Identification of Plasma Proteins as Biomarkers for Mild Cognitive Impairment and Alzheimer’s Disease Using Liquid Chromatography–Tandem Mass Spectrometry
Abstract
:1. Introduction
2. Results
2.1. A Quantitative Identification-Based Proteomic Biomarker Discovery Platform
2.2. Semi-Qualitative Analysis for Screening Biomarker Protein Candidates
2.3. Quantitative Analysis for the Identification of a Biomarker Protein Panel
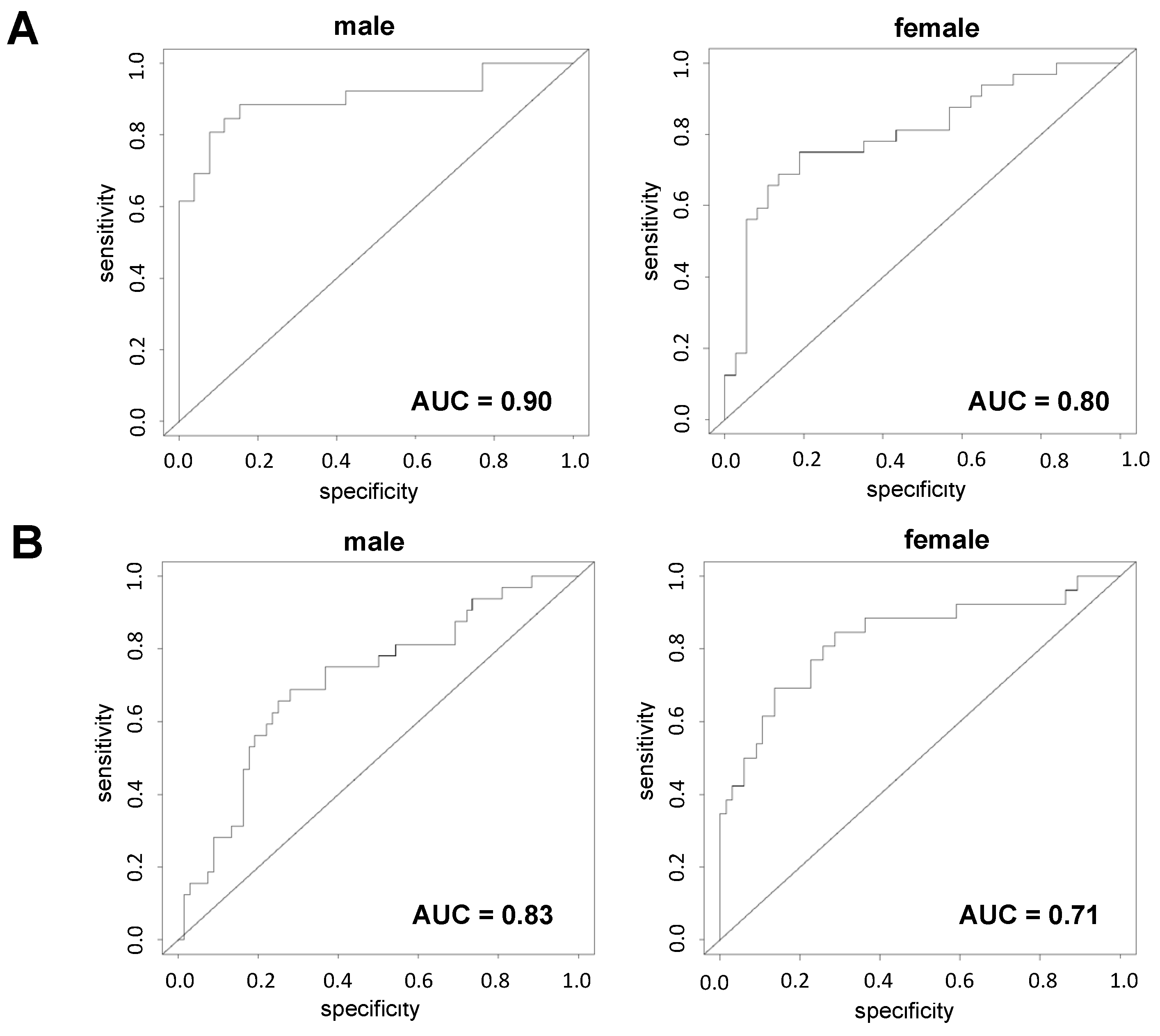
2.4. Composite Marker Consisting of Eight Plasma Proteins That Differentiated Cognitive Impairment from NDC
3. Discussion
4. Materials and Methods
4.1. Reagents
4.2. Preparation of Peptide Solutions
4.3. Human Participants
4.4. Plasma Sample Preparation and Protein Digestion
4.5. LC-MS Analysis
4.6. Statistical Analysis
Author Contributions
Funding
Institutional Review Board Statement
Informed Consent Statement
Data Availability Statement
Acknowledgments
Conflicts of Interest
Abbreviations
| A1BG | alpha-1-glycoprotein |
| A2AP | alpha-2-antiplasmin |
| A2M | alpha-2-macroglobulin |
| AB | ammonium bicarbonate |
| Aβ | amyloid-beta |
| Alb | albumin |
| ApoC1 | apolipoprotein C1 |
| AUC | area under the curve |
| AD | Alzheimer’s disease dementia and related disorders |
| BBB | blood–brain barrier |
| BSA | bovine serum albumin |
| C3 | complement component 3 |
| C4G | complement component 4 gamma chain |
| CDR | clinical dementia rating |
| FA | formic acid |
| GuOG | 6M guanidine hydrochloride with 0.1% n-Octyl-β-D-glucoside |
| Hpx | hemopexin |
| LC | liquid chromatography |
| MCI | mild cognitive impairment |
| MMSE-J | Mini Mental State Examination-Japanese version |
| MS/MS | tandem mass spectrometry |
| NDC | non-demented control |
| OG | n-Octyl-β-D-glucoside |
| ROC | receiver operating characteristics |
| RP | reverse phase |
| RT | retention time |
| WMS-R LM-II | Wechsler Memory Scale-Revised Logical memory II |
References
- Petersen, R.C.; Smith, G.E.; Waring, S.C.; Ivnik, R.J.; Tangalos, E.G.; Kokmen, E. Mild Cognitive Impairment: Clinical Characterization and Outcome. Arch. Neurol. 1999, 56, 303–308. [Google Scholar] [CrossRef]
- Uchida, K.; Shan, L.; Suzuki, H.; Tabuse, Y.; Nishimura, Y.; Hirokawa, Y.; Mizukami, K.; Akatsu, H.; Meno, K.; Asada, T. Amyloid-β Sequester Proteins as Blood-Based Biomarkers of Cognitive Decline. Alzheimers Dement. 2015, 1, 270–280. [Google Scholar] [CrossRef]
- Liu, S.; Suzuki, H.; Ito, H.; Korenaga, T.; Akatsu, H.; Meno, K.; Uchida, K. Serum Levels of Proteins Involved in Amyloid-β Clearance Are Related to Cognitive Decline and Neuroimaging Changes in Mild Cognitive Impairment. Alzheimers Dement. 2019, 11, 85–97. [Google Scholar] [CrossRef]
