Prognostic and Predictive Utility of GPD1L in Human Hepatocellular Carcinoma
Abstract
:1. Introduction
2. Results
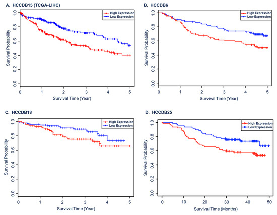
2.1. GPD1L Gene Expression as a Prognostic Biomarker in HCC
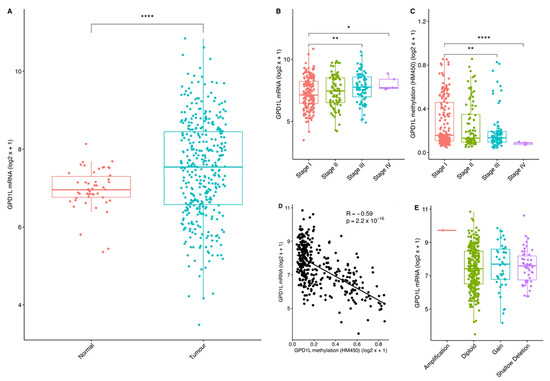
2.2. Positive Selection for GPD1L Overexpression in HCC
2.3. Molecular Characteristics of GPD1L-High Tumours
2.4. GPD1L as a Predictive Biomarker for Treatment Response
3. Discussion
4. Materials and Methods
4.1. Public Databases
4.2. Survival Analysis
4.3. Differential Gene Analysis
4.4. Drug Response Prediction
4.5. Cell Culture
4.6. siRNA Transfection
4.7. Drug Treatment and Cell Viability Assay
4.8. qPCR
4.9. Statistical Analysis
Supplementary Materials
Author Contributions
Funding
Institutional Review Board Statement
Informed Consent Statement
Data Availability Statement
Acknowledgments
Conflicts of Interest
References
- Sung, H.; Ferlay, J.; Siegel, R.L.; Laversanne, M.; Soerjomataram, I.; Jemal, A.; Bray, F. Global Cancer Statistics 2020: GLOBOCAN Estimates of Incidence and Mortality Worldwide for 36 Cancers in 185 Countries. CA Cancer J. Clin. 2021, 71, 209–249. [Google Scholar] [CrossRef]
- Sarveazad, A.; Agah, S.; Babahajian, A.; Amini, N.; Bahardoust, M. Predictors of 5 year survival rate in hepatocellular carcinoma patients. J. Res. Med. Sci. 2019, 24, 86. [Google Scholar] [CrossRef]
- Valdivia, C.R.; Ueda, K.; Ackerman, M.J.; Makielski, J.C. GPD1L links redox state to cardiac excitability by PKC-dependent phosphorylation of the sodium channel SCN5A. Am. J. Physiol.-Heart Circ. Physiol. 2009, 297, H1446–H1452. [Google Scholar] [CrossRef] [PubMed]
- Xu, W.; Wang, X.; Wu, X.; Yu, S.; Xiong, J.; Sang, X.; Zheng, Y.; Zhang, Z. Prognostic value and underlying mechanism of KIAA0101 in hepatocellular carcinoma: Database mining and co-expression analysis. Aging 2020, 12, 16420–16436. [Google Scholar] [CrossRef]
- Sulaiman, S.A.; Abu, N.; Ab-Mutalib, N.; Low, T.Y.; Jamal, R. Signatures of gene expression, DNA methylation and microRNAs of hepatocellular carcinoma with vascular invasion. Future Oncol. 2019, 15, 2603–2617. [Google Scholar] [CrossRef] [PubMed]
- Sheraj, I.; Guray, N.T.; Banerjee, S. A pan-cancer transcriptomic study showing tumor specific alterations in central metabolism. Sci. Rep. 2021, 11, 13637. [Google Scholar] [CrossRef] [PubMed]
- Zhao, Z.; Cui, X.; Guan, G.; Liu, Y.; Liu, X.; Chen, Z.; Ning, S.; Luo, F. Bioinformatics analysis reveals the clinical significance of GIPC2/GPD1L for colorectal cancer using TCGA database. Transl. Cancer Res. 2022, 11, 761–771. [Google Scholar] [CrossRef] [PubMed]
- Fan, Z.; Wu, S.; Sang, H.; Li, Q.; Cheng, S.; Zhu, H. Identification of GPD1L as a Potential Prognosis Biomarker and Associated with Immune Infiltrates in Lung Adenocarcinoma. Mediat. Inflamm. 2023, 2023, 9162249. [Google Scholar] [CrossRef]
- Feng, Z.; Li, J.N.; Wang, L.; Pu, Y.F.; Wang, Y.; Guo, C.B. The prognostic value of glycerol-3-phosphate dehydrogenase 1-like expression in head and neck squamous cell carcinoma. Histopathology 2014, 64, 348–355. [Google Scholar] [CrossRef]
