An Overall View of the Functional and Structural Characterization of Glucose-6-Phosphate Dehydrogenase Variants in the Mexican Population
Abstract
1. Introduction
2. G6PD Deficiency in Mexico
3. Diagnostic and Molecular Genetic Characteristics of Variants in Mexico
4. Mutations of G6PD Variants Affect Its Activity in Different Manners

5. Steady-State Kinetic Parameters of G6PD Variants
| G6PD | Amino Acid Substitution | Class | kcat (s−1) | KmG6P (µM) | KmNADP+ (µM) | kcat/KmG6P (s−1 M−1) | kcat KmNADP+ (s−1 M−1) | References |
|---|---|---|---|---|---|---|---|---|
| WT | 233 | 38.5 | 6.2 | 6.0 × 106 | 37.8 × 106 | [10] | ||
| Durham | Lys238Arg | I | 71 | 24.77 | 6.96 | 2.85 × 106 | 10.2 × 106 | [62] |
| Zacatecas | Arg257Leu | I | 58 | 111 | 24 | 0.52 × 106 | 2.41 × 106 | [63] |
| Veracruz | Arg365His | I | 50.6 | 18.7 | 31.8 | 2.7 × 106 | 1.6 × 106 | [14] |
| Guadalajara | Arg387Cys | I | 25.9 | 98.8 | 41.4 | 0.15 × 106 | 0.37 × 106 | [65] |
| Nashville | Arg 393His | I | 119 | 90.6 | 31.2 | 1.3 × 106 | 3.8 × 106 | [10] |
| Yucatan | Lys429Gly | I | 138 | 39.9 | 6.4 | 3.5 × 106 | 21.7 × 106 | [10] |
| San Luis Potosi | Ans126Ty | II | 10.4 | 43.7 | 11.9 | 1.3 × 106 | 0.28 × 106 | [65] |
| Vanua Lava | Leu128Pro | II | 142 | 34 | 18 | 4.1 × 106 | 7.88 × 106 | [63] |
| Valladolid | II | 96 | 21.5 | 3.6 | 4.4 × 106 | 26.2 × 106 | [10] | |
| Acrokorinthos | Asn126Asp + His155Asp | II | 19.3 | 38.1 | 8.4 | 0.5 × 106 | 2.3 × 106 | [67] |
| Toluca | Ser184Cys | II | 8.2 | 51.9 | 10.9 | 1.3 × 105 | 0.75 × 106 | [39] |
| Tainan | Gln195His | II | 4.7 | 51.1 | 11.1 | 0.7 × 105 | 0.42 × 106 | [39] |
| Seattle | Asp282His | II | 16.2 | 24.8 | 13.9 | 0.6 × 106 | 1.2 × 106 | [14] |
| Viangchan | Val291Met | II | 145 | 42 | 17 | 3.45 × 106 | 8.52 × 106 | [63] |
| Santa Maria | Asn126Asp Asp181Va | II | 71 | 15.35 | 9.06 | 4.62 × 106 | 7.83 × 106 | [62] |
| A− (968) | Asn126 Asp Leu323 Pro | III | 35.8 | 33.8 | 14.3 | 1.1 × 106 | 2.5 × 106 | [64] |
| Mexico City | Arg227Gln | III | 182 | 24.9 | 9.1 | 7.3 × 106 | 19.1 × 106 | [10] |
| A+ | Asn126Asp | IV | 114 | 56.4 | 12.9 | 2.0 × 106 | 8.7 × 106 | [64] |
| Mexico DF | Thr65Ala | NR | 34.6 | 92.8 | 26.6 | 0.4 × 106 | 1.3 × 106 | [14] |
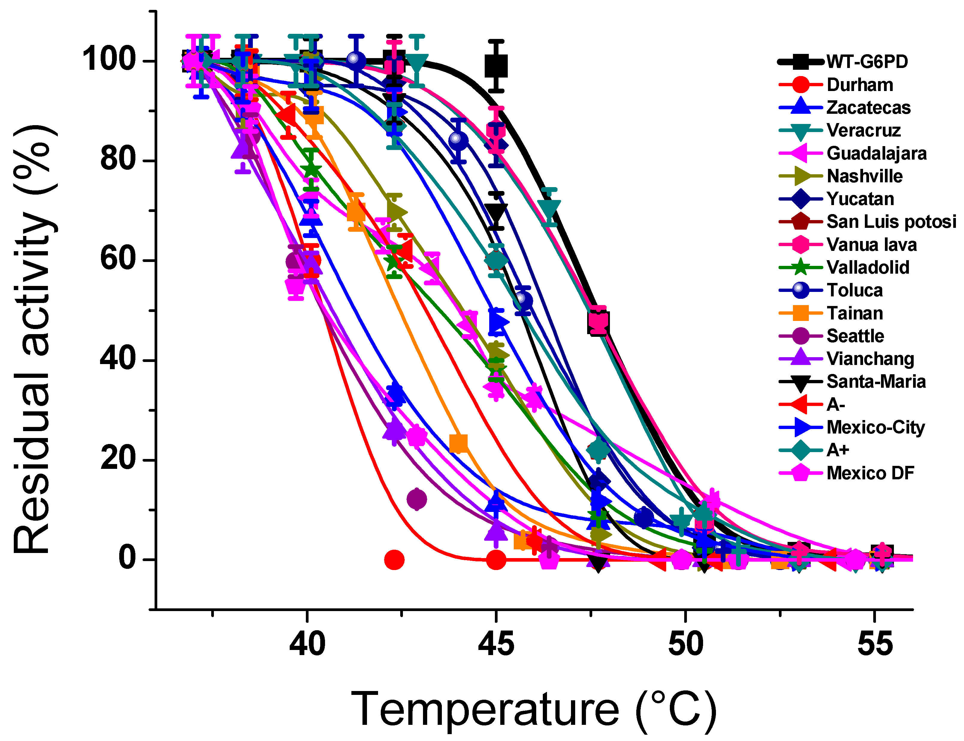
6. Effect of Mutation on the Stability of the G6PD Variants
6.1. Thermal Inactivation Assays
6.2. Stability of G6PD Variants in the Presence of Guanidine Hydrochloride
6.3. Trypsin Digestion
7. Structural Characterization of G6PD Variants
7.1. Circular Dichroism Analysis
7.2. Thermal Stability Analysis of Recombinant G6PD Variants
7.3. Intrinsic Fluorescence and ANS Binding Assays
8. Conclusions
Author Contributions
Funding
Institutional Review Board Statement
Informed Consent Statement
Data Availability Statement
Acknowledgments
Conflicts of Interest
References
- Zanella, A.; Fermo, E.; Bianchi, P.; Valentini, G. Red cell piruvate kinase deficiency: Molecular and clinical aspects. Br. J. Haematol. 2005, 130, 11–25. [Google Scholar] [CrossRef] [PubMed]
- Beutler, E. Glucose-6-phosphate dehydrogenase deficiency: A historical perspective. Blood 2008, 111, 16–24. [Google Scholar] [CrossRef] [PubMed]
- van Wijk, R.; van Solinge, W.W. The energy-less red blood cell is lost: Erythrocyte enzyme abnormalities of glycolysis. Blood 2005, 106, 4034–4042. [Google Scholar] [CrossRef] [PubMed]
