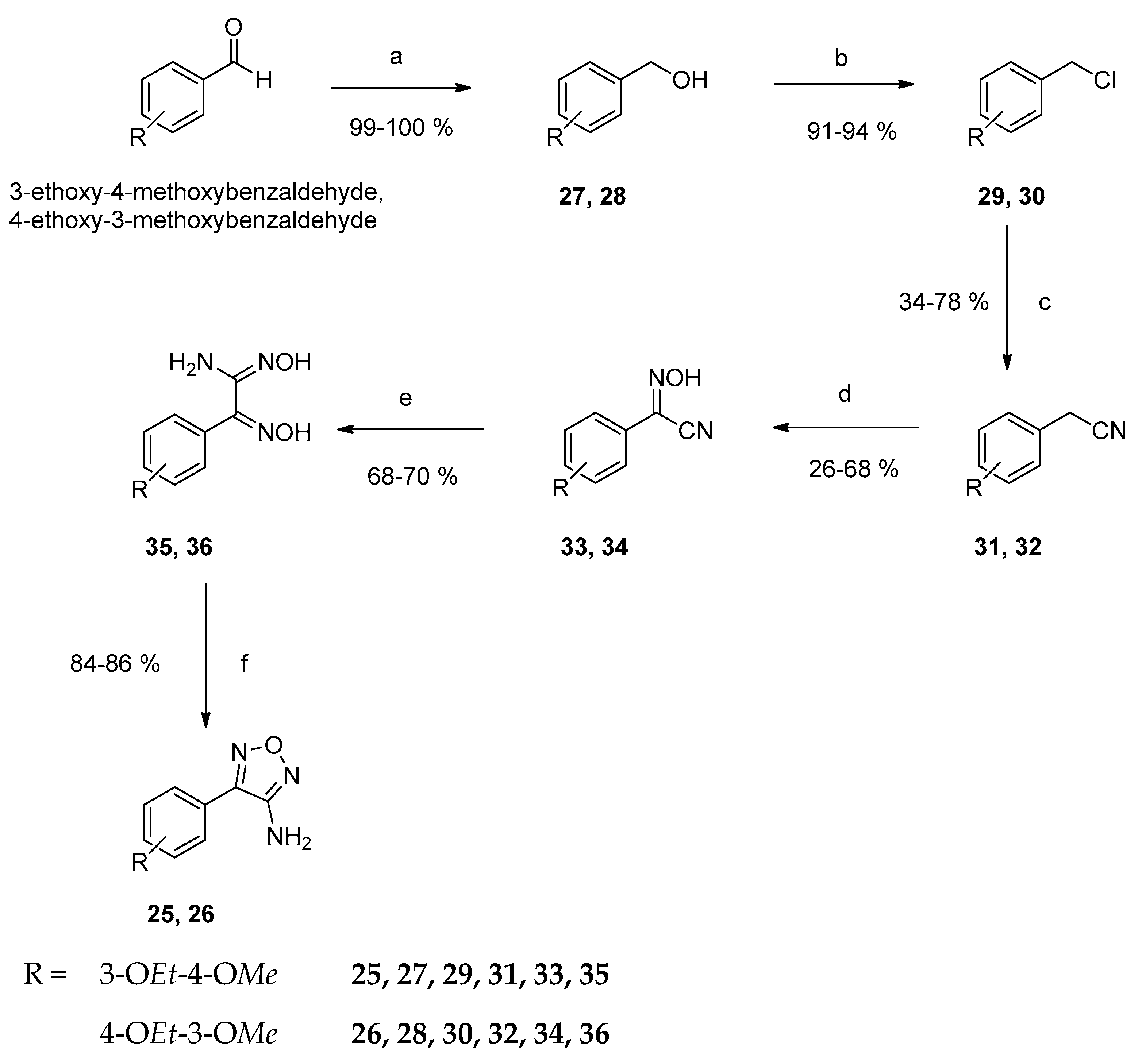
2.1. Chemistry
2.2. Antiplasmodial Activity and Cytotoxicity
2.3. Physicochemical Properties
3. Materials and Methods
3.1. Instrumentation and Chemicals
3.2. Syntheses
3.2.1. Preparation of Phenylmethanols
General Procedure for the Synthesis of Compounds 27 and 28
3.2.2. Preparation of Benzyl Chlorides
General Procedure for the Preparation of Compounds 29 and 30
3.2.3. Preparation of Nitriles
General Procedure for the Preparation of Compounds 31 and 32
3.2.4. Preparation of Oximes
General Procedure for the Preparation of Compounds 9, 10 and 11
3.2.5. Preparation of Imidoyl Chlorides
General Procedure for the Preparation of Compounds 12 and 13
3.2.6. Preparation of Hydroxyimino Nitriles
General Procedure for the Preparation of Compounds 15 and 16
General Procedure for the Preparation of Compounds 23, 33 and 34
3.2.7. Preparation of Amide Oximes
General Procedure for the Preparation of Compounds 18, 24, 35 and 36
3.2.8. Preparation of Furazan-3-Amines
General Procedure for the Preparation of Compounds 6, 25 and 26
3.2.9. Preparation of Benzamides
General Procedure for the Preparation of Compounds 37–52
General Procedure for the Preparation of Compounds 53 and 54
3.2.10. Preparation of Aniline Derivatives
General Procedure for the Preparation of Compounds 55–63
3.3. Biological Tests
3.3.1. In Vitro Microplate Assay against P. falciparum
3.3.2. In Vitro Cytotoxicity with L-6 Cells
3.3.3. Cytochrome P450 3A4 Inhibition
3.3.4. Aqueous Solubility (Commissioned Work Performed by Bienta, Kiew, Ukraine)
3.3.5. Ligand Efficiency
4. Conclusions
Supplementary Materials
Author Contributions
Funding
Institutional Review Board Statement
Informed consent statement
Data Availability Statement
Acknowledgments
Conflicts of Interest
References
- WHO. World Malaria Report; World Health Organization: Geneva, Switzerland, 2022. [Google Scholar]
- WHO. Guidelines for Malaria; World Health Organization: Geneva, Switzerland, 2023. [Google Scholar]
- Jagannathan, P.; Kakuru, A. Malaria in 2022: Increasing challenges, cautious optimism. Nat. Commun. 2022, 13, 2678. [Google Scholar] [CrossRef] [PubMed]
- Hanboonkunupakarn, B.; White, N.J. The threat of antimalarial drug resistance. Trop. Dis. Travel Med. Vaccines 2016, 2, 10. [Google Scholar] [CrossRef]