- Liu, T.; Zhu, H.; Ge, M.; Pan, Z.; Zeng, Y.; Leng, Y.; Yang, K.; Cheng, F. GPD1L inhibits renal cell carcinoma progression by regulating PINK1/Parkin-mediated mitophagy. J. Cell. Mol. Med. 2023, 27, 2328–2339. [Google Scholar] [CrossRef]
- Liu, S.; Fu, S.; Wang, G.; Cao, Y.; Li, L.; Li, X.; Yang, J.; Li, N.; Shan, Y.; Cao, Y.; et al. Glycerol-3-phosphate biosynthesis regenerates cytosolic NAD+ to alleviate mitochondrial disease. Cell Metab. 2021, 33, 1974–1987.e9. [Google Scholar] [CrossRef] [PubMed]
- Vyas, S.; Zaganjor, E.; Haigis, M.C. Mitochondria and Cancer. Cell 2016, 166, 555–566. [Google Scholar] [CrossRef] [PubMed]
- Shrestha, K.; Onasanya, A.E.; Eisenberg, I.; Wigoda, N.; Yagel, S.; Yalu, R.; Meidan, R.; Imbar, T. miR-210 and GPD1L regulate EDN2 in primary and immortalized human granulosa-lutein cells. Reproduction 2018, 155, 197–205. [Google Scholar] [CrossRef] [PubMed]
- Du, Y.; Wei, N.; Ma, R.; Jiang, S.; Song, D. A miR-210-3p regulon that controls the Warburg effect by modulating HIF-1α and p53 activity in triple-negative breast cancer. Cell Death Dis. 2020, 11, 731. [Google Scholar] [CrossRef]
- He, H.; Sun, D.; Zeng, Y.; Wang, R.; Zhu, W.; Cao, S.; Bray, G.A.; Chen, W.; Shen, H.; Sacks, F.M.; et al. A Systems Genetics Approach Identified GPD1L and its Molecular Mechanism for Obesity in Human Adipose Tissue. Sci. Rep. 2017, 7, 1799. [Google Scholar] [CrossRef]
- Roberts, W.G.; Ung, E.; Whalen, P.; Cooper, B.; Hulford, C.; Autry, C.; Richter, D.; Emerson, E.; Lin, J.; Kath, J.; et al. Antitumor Activity and Pharmacology of a Selective Focal Adhesion Kinase Inhibitor, PF-562,271. Cancer Res. 2008, 68, 1935–1944. [Google Scholar] [CrossRef]
- Carboni, J.M.; Wittman, M.; Yang, Z.; Lee, F.; Greer, A.; Hurlburt, W.; Hillerman, S.; Cao, C.; Cantor, G.H.; Dell-John, J.; et al. BMS-754807, a small molecule inhibitor of insulin-like growth factor-1R/IR. Mol. Cancer Ther. 2009, 8, 3341–3349. [Google Scholar] [CrossRef]
- Mulvihill, M.J.; Cooke, A.; Rosenfeld-Franklin, M.; Buck, E.; Foreman, K.; Landfair, D.; O’Connor, M.; Pirritt, C.; Sun, Y.; Yao, Y.; et al. Discovery of OSI-906: A selective and orally efficacious dual inhibitor of the IGF-1 receptor and insulin receptor. Future Med. Chem. 2009, 1, 1153–1171. [Google Scholar] [CrossRef]
- Rees, M.G.; Seashore-Ludlow, B.; Cheah, J.H.; Adams, D.J.; Price, E.V.; Gill, S.; Javaid, S.; Coletti, M.E.; Jones, V.L.; Bodycombe, N.E.; et al. Correlating chemical sensitivity and basal gene expression reveals mechanism of action. Nat. Chem. Biol. 2016, 12, 109–116. [Google Scholar] [CrossRef]
- Gilyazova, I.; Ivanova, E.; Izmailov, A.; Sharifgaliev, I.; Karunas, A.; Pudova, E.; Kobelyatskaya, A.; Gilyazova, G.; Izmailova, A.; Pavlov, V.; et al. MicroRNA Expression Signatures in Clear Cell Renal Cell Carcinoma: High-Throughput Searching for Key miRNA Markers in Patients from the Volga-Ural Region of Eurasian Continent. Int. J. Mol. Sci. 2023, 24, 6909. [Google Scholar] [CrossRef]