- Feig, S.A.; Segel, G.B.; Morimoto, K. Childhood Anemias. In Chronic Complex Diseases of Childhood: A Practical Guide for Clinicians; Yazdani, S., McGhee, S.A., Stiehm, R., Eds.; Brown Walker Press: Boca Ratón, FL, USA, 2011; pp. 223–230. [Google Scholar]
- Vulliamy, T.J.; D’Urso, M.; Battistuzzi, G.; Estrada, M.; Foulkes, N.S.; Martini, G.; Calabrof, V.; Poggi, V.; Giordano, R.; Town, M.; et al. Diverse point mutations in the human glucose-6-phosphate dehydrogenase gene cause enzyme deficiency and mild or severe hemolytic anemia. Proc. Natl. Acad. Sci. USA 1998, 85, 5171–5175. [Google Scholar] [CrossRef]
- Al-Ali, A.K.; Al-Mustafa, Z.H.; Al-Madan, M.; Qaw, F.; Al-Ateeq, S. Molecular characterization of glucose-6-phosphate dehydrogenase deficiency in the Eastern Province of Saudi Arabia. Clin. Chem. Lab Med. 2002, 40, 814–816. [Google Scholar] [CrossRef]
- Ogasawara, Y.; Funakoshi, M.; Ishii, K. Determination of reduced nicotinamide adenine dinucleotide phosphate concentration using high-performance liquid chromatography with fluorescence detection: Ratio of the reduced form as a biomarker of oxidative stress. Biol. Pharm. Bull. 2009, 32, 1819–1823. [Google Scholar] [CrossRef]
- Mason, P.J.; Bautista, J.M.; Gilsanz, F. G6PD deficiency: The genotype-phenotype association. Blood Rev. 2007, 5, 267–283. [Google Scholar] [CrossRef]
- Cappellini, M.D.; Fiorelli, G. Glucose-6-phosphate dehydrogenase deficiency. Lancet 2008, 9606, 64–74. [Google Scholar] [CrossRef]
- Gómez-Manzo, S.; Terrón-Hernández, J.; De la Mora-De la Mora, I.; González-Valdez, A.; Marcial-Quino, J.; García-Torres, I.; Vanoye-Carlo, A.; López-Velázquez, G.; Hernández-Alcantara, G.; Oria-Hernández, J.; et al. The stability of G6PD is affected by mutations with different clinical phenotypes. Int. J. Mol. Sci. 2014, 15, 21179–21201. [Google Scholar] [CrossRef]
- Kuhn, V.; Diederich, L.; Keller IV, T.S.; Kramer, C.M.; Lückstädt, W.; Panknin, C.; Cortese-Krott, M.M. Red blood cell function and dysfunction: Redox regulation, nitric oxide metabolism, anemia. Antioxid. Redox Signal. 2017, 26, 718–742. [Google Scholar] [CrossRef]
- Chen, P.H.; Tjong, W.Y.; Yang, H.C.; Liu, H.Y.; Stern, A.; Chiu, D.T. Glucose-6-phosphate dehydrogenase, redox homeostasis and embryogenesis. Int. J. Mol. Sci. 2022, 23, 2017. [Google Scholar] [PubMed]
- Mazari, A.M.A.; Zhang, L.; Ye, Z.W.; Zhang, J.; Tew, K.D.; Townsend, D.M. The Multifaceted role of glutathione s-transferases in health and disease. Biomolecules 2023, 13, 688. [Google Scholar] [CrossRef] [PubMed]
- Cortés-Morales, Y.Y.; Vanoye-Carlo, A.; Castillo-Rodríguez, R.A.; Serrano-Posada, H.; González-Valdez, A.; Ortega-Cuellar, D.; Hernández-Ochoa, B.; Moreno-Vargas, L.M.; Prada-Gracia, D.; Sierra-Palacios, E.; et al. Cloning and biochemical characterization of three glucose-6-phosphate dehydrogenase mutants presents in the Mexican population. Int. J. Biol. Macromol. 2018, 119, 926–936. [Google Scholar] [CrossRef]
- Pai, G.S.; Sprenkle, J.A.; Do, T.T.; Mareni, C.E.; Migeon, B.R. Localization of loci for hypoxanthine phosphoribosyltransferase and glucose-6-phosphate dehydrogenase and biochemical evidence of nonrandom X chromosome expression from studies of a human X-autosome translocation. Proc. Natl. Acad. Sci. USA 1980, 77, 2810–2813. [Google Scholar] [CrossRef]
- Luzzatto, L.; Battistuzzi, G. Glucose-6-phosphate dehydrogenase. Adv. Hum. Genet. 1985, 14, 217–386. [Google Scholar] [PubMed]
- Wakao, S.; Andre, C. Benning, Functional analyses of cytosolic glucose-6-phosphate dehydrogenases and their contribution to seed oil accumulation in Arabidopsis. Plant Physiol. 2008, 146, 277–288. [Google Scholar] [CrossRef] [PubMed]