- Naß, J.; Efferth, T. Development of artemisinin resistance in malaria therapy. Pharmacol. Res. 2019, 146, 104275. [Google Scholar] [CrossRef]
- Balikagala, B.; Fukuda, N.; Ikeda, M.; Katuro, O.T.; Tachibana, S.-I.; Yamauchi, M.; Opio, W.; Emoto, S.; Anywar, D.A.; Kimura, E.; et al. Evidence of Artemisinin-Resistant Malaria in Africa. N. Engl. J. Med. 2021, 385, 1163–1171. [Google Scholar] [CrossRef]
- Nkumama, I.N.; O’Meara, W.P.; Osier, F.H. Changes in Malaria Epidemiology in Africa and New Challenges for Elimination. Trends Parasitol. 2016, 33, 128–140. [Google Scholar] [CrossRef]
- Beeson, J.G.; Kurtovic, L.; Dobaño, C.; Opi, D.H.; Chan, J.-A.; Feng, G.; Good, M.F.; Reiling, L.; Boyle, M.J. Challenges and strategies for developing efficacious and long-lasting malaria vaccines. Sci. Transl. Med. 2019, 11, eaau1458. [Google Scholar] [CrossRef] [PubMed]
- van der Pluijm, R.W.; Amaratunga, C.; Dhorda, M.; Dondorp, A.M. Triple Artemisinin-Based Combination Therapies for Malaria—A New Paradigm? Trends Parasitol. 2020, 37, 15–24. [Google Scholar] [CrossRef] [PubMed]
- Tindana, P.; de Haan, F.; Amaratunga, C.; Dhorda, M.; van der Pluijm, R.W.; Dondorp, A.M.; Cheah, P.Y. Deploying triple artemisinin-based combination therapy (TACT) for malaria treatment in Africa: Ethical and practical considerations. Malar. J. 2021, 20, 119. [Google Scholar] [CrossRef]
- Peto, T.J.; Tripura, R.; Callery, J.J.; Lek, D.; Nghia, H.D.T.; Nguon, C.; Thuong, N.T.H.; van der Pluijm, R.; Dung, N.T.P.; Sokha, M.; et al. Triple therapy with artemether-lumefantrine plus amodiaquine versus artemether-lumefantrine alone for artemisininresistant, uncomplicated falciparum malaria: An open-label, randomized, multicentre trial. Lancet Infect. Dis. 2022, 22, 867–887. [Google Scholar] [CrossRef]
- Van Voorhis, W.C.; Adams, J.H.; Adelfio, R.; Ahyong, V.; Akabas, M.H.; Alano, P.; Alday, A.; Resto, Y.A.; Alsibaee, A.; Alzualde, A.; et al. Open Source Drug Discovery with the Malaria Box Compound Collection for Neglected Diseases and Beyond. PLoS Pathog. 2016, 12, e1005763. [Google Scholar] [CrossRef]
- Guiguemde, W.A.; Shelat, A.; Garcia-Bustos, J.; Diagana, T.T.; Gamo, F.-J.; Guy, R.K. Global Phenotypic Screening for Antimalarials. Chem. Biol. 2012, 19, 116–129. [Google Scholar] [CrossRef]
