Circulating Neurofilament Light Chain Levels Increase with Age and Are Associated with Worse Physical Function and Body Composition in Men but Not in Women
Abstract
1. Introduction
2. Results
2.1. Participant Characteristics
2.2. Circulating NFL and Its Association with Body Composition
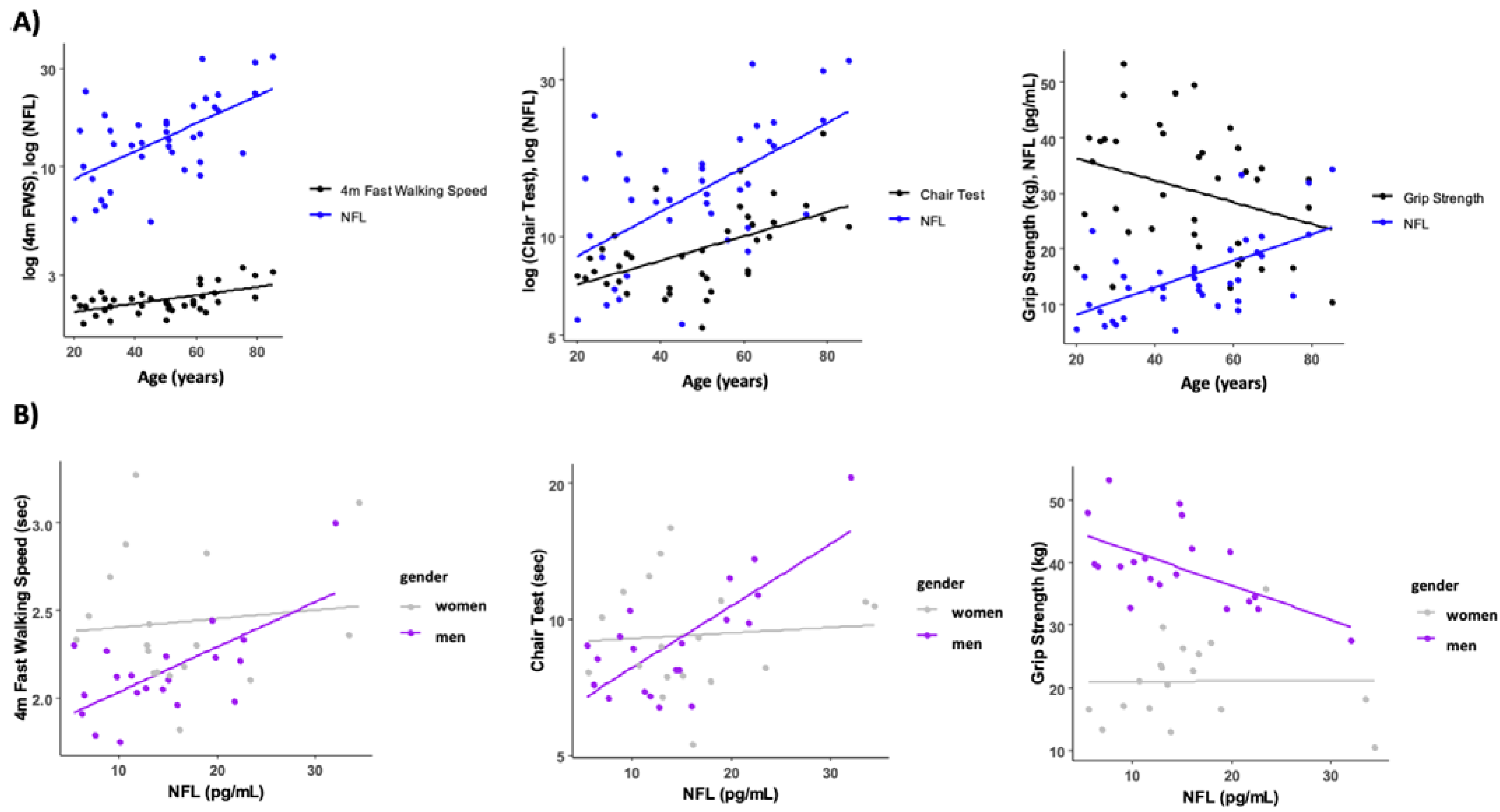
2.3. Relationship between Circulating NFL and Functional Performance Tests
2.4. Relationship between Circulating NFL and Metabolomic Markers
3. Discussion
4. Materials and Methods
4.1. Study Subjects
4.2. Physical Performance Test
4.3. Measurements of Body Composition
4.4. NFL Serum Levels
4.5. Measurement of Plasma Metabolites
4.6. Statistical Analysis
Supplementary Materials
Author Contributions
Funding
Institutional Review Board Statement
Informed Consent Statement
Data Availability Statement
Acknowledgments
Conflicts of Interest
References
- López-Otín, C.; Blasco, M.A.; Partridge, L.; Serrano, M.; Kroemer, G. The hallmarks of aging. Cell 2013, 153, 1194–1217. [Google Scholar] [CrossRef]
- Carson, R.G. Get a grip: Individual variations in grip strength are a marker of brain health. Neurobiol. Aging 2018, 71, 189–222. [Google Scholar] [CrossRef] [PubMed]
- Jiang, R.; Westwater, M.L.; Noble, S.; Rosenblatt, M.; Dai, W.; Qi, S.; Sui, J.; Calhoun, V.D.; Scheinost, D. Associations between grip strength, brain structure, and mental health in > 40,000 participants from the UK Biobank. BMC Med. 2022, 20, 286. [Google Scholar] [CrossRef]
- Peel, N.M.; Kuys, S.S.; Klein, K. Gait Speed as a Measure in Geriatric Assessment in Clinical Settings: A Systematic Review. J. Gerontol. Ser. A 2013, 68, 39–46. [Google Scholar] [CrossRef]
- Studenski, S.; Perera, S.; Patel, K.; Rosano, C.; Faulkner, K.; Inzitari, M.; Brach, J.; Chandler, J.; Cawthon, P.; Connor, E.B.; et al. Gait Speed and Survival in Older Adults. JAMA 2011, 305, 50–58. [Google Scholar] [CrossRef]
- Dillon, K.; Goodman, Z.T.; Kaur, S.S.; Levin, B.; McIntosh, R. Neutrophil-to-Lymphocyte Ratio Amplifies the Effects of Aging on Decrements in Grip Strength and its Functional Neural Underpinnings. J. Gerontol. Ser. A 2023, 78, 882–889. [Google Scholar] [CrossRef]
- Marks, J.D.; Syrjanen, J.A.; Graff-Radford, J.; Petersen, R.C.; Machulda, M.M.; Campbell, M.R.; Algeciras-Schimnich, A.; Lowe, V.; Knopman, D.S.; Jack, C.R., Jr.; et al. Comparison of plasma neurofilament light and total tau as neurodegeneration markers: Associations with cognitive and neuroimaging outcomes. Alzheimers Res. 2021, 13, 021–00944. [Google Scholar] [CrossRef]
