Perspectives on Saponins: Food Functionality and Applications
Abstract
1. Introduction
2. Sources of Saponins
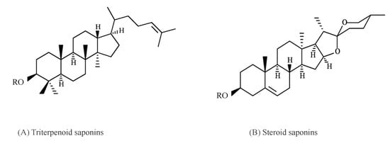
3. Chemistry of Saponins
4. Extraction and Isolation of Saponins
5. Quantification of Saponins
6. Functional Properties of Saponins
6.1. Techno-Functional Characteristics of Saponins
6.2. Bioactivities of Saponins
6.3. Flavor Characteristics of Saponins and Their Effect on the Flavor of Food Ingredients and Foods
7. Applications of Saponins
7.1. Saponins as Natural Surfactants and Emulsifiers

7.2. Saponins as Natural Foaming Agents
7.3. Saponins as Natural Antioxidants
7.4. Medicinal Applications of Saponins
8. Bioavailability of Saponins
9. Food Regulations on Saponin Products
10. Concluding Remarks and Future Perspectives
Author Contributions
Funding
Institutional Review Board Statement
Informed Consent Statement
Data Availability Statement
Acknowledgments
Conflicts of Interest
References
- Kregiel, D.; Berlowska, J.; Witonska, I.; Antolak, H.; Proestos, C.; Babic, M.; Babic, L.; Zhang, B. Saponin-based, biological-active surfactants from plants. In Application and Characterization of Surfactants; Najjar, R., Ed.; Intech Open: Rijeka, Croatia, 2017; Volume 6, pp. 184–205. [Google Scholar]
- Netala, V.R.; Ghosh, S.B.; Bobbu, P.; Anitha, D.; Tartte, V. Triterpenoid saponins: A review on biosynthesis, Applications and mechanism of their action. Int. J. Pharm. Pharm. Sci. 2015, 7, 24–28. [Google Scholar]
- Mohan, V.R.; Tresina, P.S.; Daffodil, E.D. Antinutritional Factors in Legume Seeds: Characteristics and Determination. In Encyclopedia of Food and Health; Caballero, B., Finglas, P.M., Toldrá, F., Eds.; Academic Press: Oxford, UK, 2016; pp. 211–220. [Google Scholar]
- Güçlü-Üstündağ, Ö.; Mazza, G. Saponins: Properties, applications and processing. Crit. Rev. Food Sci. Nutr. 2007, 47, 231–258. [Google Scholar] [CrossRef] [PubMed]
- Milgate, J.; Roberts, D.C.K. The nutritional & biological significance of saponins. Nutr. Res. 1995, 15, 1223–1249. [Google Scholar] [CrossRef]
- Schreiner, T.B.; Dias, M.M.; Barreiro, M.F.; Pinho, S.P. Saponins as Natural Emulsifiers for Nanoemulsions. J. Agric. Food Chem. 2022, 70, 6573–6590. [Google Scholar] [CrossRef] [PubMed]
- Barbosa, A.D.P. An overview on the biological and pharmacological activities of saponins. Int. J. Pharm. Pharm. Sci. 2014, 6, 47–50. [Google Scholar]
- Shi, J.; Arunasalam, K.; Yeung, D.; Kakuda, Y.; Mittal, G.; Jiang, Y. Saponins from edible legumes: Chemistry, processing, and health benefits. J. Med. Food 2004, 7, 67–78. [Google Scholar] [CrossRef]
- Shibata, S. Saponins with Biological and Pharmacological Activity. In Proceedings of the New Natural Products and Plant Drugs with Pharmacological, Biological or Therapeutical Activity, Munich, Germany, 6–10 September 1976; Springer: Berlin/Heidelberg, Germany, 1977; pp. 177–196. [Google Scholar]
- Meshram, M.A.; Bhise, U.O.; Makhal, P.N.; Kaki, V.R. Synthetically-tailored and nature-derived dual COX-2/5-LOX inhibitors: Structural aspects and SAR. Eur. J. Med. Chem. 2021, 225, 113804. [Google Scholar] [CrossRef]
- Rai, S.; Acharya-Siwakoti, E.; Kafle, A.; Devkota, H.P.; Bhattarai, A. Plant-derived saponins: A review of their surfactant properties and applications. Science 2021, 3, 44. [Google Scholar] [CrossRef]
- Cheok, C.Y.; Salman, H.A.K.; Sulaiman, R. Extraction and quantification of saponins: A review. Food Res. Int. 2014, 59, 16–40. [Google Scholar] [CrossRef]
- El Aziz, M.; Ashour, A.; Melad, A.G. A review on saponins from medicinal plants: Chemistry, isolation, and determination. J. Nanomed. Res. 2019, 8, 282–288. [Google Scholar]
- Podolak, I.; Galanty, A.; Sobolewska, D. Saponins as cytotoxic agents: A review. Phytochem. Rev. 2010, 9, 425–474. [Google Scholar] [CrossRef]
- Mieres-Castro, D.; Mora-Poblete, F. Saponins: Research Progress and Their Potential Role in the Post-COVID-19 Pandemic Era. Pharmaceutics 2023, 15, 348. [Google Scholar] [CrossRef] [PubMed]
- Decroo, C.; Colson, E.; Demeyer, M.; Lemaur, V.; Caulier, G.; Eeckhaut, I.; Cornil, J.; Flammang, P.; Gerbaux, P. Tackling saponin diversity in marine animals by mass spectrometry: Data acquisition and integration. Anal. Bioanal. Chem. 2017, 409, 3115–3126. [Google Scholar] [CrossRef]
- Oleszek, M.; Oleszek, W. Saponins in Food. In Handbook of Dietary Phytochemicals; Xiao, J., Sarker, S.D., Asakawa, Y., Eds.; Springer: Singapore, 2020; pp. 1–40. [Google Scholar]