- Hermann, T.; Hochegger, P.; Dolensky, J.; Seebacher, W.; Saf, R.; Kaiser, M.; Mäser, P.; Weis, R. New Acyl Derivatives of 3-Aminofuarazans and Their Antiplasmodial Activity. Pharmaceuticals 2021, 14, 412. [Google Scholar] [CrossRef]
- Gabriele, E.; Porta, F.; Facchetti, G.; Galli, C.; Gelain, A.; Meneghetti, F.; Rimoldi, I.; Romeo, S.; Villa, S.; Ricci, C.; et al. Synthesis of new dithiolethione and methanethiosulfonate systems endowed with pharmaceutical interest. Arkivoc 2017, ii, 235–250. [Google Scholar] [CrossRef]
- Bystrov, D.M.; Zhilin, E.S.; Fershtat, L.L.; Romanova, A.A.; Ananyev, I.V.; Makhova, N.N. Tandem Condensation/Rearrangement Reaction of 2-Aminohetarene N-Oxides for the Synthesis of Hetaryl Carbamates. Adv. Synth. Catal. 2018, 360, 3157–3163. [Google Scholar] [CrossRef]
- Conole, D.; Beck, T.M.; Jay-Smith, M.; Tingel, M.D.; Easen, C.T.; Brimble, M.A.; Rennison, D. Synthesis and methemoglobinemia-inducing properties of benzocaine isosters designed as human rhodenticides. Bioorg. Med. Chem. 2014, 22, 2220–2235. [Google Scholar] [CrossRef]
- Padalkar, V.S.; Phatangare, K.R.; Sekar, N. Synthesis of Novel Fluorescent 2-{4-[1-Pyridine-2yl)-1 H-pyrazol-3-yl]phenyl}-2 H -naphtho[1,2-d][1,2,3]triazolyl Derivatives and Evaluation of Their Thermal and Photophysical Properties. J. Heterocycl. Chem. 2013, 50, 809–813. [Google Scholar] [CrossRef]
- Imoto, H.; Imamiya, E.; Momose, Y.; Sugiyama, Y.; Kimura, H.; Sohda, T. Studies on non-thiazolidinedione antidiabetic agents. 1. Discovery of novel oxyiminoacetic acid derivatives. Chem. Pharm. Bull. 2002, 50, 1349–1357. [Google Scholar] [CrossRef] [PubMed]
- Detterbeck, R.; Hesse, M. An Improved and Versatile Method for the Rapid Synthesis of Aryldihydrobenzofuran Systems by a Boron Tribromide-Mediated Cyclization Reaction. Helv. Chim. Acta 2003, 86, 343–360. [Google Scholar] [CrossRef]
- Alcock, L.J.; Farrell, K.D.; Akol, M.T.; Jones, G.H.; Tierney, M.M.; Kramer, H.B.; Pukala, T.L.; Bernardes, G.J.L.; Perkins, M.V.; Chalker, J.M. Norbornene probes for the study of cysteine oxidation. Tetrahedron 2018, 74, 1220–1228. [Google Scholar] [CrossRef]
- Adams, N.; Adams, J.; Burgess, J.; Chaudari, A.; Copeland, R.A.; Donatelli, C.A.; Drewry, D.H.; Fisher, K.E.; Hamajima, T.; Hardwicke, M.A.; et al. Discovery of GSK1070916, a potent and selective inhibitor of Aurora B/C kinase. J. Med. Chem. 2010, 53, 3973–4001. [Google Scholar] [CrossRef]
