Metabolomics of Type 2 Diabetes Mellitus in Sprague Dawley Rats—In Search of Potential Metabolic Biomarkers
Abstract
1. Introduction
2. Results
2.1. Multivariate Statistical Analysis
2.2. Screening of Differential Metabolites
2.3. Weekly Changes of the Potential Biomarkers
2.4. Metabolic Pathway Discovery and Analyses of Differential Metabolites
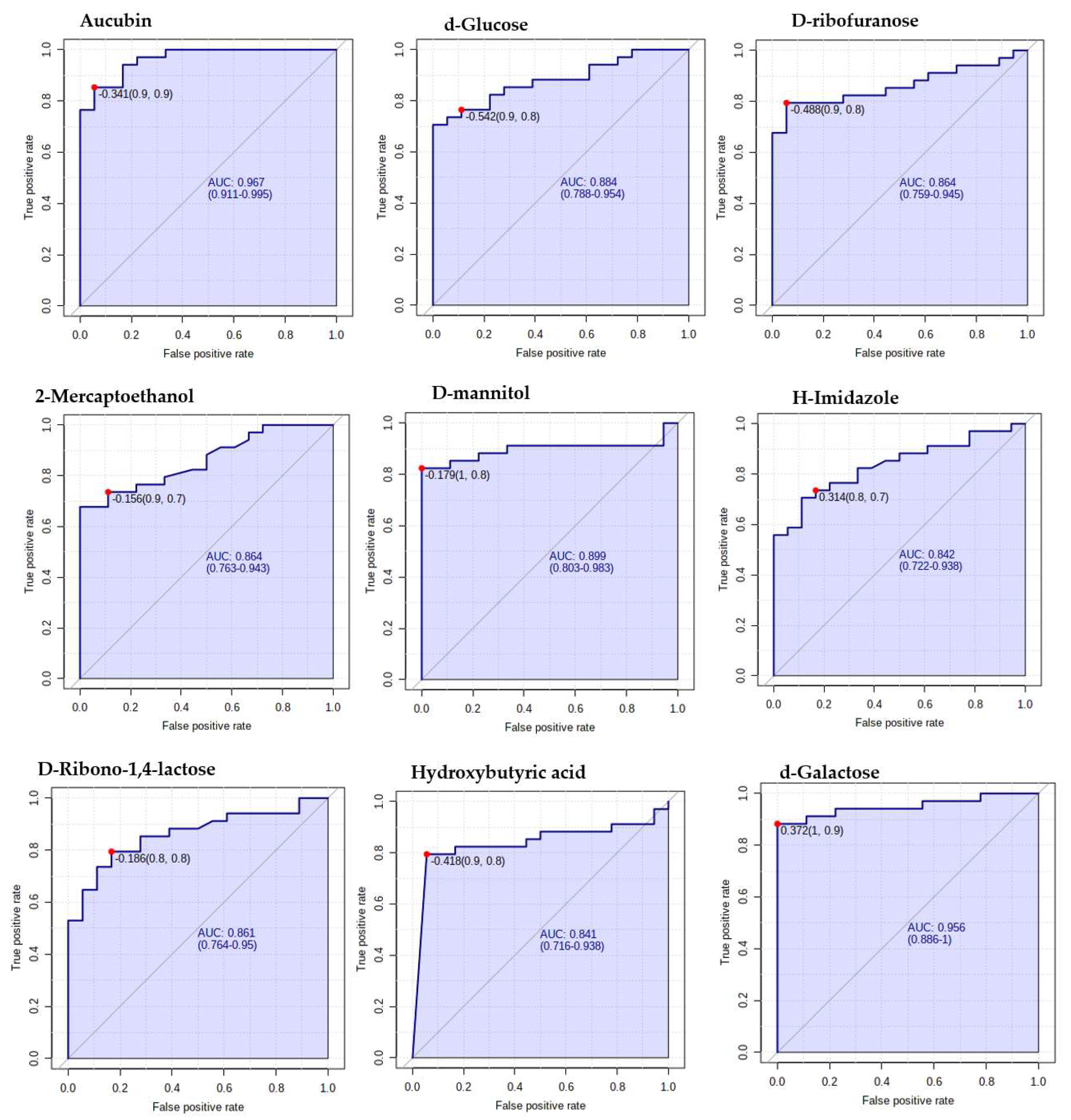
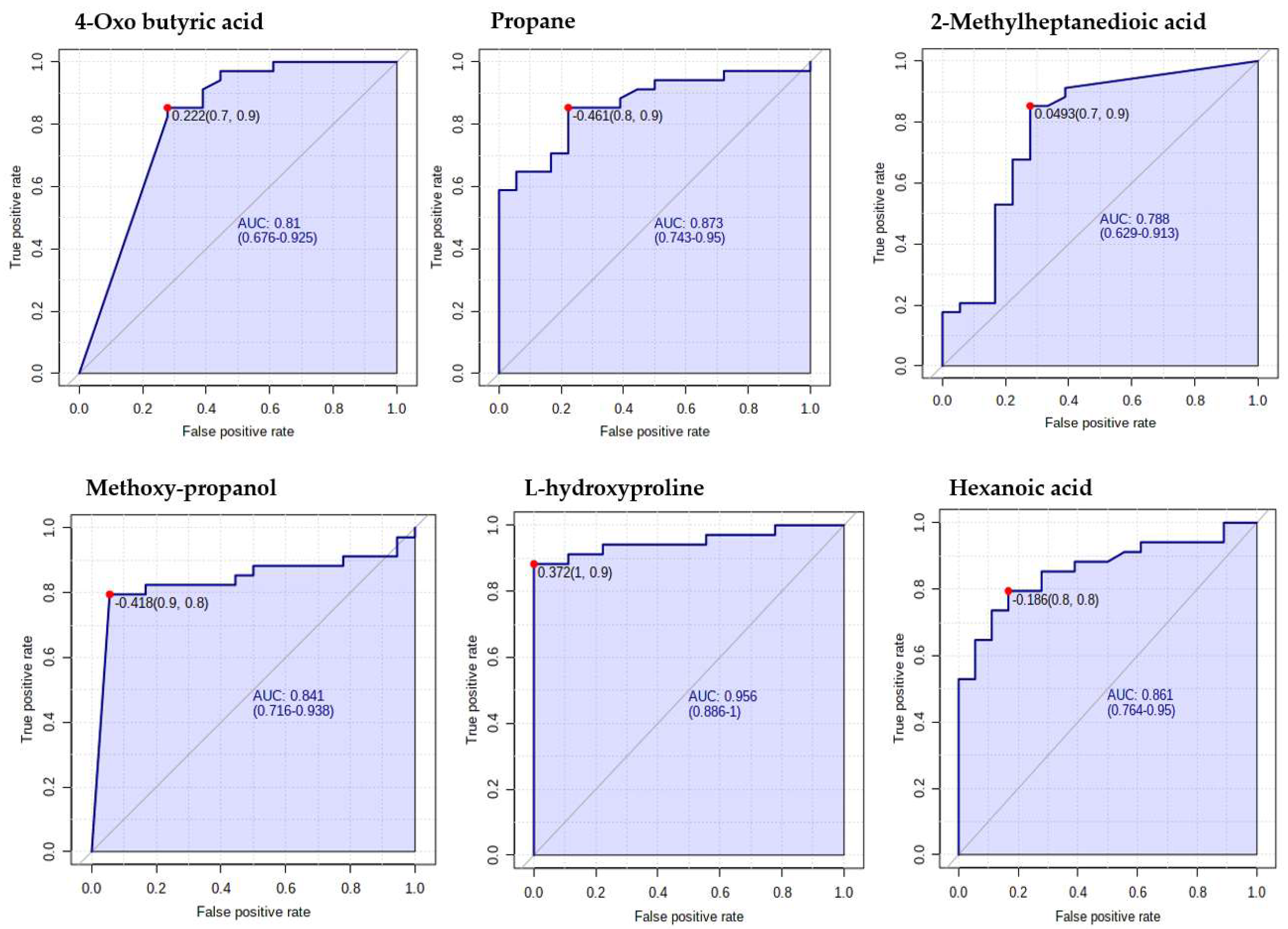
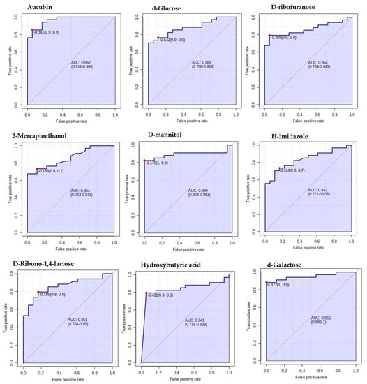
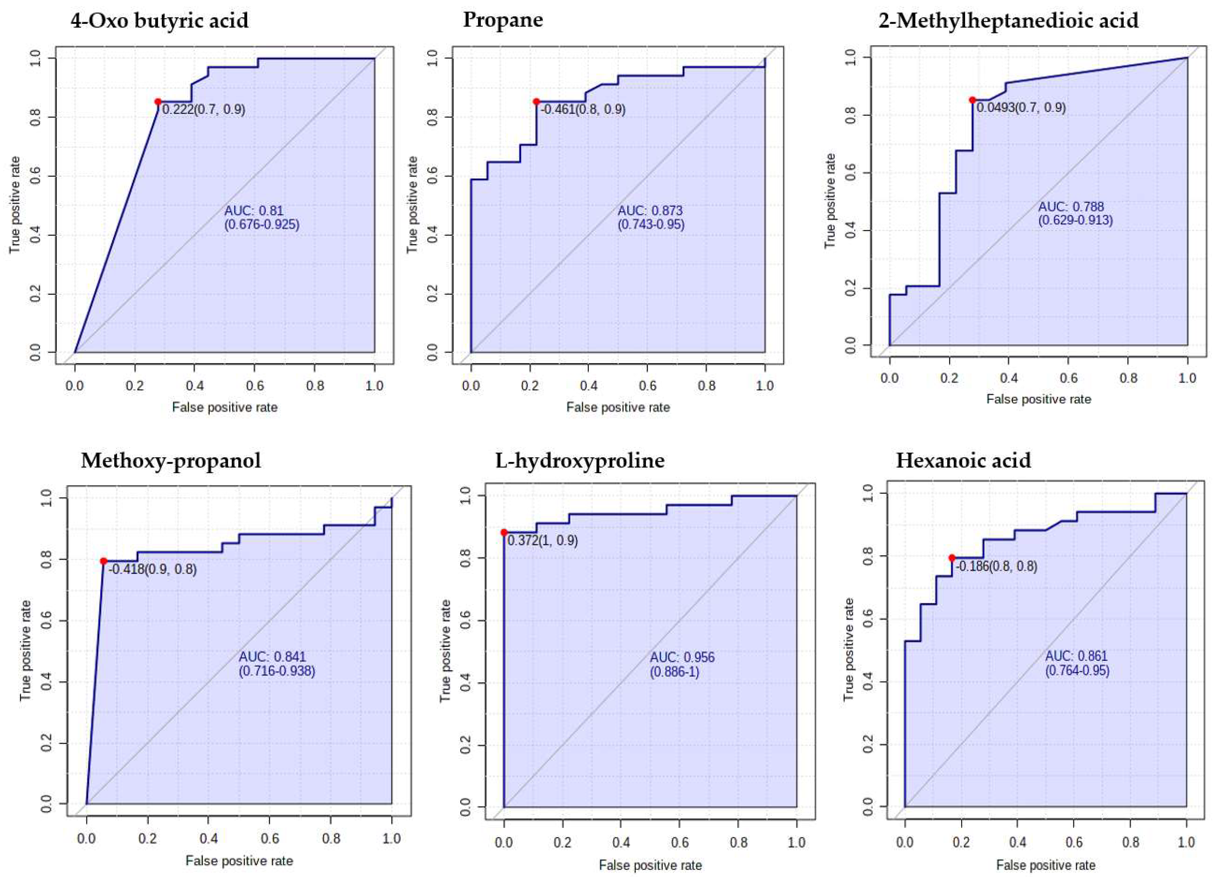
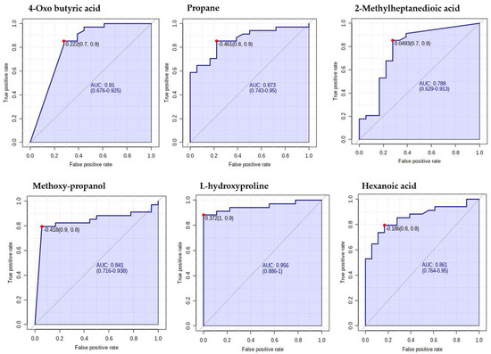
2.5. Potential Biomarker Verification
3. Discussion
4. Methods and Materials
4.1. Experimental Design
4.2. Induction of Type 2 Diabetes Mellitus
4.3. Terminal Studies
4.4. Analysis of Serum Samples
4.5. Untargeted GCxGC-TOFMS Approach
4.5.1. GCxGC-TOFMS Analysis
4.5.2. Peak Identification
4.6. Data Clean-Up
4.7. Metabolic Biomarker Discovery and Pathway Analysis
4.8. Statistical Analysis
5. Conclusions and Recommendations
Supplementary Materials
Author Contributions
Funding
Institutional Review Board Statement
Informed Consent Statement
Data Availability Statement
Acknowledgments
Conflicts of Interest
References
- Al-Daghri, N.M.; Al-Attas, O.S.; Alokail, M.S.; Alkharfy, K.M.; Yousef, M.; Sabico, S.L.; Chrousos, G.P. Diabetes mellitus type 2 and other chronic non-communicable diseases in the central region, Saudi Arabia (Riyadh cohort 2): A decade of an epidemic. BMC Med. 2011, 9, 76. [Google Scholar] [CrossRef]
- Guasch-Ferré, M.; Hruby, A.; Toledo, E.; Clish, C.B.; Martínez-González, M.A.; Salas-Salvadó, J.; Hu, F.B. Metabolomics in prediabetes and diabetes: A systematic review and meta-analysis. Diabetes Care 2016, 39, 833–846. [Google Scholar] [CrossRef] [PubMed]