- Shen, X.N.; Li, J.Q.; Wang, H.F.; Li, H.Q.; Huang, Y.Y.; Yang, Y.X.; Tan, L.; Dong, Q.; Yu, J.T. Plasma amyloid, tau, and neurodegeneration biomarker profiles predict Alzheimer’s disease pathology and clinical progression in older adults without dementia. Alzheimers Dement 2020, 12, e12104. [Google Scholar] [CrossRef] [PubMed]
- Khalil, M.; Pirpamer, L.; Hofer, E.; Voortman, M.M.; Barro, C.; Leppert, D.; Benkert, P.; Ropele, S.; Enzinger, C.; Fazekas, F.; et al. Serum neurofilament light levels in normal aging and their association with morphologic brain changes. Nat. Commun. 2020, 11, 812. [Google Scholar] [CrossRef]
- Gaetani, L.; Blennow, K.; Calabresi, P.; Filippo, M.D.; Parnetti, L.; Zetterberg, H. Neurofilament light chain as a biomarker in neurological disorders. J. Neurol. Neurosurg. Amp Psychiatry 2019, 90, 870–881. [Google Scholar] [CrossRef]
- Karoly, H.C.; Skrzynski, C.J.; Moe, E.; Bryan, A.D.; Hutchison, K.E. Investigating Associations Between Inflammatory Biomarkers, Gray Matter, Neurofilament Light and Cognitive Performance in Healthy Older Adults. Front. Aging Neurosci. 2021, 13, 719553. [Google Scholar] [CrossRef] [PubMed]
- Jakimovski, D.; Zivadinov, R.; Ramanthan, M.; Hagemeier, J.; Weinstock-Guttman, B.; Tomic, D.; Kropshofer, H.; Fuchs, T.A.; Barro, C.; Leppert, D.; et al. Serum neurofilament light chain level associations with clinical and cognitive performance in multiple sclerosis: A longitudinal retrospective 5-year study. Mult. Scler. 2020, 26, 1670–1681. [Google Scholar] [CrossRef] [PubMed]
- Vacchiano, V.; Mastrangelo, A.; Zenesini, C.; Masullo, M.; Quadalti, C.; Avoni, P.; Polischi, B.; Cherici, A.; Capellari, S.; Salvi, F.; et al. Plasma and CSF Neurofilament Light Chain in Amyotrophic Lateral Sclerosis: A Cross-Sectional and Longitudinal Study. Front. Aging Neurosci. 2021, 13, 753242. [Google Scholar] [CrossRef] [PubMed]
- Wang, S.Y.; Chen, W.; Xu, W.; Li, J.Q.; Hou, X.H.; Ou, Y.N.; Yu, J.T.; Tan, L. Neurofilament Light Chain in Cerebrospinal Fluid and Blood as a Biomarker for Neurodegenerative Diseases: A Systematic Review and Meta-Analysis. J. Alzheimers Dis. 2019, 72, 1353–1361. [Google Scholar] [CrossRef]
- Loeffler, T.; Schilcher, I.; Flunkert, S.; Hutter-Paier, B. Neurofilament-Light Chain as Biomarker of Neurodegenerative and Rare Diseases With High Translational Value. Front. Neurosci. 2020, 14, 579. [Google Scholar] [CrossRef]
- Ladang, A.; Kovacs, S.; Lengelé, L.; Locquet, M.; Reginster, J.Y.; Bruyère, O.; Cavalier, E. Neurofilament light chain concentration in an aging population. Aging Clin. Exp. Res. 2022, 34, 331–339. [Google Scholar] [CrossRef]