- Price, K.R.; Johnson, I.T.; Fenwick, G.R. The chemistry and biological significance of saponins in foods and feeding stuffs. CRC Crit. Rev. Food Sci. Nutr. 1987, 26, 27–135. [Google Scholar] [CrossRef]
- Fenwick, G.R. Saponins. In Toxic Substance in Crop Plants; Felix D’Mello, J.P., Duffus, C.M., Duffus, J.H., Eds.; The Royal Society of Chemistry: London, UK, 1991; pp. 285–327. [Google Scholar]
- Li, T.S.C.; Mazza, G.; Cottrell, A.C.; Gao, L. Ginsenosides in Roots and Leaves of American Ginseng. J. Agric. Food Chem. 1996, 44, 717–720. [Google Scholar] [CrossRef]
- San Martin, R.; Briones, R. Industrial Uses and Sustainable Supply of Quillaja saponaria (Rosaceae) Saponins. Econ. Bot. 1999, 53, 302–311. [Google Scholar] [CrossRef]
- Sauvaire, Y.; Petit, P.; Baissac, Y.; Ribes, G. Chemistry and pharmacology of fenugreek. In Herbs, Botanicals and Teas; Mazza, G., Oomah, B.D., Eds.; CRC Press: Washington, DC, USA, 2000. [Google Scholar]
- Oleszek, W.; Sitek, M.; Stochmal, A.; Piacente, S.; Pizza, C.; Cheeke, P. Steroidal Saponins of Yucca schidigera Roezl. J. Agric. Food Chem. 2001, 49, 4392–4396. [Google Scholar] [CrossRef] [PubMed]
- Moses, T.; Papadopoulou, K.K.; Osbourn, A. Metabolic and functional diversity of saponins, biosynthetic intermediates and semi-synthetic derivatives. Crit. Rev. Biochem. Mol. Biol. 2014, 49, 439–462. [Google Scholar] [CrossRef] [PubMed]
- Augustin, J.M.; Kuzina, V.; Andersen, S.B.; Bak, S. Molecular activities, biosynthesis and evolution of triterpenoid saponins. Phytochemistry 2011, 72, 435–457. [Google Scholar] [CrossRef] [PubMed]
- Roopashree, K.; Naik, D. Saponins: Properties, applications and as insecticides: A review. Biosci. Trends 2019, 8, 1–14. [Google Scholar]
- Francis, G.; Kerem, Z.; Makkar, H.P.S.; Becker, K. The biological action of saponins in animal systems: A review. Br. J. Nutr. 2002, 88, 587–605. [Google Scholar] [CrossRef] [PubMed]
- Vincken, J.-P.; Heng, L.; de Groot, A.; Gruppen, H. Saponins, classification and occurrence in the plant kingdom. Phytochemistry 2007, 68, 275–297. [Google Scholar] [CrossRef]
- Wang, Y.; Ma, Y.; Tao, L.; Zhang, X.; Hao, F.; Zhao, S.; Bai, C. Recent advances in separation and analysis of saponins in natural products. Separations 2022, 9, 163. [Google Scholar] [CrossRef]
- Nahar, L.; Sarker, S.D. Supercritical Fluid Extraction in Natural Products Analyses. In Natural Products Isolation; Sarker, S.D., Nahar, L., Eds.; Humana Press: Totowa, NJ, USA, 2012; pp. 43–74. [Google Scholar]
- Le, A.V.; Parks, S.E.; Nguyen, M.H.; Roach, P.D. Improving the Vanillin-Sulphuric Acid Method for Quantifying Total Saponins. Technologies 2018, 6, 84. [Google Scholar] [CrossRef]
- Seidel, V. Initial and Bulk Extraction. In Natural Products Isolation; Sarker, S.D., Latif, Z., Gray, A.I., Eds.; Humana Press: Totowa, NJ, USA, 2005; pp. 27–46. [Google Scholar]
- McCloud, T.G. High throughput extraction of plant, marine and fungal specimens for preservation of biologically active molecules. Molecules 2010, 15, 4526–4563. [Google Scholar] [CrossRef] [PubMed]
- Yavich, P.A. Sorption of saponins on ion-exchange resins. Chem. Nat. Compd. 1983, 19, 52–55. [Google Scholar] [CrossRef]
- Zhao, Y.-N.; Wang, Z.-L.; Dai, J.-G.; Chen, L.; Huang, Y.-F. Preparation and quality assessment of high-purity ginseng total saponins by ion exchange resin combined with macroporous adsorption resin separation. Chin. J. Nat. Med. 2014, 12, 382–392. [Google Scholar] [CrossRef]
- Geisler, R.; Dargel, C.; Hellweg, T. The Biosurfactant beta-Aescin: A Review on the Physico-Chemical Properties and Its Interaction with Lipid Model Membranes and Langmuir Monolayers. Molecules 2019, 25, 117. [Google Scholar] [CrossRef]
- Javois, L.C. Immunocytochemical Methods and Protocols; Humana Press: Hatfield, UK, 1999. [Google Scholar]
- Saxena, D.; Pal, R.; Dwivedi, A.K.; Singh, S. Characterisation of sapindosides in Sapindus mukorosii saponin (reetha saponin) and quantitative determination of sapindoside B. J. Sci. Ind. Res. 2004, 63, 181. [Google Scholar]
- Berhow, M.A.; Cantrell, C.L.; Duval, S.M.; Dobbins, T.A.; Maynes, J.; Vaughn, S.F. Analysis and quantitative determination of group B saponins in processed soybean products. Phytochem. Anal. 2002, 13, 343–348. [Google Scholar] [CrossRef]
- Negi, J.S.; Singh, P.; Pant, G.J.; Rawat, M.S. High-performance liquid chromatography analysis of plant saponins: An update 2005–2010. Pharm. Rev. 2011, 5, 155–158. [Google Scholar] [CrossRef]