- Cho, N.H.; Shaw, J.; Karuranga, S.; Huang, Y.; da Rocha Fernandes, J.; Ohlrogge, A.; Malanda, B. IDF Diabetes Atlas: Global estimates of diabetes prevalence for 2017 and projections for 2045. Diabetes Res. Clin. Pract. 2018, 138, 271–281. [Google Scholar] [CrossRef] [PubMed]
- Ma, Q.; Li, Y.; Wang, M.; Tang, Z.; Wang, T.; Liu, C.; Wang, C.; Zhao, B. Progress in metabonomics of type 2 diabetes mellitus. Molecules 2018, 23, 1834. [Google Scholar] [CrossRef] [PubMed]
- Lin, X.; Xu, Y.; Pan, X.; Xu, J.; Ding, Y.; Sun, X.; Song, X.; Ren, Y.; Shan, P.-F. Global, regional, and national burden and trend of diabetes in 195 countries and territories: An analysis from 1990 to 2025. Sci. Rep. 2020, 10, 14790. [Google Scholar] [CrossRef] [PubMed]
- Lucio, M.; Fekete, A.; Weigert, C.; Wägele, B.; Zhao, X.; Chen, J.; Fritsche, A.; Häring, H.-U.; Schleicher, E.D.; Xu, G. Insulin sensitivity is reflected by characteristic metabolic fingerprints—A Fourier transform mass spectrometric non-targeted metabolomics approach. PLoS ONE 2010, 5, e13317. [Google Scholar] [CrossRef] [PubMed]
- Hu, F.B.; Satija, A.; Manson, J.E. Curbing the diabetes pandemic: The need for global policy solutions. JAMA 2015, 313, 2319–2320. [Google Scholar] [CrossRef]
- Zheng, Y.; Ley, S.H.; Hu, F.B. Global aetiology and epidemiology of type 2 diabetes mellitus and its complications. Nat. Rev. Endocrinol. 2018, 14, 88–98. [Google Scholar] [CrossRef]
- Smyth, S.; Heron, A. Diabetes and obesity: The twin epidemics. Nat. Med. 2006, 12, 75–80. [Google Scholar] [CrossRef]
- Scott, A.; Toomath, R.; Bouchier, D.; Bruce, R.; Crook, N.; Carroll, D.; Cutfield, R.; Dixon, P.; Doran, J.; Dunn, P. First national audit of the outcomes of care in young people with diabetes in New Zealand: High prevalence of nephropathy in Maori and Pacific Islanders. N. Z. Med. J. 2006, 119, 1235. [Google Scholar]
- Klein, M.S.; Shearer, J. Metabolomics and type 2 diabetes: Translating basic research into clinical application. J. Diabetes Res. 2016, 2016, 3898502. [Google Scholar] [CrossRef] [PubMed]