- Meeker, K.L.; Butt, O.H.; Gordon, B.A.; Fagan, A.M.; Schindler, S.E.; Morris, J.C.; Benzinger, T.L.S.; Ances, B.M. Cerebrospinal fluid neurofilament light chain is a marker of aging and white matter damage. Neurobiol. Dis. 2022, 166, 105662. [Google Scholar] [CrossRef]
- Barro, C.; Chitnis, T.; Weiner, H.L. Blood neurofilament light: A critical review of its application to neurologic disease. Ann. Clin. Transl. Neurol. 2020, 7, 2508–2523. [Google Scholar] [CrossRef]
- Koini, M.; Pirpamer, L.; Hofer, E.; Buchmann, A.; Pinter, D.; Ropele, S.; Enzinger, C.; Benkert, P.; Leppert, D.; Kuhle, J.; et al. Factors influencing serum neurofilament light chain levels in normal aging. Aging 2021, 13, 25729–25738. [Google Scholar] [CrossRef]
- Aamodt, W.W.; Waligorska, T.; Shen, J.; Tropea, T.F.; Siderowf, A.; Weintraub, D.; Grossman, M.; Irwin, D.; Wolk, D.A.; Xie, S.X.; et al. Neurofilament Light Chain as a Biomarker for Cognitive Decline in Parkinson Disease. Mov. Disord. Off. J. Mov. Disord. Soc. 2021, 36, 2945–2950. [Google Scholar] [CrossRef]
- Manouchehrinia, A.; Piehl, F.; Hillert, J.; Kuhle, J.; Alfredsson, L.; Olsson, T.; Kockum, I. Confounding effect of blood volume and body mass index on blood neurofilament light chain levels. Ann. Clin. Transl. Neurol. 2020, 7, 139–143. [Google Scholar] [CrossRef] [PubMed]
- Bourgognon, J.M.; Steinert, J.R. The metabolome identity: Basis for discovery of biomarkers in neurodegeneration. Neural Regen. Res. 2019, 14, 387–390. [Google Scholar] [CrossRef] [PubMed]
- Shao, Y.; Le, W. Recent advances and perspectives of metabolomics-based investigations in Parkinson’s disease. Mol. Neurodegener. 2019, 14, 3. [Google Scholar] [CrossRef] [PubMed]
- Tian, Q.; Shardell, M.D.; Kuo, P.L.; Tanaka, T.; Simonsick, E.M.; Moaddel, R.; Resnick, S.M.; Ferrucci, L. Plasma metabolomic signatures of dual decline in memory and gait in older adults. Geroscience 2023. online ahead of print. [Google Scholar] [CrossRef] [PubMed]
- Tian, Q.; Schrack, J.A.; Landman, B.A.; Resnick, S.M.; Ferrucci, L. Longitudinal associations of absolute versus relative moderate-to-vigorous physical activity with brain microstructural decline in aging. Neurobiol. Aging 2022, 116, 25–31. [Google Scholar] [CrossRef] [PubMed]
- Estes, R.E.; Lin, B.; Khera, A.; Davis, M.Y. Lipid Metabolism Influence on Neurodegenerative Disease Progression: Is the Vehicle as Important as the Cargo? Front. Mol. Neurosci. 2021, 14, 788695. [Google Scholar] [CrossRef]