- Hopkins, A.L.; Keserü, G.M.; Leeson, P.D.; Rees, D.C.; Reynolds, C.H. The role of ligand efficiency metrics un drug discovery. Nat. Rev. Drug Discov. 2014, 13, 105–121. [Google Scholar] [CrossRef] [PubMed]
- Fligge, T.A.; Schuler, A. Integration of rapid automated solubility classification into early validation of hits obtained by high throughput screening. Biomed. Anal. 2006, 42, 449–454. [Google Scholar] [CrossRef]
- Beva, C.D.; Lloyd, R.S. a High-Throughput Screening Method for the Determination of Aqueous Drug Solubility Using Laser Nephelometry in Microtiter Plates. Anal. Chem. 2000, 72, 1781–1787. [Google Scholar] [CrossRef]
- Liu, C.; Bao, H.; Wang, D.; Wang, X.; Li, Y.; Hu, Y. Highly chemoselective hydrogenation of active benzaldehydes to benzyl alcohols catalyzed by bimetallic nanoparticles. Tetrahedron Lett. 2015, 56, 6460–6462. [Google Scholar] [CrossRef]
- Al-Huniti, M.H.; Rivera-Chávez, J.; Colón, K.L.; Stanles, J.L.; Burdette, J.E.; Pearce, C.J.; Oberlies, N.H.; Croatt, M.P. Development and Utilization of a Palladium-Catalyzed Dehydration of Primary Amides to Form Nitriles. Org. Lett. 2018, 20, 6046–6050. [Google Scholar] [CrossRef]
- Pati, M.L.; Vitale, P.; Ferorello, S.; Iaselli, M.; Miciaccia, M.; Boccarelli, A.; Di Mauro, G.D.; Fortuna, C.G.; Domingos, T.F.S.; da Silva, L.C.R.P.; et al. Translational impact of novel widely pharmacological characterized mofezolac-derived COX-1 inhibitors combined with bortezomib on human multiple myeloma cell lines viability. EJMC 2019, 164, 59–76. [Google Scholar] [CrossRef]
- Zhao, G.; Liang, L.; Wen, C.E.W.; Tong, R. In Situ Generation of Nitrile Oxides from NaCl–Oxone Oxidation of Various Aldoximes and Their 1,3-Dipolar Cycloaddition. Org. Lett. 2012, 21, 315–319. [Google Scholar] [CrossRef] [PubMed]
- Alam, T.; Rakshit, A.; Begum, P.; Dahiya, A.; Patel, B.K. Visible-Light-Induced Difunctionalization of Styrenes: Synthesis of N-Hydroxybenzimidoyl Cyanides. Org. Lett. 2020, 22, 3728–3733. [Google Scholar] [CrossRef] [PubMed]
- Rennison, D.; Conole, D.; Tingel, M.D.; Yang, J.; Eason, C.T.; Brimble, M.A. Synthesis and methemoglobinemia-inducing properties of analogues of para-aminopropiophenone designed as humane rodenticides. Bioorganic Med. Chem. Lett. 2013, 23, 6629–6635. [Google Scholar] [CrossRef]