- Arneth, B.; Arneth, R.; Shams, M. Metabolomics of type 1 and type 2 diabetes. Int. J. Mol. Sci. 2019, 20, 2467. [Google Scholar] [CrossRef]
- Carson, A.P.; Reynolds, K.; Fonseca, V.A.; Muntner, P. Comparison of A1C and fasting glucose criteria to diagnose diabetes among US adults. Diabetes Care 2010, 33, 95–97. [Google Scholar] [CrossRef]
- Rhee, E.P.; Cheng, S.; Larson, M.G.; Walford, G.A.; Lewis, G.D.; McCabe, E.; Yang, E.; Farrell, L.; Fox, C.S.; O’Donnell, C.J.; et al. Lipid profiling identifies a triacylglycerol signature of insulin resistance and improves diabetes prediction in humans. J. Clin. Investig. 2011, 121, 1402–1411. [Google Scholar] [CrossRef] [PubMed]
- Würtz, P.; Soininen, P.; Kangas, A.J.; Rönnemaa, T.; Lehtimäki, T.; Kähönen, M.; Viikari, J.S.; Raitakari, O.T.; Ala-Korpela, M. Branched-chain and aromatic amino acids are predictors of insulin resistance in young adults. Diabetes Care 2013, 36, 648–655. [Google Scholar] [CrossRef] [PubMed]
- Utpott, M.; Rodrigues, E.; de Oliveira Rios, A.; Mercali, G.D.; Flôres, S.H. Metabolomics: An analytical technique for food processing evaluation. Food Chem. 2022, 366, 130685. [Google Scholar] [CrossRef]
- Ahluwalia, T.S.; Kilpeläinen, T.O.; Singh, S.; Rossing, P. Novel biomarkers for type 2 diabetes. Front. Endocrinol. 2019, 10, 649. [Google Scholar] [CrossRef]
- Roberts, L.D.; Koulman, A.; Griffin, J.L. Towards metabolic biomarkers of insulin resistance and type 2 diabetes: Progress from the metabolome. Lancet Diabetes Endocrinol. 2014, 2, 65–75. [Google Scholar] [CrossRef]
- Long, J.; Yang, Z.; Wang, L.; Han, Y.; Peng, C.; Yan, C.; Yan, D. Metabolite biomarkers of type 2 diabetes mellitus and pre-diabetes: A systematic review and meta-analysis. BMC Endocr. Disord. 2020, 20, 174. [Google Scholar] [CrossRef]