- Socha, E.; Kośliński, P.; Koba, M.; Mądra-Gackowska, K.; Kędziora-Kornatowska, K.; Gackowski, M.; Daghir-Wojtkowiak, E. Amino Acid Levels as Potential Biomarker of Elderly Patients with Dementia. Brain Sci. 2020, 10, 914. [Google Scholar] [CrossRef]
- Lin, C.H.; Yang, H.T.; Chiu, C.C.; Lane, H.Y. Blood levels of D-amino acid oxidase vs. D-amino acids in reflecting cognitive aging. Sci. Rep. 2017, 7, 017–13951. [Google Scholar] [CrossRef]
- Polis, B.; Samson, A.O. Role of the metabolism of branched-chain amino acids in the development of Alzheimer’s disease and other metabolic disorders. Neural Regen. Res. 2020, 15, 1460–1470. [Google Scholar] [CrossRef]
- Moaddel, R.; Fabbri, E.; Khadeer, M.A.; Carlson, O.D.; Gonzalez-Freire, M.; Zhang, P.; Semba, R.D.; Ferrucci, L. Plasma Biomarkers of Poor Muscle Quality in Older Men and Women from the Baltimore Longitudinal Study of Aging. J. Gerontol. A Biol. Sci. Med. Sci. 2016, 71, 1266–1272. [Google Scholar] [CrossRef]
- Gonzalez-Freire, M.; Moaddel, R.; Sun, K.; Fabbri, E.; Zhang, P.; Khadeer, M.; Salem, N., Jr.; Ferrucci, L.; Semba, R.D. Targeted Metabolomics Shows Low Plasma Lysophosphatidylcholine 18:2 Predicts Greater Decline of Gait Speed in Older Adults: The Baltimore Longitudinal Study of Aging. J. Gerontol. A Biol. Sci. Med. Sci. 2019, 74, 62–67. [Google Scholar] [CrossRef] [PubMed]
- Semba, R.D.; Zhang, P.; Adelnia, F.; Sun, K.; Gonzalez-Freire, M.; Salem, N., Jr.; Brennan, N.; Spencer, R.G.; Fishbein, K.; Khadeer, M.; et al. Low plasma lysophosphatidylcholines are associated with impaired mitochondrial oxidative capacity in adults in the Baltimore Longitudinal Study of Aging. Aging Cell. 2019, 18, e12915. [Google Scholar] [CrossRef] [PubMed]
- Vints, W.A.J.; Kušleikienė, S.; Sheoran, S.; Valatkevičienė, K.; Gleiznienė, R.; Himmelreich, U.; Pääsuke, M.; Česnaitienė, V.J.; Levin, O.; Verbunt, J.; et al. Body fat and components of sarcopenia relate to inflammation, brain volume, and neurometabolism in older adults. Neurobiol. Aging 2023, 127, 1–11. [Google Scholar] [CrossRef] [PubMed]
- Traylor, M.K.; Bauman, A.J.; Saiyasit, N.; Frizell, C.A.; Hill, B.D.; Nelson, A.R.; Keller, J.L. An examination of the relationship among plasma brain derived neurotropic factor, peripheral vascular function, and body composition with cognition in midlife African Americans/Black individuals. Front. Aging Neurosci. 2022, 14, 980561. [Google Scholar] [CrossRef]