- Garcia, A.A.; Mathews, I.I.; Horikoshi, N.; Matsui, T.; Kaur, M.; Wakatsuki, S.; Mochly-Rosen, D. Stabilization of glucose-6-phosphate dehydrogenase oligomers enhances catalytic activity and stability of clinical variants. J. Biol. Chem. 2022, 298, 101610. [Google Scholar] [CrossRef] [PubMed]
- Gómez-Manzo, S.; Marcial-Quino, J.; Ortega-Cuellar, D.; Serrano-Posada, H.; González-Valdez, A.; Vanoye-Carlo, A.; Hernández-Ochoa, B.; Sierra-Palacios, E.; Castillo-Villanueva, A.; Reyes-Vivas, H. Functional and biochemical analysis of glucose-6-phosphate dehydrogenase (G6PD) variants: Elucidating the molecular basis of G6PD deficiency. Catalysis 2017, 7, 135. [Google Scholar]
- Beutler, E.; Vulliamy, T.J. Hematologically important mutations: Glucose-6-phosphate dehydrogenase. Blood Cells Mol. Dis. 2002, 28, 93–103. [Google Scholar] [CrossRef]
- Minucci, A.; Moradkhani, K.; Hwang, M.; Zuppi, C.; Giardina, B.; Capoluongo, P. Glucose-6-phosphate dehydrogenase (G6PD) mutations database: Review of the “old” and update of the new mutations. Blood Cells Mol. Dis. 2012, 48, 154–165. [Google Scholar] [CrossRef]
- Gómez-Manzo, S.; Marcial-Quino, J.; Vanoye-Carlo, A.; Serrano-Posada, H.; Ortega-Cuellar, D.; González-Valdez, A.; Castillo-Rodríguez, R.A.; Hernández-Ochoa, B.; Sierra-Palacios, E.; Rodríguez-Bustamante, E.; et al. Glucose-6-Phosphate Dehydrogenase: Update and Analysis of New Mutations around the World. Int. J. Mol. Sci. 2016, 17, 2069. [Google Scholar] [CrossRef] [PubMed]
- Luzzatto, L.; Ally, M.; Notaro, R. Glucose-6-phosphate dehydrogenase deficiency. Blood 2020, 36, 1225–1240. [Google Scholar] [CrossRef] [PubMed]
- Lisker, R.; Perez-Briceno, R.; Rave, V.; Yoshida, A. Glucosa-6-fosfato deshidrogenasa Gd(-) Distrito Federal: Nueva variante asociada a deficiencia enzimática moderada y anemia hemolítica ocasional. Rev. Investig. Clin. 1981, 33, 209–211. [Google Scholar]
- Lisker, R.; Pérez-Briceño, R.; Beutler, E. A new glucose-6-phosphate dehydrogenase variant, Gd(-) Tepic, characterized by moderate enzyme deficiency and mild episodes of hemolytic anemia. Hum. Genet. 1985, 69, 19–21. [Google Scholar] [CrossRef]
- Beutler, E.; Westwood, B.; Prchal, J.T.; Vaca, G.; Bartsocas, C.S.; Baronciani, L. New glucose-6-phosphate dehydrogenase mutations from various ethnic groups. Blood 1992, 80, 255–256. [Google Scholar] [CrossRef]
- Medina, M.D.; Vaca, G.; Lopez-Guido, B.; Westwood, B.; Beutler, E. Molecular genetics of glucose-6-phosphate dehydrogenase deficiency in Mexico. Blood Cells Mol. Dis. 1997, 23, 88–94. [Google Scholar] [CrossRef]
- Vaca, G.; Arámbula, A.; Esparza, A. Molecular heterogeneity of glucose-6-phosphate dehydrogenase deficiency in Mexico: Overall results of a 7-year project. Blood Cells Mol. Dis. 2002, 28, 436–444. [Google Scholar] [CrossRef]
- Maldonado Silva, K.; Hinojosa Trejo, M.A.; Ibarra González, I.; Vela Amieva, M.; Herrera Pérez, L.A.; Caamal Parra, G.; Sulu Huicab, J.E.; García Flores, E.P. Valores de glucosa-6-fosfato deshidrogenasa y su repercusión en el número de sospechas de tamiz neonatal. Acta Pediátrica México 2018, 39 (Suppl. S1), 47S–57S. [Google Scholar] [CrossRef]
- Jiang, J.; Li, B.; Cao, W.; Jiang, X.; Jia, X.; Chen, Q.; Wu, J. Screening and prevention of neonatal glucose 6-phosphate dehydrogenase deficiency in Guangzhou, China. Genet. Mol. Res. 2014, 13, 4272–4279. [Google Scholar] [CrossRef]