- Tousoulis, D.; Papageorgiou, N.; Androulakis, E.; Siasos, G.; Latsios, G.; Tentolouris, K.; Stefanadis, C. Diabetes mellitus-associated vascular impairment: Novel circulating biomarkers and therapeutic approaches. J. Am. Coll. Cardiol. 2013, 62, 667–676. [Google Scholar] [CrossRef]
- Park, K.S. An overview on anti-inflammatory activities of Aucubin. Int. J. Herb. Med. 2020, 8, 45–48. [Google Scholar]
- Jin, L.; Xue, H.-Y.; Jin, L.-J.; Li, S.-Y.; Xu, Y.-P. Antioxidant and pancreas-protective effect of aucubin on rats with streptozotocin-induced diabetes. Eur. J. Pharmacol. 2008, 582, 162–167. [Google Scholar] [CrossRef]
- Pari, L.; Murugan, P. Effect of tetrahydrocurcumin on blood glucose, plasma insulin and hepatic key enzymes in streptozotocin induced diabetic rats. J. Basic Clin. Physiol. Pharmacol. 2005, 16, 257–274. [Google Scholar] [CrossRef]
- Calle, M.; Fernandez, M. Inflammation and type 2 diabetes. Diabetes Metab. 2012, 38, 183–191. [Google Scholar] [CrossRef] [PubMed]
- Su, T.; He, R. D-ribose, an overlooked player in type 2 diabetes mellitus? Sci. China Life Sci. 2014, 57, 361. [Google Scholar] [CrossRef]
- Su, T.; Xin, L.; He, Y.-G.; Wei, Y.; Song, Y.-X.; Li, W.-W.; Wang, X.-M.; Heo, R.-Q. The abnormally high level of uric D-ribose for type-2 diabetics. Prog. Biochem. Biophys. 2013, 40, 816–825. [Google Scholar]
- Han, C.; Lu, Y.; Wei, Y.; Liu, Y.; He, R. D-ribose induces cellular protein glycation and impairs mouse spatial cognition. PLoS ONE 2011, 6, e24623. [Google Scholar] [CrossRef] [PubMed]
- Patra, K.C.; Hay, N. The pentose phosphate pathway and cancer. Trends Biochem. Sci. 2014, 39, 347–354. [Google Scholar] [CrossRef]
- Ge, T.; Yang, J.; Zhou, S.; Wang, Y.; Li, Y.; Tong, X. The role of the pentose phosphate pathway in diabetes and cancer. Front. Endocrinol. 2020, 11, 365. [Google Scholar] [CrossRef]