- Mielke, M.M.; Syrjanen, J.A.; Blennow, K.; Zetterberg, H.; Skoog, I.; Vemuri, P.; Machulda, M.M.; Graff-Radford, J.; Knopman, D.S.; Jack, C.R., Jr.; et al. Comparison of variables associated with cerebrospinal fluid neurofilament, total-tau, and neurogranin. Alzheimers Dement 2019, 15, 1437–1447. [Google Scholar] [CrossRef]
- Bridel, C.; van Wieringen, W.N.; Zetterberg, H.; Tijms, B.M.; Teunissen, C.E.; Alvarez-Cermeño, J.C.; Andreasson, U.; Axelsson, M.; Bäckström, D.C.; Bartos, A.; et al. Diagnostic Value of Cerebrospinal Fluid Neurofilament Light Protein in Neurology: A Systematic Review and Meta-analysis. JAMA Neurol. 2019, 76, 1035–1048. [Google Scholar] [CrossRef]
- Peterson, M.D.; Collins, S.; Meier, H.C.S.; Brahmsteadt, A.; Faul, J.D. Grip strength is inversely associated with DNA methylation age acceleration. J. Cachexia Sarcopenia Muscle 2023, 14, 108–115. [Google Scholar] [CrossRef]
- White, D.K.; Neogi, T.; Nevitt, M.C.; Peloquin, C.E.; Zhu, Y.; Boudreau, R.M.; Cauley, J.A.; Ferrucci, L.; Harris, T.B.; Satterfield, S.M.; et al. Trajectories of gait speed predict mortality in well-functioning older adults: The Health, Aging and Body Composition study. J. Gerontol. A Biol. Sci. Med. Sci. 2013, 68, 456–464. [Google Scholar] [CrossRef] [PubMed]
- Pratt, J.; De Vito, G.; Segurado, R.; Pessanha, L.; Dolan, J.; Narici, M.; Boreham, C. Plasma neurofilament light levels associate with muscle mass and strength in middle-aged and older adults: Findings from GenoFit. J. Cachexia Sarcopenia Muscle 2022, 13, 1811–1820. [Google Scholar] [CrossRef] [PubMed]
- He, L.; de Souto Barreto, P.; Aggarwal, G.; Nguyen, A.D.; Morley, J.E.; Li, Y.; Bateman, R.J.; Vellas, B.; Vellas, B.; Guyonnet, S.; et al. Plasma Aβ and neurofilament light chain are associated with cognitive and physical function decline in non-dementia older adults. Alzheimer’s Res. Ther. 2020, 12, 128. [Google Scholar] [CrossRef]
- D’Emanuele, S.; Maffiuletti, N.A.; Tarperi, C.; Rainoldi, A.; Schena, F.; Boccia, G. Rate of Force Development as an Indicator of Neuromuscular Fatigue: A Scoping Review. Front. Hum. Neurosci. 2021, 15, 701916. [Google Scholar] [CrossRef] [PubMed]
- Kwon, I.; Kim, J.S.; Shin, C.H.; Park, Y.; Kim, J.H. Associations Between Skeletal Muscle Mass, Grip Strength, and Physical and Cognitive Functions in Elderly Women: Effect of Exercise with Resistive Theraband. J. Exerc. Nutr. Biochem. 2019, 23, 50–55. [Google Scholar] [CrossRef]
- Sawada, S.; Ozaki, H.; Natsume, T.; Deng, P.; Yoshihara, T.; Nakagata, T.; Osawa, T.; Ishihara, Y.; Kitada, T.; Kimura, K.; et al. The 30-s chair stand test can be a useful tool for screening sarcopenia in elderly Japanese participants. BMC Musculoskelet. Disord. 2021, 22, 639. [Google Scholar] [CrossRef] [PubMed]