- Lam, S.T.; Cheng, M.L. Neonatal screening in Hong Kong and Macau. Southeast Asian J. Trop. Med. Public Health 2003, 34, 73–75. [Google Scholar]
- Vaca, G.; Arámbula, E.; Monsalvo, A.; Medina, C.; Nuñez, C.; Sandoval, L.; López-Guido, B. Glucose-6-phosphate dehydrogenase (G6PD) mutations in Mexico: Four new G6PD variants. Blood Cells Mol. Dis. 2003, 31, 112–120. [Google Scholar] [CrossRef] [PubMed]
- Vaca, G.; Ibarra, B.; Romero, F.; Olivares, N.; Cantú, J.M.; Beutler, E. G-6-PD Guadalajara—A new mutant associated with chronic nonspherocytic hemolytic-anemia. Hum. Genet. 1982, 61, 175–176. [Google Scholar] [CrossRef] [PubMed]
- Beutler, E.; Kuhl, W.; Gelbart, T.; Forman, L. DNA-Sequence abnormalities of human glucose-6-phosphate-dehydrogenase variants. J. Biol. Chem. 1991, 266, 4145–4150. [Google Scholar] [CrossRef] [PubMed]
- Manco, L.; Pereira, J.; Relvas, L.; Rebelo, U.; Crisóstomo, A.I.; Bento, C.; Ribeiro, M.L. Chronic hemolytic anemia is associated with a new glucose-6-phosphate dehydrogenase in-frame deletion in an older woman. Blood Cells Mol. Dis. 2011, 46, 288–293. [Google Scholar] [CrossRef] [PubMed]
- Hung, N.M.; Eto, H.; Mita, T.; Tsukahara, T.; Hombhanje, F.W.; Hwaihwanje, I.; Takahashi, N.; Kobayakawa, T. Glucose-6-Phosphate Dehydrogenase (G6PD) variants in East Sepik Province of Papua New Guinea: G6PD Jammu, G6PD Vanua Lava, and a novel variant (G6PD Dagua). Trop. Med. Health 2008, 36, 163–169. [Google Scholar] [CrossRef]
- Zarza, R.; Pujades, A.; Rovira, A.; Saavedra, R.; Fernandez, J.; Aymerich, M.; Vives Corrons, J.L. Two new mutations of the glucose-6-phosphate dehydrogenase (G6PD) gene associated with haemolytic anaemia: Clinical, biochemical and molecular relationships. Br. J. Haematol. 1997, 98, 578–582. [Google Scholar] [CrossRef]
- Drousiotou, A.; Touma, E.H.; Andreou, N.; Loiselet, J.; Angastiniotis, M.; Verrelli, B.C.; Tishkoff, S.A. Molecular characterization of WD deficiency in Cyprus. Blood Cells Mol. Dis. 2004, 33, 25–30. [Google Scholar] [CrossRef]
- Alcántara-Ortigoza, M.A.; Hernández-Ochoa, B.; Angel, A.G.-D.; Ibarra-González, I.; Belmont-Martínez, L.; Gómez-Manzo, S.; Vela-Amieva, M. Functional characterization of the p.(Gln195His) or Tainan and novel p.(Ser184Cys) or Toluca glucose-6-phosphate dehydrogenase (G6PD) gene natural variants identified through Mexican newborn screening for glucose-6-phosphate dehydrogenase deficiency. Clin. Biochem. 2022, 109–110, 64–73. [Google Scholar] [CrossRef]
- Chiu, Y.H.; Chen, H.J.; Chang, H.N.; Liu, Y.N.; Kao, S.M.; Liu, M.Y.; Weng, Y.Y.; Hsiao, K.J.; Liu, T.T. Applying a multiplexed primer extension method on dried blood spots increased the detection of carriers at risk of glucose-6-phosphate dehydrogenase deficiency in newborn screening program. Clin. Chim. Acta 2019, 495, 271–277. [Google Scholar] [CrossRef]
- Kirkman, H.N.; Simon, E.R.; Pickard, B.M. Seattle variant of glucose-6-phosphate dehydrogenase. J. Lab. Clin. Med. 1965, 66, 834–840. [Google Scholar]
- Cappellini, M.D.; Sampietro, M.; Toniolo, D.; Carandina, G.; Pittalis, S.; Montemuros, F.M.D.; Fiorelli, G. Biochemical and molecular characterization of a new sporadic glucose-6-phosphatedehydrogenase variant described in Italy—G6PD Modena. Br. J. Haematol. 1994, 87, 209–211. [Google Scholar] [CrossRef]
- Cappellini, M.D.; Dimontemuros, F.M.; Dotti, C.; Tavazzi, D.; Fiorelli, G. Molecular characterization of the glucose-6-phosphate-dehydrogenase (G6PD) FERRARA-II variant. Hum. Genet. 1995, 95, 440–442. [Google Scholar] [CrossRef]