- Qu, L.; Ruan, J.; Wu, S.; Huang, P.; Yan, J.; Yu, H.; Zhang, Y.; Wang, T. Separation and Bioactive Assay of 25R/S-Spirostanol Saponin Diastereomers from Yucca schidigera Roezl (Mojave) Stems. Molecules 2018, 23, 2562. [Google Scholar] [CrossRef]
- Dabestani, M.; Yeganehzad, S.; Miller, R. A natural source of saponin: Comprehensive study on interfacial properties of Chubak (Acanthophyllum glandulosum) root extract and related saponins. Colloids Surf. A Physicochem. Eng. Asp. 2021, 630, 127594. [Google Scholar] [CrossRef]
- Ha, T.J.; Lee, B.W.; Park, K.H.; Jeong, S.H.; Kim, H.-T.; Ko, J.-M.; Baek, I.-Y.; Lee, J.H. Rapid characterisation and comparison of saponin profiles in the seeds of Korean Leguminous species using ultra performance liquid chromatography with photodiode array detector and electrospray ionisation/mass spectrometry (UPLC–PDA–ESI/MS) analysis. Food Chem. 2014, 146, 270–277. [Google Scholar] [CrossRef]
- Kowalczyk, M.; Pecio, Ł.; Stochmal, A.; Oleszek, W. Qualitative and Quantitative Analysis of Steroidal Saponins in Crude Extract and Bark Powder of Yucca schidigera Roezl. J. Agric. Food Chem. 2011, 59, 8058–8064. [Google Scholar] [CrossRef]
- Montoro, P.; Skhirtladze, A.; Perrone, A.; Benidze, M.; Kemertelidze, E.; Piacente, S. Determination of steroidal glycosides in Yucca gloriosa flowers by LC/MS/MS. J. Pharm. Biomed. Anal. 2010, 52, 791–795. [Google Scholar] [CrossRef] [PubMed]
- Oleszek, W.A. Chromatographic determination of plant saponins. J. Chromatogr. A 2002, 967, 147–162. [Google Scholar] [CrossRef] [PubMed]
- Muir, A.D.; Ballantyne, K.D.; Hall, T.W. LC-MS and LC-MS/MS analysis of saponins and sapogenins—Comparison of ionization techniques and their usefulness in compound identification. In Saponins in Food, Feedstuffs and Medicinal Plants; Springer: Dordrecht, The Netherlands, 2000; pp. 35–41. [Google Scholar]
- Cui, M.; Song, F.; Zhou, Y.; Liu, Z.; Liu, S. Rapid identification of saponins in plant extracts by electrospray ionization multi-stage tandem mass spectrometry and liquid chromatography/tandem mass spectrometry. Rapid Commun. Mass Spectrom. 2000, 14, 1280–1286. [Google Scholar] [CrossRef] [PubMed]
- Kareru, P.G.; Keriko, J.M.; Gachanja, A.N.; Kenji, G.M. Direct detection of triterpenoid saponins in medicinal plants. Afr. J. Tradit. Complement. Altern. Med. 2008, 5, 56–60. [Google Scholar] [CrossRef]
- Avula, B.; Wang, Y.-H.; Rumalla, C.S.; Ali, Z.; Smillie, T.J.; Khan, I.A. Analytical methods for determination of magnoflorine and saponins from roots of Caulophyllum thalictroides (L.) Michx. Using UPLC, HPLC and HPTLC. J. Pharm. Biomed. Anal. 2011, 56, 895–903. [Google Scholar] [CrossRef]
- Podolak, I.; Hubicka, U.; Żuromska-Witek, B.; Janeczko, Z.; Krzek, J. Quantification of Saponins in Different Plant Parts of Lysimachia L. Species by validated HPTLC—Densitometric Method. JPC J. Planar Chromatogr. Mod. TLC 2013, 26, 248–253. [Google Scholar] [CrossRef]
- Lee, S.J.; Kim, H.W.; Lee, S.; Kwon, R.H.; Na, H.; Kim, J.H.; Wee, C.D.; Yoo, S.M.; Lee, S.H. Characterization of Saponins from Various Parts of Platycodon grandiflorum Using UPLC-QToF/MS. Molecules 2021, 27, 107. [Google Scholar] [CrossRef]
- Szabo, S.D. A Rapid Spectrophotometric Assay for Quantifying Seed Coat Saponins in Quinoa. Ph.D. Thesis, Brigham Young University, Provo, UT, USA, 2020. [Google Scholar]
- Ahmed, H.O.A. Determination of tea saponin in Camellia seed oil with UV and HPLC analysis. World J. Eng. Technol. 2015, 3, 8. [Google Scholar] [CrossRef]
- Almutairi, M.S.; Ali, M. Direct detection of saponins in crude extracts of soapnuts by FTIR. Nat. Prod. Res. 2015, 29, 1271–1275. [Google Scholar] [CrossRef]
- Aluola, E.E.; Ogbeide, S.E.; Obahiagbon, K.O. Detection and Characterization of Saponins in Some Indigenous Plants Using Uv, Ftir and Xrd Spectroscopy. Int. J. Eng. Adv. Technol. Stud. 2021, 9, 1–19. [Google Scholar]
- Le Bot, M.; Thibault, J.; Pottier, Q.; Boisard, S.; Guilet, D. An accurate, cost-effective and simple colorimetric method for the quantification of total triterpenoid and steroidal saponins from plant materials. Food Chem. 2022, 383, 132597. [Google Scholar] [CrossRef]
- Alamgir, A.N.M. Secondary Metabolites: Secondary Metabolic Products Consisting of C and H.; C, H, and O.; N, S, and P Elements; and O/N Heterocycles. In Therapeutic Use of Medicinal Plants and Their Extracts: Volume 2: Phytochemistry and Bioactive Compounds; Alamgir, A.N.M., Ed.; Springer International Publishing: Cham, Switzerland, 2018; pp. 165–309. [Google Scholar]