- Coolen, M.W.; Stirzaker, C.; Song, J.Z.; Statham, A.L.; Kassir, Z.; Moreno, C.S.; Young, A.N.; Varma, V.; Speed, T.P.; Cowley, M.; et al. Consolidation of the cancer genome into domains of repressive chromatin by long range epigenetic silencing (LRES) reduces transcriptional plasticity. Nat. Cell Biol. 2010, 12, 235–246. [Google Scholar] [CrossRef]
- Xiu, D.; Mo, Y.; Liu, C.; Hu, Y.; Wang, Y.; Zhao, Y.; Guo, T.; Cheng, K.; Huang, C.; Liu, L.; et al. Integrative Nomogram of Computed Tomography Radiomics, Clinical, and Tumor Immune Features for Analysis of Disease-Free Survival of NSCLC Patients with Surgery. J. Oncol. 2023, 2023, 8607062. [Google Scholar] [CrossRef]
- Xu, K.; Xia, P.; Chen, X.; Ma, W.; Yuan, Y. ncRNA-mediated fatty acid metabolism reprogramming in HCC. Trends Endocrinol. Metab. 2023, 34, 278–291. [Google Scholar] [CrossRef]
- Sangineto, M.; Villani, R.; Cavallone, F.; Romano, A.; Loizzi, D.; Serviddio, G. Lipid Metabolism in Development and Progression of Hepatocellular Carcinoma. Cancers 2020, 12, 1419. [Google Scholar] [CrossRef] [PubMed]
- Orozco, J.M.; Krawczyk, P.A.; Scaria, S.M.; Cangelosi, A.L.; Chan, S.H.; Kunchok, T.; Lewis, C.A.; Sabatini, D.M. Dihydroxyacetone phosphate signals glucose availability to mTORC1. Nat. Metab. 2020, 2, 893–901. [Google Scholar] [CrossRef] [PubMed]
- Ferretti, A.C.; Hidalgo, F.; Tonucci, F.M.; Almada, E.; Pariani, A.; Larocca, M.C.; Favre, C. Metformin and glucose starvation decrease the migratory ability of hepatocellular carcinoma cells: Targeting AMPK activation to control migration. Sci. Rep. 2019, 9, 2815. [Google Scholar] [CrossRef] [PubMed]
- Jiang, X.; Tan, H.; Teng, S.; Chan, Y.; Wang, D.; Wang, N. The Role of AMP-Activated Protein Kinase as a Potential Target of Treatment of Hepatocellular Carcinoma. Cancers 2019, 11, 647. [Google Scholar] [CrossRef] [PubMed]
- Llovet, J.M.; Kelley, R.K.; Villanueva, A.; Singal, A.G.; Pikarsky, E.; Roayaie, S.; Lencioni, R.; Koike, K.; Zucman-Rossi, J.; Finn, R.S. Hepatocellular carcinoma. Nat. Rev. Dis. Primers 2021, 7, 6. [Google Scholar] [CrossRef]
- Papadakos, S.P.; Ferraro, D.; Carbone, G.; Frampton, A.E.; Vennarecci, G.; Kykalos, S.; Schizas, D.; Theocharis, S.; Machairas, N. The Emerging Role of Metformin in the Treatment of Hepatocellular Carcinoma: Is There Any Value in Repurposing Metformin for HCC Immunotherapy? Cancers 2023, 15, 3161. [Google Scholar] [CrossRef]
- Colaprico, A.; Silva, T.C.; Olsen, C.; Garofano, L.; Cava, C.; Garolini, D.; Sabedot, T.S.; Malta, T.M.; Pagnotta, S.M.; Castiglioni, I.; et al. TCGAbiolinks: An R/Bioconductor package for integrative analysis of TCGA data. Nucleic Acids Res. 2016, 44, e71. [Google Scholar] [CrossRef]
- Ally, A.; Balasundaram, M.; Carlsen, R.; Chuah, E.; Clarke, A.; Dhalla, N.; Holt, R.A.; Jones, S.J.M.; Lee, D.; Ma, Y.; et al. Comprehensive and Integrative Genomic Characterization of Hepatocellular Carcinoma. Cell 2017, 169, 1327–1341.e23. [Google Scholar] [CrossRef] [PubMed]
- Therneau, T. A Package for Survival Analysis in R; R Package Version 3.5-5. 2023. Available online: https://github.com/therneau/survival (accessed on 16 August 2023).