- Beutler, E.; Westwood, B.; Kuhl, W. definition of the mutations of G6PD Wayne, G6PD Viangchan, G6PD Jammu, and G6PD Lejeune. Acta Haematol. 1991, 86, 179–182. [Google Scholar] [CrossRef]
- Poon, M.C.; Hall, K.; Scott, C.W.; Prchal, J.T. G6PD Viangchan—A new glucose-6-phosphate dehydrogenase variant from Laos. Hum. Genet. 1988, 78, 98–99. [Google Scholar] [CrossRef] [PubMed]
- Beutler, E.; Kuhl, W.; Saenz, G.F.; Rodriguez, W. Mutation analysis of glucose-6-phosphate-dehydrogenase (G6PD) Variants in Costa-Rica. Hum. Genet. 1991, 87, 462–464. [Google Scholar] [CrossRef]
- Beutler, E.; Kuhl, W.; Vivescorrons, J.L.; Prchal, J.T. Molecular heterogeneity of glucose-6-phosphate dehydrogenase-A. Blood 1989, 74, 2550–2555. [Google Scholar] [CrossRef] [PubMed]
- Takizawa, T.; Yoneyama, Y.; Miwa, S.; Yoshida, A. A single nucleotide base transition is the basis of the common human glucose-6-phosphate dehydrogenase variant A-Positive. Genomics 1987, 1, 228–231. [Google Scholar] [CrossRef] [PubMed]
- García-Magallanes, N.; Luque-Ortega, F.; Aguilar-Medina, E.M.; Ramos-Payán, R.; Galaviz-Hernández, C.; Romero-Quintana, J.G.; DEL Pozo-Yauner, L.; Rangel-Villalobos, H.; Arámbula-Meraz, E. Glucose-6-phosphate dehydrogenase deficiency in northern Mexico and description of a novel mutation. J. Genet. 2014, 93, 325–330. [Google Scholar] [CrossRef]
- Zimmerman, S.A.; Ware, R.E.; Forman, L.; Westwood, B.; Beutler, E. Glucose-6-phosphate dehydrogenase Durham: A de novo mutation associated with chronic hemolytic anemia. J. Pediatr. 1997, 131, 284–287. [Google Scholar] [CrossRef] [PubMed]
- Molecular basis and enzymatic properties of glucose 6-phosphate dehydrogenase volendam, leading to chronic nonspherocytic anemia, granulocyte dysfunction, and increased susceptibility to infections. Blood 1999, 94, 2955–2962.
- Kumakawa, T.; Suzuki, S.; Fujii, H.; Miwa, S. Frequency of glucose-6-phosphatedehydrogenase (G6PD) deficiency in Tokyo and a new variant—G6PD Musashino. Acta Haematol. Jpn. 1987, 50, 25–28. [Google Scholar]
- Vela-Amieva, M.; Alcántara-Ortigoza, M.A.; González-Del Angel, A.; Belmont-Martínez, L.; López-Candiani, C.; Ibarra-González, I. Genetic spectrum and clinical early natural history of glucose-6-phosphate dehydrogenase deficiency in Mexican children detected through newborn screening. Orphanet J. Rare Dis. 2021, 16, 103. [Google Scholar] [CrossRef] [PubMed]
- Chui, D.H.D.; Wong, W.C.; Chung, S.W.; Patterson, M.; Bhargava, S.; Pooh, M.C. Embryonic ↵-globin chains in adults: A marker for athalassemia-1 haplotype due to a 17.5-kb deletion. N. Engl. J. Med. 1986, 314, 76–79. [Google Scholar] [CrossRef]
- Xu, W.; Westwood, B.; Bartsocas, C.; Malcorra-Azpiazu, J.; Indrak, K.; Beutler, E. Glucose-6-phosphate-dehydrogenase mutations and haplotypes in various ethnic-groups. Blood 1995, 85, 257–263. [Google Scholar] [CrossRef] [PubMed]
- Iwai, K.; Hirono, A.; Matsuoka, H.; Kawamoto, F.; Horie, T.; Lin, K.; Tantular, I.S.; Dachlan, Y.P.; Notopuro, H.; Hidayah, N.I.; et al. Distribution of glucose-6-phosphate dehydrogenase mutations in Southeast Asia. Hum. Genet. 2001, 108, 445–449. [Google Scholar] [CrossRef]
- Nuchprayoon, I.; Louicharoen, C.; Charoenvej, W. Glucose-6-phosphate dehydrogenase mutations in Mon and Burmese of southern Myanmar. J. Hum. Genet. 2008, 53, 48–54. [Google Scholar] [CrossRef][Green Version]