- Sperling, R.A.; Aisen, P.S.; Beckett, L.A.; Bennett, D.A.; Craft, S.; Fagan, A.M.; Iwatsubo, T.; Jack, C.R., Jr.; Kaye, J.; Montine, T.J.; et al. Toward Defining the Preclinical Stages of Alzheimer’s Disease: Recommendations from the National Institute on Aging-Alzheimer’s Association Workgroups on Diagnostic Guidelines for Alzheimer’s Disease. Alzheimers Dement. 2011, 7, 280–292. [Google Scholar] [CrossRef] [PubMed]
- Livingston, G.; Sommerlad, A.; Orgeta, V.; Costafreda, S.G.; Huntley, J.; Ames, D.; Ballard, C.; Banerjee, S.; Burns, A.; Cohen-Mansfield, J.; et al. Dementia Prevention, Intervention, and Care. Lancet 2017, 390, 2673–2734. [Google Scholar] [CrossRef] [PubMed]
- Livingston, G.; Huntley, J.; Sommerlad, A.; Ames, D.; Ballard, C.; Banerjee, S.; Brayne, C.; Burns, A.; Cohen-Mansfield, J.; Cooper, C.; et al. Dementia Prevention, Intervention, and Care: 2020 Report of the Lancet Commission. Lancet 2020, 396, 413–446. [Google Scholar] [CrossRef]
- Ray, S.; Britschgi, M.; Herbert, C.; Takeda-Uchimura, Y.; Boxer, A.; Blennow, K.; Friedman, L.F.; Galasko, D.R.; Jutel, M.; Karydas, A.; et al. Classification and Prediction of Clinical Alzheimer’s Diagnosis Based on Plasma Signaling Proteins. Nat. Med. 2007, 13, 1359–1362. [Google Scholar] [CrossRef] [PubMed]
- Marksteiner, J.; Kemmler, G.; Weiss, E.M.; Knaus, G.; Ullrich, C.; Mechtcheriakov, S.; Oberbauer, H.; Auffinger, S.; Hinterhölzl, J.; Hinterhuber, H.; et al. Five out of 16 Plasma Signaling Proteins Are Enhanced in Plasma of Patients with Mild Cognitive Impairment and Alzheimer’s Disease. Neurobiol. Aging 2011, 32, 539–540. [Google Scholar] [CrossRef] [PubMed]
- Johnstone, D.; Milward, E.A.; Berretta, R.; Moscato, P. Alzheimer’s Disease Neuroimaging Initiative Multivariate Protein Signatures of Pre-Clinical Alzheimer’s Disease in the Alzheimer’s Disease Neuroimaging Initiative (ADNI) Plasma Proteome Dataset. PLoS ONE 2012, 7, e34341. [Google Scholar] [CrossRef]
- Palmqvist, S.; Tideman, P.; Cullen, N.; Zetterberg, H.; Blennow, K.; Stomrud, E.; Janelidze, S.; Mattsson-Carlgren, N.; Hansson, O. Prediction of future Alzheimer’s Disease Neuroimaging Initiative Prediction of Future Alzheimer’s Disease Dementia Using Plasma Phospho-tau Combined with Other Accessible Measures. Alzheimers Dement. 2021, 17, e053452. [Google Scholar] [CrossRef]
- Piazza, F.; Galimberti, G.; Conti, E.; Isella, V.; Perlangeli, M.V.; Speranza, T.; Borroni, B.; Pogliani, E.M.; Padovani, A.; Ferrarese, C. Increased Tissue Factor Pathway Inhibitor and Homocysteine in Alzheimer’s Disease. Neurobiol. Aging 2012, 33, 226–233. [Google Scholar] [CrossRef] [PubMed]