- Sheremetev, A.B. One-pot synthesis of 3-amino-4-aryl- and 3-amino-4-hetarylfurazans. Russ. Chem. Bull. 2005, 54, 1057–1059. [Google Scholar] [CrossRef]
- Klenov, M.S.; Ratnikov, M.O.; Churakov, A.M.; Solkan, V.N.; Strelenko, Y.A.; Tartakovsky, V.A. Generation of oxodiazonium ions 1. Synthesis of [1,2,5]oxadiazolo[3,4-c]cinnoline 5-oxides. Russ. Chem. Bull. 2011, 60, 536–547. [Google Scholar] [CrossRef]
- Porta, F.; Gelain, A.; Barlocco, D.; Ferri, N.; Marchianò, S.; Cappello, V.; Basile, L.; Guccione, S.; Meneghetti, F.; Villa, S. A field-based disparity analysis of new 1,2,5-oxadiazole derivatives endowed with antiproliferative activity. Chem. Biol. Drug Des. 2017, 90, 820–839. [Google Scholar] [CrossRef]
- Desjardins, R.E.; Canfield, C.J.; Haynes, J.D.; Chulay, J.D. Quantitative assessement of antimalaria activity in vitro by a semiautomated microdilution technique. Antimicrob. Agents Chemother. 1979, 16, 710–718. [Google Scholar] [CrossRef]
- Matile, H.; Richard, J.; Pink, L. Plasmodium falciparum malaria parasite cultures and their use in immunology. In Immunological Methods; Academic Press: San Diego, CA, USA, 1990; Volume 4, pp. 221–234. [Google Scholar] [CrossRef]
- Ponndurai, T.; Leeuwenberg, A.D.; Meuwissen, J.H. Chloroquine sensitivity of isolates of Plasmodium falciparum adapted into in vitro culture. Trop. Geogr. Med. 1981, 33, 50–54. [Google Scholar]
- Huber, W.; Koella, J.C. A comparison of three methods of estimating EC50 in studies of drug resistance of malaria parasites. Acta Trop. 1993, 55, 257–261. [Google Scholar] [CrossRef] [PubMed]
- Page, B.; Page, M.; Noel, C. A new fluorometric assay for cytotoxicity measurements in-vitro. Int. J. Oncol. 1993, 3, 473–476. [Google Scholar] [CrossRef]
- Ahmed, S.A.; Gogal, R.M., Jr.; Walsh, J.E. A new rapid and simple non-radioactive assay to monito and determine the proliferation of lymphocytes: An alternative to [3H]thymidine incorporation assay. J. Immunol. Methods 1994, 170, 221–224. [Google Scholar] [CrossRef]
- P450-GloTM CYP3A4 Assay and Screening System. Available online: http://at.promegacom/products/cell-health-assays/adme-assays/p450-glo-cyp3a4-assay-and-screening-system/?catNum=V9001 (accessed on 20 July 2023).
- Laser Nephelometry. Bienta. Available online: https://bienta.net/laser-nephelometry-method (accessed on 20 July 2023).