- Nguyen, L.; Farcas, A.; Socaci, S.A.; Tofana, M.; Diaconeasa, Z.M.; Pop, O.L.; Salanta, L. An Overview of Saponins–A Bioactive Group. Bull. UASVM Food Sci. Technol. 2020, 77, 25–36. [Google Scholar] [CrossRef]
- Zhong, J.; Tan, L.; Chen, M.; He, C. Pharmacological activities and molecular mechanisms of Pulsatilla saponins. Chin. Med. 2022, 17, 59. [Google Scholar] [CrossRef] [PubMed]
- Dong, J.; Liang, W.; Wang, T.; Sui, J.; Wang, J.; Deng, Z.; Chen, D. Saponins regulate intestinal inflammation in colon cancer and IBD. Pharmacol. Res. 2019, 144, 66–72. [Google Scholar] [CrossRef]
- Kim, S.-W.; Park, S.-K.; Kang, S.-l.; Kang, H.-C.; Oh, H.-J.; Bae, C.-Y.; Bae, D.-H. Hypocholesterolemic property ofYucca schidigera andQuillaja saponaria extracts in human body. Arch. Pharm. Res. 2003, 26, 1042–1046. [Google Scholar] [CrossRef]
- Patra, A.K. (Ed.) An Overview of Antimicrobial Properties of Different Classes of Phytochemicals; Springer Science + Business Media: Dordrech, The Netherlands, 2012; pp. 1–32. [Google Scholar]
- Cheeke, P.R. Actual and potential applications of Yucca schidigera and Quillaja saponaria saponins in human and animal nutrition. In Saponins in Food, Feedstuffs and Medicinal Plants; Springer: Dordrecht, The Netherlands, 2000; pp. 241–254. [Google Scholar]
- Heng, L.; Vincken, J.-P.; van Koningsveld, G.; Legger, A.; Gruppen, H.; van Boekel, T.; Roozen, J.; Voragen, F. Bitterness of saponins and their content in dry peas. J. Sci. Food Agric. 2006, 86, 1225–1231. [Google Scholar] [CrossRef]
- Aldin, E.; Reitmeier, H.A.; Murphy, P. Bitterness of Soy Extracts Containing Isoflavones and Saponins. J. Food Sci. 2006, 71, S211–S215. [Google Scholar] [CrossRef]
- Roland, W.S.U.; Pouvreau, L.; Curran, J.; van de Velde, F.; de Kok, P.M.T. Flavor Aspects of Pulse Ingredients. Cereal Chem. J. 2017, 94, 58–65. [Google Scholar] [CrossRef]
- Johns, T.; Keen, S.L. Determinants of taste perception and classification among the Aymara of Bolivia. Ecol. Food Nutr. 1985, 16, 253–271. [Google Scholar] [CrossRef]
- San Martin, R.; Briones, R. Quality control of commercial quillaja (Quillaja saponaria Molina) extracts by reverse phase HPLC. J. Sci. Food Agric. 2000, 80, 2063–2068. [Google Scholar] [CrossRef]
- Karnwal, A.; Shrivastava, S.; Al-Tawaha, A.R.M.S.; Kumar, G.; Singh, R.; Kumar, A.; Mohan, A.; Yogita; Malik, T. Microbial Biosurfactant as an Alternate to Chemical Surfactants for Application in Cosmetics Industries in Personal and Skin Care Products: A Critical Review. BioMed Res. Int. 2023, 2023, 2375223. [Google Scholar] [CrossRef] [PubMed]
- Thompson, L.U. Potential health benefits and problems associated with antinutrients in foods. Food Res. Int. 1993, 26, 131–149. [Google Scholar] [CrossRef]
- Ridout, C.L.; Price, K.R.; Dupont, M.S.; Parker, M.L.; Fenwick, G.R. Quinoa saponins—Analysis and preliminary investigations into the effects of reduction by processing. J. Sci. Food Agric. 1991, 54, 165–176. [Google Scholar] [CrossRef]
- Gurfinkel, D.M.; Rao, A.V. Soybeansaponins: The relationship between chemical structure and colon anticarcinogenic activity. Nutr. Cancer 2003, 47, 24–33. [Google Scholar] [CrossRef]
- Alice, C.; Vargas, V.; Silva, G.; De Siqueira, N.; Schapoval, E.; Gleye, J.; Henriques, J.; Henriques, A. Screening of plants used in south Brazilian folk medicine. J. Ethnopharmacol. 1991, 35, 165–171. [Google Scholar] [CrossRef]
- Liu, J.; Henkel, T. Traditional Chinese medicine (TCM): Are polyphenols and saponins the key in-gredients triggering biological activities? Curr. Med. Chem. 2002, 9, 1483–1485. [Google Scholar] [CrossRef] [PubMed]
- Kerwin, S. Soy saponins and the anticancer effects of soybeans and soy-based foods. Curr. Med. Chem. Anti Cancer Agents 2004, 4, 263–272. [Google Scholar] [CrossRef] [PubMed]
- Oakenfull, D. Soy protein, saponins and plasma cholesterol. J. Nutr. 2001, 131, 2971. [Google Scholar] [CrossRef] [PubMed]
- Matsuura, H. Saponins in garlic as modifiers of the risk of cardiovascular disease. J. Nutr. 2001, 131, 1000S–1005S. [Google Scholar] [CrossRef] [PubMed]
- Muir, A.D.; Paton, D.; Ballantyne, K.; Aubin, A.A. Process for Recovery and Purification of Saponins and Sapogenins from Quinoa. U.S. Patent 6,355,249, 12 March 2002. [Google Scholar]