- Silva-Spínola, A.; Lima, M.; Leitão, M.J.; Bernardes, C.; Durães, J.; Duro, D.; Tábuas-Pereira, M.; Santana, I.; Baldeiras, I. Blood Biomarkers in Mild Cognitive Impairment Patients: Relationship between Analytes and Progression to Alzheimer Disease Dementia. Eur. J. Neurol. 2023, 30, 1565–1573. [Google Scholar] [CrossRef] [PubMed]
- Milà-Alomà, M.; Ashton, N.J.; Shekari, M.; Salvadó, G.; Ortiz-Romero, P.; Montoliu-Gaya, L.; Benedet, A.L.; Karikari, T.K.; Lantero-Rodriguez, J.; Vanmechelen, E.; et al. Plasma P-Tau231 and p-Tau217 as State Markers of Amyloid-β Pathology in Preclinical Alzheimer’s Disease. Nat. Med. 2022, 28, 1797–1801. [Google Scholar] [CrossRef]
- Theendakara, V.; Peters-Libeu, C.A.; Spilman, P.; Poksay, K.S.; Bredesen, D.E.; Rao, R.V. Direct Transcriptional Effects of Apolipoprotein E. J. Neurosci. 2016, 36, 685–700. [Google Scholar] [CrossRef] [PubMed]
- Simpson, J.E.; Ince, P.G.; Shaw, P.J.; Heath, P.R.; Raman, R.; Garwood, C.J.; Gelsthorpe, C.; Baxter, L.; Forster, G.; Matthews, F.E.; et al. Microarray Analysis of the Astrocyte Transcriptome in the Aging Brain: Relationship to Alzheimer’s Pathology and APOE Genotype. Neurobiol. Aging 2011, 32, 1795–1807. [Google Scholar] [CrossRef]
- Yamashita, S.; Tsubakio-Yamamoto, K.; Ohama, T.; Nakagawa-Toyama, Y.; Nishida, M. Molecular Mechanisms of HDL-Cholesterol Elevation by Statins and Its Effects on HDL Functions. J. Atheroscler. Thromb. 2010, 17, 436–451. [Google Scholar] [CrossRef]
- Yoon, S.S.; Dillon, C.F.; Carroll, M.; Illoh, K.; Ostchega, Y. Effects of Statins on Serum Inflammatory Markers: The U.S. National Health and Nutrition Examination Survey 1999–2004. J. Atheroscler. Thromb. 2010, 17, 1176–1182. [Google Scholar] [CrossRef]
- Llewellyn, D.J.; Langa, K.M.; Friedland, R.P.; Lang, I.A. Serum Albumin Concentration and Cognitive Impairment. Curr. Alzheimer Res. 2010, 7, 91–96. [Google Scholar] [CrossRef]
- Varma, V.R.; Varma, S.; An, Y.; Hohman, T.J.; Seddighi, S.; Casanova, R.; Beri, A.; Dammer, E.B.; Seyfried, N.T.; Pletnikova, O.; et al. Alpha-2 Macroglobulin in Alzheimer’s Disease: A Marker of Neuronal Injury through the RCAN1 Pathway. Mol. Psychiatry 2017, 22, 13–23. [Google Scholar] [CrossRef]
- Rasmussen, K.L.; Nordestgaard, B.G.; Frikke-Schmidt, R.; Nielsen, S.F. An Updated Alzheimer Hypothesis: Complement C3 and Risk of Alzheimer’s Disease—A Cohort Study of 95,442 Individuals. Alzheimers Dement. 2018, 14, 1589–1601. [Google Scholar] [CrossRef]
- Sweeney, M.D.; Sagare, A.P.; Zlokovic, B.V. Blood–Brain Barrier Breakdown in Alzheimer Disease and Other Neurodegenerative Disorders. Nat. Rev. Neurol. 2018, 14, 133–150. [Google Scholar] [CrossRef] [PubMed]
- Sweeney, M.D.; Zhao, Z.; Montagne, A.; Nelson, A.R.; Zlokovic, B.V. Blood-Brain Barrier: From Physiology to Disease and Back. Physiol. Rev. 2019, 99, 21–78. [Google Scholar] [CrossRef] [PubMed]