- Saltiel, A.R.; Olefsky, J.M. Inflammatory mechanisms linking obesity and metabolic disease. J. Clin. Investig. 2017, 127, 1–4. [Google Scholar] [CrossRef]
- Cho, E.S.; Cha, Y.H.; Kim, H.S.; Kim, N.H.; Yook, J.I. The pentose phosphate pathway as a potential target for cancer therapy. Biomol. Ther. 2018, 26, 29. [Google Scholar] [CrossRef] [PubMed]
- Gannon, M.; Khan, M.; Nuttall, F. Glucose appearance rate after the ingestion of galactose. Metab. Clin. Exp. 2001, 50, 93–98. [Google Scholar] [CrossRef][Green Version]
- Hanafy, M.M.; Lindeque, J.Z.; El-Maraghy, S.A.; Abdel-Hamid, A.H.Z.; Shahin, N.N. Time-based investigation of urinary metabolic markers for Type 2 diabetes: Metabolomics approach for diabetes management. BioFactors 2021, 47, 645–657. [Google Scholar] [CrossRef] [PubMed]
- Conte, F.; van Buuringen, N.; Voermans, N.C.; Lefeber, D.J. Galactose in human metabolism, glycosylation and congenital metabolic diseases: Time for a closer look. Biochim. Biophys. Acta (BBA) Gen. Subj. 2021, 1865, 129898. [Google Scholar] [CrossRef] [PubMed]
- Vangipurapu, J.; Stancáková, A.; Smith, U.; Kuusisto, J.; Laakso, M. Nine amino acids are associated with decreased insulin secretion and elevated glucose levels in a 7.4-year follow-up study of 5,181 Finnish men. Diabetes 2019, 68, 1353–1358. [Google Scholar] [CrossRef]
- Charles, S.; Henquin, J.-C. Distinct effects of various amino acids on 45Ca2+ fluxes in rat pancreatic islets. Biochem. J. 1983, 214, 899–907. [Google Scholar] [CrossRef]
- Newsholme, P.; Brennan, L.; Bender, K. Amino acid metabolism, β-cell function, and diabetes. Diabetes 2006, 55, S39–S47. [Google Scholar] [CrossRef]
- Jafari-Vayghan, H.; Varshosaz, P.; Hajizadeh-Sharafabad, F.; Razmi, H.R.; Amirpour, M.; Tavakoli-Rouzbehani, O.M.; Alizadeh, M.; Maleki, V. A comprehensive insight into the effect of glutamine supplementation on metabolic variables in diabetes mellitus: A systematic review. Nutr. Metab. 2020, 17, 80. [Google Scholar] [CrossRef]