- Benmansour, I.; Moradkhani, K.; Moumni, I.; Wajcman, H.; Hafsia, R.; Ghanem, A.; Abbès, S.; Préhu, C. Two new class III G6PD variants [G6PD Tunis (c.920A>C:p.307Gln>Pro) and G6PD Nefza (c.968T>C:p.323 Leu>Pro)] and overview of the spectrum of mutations in Tunisia. Blood Cells Mol. Dis. 2013, 50, 110–114. [Google Scholar] [CrossRef]
- Adil, M.; Malahat, B.; Serhat, E.; Rabia, C.; Sezen, C.; Serap, Y.; Serkan, Y.; Emrah, S.; Nehir, O. Glucose-6-phosphate dehydrogenase deficiency and malaria: A method to detect primaquine-induced hemolysis in vitro. In Dehydrogenases; INTECH: Charlotte, NC, USA, 2012; pp. 65–90. [Google Scholar]
- Zhao, X.; Li, Z.; Zhang, X. G6PD-MutDB: A mutation and phenotype database of glucose-6-phosphate (G6PD) deficiency. J. Bioinform. Comput. Biol. 2010, 8, 101–109. [Google Scholar] [CrossRef]
- Luzzatto, L.; Nannelli, C.; Notaro, R. Glucose-6-phosphate dehydrogenase deficiency. Hematol. Oncol. Clin. N. Am. 2016, 30, 373–393. [Google Scholar] [CrossRef]
- Gómez-Manzo, S.; Marcial-Quino, J.; Vanoye-Carlo, A.; Enríquez-Flores, S.; De la Mora-De la Mora, I.; González-Valdez, A.; García-Torres, A.; Martínez-Rosas, V.; Sierra-Palacios, E.; Lazcano-Pérez, F.; et al. Mutations of glucose-6-phosphate dehydrogenase dDurham, Santa-Maria and A+ Variants are associated with loss functional and structural stability of the Protein. Int. J. Mol. Sci. 2015, 16, 28657–28668. [Google Scholar] [CrossRef]
- Gómez-Manzo, S.; Marcial-Quino, J.; Vanoye-Carlo, A.; Serrano-Posada, H.; González-Valdez, A.; Martínez-Rosas, V.; Hernández-Ochoa, B.; Sierra-Palacios, E.; Castillo-Rodríguez, R.A.; Cuevas-Cruz, M.; et al. Functional and biochemical characterization of three recombinant human glucose-6-phosphate dehydrogenase mutants: Zacatecas, Vanua-Lava and Viangchan. Int. J. Mol. Sci. 2016, 17, 787. [Google Scholar] [PubMed]
- Ramírez-Nava, E.J.; Ortega-Cuellar, D.; Serrano-Posada, H.; González-Valdez, A.; Vanoye-Carlo, A.; Hernández-Ochoa, B.; Sierra-Palacios, E.; Hernández-Pineda, J.; Rodríguez-Bustamante, E.; Arreguin-Espinosa, R.; et al. Biochemical analysis of two single mutants that give rise to a polymorphic G6PD A-double mutant. Int. J. Mol. Sci. 2017, 18, 2244. [Google Scholar] [CrossRef]
- Martínez-Rosas, V.; Juárez-Cruz, M.V.; Ramírez-Nava, E.J.; Hernández-Ochoa, B.; Morales-Luna, L.; González-Valdez, A.; Gómez-Manzo, S. Effects of single and double mutants in Human glucose-6-phosphate dehydrogenase variants present in the Mexican population: Biochemical and structural analysis. Int. J. Mol. Sci. 2020, 21, 2732. [Google Scholar] [CrossRef]
- Boonyuen, U.; Chamchoy, K.; Swangsri, T.; Saralamba, T.; Day, N.P.J.; Imwong, M. Detailed functional analysis of two clinical glucose-6-phosphate dehydrogenase (G6PD) variants, G6PDViangchan and G6PDViangchan + Mahidol: Decreased stability and catalytic efficiency contribute to the clinical phenotype. Mol. Genet. Metab. 2016, 2, 84–91. [Google Scholar] [CrossRef]
- Praoparotai, A.; Junkree, T.; Imwong, M.; Boonyuen, U. Functional and structural analysis of double and triple mutants reveals the contribution of protein instability to clinical manifestations of G6PD variants. Int. J. Biol. Macromol. 2020, 158, 884–893. [Google Scholar] [CrossRef] [PubMed]
- Wang, X.T.; Lam, V.M.; Engel, P.C. Marked decrease in specific activity contributes to disease phenotype in two human glucose-6-phosphate dehydrogenase mutants, G6PD Union and G6PD Andalus. Hum. Mutat. 2005, 26, 284–293. [Google Scholar] [CrossRef] [PubMed]