- Rickert, D.A.; Meyer, M.A.; Hu, J.; Murphy, P.A. Effect of Extraction pH and Temperature on Isoflavone and Saponin Partitioning and Profile During Soy Protein Isolate Production. J. Food Sci. 2004, 69, C623–C631. [Google Scholar] [CrossRef]
- Akbari, S.; Abdurahman, N.H.; Kudrashou, V. Surface Activity and Emulsification Properties of Saponins as Biosurfactants. In Advancements in Biosurfactants Research; Aslam, R., Mobin, M., Aslam, J., Zehra, S., Eds.; Springer International Publishing: Cham, Switzerland, 2023; pp. 137–153. [Google Scholar]
- Zhou, W.; Yang, J.; Lou, L.; Zhu, L. Solubilization properties of polycyclic aromatic hydrocarbons by saponin, a plant-derived biosurfactant. Environ. Pollut. 2011, 159, 1198–1204. [Google Scholar] [CrossRef]
- Kjellin, M.; Johansson, I. (Eds.) Saponin-Based Surfactants; John Wiley & Sons: Hoboken, NJ, USA, 2010. [Google Scholar]
- Zana, R. Dynamics of Surfactant Self-Assemblies: Micelles, Microemulsions, Vesicles, and Lyotropic Phases; Routledge: Abingdon on Thames, UK, 2005. [Google Scholar]
- Mitra, S.; Dungan, S.R. Cholesterol Solubilization in Aqueous Micellar Solutions of Quillaja Saponin, Bile Salts, or Nonionic Surfactants. J. Agric. Food Chem. 2001, 49, 384–394. [Google Scholar] [CrossRef] [PubMed]
- Bachran, C.; Bachran, S.; Sutherland, M.; Bachran, D.; Fuchs, H. Chapter 9—Preclinical Studies of Saponins for Tumor Therapy. In Recent Advances in Medicinal Chemistry; Attaur, R., Choudhary, M.I., Perry, G., Eds.; Elsevier: Amsterdam, The Netherlands, 2014; pp. 272–302. [Google Scholar]
- McClements, D.J.; Gumus, C.E. Natural emulsifiers—Biosurfactants, phospholipids, biopolymers, and colloidal particles: Molecular and physicochemical basis of functional performance. Adv. Colloid Interface Sci. 2016, 234, 3–26. [Google Scholar] [CrossRef]
- Kezwon, A.; Wojciechowski, K. Interaction of Quillaja bark saponins with food-relevant proteins. Adv. Colloid Interface Sci. 2014, 209, 185–195. [Google Scholar] [CrossRef]
- Pekdemir, T.; Çopur, M.; Urum, K. Emulsification of Crude Oil–Water Systems Using Biosurfactants. Process Saf. Environ. Prot. 2005, 83, 38–46. [Google Scholar] [CrossRef]
- Chung, C.; Sher, A.; Rousset, P.; Decker, E.A.; McClements, D.J. Formulation of food emulsions using natural emulsifiers: Utilization of quillaja saponin and soy lecithin to fabricate liquid coffee whiteners. J. Food Eng. 2017, 209, 1–11. [Google Scholar] [CrossRef]
- Yang, Y.; Leser, M.E.; Sher, A.A.; McClements, D.J. Formation and stability of emulsions using a natural small molecule surfactant: Quillaja saponin (Q-Naturale®). Food Hydrocoll. 2013, 30, 589–596. [Google Scholar] [CrossRef]
- Zhang, J.; Bing, L.; Reineccius, G.A. Formation, optical property and stability of orange oil nanoemulsions stabilized by Quallija saponins. LWT Food Sci. Technol. 2015, 64, 1063–1070. [Google Scholar] [CrossRef]
- Böttcher, S.; Keppler, J.K.; Drusch, S. Mixtures of Quillaja saponin and beta-lactoglobulin at the oil/water-interface: Adsorption, interfacial rheology and emulsion properties. Colloids Surf. A Physicochem. Eng. Asp. 2017, 518, 46–56. [Google Scholar] [CrossRef]
- Reichert, C.L.; Salminen, H.; Badolato Bönisch, G.; Schäfer, C.; Weiss, J. Concentration effect of Quillaja saponin—Co-surfactant mixtures on emulsifying properties. J. Colloid Interface Sci. 2018, 519, 71–80. [Google Scholar] [CrossRef] [PubMed]
- de Faria, J.T.; de Oliveira, E.B.; Minim, V.P.R.; Minim, L.A. Emulsifying properties of β-lactoglobulin and Quillaja bark saponin mixtures: Effects of number of homogenization passes, pH, and NaCl concentration. Int. J. Food Prop. 2017, 20, 1643–1654. [Google Scholar] [CrossRef]
- Drenckhan, W.; Saint-Jalmes, A. The science of foaming. Adv. Colloid Interface Sci. 2015, 222, 228–259. [Google Scholar] [CrossRef] [PubMed]
- Reichert, C.L.; Salminen, H.; Weiss, J. Quillaja Saponin Characteristics and Functional Properties. Annu. Rev. Food Sci. Technol. 2019, 10, 43–73. [Google Scholar] [CrossRef]
- Rio, E.; Drenckhan, W.; Salonen, A.; Langevin, D. Unusually stable liquid foams. Adv. Colloid Interface Sci. 2014, 205, 74–86. [Google Scholar] [CrossRef]
- Hill, C.; Eastoe, J. Foams: From nature to industry. Adv. Colloid Interface Sci. 2017, 247, 496–513. [Google Scholar] [CrossRef]
- Böttcher, S.; Drusch, S. Interfacial Properties of Saponin Extracts and Their Impact on Foam Characteristics. Food Biophys. 2016, 11, 91–100. [Google Scholar] [CrossRef]