| Compound | 3-Benzamido- Substituent | 4-Phenyl- Substituent | P.f. NF54 b IC50 (µM) | S.I. = IC50 (Cyt.)/IC50 (P.f.NF54) | Cytotoxicity L-6 Cells IC50 (µM) |
|---|---|---|---|---|---|
| 37 | H | 4-NO2 | 1.815 | 6.694 | 12.15 |
| 38 | 3-Me | 4-NO2 | 0.990 | 3.504 | 3.469 |
| 39 | 3-F | 4-NO2 | 5.331 | 0.809 | 4.311 |
| 40 | 3-CF3 | 4-NO2 | 1.977 | 0.473 | 0.936 |
| 53 | 3-Cl, 4-OMe | 4-NO2 | 0.323 | 10.37 | 3.349 |
| 41 | H | 3-NO2 | 9.105 | 0.666 | 6.067 |
| 42 | 3-Me | 3-NO2 | 11.47 | 0.464 | 5.319 |
| 43 | 3-F | 3-NO2 | 26.69 | 0.104 | 2.772 |
| 44 | 3-CF3 | 3-NO2 | 8.645 | 0.198 | 1.713 |
| 54 | 3-Cl, 4-OMe | 3-NO2 | 5.924 | 0.932 | 5.524 |
| 49 | 3-Me | 4-F | 8.107 | 4.328 | 35.09 |
| 45 | 3-F | 4-F | 11.19 | 1.000 | 11.19 |
| 50 | 3-CF3 | 4-F | 8.683 | 0.852 | 7.402 |
| 47 | 3-Me | 4-Cl | 8.733 | 15.54 | 135.7 |
| 46 | 3-F | 4-Cl | 10.09 | 1.155 | 11.65 |
| 48 | 3-CF3 | 4-Cl | 8.444 | 0.599 | 5.058 |
| 55 | H | 4-NH2 | 7.421 | 16.62 | 123.3 |
| 56 | 3-Me | 4-NH2 | 6.834 | 15.70 | 107.2 |
| 57 | 3-F | 4-NH2 | 10.49 | 18.90 | 198.1 |
| 58 | 3-CF3 | 4-NH2 | 9.260 | 3.548 | 32.85 |
| 59 | 3-Cl, 4-OMe | 4-NH2 | 3.136 | 31.54 | 98.91 |
| 60 | H | 3-NH2 | 53.70 | 4.039 | 216.9 |
| 61 | 3-Me | 3-NH2 | 30.17 | 6.182 | 186.5 |
| 62 | 3-F | 3-NH2 | 31.98 | 6.107 | 195.3 |
| 63 | 3-CF3 | 3-NH2 | 17.69 | 1.201 | 21.25 |
| 52 | 3-Me | 4-OEt, 3-OMe | 0.275 | 86.47 | 23.78 |
| 51 | 3-Me | 3-OEt, 4-OMe | 0.034 | 1526 | 51.87 |
| 1 | 3-Me | 3-OEt, 4-OEt | 0.011 | 14,483 | 159.3 |
| 2 | H | 3-OEt, 4-OEt | 0.076 | 1463 | 111.2 |
| 3 | 3-F | 3-OEt, 4-OEt | 0.049 | 839.6 | 41.09 |
| 4 | 3-CF3 | 3-OEt, 4-OEt | 0.019 | 524.6 | 9.968 |
| 5 | 3-Cl, 4-OMe | 3-OEt, 4-OEt | 0.014 | 1431 | 20.03 |
| CQ | 0.009 | 9672 | 90.92 | ||
| POD | 0.012 |
| Compound | log P a | LE (kcal/mol/HA) | CYP3A4 Inhibition b (%) | Relative Solubility c |
|---|---|---|---|---|
| 37 | 3.22 | 0.342 | 46 | 0.73 |
| 38 | 3.73 | 0.343 | 68 | −0.60 |
| 39 | 3.36 | 0.301 | 43 | 0.05 |
| 40 | 4.10 | 0.289 | 82 | −0.43 |
| 53 | 3.67 | 0.342 | 0.05 | |
| 41 | 3.22 | 0.300 | 82 | 0.98 |
| 42 | 3.73 | 0.282 | 87 | −0.53 |
| 43 | 3.36 | 0.261 | 79 | 0.84 |
| 44 | 4.10 | 0.257 | 94 | −0.49 |
| 54 | 3.67 | 0.275 | −0.81 | |
| 45 | 3.57 | 0.308 | 60 | 0.96 |
| 46 | 4.03 | 0.311 | 0.32 | |
| 47 | 4.40 | 0.315 | 57 | −0.47 |
| 48 | 4.47 | 0.278 | −1.64 | |
| 49 | 3.94 | 0.317 | 84 | 0.54 |