- Hermesdorf, M.; Leppert, D.; Maceski, A.; Benkert, P.; Wellmann, J.; Wiendl, H.; Kuhle, J.; Berger, K. Longitudinal analyses of serum neurofilament light and associations with obesity indices and bioelectrical impedance parameters. Sci. Rep. 2022, 12, 15863. [Google Scholar] [CrossRef] [PubMed]
- Xu, T.L.; Gong, N. Glycine and glycine receptor signaling in hippocampal neurons: Diversity, function and regulation. Prog. Neurobiol. 2010, 91, 349–361. [Google Scholar] [CrossRef]
- Newcomer, J.W.; Farber, N.B.; Olney, J.W. NMDA receptor function, memory, and brain aging. Dialogues Clin. Neurosci. 2000, 2, 219–232. [Google Scholar] [CrossRef]
- Zhou, Y.; Danbolt, N.C. Glutamate as a neurotransmitter in the healthy brain. J. Neural 2014, 121, 799–817. [Google Scholar] [CrossRef]
- McCann, M.R.; George De la Rosa, M.V.; Rosania, G.R.; Stringer, K.A. L-Carnitine and Acylcarnitines: Mitochondrial Biomarkers for Precision Medicine. Metabolites 2021, 11, 51. [Google Scholar] [CrossRef]
- Jones, L.L.; McDonald, D.A.; Borum, P.R. Acylcarnitines: Role in brain. Prog. Lipid Res. 2010, 49, 61–75. [Google Scholar] [CrossRef]




| Participants characteristics | ||||
|---|---|---|---|---|
| Total | Male | Female | p | |
| N | 40 | 20 | 20 | |
| Age (years) | 47.8 ± 2.79 | 48.9 ± 3.83 | 46.7± 4.15 | 0.565 |
| BMI (kg/m2) | 23.7 ± 0.54 | 24.8 ± 0.59 | 22.5 ± 0.83 * | 0.026 |
| Comorbidities | ||||
| Hypertension | 3 (7.50%) | 2 (10.0%) | 1 (5.00%) | 0.458 |
| Asthma | 3 (7.50%) | 1 (5.00%) | 2 (10.0%) | 0.503 |
| Hypercholesterolemia | 5 (12.5%) | 3 (15.0%) | 2 (10.0%) | 0.516 |
| Physical performance | ||||
| 4 m gait speed at usual pace (m/s) | 1.17 ± 0.03 | 1.16 ± 0.03 | 1.18 ± 0.03 | 0.632 |
| 4 m gait speed at fast pace (m/s) | 1.81 ± 0.04 | 1.89 ± 0.05 | 1.71 ± 0.05 * | 0.022 |
| Grip Strength (kg) | 30.4 ± 1.76 | 39.4 ± 1.45 | 21.4 ± 1.42 * | <0.001 |
| Chair test (s) | 9.39 ± 0.47 | 9.37 ± 0.74 | 9.4 ± 0.60 | 0.980 |
| NFL | ||||
| NFL (pg/mL) | 14.7 ± 1.13 | 14.0 ± 1.54 | 15.3 ± 1.69 | 0.561 |
| Body Composition | ||||
| Intracellular Water (L) | 23.9 ± 0.94 | 28.6 ± 1.01 | 19.3 ± 0.57 * | <0.001 |
| Extracellular area (L) | 14.5 ± 0.54 | 17.3 ± 0.55 | 11.8 ±0.30 * | <0.001 |
| Body Fat Mass (Kg) | 15.9 ± 1.09 | 15.6 ± 1.41 | 16.2 ± 1.69 | 0.792 |
| Soft Lean Mass (Kg) | 49.4 ±1.91 | 58.9 ± 2.02 | 39.9 ± 1.13 * | <0.001 |
| Fat Free Mass (Kg) | 52.4 ± 2.01 | 62.5 ± 2.14 | 42.4 ± 1.19 * | <0.001 |
| Fat percentage (%) | 23.4 ± 1.39 | 19.8 ± 1.58 | 26.9 ± 2.04 * | <0.001 |