- Chen, Y.F.; Yang, C.H.; Chang, M.S.; Ciou, Y.P.; Huang, Y.C. Foam properties and detergent abilities of the saponins from Camellia oleifera. Int. J. Mol. Sci. 2010, 11, 4417–4425. [Google Scholar] [CrossRef] [PubMed]
- Canto, G.S.d.; Treter, J.; Yang, S.; Borré, G.L.; Peixoto, M.P.G.; Ortega, G.G. Evaluation of foam properties of saponin from Ilex paraguariensis A. St. Hil. (Aquifoliaceae) fruits. Braz. J. Pharm. Sci. 2010, 46, 237–243. [Google Scholar] [CrossRef][Green Version]
- Uluata, S.; McClements, D.J.; Decker, E.A. Physical Stability, Autoxidation, and Photosensitized Oxidation of ω-3 Oils in Nanoemulsions Prepared with Natural and Synthetic Surfactants. J. Agric. Food Chem. 2015, 63, 9333–9340. [Google Scholar] [CrossRef]
- Gülçin, İ.; Mshvildadze, V.; Gepdiremen, A.; Elias, R. Antioxidant Activity of Saponins Isolated from Ivy: α-Hederin, Hederasaponin-C, Hederacolchiside-E and Hederacolchiside-F. Planta Med. 2004, 70, 561–563. [Google Scholar] [CrossRef] [PubMed]
- Nowicki, J.; Murray, M.T. Bronchitis and Pneumonia. In Textbook of Natural Medicine; Murray, M.T., Pizzorno, J.E., Eds.; Elsevier: Amsterdam, The Netherlands, 2020; Volume e1, pp. 1196–1201. [Google Scholar]
- Gülçin, İ.; Mshvildadze, V.; Gepdiremen, A.; Elias, R. Screening of antiradical and antioxidant activity of monodesmosides and crude extract from Leontice smirnowii tuber. Phytomedicine 2006, 13, 343–351. [Google Scholar] [CrossRef]
- Takada, Y.; Tayama, I.; Sayama, T.; Sasama, H.; Saruta, M.; Kikuchi, A.; Ishimoto, M.; Tsukamoto, C. Genetic analysis of variations in the sugar chain composition at the C-3 position of soybean seed saponins. Breed. Sci. 2012, 61, 639–645. [Google Scholar] [CrossRef]
- Yoshiki, Y.; Kahara, T.; Okubo, K.; Sakabe, T.; Yamasaki, T. Superoxide- and 1,1-Diphenyl-2-picrylhydrazyl Radical-scavenging Activities of Soyasaponin β g Related to Gallic Acid. Biosci. Biotechnol. Biochem. 2001, 65, 2162–2165. [Google Scholar] [CrossRef]
- Tippel, J.; Gies, K.; Harbaum-Piayda, B.; Steffen-Heins, A.; Drusch, S. Composition of Quillaja saponin extract affects lipid oxidation in oil-in-water emulsions. Food Chem. 2017, 221, 386–394. [Google Scholar] [CrossRef]
- Han, Y.; Chi, J.; Zhang, M.; Zhang, R.; Fan, S.; Huang, F.; Xue, K.; Liu, L. Characterization of saponins and phenolic compounds: Antioxidant activity and inhibitory effects on α-glucosidase in different varieties of colored quinoa (Chenopodium quinoa Willd). Biosci. Biotechnol. Biochem. 2019, 83, 2128–2139. [Google Scholar] [CrossRef]
- Lim, J.G.; Park, H.M.; Yoon, K.S. Analysis of saponin composition and comparison of the antioxidant activity of various parts of the quinoa plant (Chenopodium quinoa Willd.). Food Sci. Nutr. 2020, 8, 694–702. [Google Scholar] [CrossRef] [PubMed]
- Li, H.; Zhai, B.; Sun, J.; Fan, Y.; Zou, J.; Cheng, J.; Zhang, X.; Shi, Y.; Guo, D. Antioxidant, Anti-Aging and Organ Protective Effects of Total Saponins from Aralia taibaiensis. Drug Des. Dev. Ther. 2021, 15, 4025–4042. [Google Scholar] [CrossRef]
- Ashraf, M.F.; Abd Aziz, M.; Stanslas, J.; Ismail, I.; Abdul Kadir, M. Assessment of Antioxidant and Cytotoxicity Activities of Saponin and Crude Extracts of Chlorophytum borivilianum. Sci. World J. 2013, 2013, 216894. [Google Scholar] [CrossRef]
- Waheed, A.; Barker, J.; Barton, S.J.; Owen, C.P.; Ahmed, S.; Carew, M.A. A novel steroidal saponin glycoside from Fagonia indica induces cell-selective apoptosis or necrosis in cancer cells. Eur. J. Pharm. Sci. 2012, 47, 464–473. [Google Scholar] [CrossRef] [PubMed]
- Hassan, S.M.; Haq, A.U.; Byrd, J.A.; Berhow, M.A.; Cartwright, A.L.; Bailey, C.A. Haemolytic and antimicrobial activities of saponin-rich extracts from guar meal. Food Chem. 2010, 119, 600–605. [Google Scholar] [CrossRef]
- Just, M.J.; Recio, M.C.; Giner, R.M.; Cuéllar, M.J.; Máñez, S.; Bilia, A.R.; Ríos, J.-L. Anti-Inflammatory Activity of Unusual Lupane Saponins from Bupleurum fruticescens. Planta Med. 1998, 64, 404–407. [Google Scholar] [CrossRef]
- Sparg, S.G.; Light, M.E.; van Staden, J. Biological activities and distribution of plant saponins. J. Ethnopharmacol. 2004, 94, 219–243. [Google Scholar] [CrossRef] [PubMed]
- Sindambiwe, J.B.; Calomme, M.; Geerts, S.; Pieters, L.; Vlietinck, A.J.; Vanden Berghe, D.A. Evaluation of Biological Activities of Triterpenoid Saponins from Maesa lanceolata. J. Nat. Prod. 1998, 61, 585–590. [Google Scholar] [CrossRef]