- Badole, S.L.; Chaudhari, S.M.; Bagul, P.P.; Mahamuni, S.P.; Khose, R.D.; Joshi, A.C.; Raut, C.G.; Zanwar, A.A. Effect of concomitant administration of L-glutamine and cycloart-23-ene-3β, 25-diol (B2) with Sitagliptin in GLP-1 (7–36) amide secretion, biochemical and oxidative stress in streptozotocin-nicotinamide induced diabetic Sprague Dawley rats. PLoS ONE 2013, 8, e72817. [Google Scholar] [CrossRef]
- Medras, Z.J.; El-Sayed, N.M.; Zaitone, S.A.; Toraih, E.A.; Sami, M.M.; Moustafa, Y.M. Glutamine up-regulates pancreatic sodium-dependent neutral aminoacid transporter-2 and mitigates islets apoptosis in diabetic rats. Pharmacol. Rep. 2018, 70, 233–242. [Google Scholar] [CrossRef]
- Davì, G.; Falco, A.; Patrono, C. Lipid peroxidation in diabetes mellitus. Antioxid. Redox Signal. 2005, 7, 256–268. [Google Scholar] [CrossRef]
- Yan-Do, R.; MacDonald, P.E. Impaired “glycine”-mia in type 2 diabetes and potential mechanisms contributing to glucose homeostasis. Endocrinology 2017, 158, 1064–1073. [Google Scholar] [CrossRef]
- Chen, L.; Zhang, J.; Li, C.; Wang, Z.; Li, J.; Zhao, D.; Wang, S.; Zhang, H.; Huang, Y.; Guo, X. Glycine Transporter-1 and glycine receptor mediate the antioxidant effect of glycine in diabetic rat islets and INS-1 cells. Free. Radic. Biol. Med. 2018, 123, 53–61. [Google Scholar] [CrossRef] [PubMed]
- Li, W.; Zhang, Y.; Shao, N. Protective effect of glycine in streptozotocin-induced diabetic cataract through aldose reductase inhibitory activity. Biomed. Pharmacother. 2019, 114, 108794. [Google Scholar] [CrossRef] [PubMed]
- Floegel, A.; Stefan, N.; Yu, Z.; Mühlenbruch, K.; Drogan, D.; Joost, H.-G.; Fritsche, A.; Häring, H.-U.; Hrabě de Angelis, M.; Peters, A. Identification of serum metabolites associated with risk of type 2 diabetes using a targeted metabolomic approach. Diabetes 2013, 62, 639–648. [Google Scholar] [CrossRef] [PubMed]