| Visceral fat area (cm2) | 74.9 ± 6.24 | 72.8 ± 7.69 | 77.1 ± 10.1 | 0.733 |
| Waist Hip Ratio | 0.90 ± 0.01 | 0.91 ± 0.02 | 0.88 ± 0.02 | 0.387 |
| SKM index | 7.20 ± 0.19 | 8.18 ± 0.19 | 6.23 ± 0.15 * | <0.001 |
| 50 kH body phase angle | 5.53± 0.13 | 5.88 ± 0.17 | 5.16 ±0.15 * | 0.003 |
| Total (N = 40) | Males (N = 20) | Females (N = 20) | ||||
|---|---|---|---|---|---|---|
| R | p | r | p | r | p | |
| NFL vs. Physical performance tests | ||||||
| Chair test (s) | 0.509 | 0.010 * | 0.478 | 0.033 * | 0.008 | 0.975 |
| Grip strength (kg) | −0.202 | 0.211 | −0.535 | 0.015 * | −0.108 | 0.650 |
| 4 m gait speed at usual pace (m/s) | −0.223 | 0.167 | −0.460 | 0.041 * | −0.047 | 0.843 |
| 4 m gait speed at fast pace (m/s) | −0.284 | 0.076 | −0.423 | 0.063 | 0.131 | 0.582 |
| NFL vs. Body composition | ||||||
| Intracellular water | −0.168 | 0.300 | −0.384 | 0.095 | 0.169 | 0.477 |
| Extracellular water | −0.130 | 0.424 | −0.255 | 0.279 | 0.220 | 0.350 |
| Body fat mass | 0.284 | 0.075 | 0.482 | 0.031 * | 0.006 | 0.980 |
| Soft Lean Mass | −0.152 | 0.349 | −0.320 | 0.168 | 0.168 | 0.478 |
| Fat Free Mass | −0.153 | 0.347 | −0.331 | 0.154 | 0.177 | 0.456 |
| Fat Percentage | 0.337 | 0.034 * | 0.496 | 0.026 * | −0.052 | 0.828 |
| Visceral Fat Area | 0.319 | 0.045 * | 0.516 | 0.020 * | 0.112 | 0.638 |
| Waist Hip Ratio | 0.155 | 0.339 | 0.354 | 0.126 | −0.048 | 0.840 |
| 50 kHz body phase angle | −0.406 | 0.009 * | −0.603 | 0.005 * | −0.182 | 0.442 |
| NFL vs. Metabolomic markers | ||||||
| ASP | 0.371 | 0.018 * | 0.320 | 0.169 | 0.446 | 0.049 * |
| GLU | 0.181 | 0.264 | 0.445 | 0.050 * | 0.000 | 1.000 |
| GLY | −0.215 | 0.183 | −0.608 | 0.004 * | 0.062 | 0.796 |
| SER | −0.249 | 0.122 | −0.443 | 0.050 * | −0.055 | 0.818 |
| Putrescine | 0.428 | 0.006 * | 0.419 | 0.066 | 0.463 | 0.040 * |
| TAU | 0.317 | 0.046 * | 0.293 | 0.209 | 0.335 | 0.148 |
| KYN | 0.319 | 0.045 * | 0.253 | 0.283 | 0.386 | 0.092 |
| LysoPC_aa_C17:0 | 0.204 | 0.207 | −0.084 | 0.726 | 0.492 | 0.028 * |
| LysoPC_aa_C18:2 | −0.111 | 0.495 | −0.458 | 0.042 * | 0.347 | 0.133 |
| PC_aa_C36:5 | 0.395 | 0.013 * | 0.564 | 0.010 * | 0.214 | 0.379 |
| PC_aa_C36:6 | 0.309 | 0.056 | 0.460 | 0.041 * | 0.096 | 0.697 |
| PC_aa_C38:6 | 0.191 | 0.245 | 0.513 | 0.021 * | −0.183 | 0.454 |
| PC_aa_C42:5 | 0.194 | 0.237 | 0.462 | 0.040 * | 0.015 | 0.952 |
| PC_ae_C38:0 | 0.226 | 0.166 | 0.477 | 0.034 * | −0.016 | 0.949 |
| PC.aa.C40.3 | 0.322 | 0.046 * | 0.299 | 0.200 | 0.282 | 0.241 |
| PC_ae_C42:3 | 0.349 | 0.030 * | 0.110 | 0.645 | 0.579 | 0.009 * |