- Simões, C.M.O.; Amoros, M.; Girre, L. Mechanism of antiviral activity of triterpenoid saponins. Phytother. Res. 1999, 13, 323–328. [Google Scholar] [CrossRef]
- Ellen, D.; Ellen, L.; Danny, G.; Guy, S. Novel advances with plant saponins as natural insecticides to control pest insects. Pest Technol. 2007, 1, 96–105. [Google Scholar]
- Cheng, T.-C.; Lu, J.-F.; Wang, J.-S.; Lin, L.-J.; Kuo, H.-I.; Chen, B.-H. Antiproliferation Effect and Apoptosis Mechanism of Prostate Cancer Cell PC-3 by Flavonoids and Saponins Prepared from Gynostemma pentaphyllum. J. Agric. Food Chem. 2011, 59, 11319–11329. [Google Scholar] [CrossRef]
- Mbaveng, A.T.; Ndontsa, B.L.; Kuete, V.; Nguekeu, Y.M.M.; Çelik, İ.; Mbouangouere, R.; Tane, P.; Efferth, T. A naturally occuring triterpene saponin ardisiacrispin B displayed cytotoxic effects in multi-factorial drug resistant cancer cells via ferroptotic and apoptotic cell death. Phytomedicine 2018, 43, 78–85. [Google Scholar] [CrossRef]
- Abdel-Gawad, M.M.; El-Sayed, M.M.; Abdel-Hameed, E.S. Molluscicidal steroidal saponins and lipid content of Agave decipiens. Fitoterapia 1999, 70, 371–381. [Google Scholar] [CrossRef]
- Moghimipour, E.; Handali, S. Saponin: Properties, methods of evaluation and applications. Annu. Res. Rev. Biol. 2015, 5, 207–220. [Google Scholar] [CrossRef]
- Oboh, H.A.; Omofoma, C.O. The effects of heat treated lima beans (Phaseolus lunatus) on plasma li-pids in hypercholesterolemic rats. Pak. J. Nutr. 2008, 7, 636–639. [Google Scholar]
- El Barky, A.R.; Ali, E.M.M.; Mohamed, T.M. Marine Sea Cucumber Saponins and Diabetes. Austin. Pancreat. Disord. 2017, 1, 1002. [Google Scholar]
- Marrelli, M.; Conforti, F.; Araniti, F.; Statti, G.A. Effects of Saponins on Lipid Metabolism: A Review of Potential Health Benefits in the Treatment of Obesity. Molecules 2016, 21, 1404. [Google Scholar] [CrossRef]
- Zhao, D. Challenges associated with elucidating the mechanisms of the hypocholesterolaemic activity of saponins. J. Funct. Foods 2016, 23, 52–65. [Google Scholar] [CrossRef]
- Segal, R.; Schlösser, E. Role of glycosidases in the membranlytic, antifungal action of saponins. Arch. Microbiol. 1975, 104, 147–150. [Google Scholar] [CrossRef]
- Marciani, D.J.; Ptak, R.G.; Voss, T.G.; Reynolds, R.C.; Pathak, A.K.; Chamblin, T.L.; Scholl, D.R.; May, R.D. Degradation of Quillaja saponaria Molina saponins: Loss of the protective effects of a herpes simplex virus 1 subunit vaccine. Int. Immunopharmacol. 2002, 2, 1703–1711. [Google Scholar] [CrossRef]
- Qi, L.-W.; Wang, C.-Z.; Yuan, C.-S. Ginsenosides from American ginseng: Chemical and pharmacological diversity. Phytochemistry 2011, 72, 689–699. [Google Scholar] [CrossRef]
- Sheng, H.; Sun, H. Synthesis, biology and clinical significance of pentacyclic triterpenes: A multi-target approach to prevention and treatment of metabolic and vascular diseases. Nat. Prod. Rep. 2011, 28, 543–593. [Google Scholar] [CrossRef] [PubMed]
- Liener, I.E. Implications of antinutritional components in soybean foods. Crit. Rev. Food Sci. Nutr. 1994, 34, 31–67. [Google Scholar] [CrossRef]
- Shimoyamada, M.; Kudo, S.; Okubo, K.; Yamauchi, F.; Harada, K. Distributions of Saponin Constituents in Some Varieties of Soybean Plant. Agric. Biol. Chem. 1990, 54, 77–81. [Google Scholar] [CrossRef]
- Yu, K.; Chen, F.; Li, C. Absorption, Disposition, and Pharmacokinetics of Saponins from Chinese Medicinal Herbs: What Do We Know and What Do We Need to Know More? Curr. Drug Metab. 2012, 13, 577–598. [Google Scholar] [CrossRef] [PubMed]
- Bone, K.; Mills, S. Principles and Practice of Phytotherapy: Modern Herbal Medicine; Elsevier Health Sciences: Amsterdam, The Netherlands, 2012. [Google Scholar]






| Latin Name | Common Name | Saponin Content [%] | Reference |
|---|---|---|---|
| Aesculis hipocastanum | Horse chestnut | 3.0 | [18] |
| Asparagus officinalis | Asparagus | 1.5 | [17] |
| Avena sativa | Oats | 0.1–0.2 | [18] |
| Beta vulgaris | Sugar beet (leaves) | 5.8 | [18] |
| Chenopodium quinoa | Quinoa | 0.1–2.3 | [1] |
| Cicer arietinum | Chickpea | 0.2 | [19] |
| Crocus savitus | Saffron crocus | 1.2–3.4 | [1] |
| Glycine max | Soybean | 0.2–0.5 | [19] |
| Glycyrrhiza glabbra | Liquorice | 22.2–32.3 | [19] |
| Hedera helix | Ivy | 5.0 | [1] |
| Medicago sativa | Alfalfa | 0.1–1.7 | [19] |
| Panax ginseng | Chinese ginseng | 2.0–3.0 | [1] |
| Panax quinquefolius | American ginseng | 1.4–5.6 | [20] |
| Pisum sativum | Green pea | 0.2–4.2 | [18] |
| Polygala spp. | Milkwort | 8.0–10.0 | [1] |