- Stanyon, H.F.; Viles, J.H. Human Serum Albumin Can Regulate Amyloid-β Peptide Fiber Growth in the Brain Interstitium: Implications for Alzheimer Disease. J. Biol. Chem. 2012, 287, 28163–28168. [Google Scholar] [CrossRef] [PubMed]
- Bohrmann, B.; Tjernberg, L.; Kuner, P.; Poli, S. Endogenous Proteins Controlling Amyloid β-Peptide Polymerization: Possible Implications for β-Amyloid Formation in the Central Nervous System and in Peripheral. J. Biol. Chem. 1999, 274, 15990–15995. [Google Scholar] [CrossRef]
- Boada, M.; López, O.; Núñez, L.; Szczepiorkowski, Z.M.; Torres, M.; Grifols, C.; Páez, A. Plasma Exchange for Alzheimer’s Disease Management by Albumin Replacement (AMBAR) Trial: Study Design and Progress. Alzheimers Dement. 2019, 5, 61–69. [Google Scholar] [CrossRef]
- Kim, J.W.; Byun, M.S.; Lee, J.H.; Yi, D.; Jeon, S.Y.; Sohn, B.K.; Lee, J.-Y.; Shin, S.A.; Kim, Y.K.; Kang, K.M.; et al. Serum Albumin and Beta-Amyloid Deposition in the Human Brain. Neurology 2020, 95, e815–e826. [Google Scholar] [CrossRef]
- Fuior, E.V.; Gafencu, A.V. Apolipoprotein C1: Its Pleiotropic Effects in Lipid Metabolism and Beyond. Int. J. Mol. Sci. 2019, 20, 5939. [Google Scholar] [CrossRef]
- Cudaback, E.; Li, X.; Yang, Y.; Yoo, T.; Montine, K.S.; Craft, S.; Montine, T.J.; Keene, C.D. Apolipoprotein C-I Is an APOE Genotype-Dependent Suppressor of Glial Activation. J. Neuroinflamm. 2012, 9, 192. [Google Scholar] [CrossRef]
- Abildayeva, K.; Berbée, J.F.P.; Blokland, A.; Jansen, P.J.; Hoek, F.J.; Meijer, O.; Lütjohann, D.; Gautier, T.; Pillot, T.; De Vente, J.; et al. Human Apolipoprotein C-I Expression in Mice Impairs Learning and Memory Functions. J. Lipid Res. 2008, 49, 856–869. [Google Scholar] [CrossRef]
- Fu, H.; Liu, B.; Frost, J.L.; Hong, S.; Jin, M.; Ostaszewski, B.; Shankar, G.M.; Costantino, I.M.; Carroll, M.C.; Mayadas, T.N.; et al. Complement Component C3 and Complement Receptor Type 3 Contribute to the Phagocytosis and Clearance of Fibrillar Aβ by Microglia. Glia 2012, 60, 993–1003. [Google Scholar] [CrossRef]
- Maier, M.; Peng, Y.; Jiang, L.; Seabrook, T.J.; Carroll, M.C.; Lemere, C.A. Seabrook Complement C3 Deficiency Leads to Accelerated Amyloid β Plaque Deposition and Neurodegeneration and Modulation of the Microglia/Macrophage Phenotype in amyloid precursor protein transgenic mice. J. Neurosci. 2008, 28, 6333–6341. [Google Scholar] [CrossRef] [PubMed]
- Montecinos, L.; Eskew, J.D.; Smith, A. What Is Next in This “Age” of Heme-Driven Pathology and Protection by Hemopexin? An Update and Links with Iron. Pharmaceuticals 2019, 12, 144. [Google Scholar] [CrossRef] [PubMed]