- Huang, Y.; Choi, M.Y.; Au, S.W.; Au, D.M.; Lam, V.M.; Engel, P.C. Purification and detailed study of two clinically different human glucose 6-phosphate dehydrogenase variants, G6PD(Plymouth) and G6PD(Mahidol): Evidence for defective protein folding as the basis of disease. Mol. Genet. Metab. 2008, 93, 44–53. [Google Scholar] [CrossRef]
- Fiorelli, G.; Martinez di Montemuros, F.; Cappellini, M. Chronic nonspherocytic hemolytic disorders associated with glucose-6-phosphate dehydrogenase variants. Baill. Clin. Haematol. 2000, 13, 39–55. [Google Scholar]
- Boonyuen, U.; Chamchoy, K.; Swangsri, T.; Junkree, T.; Day, N.P.; White, N.J.; Imwong, M. A trade off between catalytic activity and protein stability determines the clinical manifestations of glucose-6-phosphate dehydrogenase (G6PD) deficiency. Int. J. Biol. Macromol. 2017, 104, 145–156. [Google Scholar] [CrossRef]
- Wang, X.T.; Engel, P.C. Clinical mutants of human glucose 6-phosphate dehydrogenase: Impairment of NADP(+) binding affects both folding and stability. Biochim. Biophys. Acta (BBA)-Mol. Basis Dis. 2009, 1792, 804–809. [Google Scholar]
- Ghisaidoobe, A.B.T.; Chung, S.J. Intrinsic tryptophan fluorescence in the detection and analysis of proteins: A focus on Förster resonance energy transfer techniques. Int. J. Mol. Sci. 2014, 15, 22518–22538. [Google Scholar] [PubMed]







| Mutation Name | cDNA Nucleotide Substitution | Codon | Amino Acid Substitution | Exon | Class | Country/Region of Origin | Reference |
|---|---|---|---|---|---|---|---|
| Zacatecas | 770 G>T | 257 | Arg → Leu | 7 | I | Mexico | [32] |
| Veracruz | 1094 G>A | 365 | Arg → His | 10 | I | Mexico | [32] |
| Guadalajara | 1159 C>T | 387 | Arg → Cys | 10 | I | Mexico, USA | [33] |
| Nashville | 1178 G>A | 393 | Arg → His | 10 | I | USA, Italy, Portugal | [34,35] |
| Yucatan | 1285 A>G | 429 | Lys → Gly | 10 | I | Mexico | [32] |
| San Luis Potosi | 376 A>T | 126 | Asn→Tyr | 5 | II | [32] | |
| Vanua Lava | 383 T>C | 128 | Leu → Pro | 5 | II | Southwestern Pacific | [36] |
| Valladolid | 406 C>T | 136 | Arg → Cys | 5 | II | Spain | [37] |
| Belem | 409 C>T | 137 | Leu → Phe | 5 | II | Greece | [21] |
| Akrokorinthos | 463 C>G | 155 | His → Asp | 5 | II | Brazil | [38] |
| Toluca | 551 C>G | 184 | Ser → Cys | 6 | II | Mexico | [39] |
| Mediterranean | 563 C>T | 188 | Ser → Phe | 6 | II | Mediterranean | [5] |
| Tainan | 585 G>C | 195 | Gln → His | 6 | II | Taiwan/Mexico | [39,40] |
| Seattle | 844 G->C | 282 | Asp → His | 8 | II | USA, Italy | [41,42,43] |
| Viangchan | 871 G>A | 291 | Val → Met | 9 | II | China | [44,45] |
| Santa Maria | 376 A>G 542 A>T | 126 181 | Asn → Asp Asp → Val | 5, 6 | II | Costa Rica, Italy | [46] |
| Mexico City | 680 G>A | 227 | Arg → Gln | 7 | III | Mexico | [26,32] |
| A− (968) Betica, Selma | 376 A>G 968 T>C | 126 323 | Asn → Asp Leu → Pro | 5 9 | III | Africa, Spain | [32,47] |
| A+ | 376 A>G | 126 | Asn → Asp | 5 | IV | Africa | [28,48] |
| Mexico DF | 193 A>G | 65 | Ala → Thr | 4 | NR | Mexico | [49] |
| Enzyme | T50 (°C) without NADP+ (°C) | T50 with 500 µM NADP+ (°C) | Gdn-HCl IC50 (mM) | Tm | IF (-fold) | EF (-fold) | References |
|---|---|---|---|---|---|---|---|
| WT | 48 | 59 | 310 | 59 | 1 | 1 | [10] |
| Class I | |||||||
| Durham | 40 ↓ | 42 ↓ | ND | 50 ↓ | 4.4 ↑ | 12.8 ↑ | [62] |
| Zacatecas | 41 ↓ | 51 ↓ | 100 ↓ | 46 ↓ | 5.9 ↑ | 6.2 ↑ | [63] |
| Veracruz | 47 ≅ | 57 ↓ | 80 ↓ | 50 ↓ | 1.3 ↑ | 4.1 ↑ | [14] |
| Guadalajara | 43 ↓ | 47 ↓ | 250 ↓ | 50 ↓ | 1.3 ↑ | 11.6 ↑ | [65] |
| Nasville | 44 ↓ | 47 ↓ | ND | 50 ↓ | 6.5 ↑ | [10] | |