- Liu, J.; Lichtenberg, T.; Hoadley, K.A.; Poisson, L.M.; Lazar, A.J.; Cherniack, A.D.; Kovatich, A.J.; Benz, C.C.; Levine, D.A.; Lee, A.V.; et al. An Integrated TCGA Pan-Cancer Clinical Data Resource to Drive High-Quality Survival Outcome Analytics. Cell 2018, 173, 400–416.e11. [Google Scholar] [CrossRef] [PubMed]
- Love, M.I.; Huber, W.; Anders, S. Moderated estimation of fold change and dispersion for RNA-seq data with DESeq2. Genome Biol. 2014, 15, 550. [Google Scholar] [CrossRef] [PubMed]
- Subramanian, A.; Tamayo, P.; Mootha, V.K.; Mukherjee, S.; Ebert, B.L.; Gillette, M.A.; Paulovich, A.; Pomeroy, S.L.; Golub, T.R.; Lander, E.S.; et al. Gene set enrichment analysis: A knowledge-based approach for interpreting genome-wide expression profiles. Proc. Natl. Acad. Sci. USA 2005, 102, 15545–15550. [Google Scholar] [CrossRef]
- Liberzon, A.; Birger, C.; Thorvaldsdóttir, H.; Ghandi, M.; Mesirov, J.P.; Tamayo, P. The Molecular Signatures Database (MSigDB) hallmark gene set collection. Cell Syst. 2015, 1, 417–425. [Google Scholar] [CrossRef]
- Hänzelmann, S.; Castelo, R.; Guinney, J. GSVA: Gene set variation analysis for microarray and RNA-Seq data. BMC Bioinform. 2013, 14, 7. [Google Scholar] [CrossRef]
- Cerami, E.; Gao, J.; Dogrusoz, U.; Gross, B.E.; Sumer, S.O.; Aksoy, B.A.; Jacobsen, A.; Byrne, C.J.; Heuer, M.L.; Larsson, E.; et al. The cBio Cancer Genomics Portal: An Open Platform for Exploring Multidimensional Cancer Genomics Data. Cancer Discov. 2012, 2, 401–404. [Google Scholar] [CrossRef]
- Gao, J.; Aksoy, B.A.; Dogrusoz, U.; Dresdner, G.; Gross, B.; Sumer, S.O.; Sun, Y.; Jacobsen, A.; Sinha, R.; Larsson, E.; et al. Integrative analysis of complex cancer genomics and clinical profiles using the cBioPortal. Sci. Signal 2013, 6, pl1. [Google Scholar] [CrossRef]
- Raudvere, U.; Kolberg, L.; Kuzmin, I.; Arak, T.; Adler, P.; Peterson, H.; Vilo, J. g:Profiler: A web server for functional enrichment analysis and conversions of gene lists (2019 update). Nucleic Acids Res. 2019, 47, W191–W198. [Google Scholar] [CrossRef]
- Li, R.; Qu, H.; Wang, S.; Chater, J.M.; Wang, X.; Cui, Y.; Yu, L.; Zhou, R.; Jia, Q.; Traband, R.; et al. CancerMIRNome: An interactive analysis and visualization database for miRNome profiles of human cancer. Nucleic Acids Res. 2022, 50, D1139–D1146. [Google Scholar] [CrossRef]
- Yang, W.; Soares, J.; Greninger, P.; Edelman, E.J.; Lightfoot, H.; Forbes, S.; Bindal, N.; Beare, D.; Smith, J.A.; Thompson, I.R.; et al. Genomics of Drug Sensitivity in Cancer (GDSC): A resource for therapeutic biomarker discovery in cancer cells. Nucleic Acids Res. 2013, 41, D955–D961. [Google Scholar] [CrossRef] [PubMed]
- Maeser, D.; Gruener, R.F.; Huang, R.S. oncoPredict: An R package for predicting in vivo or cancer patient drug response and biomarkers from cell line screening data. Brief Bioinform. 2021, 22, bbab260. [Google Scholar] [CrossRef] [PubMed]




| Variable | Overall, N = 370 1 | Low, N = 186 1 | High, N = 184 1 | p-Value 2 |
|---|---|---|---|---|