| Primula spp. | Primula | 5.0–10.0 | [1] |
| Quillaja saponaria | Quillaja bark | 9.0–10.0 | [21] |
| Saponaria officinalis | Soapwort | 2.0–5.0 | [1] |
| Smilax officinalis | Sarsaparilla | 1.8–2.4 | [1] |
| Trigonellafoenum-graecum | Fenugreek | 4.0–6.0 | [22] |
| Vicia faba | Faba beans | 0.35 | [17] |
| Yucca schidigera | Yucca | 10.0 | [23] |
| Extraction Method | Solvent System | Temperature | Extraction Time | Remarks |
|---|---|---|---|---|
| Simple extraction | Water or 50–98% MeOH/EtOH | Varies between 50–90 °C | Hours to days | Low yield. Long extraction time. High solvent use |
| Soxhlet Extraction | 50–98% ethanol | Up to 80 °C | 24–72 h | Thermal degradation of labile components |
| Reflux Extraction | 50–98% ethanol | Up to 80 °C | 1–4 h | Thermal degradation of labile components |
| Ultrasound-assisted extraction | Water, MeOH/EtOH | 0–90 kPa (Acoustic) | 0.5–6 h | Higher saponin yield. Shorter extractiontime. Less solvent use |
| Microwave-assisted extraction | Water, MeOH/EtOH | ~5 min | Higher saponin yield. Shorter extractiontime. Less solvent use | |
| Pressurized solvent extraction | Water, MeOH/EtOH | 100 °C at 150 psi | 0.5–6 h | Higher saponin yield. Shorter extraction time. Less solvent use |
| Supercritical fluid extraction | CO2 + EtOH | 25 MPa 35–55 °C | 1–8 h | Sequential extraction with increasing polarity with co-solvent |
| Analytical Method | Sensitivity | Selectivity | Accuracy | References |
|---|---|---|---|---|
| HPLC | High sensitivity: detects in ppm to ppb range | High selectivity due to chromatographic separation. Detects multiple components in complex mixtures | Accurate quantification with proper calibration and validation | [46,50] |
| HPTLC | Moderate to high sensitivity: detects in mg/mL range | - | Accurate quantification with proper calibration and validation | [50,51] |
| UPLC | High sensitivity: detects in ppm range Higher pressures result in more efficient separation | Improved selectivity due to efficient separation in a short time | Accurate quantification with proper calibration and validation | [42,52] |
| LC/MS | Very high sensitivity: detects in ppb to ppt range | MS offers higher selectivity through accurate mass detection. Tandem MS enhances selectivity | Accurate quantification with proper calibration and validation. Provides compound identification | [47,48] |
| UV-Vis Spectroscopy | Moderate sensitivity: detects in mg/mL range | Limited selectivity, and may be affected by interferences from other compounds with similar absorbance spectra | Accuracy depends on sample purity and wavelength selection and calibration | [31,53,54] |
| FTIR Spectroscopy | Moderate sensitivity: detects in mg/mL range | Limited selectivity due to overlapping bands in IR spectra of different compounds. IR spectra can provide functional group information | Accuracy is affected by sample preparation, baseline correction and calibration | [55,56] |
Disclaimer/Publisher’s Note: The statements, opinions and data contained in all publications are solely those of the individual author(s) and contributor(s) and not of MDPI and/or the editor(s). MDPI and/or the editor(s) disclaim responsibility for any injury to people or property resulting from any ideas, methods, instructions or products referred to in the content. |
© 2023 by the authors. Licensee MDPI, Basel, Switzerland. This article is an open access article distributed under the terms and conditions of the Creative Commons Attribution (CC BY) license (https://creativecommons.org/licenses/by/4.0/).
Share and Cite
Timilsena, Y.P.; Phosanam, A.; Stockmann, R. Perspectives on Saponins: Food Functionality and Applications. Int. J. Mol. Sci. 2023, 24, 13538. https://doi.org/10.3390/ijms241713538
Timilsena YP, Phosanam A, Stockmann R. Perspectives on Saponins: Food Functionality and Applications. International Journal of Molecular Sciences. 2023; 24(17):13538. https://doi.org/10.3390/ijms241713538
Chicago/Turabian StyleTimilsena, Yakindra Prasad, Arissara Phosanam, and Regine Stockmann. 2023. "Perspectives on Saponins: Food Functionality and Applications" International Journal of Molecular Sciences 24, no. 17: 13538. https://doi.org/10.3390/ijms241713538
APA StyleTimilsena, Y. P., Phosanam, A., & Stockmann, R. (2023). Perspectives on Saponins: Food Functionality and Applications. International Journal of Molecular Sciences, 24(17), 13538. https://doi.org/10.3390/ijms241713538