| Yucatán | 46 ↓ | 51 ↓ | ND | 53 ↓ | 5.1 ↑ | 2.5 ↑ | [10] |
| Class II | |||||||
| San Luis Potosi | 47 ≅ | 55 ↓ | 170 ↓ | 54 ↓ | 1 = | 8.7 ↑ | [65] |
| Vanua Lava | 46 ↓ | 44 ↓ | 200 ↓ | 48 ↓ | 4.4 ↑ | 1.3 ↑ | [63] |
| Valladolid | 42 ↓ | 55 ↓ | ND | 53 ↓ | 3.9 ↑ | 4.4 ↑ | [10] |
| Toluca | 46 ↓ | 53 ↓ | ND | ND | ND | ND | [39] |
| Tainan | 43 ↓ | 52 ↓ | ND | ND | ND | ND | [39] |
| Seattle | 40 ↓ | 55 ↓ | 13 ↓ | 45 ↓ | 1.2 ≅ | 2.8 ↑ | [14] |
| Viangchan | 40 ↓ | 54 ↓ | 150 ↓ | 53 ↓ | 3.6 ↑ | 1.5 ↑ | [63] |
| Santa Maria | ND | 54 ↓ | 3.1 ↑ | 7.4 ↑ | [62] | ||
| Class III | |||||||
| A− | 43 ↓ | 51 ↓ | 100 ↓ | 51 ↓ | 3.5 ↑ | 3.0 ↑ | [64] |
| Mexico City | 45 ↓ | 54 ↓ | ND | 53 ↓ | 5.9 ↑ | 10.1 ↑ | [10] |
| Class IV | |||||||
| A+ | 45 ↓ | 54 ↓ | 200 | 55 ↓ | 1.4 ↑ | 6.6 ↑ | [64] |
| Unclassified | |||||||
| Mexico DF | 40 ↓ | 54 ↓ | 9 ↓ | 47 ↓ | 1.4 ↑ | 4.4 ↑ | [14] |
Disclaimer/Publisher’s Note: The statements, opinions and data contained in all publications are solely those of the individual author(s) and contributor(s) and not of MDPI and/or the editor(s). MDPI and/or the editor(s) disclaim responsibility for any injury to people or property resulting from any ideas, methods, instructions or products referred to in the content. |
© 2023 by the authors. Licensee MDPI, Basel, Switzerland. This article is an open access article distributed under the terms and conditions of the Creative Commons Attribution (CC BY) license (https://creativecommons.org/licenses/by/4.0/).
Share and Cite
Hernández-Ochoa, B.; Ortega-Cuellar, D.; González-Valdez, A.; Martínez-Rosas, V.; Morales-Luna, L.; Rojas-Alarcón, M.A.; Vázquez-Bautista, M.; Arreguin-Espinosa, R.; Pérez de la Cruz, V.; Castillo-Rodríguez, R.A.; et al. An Overall View of the Functional and Structural Characterization of Glucose-6-Phosphate Dehydrogenase Variants in the Mexican Population. Int. J. Mol. Sci. 2023, 24, 12691. https://doi.org/10.3390/ijms241612691
Hernández-Ochoa B, Ortega-Cuellar D, González-Valdez A, Martínez-Rosas V, Morales-Luna L, Rojas-Alarcón MA, Vázquez-Bautista M, Arreguin-Espinosa R, Pérez de la Cruz V, Castillo-Rodríguez RA, et al. An Overall View of the Functional and Structural Characterization of Glucose-6-Phosphate Dehydrogenase Variants in the Mexican Population. International Journal of Molecular Sciences. 2023; 24(16):12691. https://doi.org/10.3390/ijms241612691
Chicago/Turabian StyleHernández-Ochoa, Beatriz, Daniel Ortega-Cuellar, Abigail González-Valdez, Víctor Martínez-Rosas, Laura Morales-Luna, Miriam Abigail Rojas-Alarcón, Montserrat Vázquez-Bautista, Roberto Arreguin-Espinosa, Verónica Pérez de la Cruz, Rosa Angélica Castillo-Rodríguez, and et al. 2023. "An Overall View of the Functional and Structural Characterization of Glucose-6-Phosphate Dehydrogenase Variants in the Mexican Population" International Journal of Molecular Sciences 24, no. 16: 12691. https://doi.org/10.3390/ijms241612691
APA StyleHernández-Ochoa, B., Ortega-Cuellar, D., González-Valdez, A., Martínez-Rosas, V., Morales-Luna, L., Rojas-Alarcón, M. A., Vázquez-Bautista, M., Arreguin-Espinosa, R., Pérez de la Cruz, V., Castillo-Rodríguez, R. A., Canseco-Ávila, L. M., Vidal-Limón, A., & Gómez-Manzo, S. (2023). An Overall View of the Functional and Structural Characterization of Glucose-6-Phosphate Dehydrogenase Variants in the Mexican Population. International Journal of Molecular Sciences, 24(16), 12691. https://doi.org/10.3390/ijms241612691