| Age (years) | 61 (51, 69) | 64 (55, 70) | 59 (50, 68) | 0.003 |
| Sex | 0.001 | |||
| Female | 121 (33%) | 46 (25%) | 75 (41%) | |
| Male | 249 (67%) | 140 (75%) | 109 (59%) | |
| Stage | <0.001 | |||
| Stage I | 171 (49%) | 103 (57%) | 68 (41%) | |
| Stage II | 85 (25%) | 46 (26%) | 39 (23%) | |
| Stage III | 85 (25%) | 31 (17%) | 54 (33%) | |
| Stage IV | 5 (1.4%) | 0 (0%) | 5 (3.0%) | |
| Resection margin status | 0.038 | |||
| R0 | 323 (89%) | 169 (93%) | 154 (85%) | |
| R1 | 17 (4.7%) | 5 (2.8%) | 12 (6.6%) | |
| R2 | 1 (0.3%) | 0 (0%) | 1 (0.5%) | |
| RX | 22 (6.1%) | 7 (3.9%) | 15 (8.2%) | |
| ECOG Performance Status | 0.004 | |||
| 0 | 162 (57%) | 96 (62%) | 66 (50%) | |
| 1 | 84 (29%) | 46 (30%) | 38 (29%) | |
| 2 | 26 (9.1%) | 11 (7.1%) | 15 (11%) | |
| 3 | 12 (4.2%) | 1 (0.6%) | 11 (8.4%) | |
| 4 | 2 (0.7%) | 1 (0.6%) | 1 (0.8%) | |
| HCC primary risk factor | 0.20 | |||
| Alcohol consumption | 117 (33%) | 63 (36%) | 54 (31%) | |
| Alpha-1 antitrypsin deficiency | 1 (0.3%) | 0 (0%) | 1 (0.6%) | |
| Hemochromatosis | 5 (1.4%) | 2 (1.1%) | 3 (1.7%) | |
| Hepatitis b | 80 (23%) | 40 (23%) | 40 (23%) | |
| Hepatitis c | 34 (9.7%) | 23 (13%) | 11 (6.3%) | |
| No history of primary risk factors | 91 (26%) | 37 (21%) | 54 (31%) | |
| Non-alcoholic fatty liver disease | 12 (3.4%) | 6 (3.4%) | 6 (3.4%) | |
| Other | 11 (3.1%) | 6 (3.4%) | 5 (2.9%) | |
| INR | 1.1 (1.0, 9.1) | 1.1 (1.0, 8.9) | 1.1 (1.0, 9.5) | 0.60 |
Disclaimer/Publisher’s Note: The statements, opinions and data contained in all publications are solely those of the individual author(s) and contributor(s) and not of MDPI and/or the editor(s). MDPI and/or the editor(s) disclaim responsibility for any injury to people or property resulting from any ideas, methods, instructions or products referred to in the content. |
© 2023 by the authors. Licensee MDPI, Basel, Switzerland. This article is an open access article distributed under the terms and conditions of the Creative Commons Attribution (CC BY) license (https://creativecommons.org/licenses/by/4.0/).
Share and Cite
Leung, P.K.H.; Das, B.; Cheng, X.; Tarazi, M. Prognostic and Predictive Utility of GPD1L in Human Hepatocellular Carcinoma. Int. J. Mol. Sci. 2023, 24, 13113. https://doi.org/10.3390/ijms241713113
Leung PKH, Das B, Cheng X, Tarazi M. Prognostic and Predictive Utility of GPD1L in Human Hepatocellular Carcinoma. International Journal of Molecular Sciences. 2023; 24(17):13113. https://doi.org/10.3390/ijms241713113
Chicago/Turabian StyleLeung, Philip K. H., Bibek Das, Xiaoyu Cheng, and Munir Tarazi. 2023. "Prognostic and Predictive Utility of GPD1L in Human Hepatocellular Carcinoma" International Journal of Molecular Sciences 24, no. 17: 13113. https://doi.org/10.3390/ijms241713113
APA StyleLeung, P. K. H., Das, B., Cheng, X., & Tarazi, M. (2023). Prognostic and Predictive Utility of GPD1L in Human Hepatocellular Carcinoma. International Journal of Molecular Sciences, 24(17), 13113. https://doi.org/10.3390/ijms241713113