- Hahl, P.; Davis, T.; Washburn, C.; Rogers, J.T.; Smith, A. Mechanisms of Neuroprotection by Hemopexin: Modeling the Control of Heme and Iron Homeostasis in Brain Neurons in Inflammatory States. J. Neurochem. 2013, 125, 89–101. [Google Scholar] [CrossRef] [PubMed]
- Cullen, K.M.; Kócsi, Z.; Stone, J. Microvascular Pathology in the Aging Human Brain: Evidence That Senile Plaques Are Sites of Microhaemorrhages. Neurobiol. Aging 2006, 27, 1786–1796. [Google Scholar] [CrossRef]
- Ashraf, A.A.; Dani, M.; So, P.-W. Low Cerebrospinal Fluid Levels of Hemopexin Are Associated With Increased Alzheimer’s Pathology, Hippocampal Hypometabolism, and Cognitive Decline. Front. Mol. Biosci. 2020, 7, 590979. [Google Scholar] [CrossRef]
- de Boer, J.P.; Creasey, A.A.; Chang, A.; Abbink, J.J.; Roem, D.; Eerenberg, A.J.; Hack, C.E.; Taylor, F.B., Jr. Alpha-2-Macroglobulin Functions as an Inhibitor of Fibrinolytic, Clotting, and Neutrophilic Proteinases in Sepsis: Studies Using a Baboon Model. Infect. Immun. 1993, 61, 5035–5043. [Google Scholar] [CrossRef]
- Baker, S.K.; Chen, Z.-L.; Norris, E.H.; Revenko, A.S.; MacLeod, A.R.; Strickland, S. Blood-Derived Plasminogen Drives Brain Inflammation and Plaque Deposition in a Mouse Model of Alzheimer’s Disease. Proc. Natl. Acad. Sci. USA 2018, 115, E9687–E9696. [Google Scholar] [CrossRef]
- Kawashita, E.; Ishihara, K.; Miyaji, H.; Tanishima, Y.; Kiriyama, A.; Matsuo, O.; Akiba, S. A2-Antiplasmin as a Potential Regulator of the Spatial Memory Process and Age-Related Cognitive Decline. Mol. Brain 2020, 13, 140. [Google Scholar] [CrossRef]
- Ishioka, N.; Takahashi, N.; Putnam, F.W. Amino Acid Sequence of Human Plasma Alpha 1B-Glycoprotein: Homology to the Immunoglobulin Supergene Family. Proc. Natl. Acad. Sci. USA 1986, 83, 2363–2367. [Google Scholar] [CrossRef]
- Song, F.; Poljak, A.; Crawford, J.; Kochan, N.A.; Wen, W.; Cameron, B.; Lux, O.; Brodaty, H.; Mather, K.; Smythe, G.A.; et al. Plasma Apolipoprotein Levels Are Associated with Cognitive Status and Decline in a Community Cohort of Older Individuals. PLoS ONE 2012, 7, e34078. [Google Scholar] [CrossRef]
- Kuipers, B.J.H.; Gruppen, H. Prediction of Molar Extinction Coefficients of Proteins and Peptides Using UV Absorption of the Constituent Amino Acids at 214 Nm to Enable Quantitative Reverse Phase High-Performance Liquid Chromatography-Mass Spectrometry Analysis. J. Agric. Food Chem. 2007, 55, 5445–5451. [Google Scholar] [CrossRef] [PubMed]
- Kuzyk, M.A.; Smith, D.; Yang, J.; Cross, T.J.; Jackson, A.M.; Hardie, D.B.; Anderson, N.L.; Borchers, C.H. Multiple Reaction Monitoring-Based, Multiplexed, Absolute Quantitation of 45 Proteins in Human Plasma. Mol. Cell. Proteom. 2009, 8, 1860–1877. [Google Scholar] [CrossRef] [PubMed]