| 50 | 4.30 | 0.277 | 86 | −0.46 |
| 51 | 3.84 | 0.394 | 66 | −0.42 |
| 52 | 3.84 | 0.346 | 52 | −0.38 |
| 55 | 2.45 | 0.335 | 0.96 | |
| 56 | 2.97 | 0.322 | 0.98 | |
| 57 | 2.60 | 0.310 | 0.55 | |
| 58 | 3.33 | 0.276 | −0.04 | |
| 59 | 2.90 | 0.314 | 0.49 | |
| 60 | 2.45 | 0.279 | 1.00 | |
| 61 | 2.97 | 0.281 | 99 | 0.98 |
| 62 | 2.60 | 0.280 | 1.00 | |
| 63 | 3.33 | 0.260 | 1.00 | |
| 1 | 4.19 | 0.404 | 45 |
Disclaimer/Publisher’s Note: The statements, opinions and data contained in all publications are solely those of the individual author(s) and contributor(s) and not of MDPI and/or the editor(s). MDPI and/or the editor(s) disclaim responsibility for any injury to people or property resulting from any ideas, methods, instructions or products referred to in the content. |
© 2023 by the authors. Licensee MDPI, Basel, Switzerland. This article is an open access article distributed under the terms and conditions of the Creative Commons Attribution (CC BY) license (https://creativecommons.org/licenses/by/4.0/).
Share and Cite
Hochegger, P.; Hermann, T.; Dolensky, J.; Seebacher, W.; Saf, R.; Pferschy-Wenzig, E.-M.; Kaiser, M.; Mäser, P.; Weis, R. Structure–Activity Relationships and Antiplasmodial Potencies of Novel 3,4-Disubstituted 1,2,5-Oxadiazoles. Int. J. Mol. Sci. 2023, 24, 14480. https://doi.org/10.3390/ijms241914480
Hochegger P, Hermann T, Dolensky J, Seebacher W, Saf R, Pferschy-Wenzig E-M, Kaiser M, Mäser P, Weis R. Structure–Activity Relationships and Antiplasmodial Potencies of Novel 3,4-Disubstituted 1,2,5-Oxadiazoles. International Journal of Molecular Sciences. 2023; 24(19):14480. https://doi.org/10.3390/ijms241914480
Chicago/Turabian StyleHochegger, Patrick, Theresa Hermann, Johanna Dolensky, Werner Seebacher, Robert Saf, Eva-Maria Pferschy-Wenzig, Marcel Kaiser, Pascal Mäser, and Robert Weis. 2023. "Structure–Activity Relationships and Antiplasmodial Potencies of Novel 3,4-Disubstituted 1,2,5-Oxadiazoles" International Journal of Molecular Sciences 24, no. 19: 14480. https://doi.org/10.3390/ijms241914480
APA StyleHochegger, P., Hermann, T., Dolensky, J., Seebacher, W., Saf, R., Pferschy-Wenzig, E.-M., Kaiser, M., Mäser, P., & Weis, R. (2023). Structure–Activity Relationships and Antiplasmodial Potencies of Novel 3,4-Disubstituted 1,2,5-Oxadiazoles. International Journal of Molecular Sciences, 24(19), 14480. https://doi.org/10.3390/ijms241914480