| PC_ae_C44:4 | 0.457 | 0.003 * | 0.490 | 0.028 * | 0.447 | 0.055 |
| Acetylcarnitine | 0.325 | 0.041 * | 0.335 | 0.148 | 0.344 | 0.137 |
| OH-Sphingomyelin C22.2 | 0.318 | 0.045 * | 0.325 | 0.128 | 0.227 | 0.336 |
Disclaimer/Publisher’s Note: The statements, opinions and data contained in all publications are solely those of the individual author(s) and contributor(s) and not of MDPI and/or the editor(s). MDPI and/or the editor(s) disclaim responsibility for any injury to people or property resulting from any ideas, methods, instructions or products referred to in the content. |
© 2023 by the authors. Licensee MDPI, Basel, Switzerland. This article is an open access article distributed under the terms and conditions of the Creative Commons Attribution (CC BY) license (https://creativecommons.org/licenses/by/4.0/).
Share and Cite
Capo, X.; Galmes-Panades, A.M.; Navas-Enamorado, C.; Ortega-Moral, A.; Marín, S.; Cascante, M.; Sánchez-Polo, A.; Masmiquel, L.; Torrens-Mas, M.; Gonzalez-Freire, M. Circulating Neurofilament Light Chain Levels Increase with Age and Are Associated with Worse Physical Function and Body Composition in Men but Not in Women. Int. J. Mol. Sci. 2023, 24, 12751. https://doi.org/10.3390/ijms241612751
Capo X, Galmes-Panades AM, Navas-Enamorado C, Ortega-Moral A, Marín S, Cascante M, Sánchez-Polo A, Masmiquel L, Torrens-Mas M, Gonzalez-Freire M. Circulating Neurofilament Light Chain Levels Increase with Age and Are Associated with Worse Physical Function and Body Composition in Men but Not in Women. International Journal of Molecular Sciences. 2023; 24(16):12751. https://doi.org/10.3390/ijms241612751
Chicago/Turabian StyleCapo, Xavier, Aina Maria Galmes-Panades, Cayetano Navas-Enamorado, Ana Ortega-Moral, Silvia Marín, Marta Cascante, Andrés Sánchez-Polo, Luis Masmiquel, Margalida Torrens-Mas, and Marta Gonzalez-Freire. 2023. "Circulating Neurofilament Light Chain Levels Increase with Age and Are Associated with Worse Physical Function and Body Composition in Men but Not in Women" International Journal of Molecular Sciences 24, no. 16: 12751. https://doi.org/10.3390/ijms241612751
APA StyleCapo, X., Galmes-Panades, A. M., Navas-Enamorado, C., Ortega-Moral, A., Marín, S., Cascante, M., Sánchez-Polo, A., Masmiquel, L., Torrens-Mas, M., & Gonzalez-Freire, M. (2023). Circulating Neurofilament Light Chain Levels Increase with Age and Are Associated with Worse Physical Function and Body Composition in Men but Not in Women. International Journal of Molecular Sciences, 24(16), 12751. https://doi.org/10.3390/ijms241612751