| NDC | MCI | AD | |
|---|---|---|---|
| (n = 58) | (n = 71) | (n = 63) | |
| Age | 66.7 ± 7.2 1 | 72.6 ± 6.4 | 75.8 ± 7.3 |
| Male/female | 26/32 | 40/31 | 26/37 |
| MMSE-J 2 | 29.3 ± 0.7 | 26.8 ± 1.7 | 18.4 ± 4.4 |
| CDR 3 | 0.0 ± 0.0 | 0.5 ± 0.0 | 1.3 ± 0.5 |
| WMS-R LM-II 4 | 11.6 ± 3.2 | 3.6 ± 3.1 | 0.5 ± 0.9 |
| Biomarker Protein | MCI | AD | |
|---|---|---|---|
| Male | C3 | ↓↓ 1 | → 2 |
| C4G | → | → | |
| HPX | → | → | |
| A1BG | → | → | |
| ALB | → | → | |
| APOC1 | ↓↓ | ↓↓ | |
| A2AP | ↓↓ | ↓↓ | |
| A2M | → | ↑↑ 3 | |
| Female | C3 | → | → |
| C4G | → | → | |
| HPX | ↑ 4 | → | |
| A1BG | → | → | |
| ALB | → | ↓↓ | |
| APOC1 | → | → | |
| A2AP | → | ↓↓ | |
| A2M | → | → |
Disclaimer/Publisher’s Note: The statements, opinions and data contained in all publications are solely those of the individual author(s) and contributor(s) and not of MDPI and/or the editor(s). MDPI and/or the editor(s) disclaim responsibility for any injury to people or property resulting from any ideas, methods, instructions or products referred to in the content. |
© 2023 by the authors. Licensee MDPI, Basel, Switzerland. This article is an open access article distributed under the terms and conditions of the Creative Commons Attribution (CC BY) license (https://creativecommons.org/licenses/by/4.0/).
Share and Cite
Inoue, M.; Suzuki, H.; Meno, K.; Liu, S.; Korenaga, T.; Uchida, K. Identification of Plasma Proteins as Biomarkers for Mild Cognitive Impairment and Alzheimer’s Disease Using Liquid Chromatography–Tandem Mass Spectrometry. Int. J. Mol. Sci. 2023, 24, 13064. https://doi.org/10.3390/ijms241713064
Inoue M, Suzuki H, Meno K, Liu S, Korenaga T, Uchida K. Identification of Plasma Proteins as Biomarkers for Mild Cognitive Impairment and Alzheimer’s Disease Using Liquid Chromatography–Tandem Mass Spectrometry. International Journal of Molecular Sciences. 2023; 24(17):13064. https://doi.org/10.3390/ijms241713064
Chicago/Turabian StyleInoue, Makoto, Hideaki Suzuki, Kohji Meno, Shan Liu, Tatsumi Korenaga, and Kazuhiko Uchida. 2023. "Identification of Plasma Proteins as Biomarkers for Mild Cognitive Impairment and Alzheimer’s Disease Using Liquid Chromatography–Tandem Mass Spectrometry" International Journal of Molecular Sciences 24, no. 17: 13064. https://doi.org/10.3390/ijms241713064
APA StyleInoue, M., Suzuki, H., Meno, K., Liu, S., Korenaga, T., & Uchida, K. (2023). Identification of Plasma Proteins as Biomarkers for Mild Cognitive Impairment and Alzheimer’s Disease Using Liquid Chromatography–Tandem Mass Spectrometry. International Journal of Molecular Sciences, 24(17), 13064. https://doi.org/10.3390/ijms241713064