- Alvarado-Vásquez, N.; Zamudio, P.; Cerón, E.; Vanda, B.; Zenteno, E.; Carvajal-Sandoval, G. Effect of glycine in streptozotocin-induced diabetic rats. Comp. Biochem. Physiol. Part C Toxicol. Pharmacol. 2003, 134, 521–527. [Google Scholar] [CrossRef]
- Alvarado-Vásquez, N.; Lascurain, R.; Cerón, E.; Vanda, B.; Carvajal-Sandoval, G.; Tapia, A.; Guevara, J.; Montaño, L.F.; Zenteno, E. Oral glycine administration attenuates diabetic complications in streptozotocin-induced diabetic rats. Life Sci. 2006, 79, 225–232. [Google Scholar] [CrossRef]
- Bahmani, F.; Bathaie, S.Z.; Aldavood, S.J.; Ghahghaei, A. Glycine therapy inhibits the progression of cataract in streptozotocin-induced diabetic rats. Mol. Vis. 2012, 18, 439. [Google Scholar]
- Roy, S.; Nagabooshanam, S.; Krishna, K.; Wadhwa, S.; Chauhan, N.; Jain, U.; Kumar, R.; Mathur, A.; Davis, J. Electroanalytical sensor for diabetic foot ulcer monitoring with integrated electronics for connected health application. Electroanalysis 2020, 32, 2082–2089. [Google Scholar] [CrossRef]
- Li, Z.; Wang, F.; Liang, B.; Su, Y.; Sun, S.; Xia, S.; Shao, J.; Zhang, Z.; Hong, M.; Zhang, F.; et al. Methionine metabolism in chronic liver diseases: An update on molecular mechanism and therapeutic implication. Signal Transduct. Target. Ther. 2020, 5, 280. [Google Scholar]
- Ribas, V.; García-Ruiz, C.; Fernández-Checa, J.C. Glutathione and mitochondria. Front. Pharmacol. 2014, 5, 151. [Google Scholar] [CrossRef]
- Han, N.; Chae, J.-W.; Jeon, J.; Lee, J.; Back, H.-M.; Song, B.; Kwon, K.-I.; Kim, S.K.; Yun, H.-Y. Prediction of Methionine and Homocysteine levels in Zucker diabetic fatty (ZDF) rats as a T2DM animal model after consumption of a Methionine-rich diet. Nutr. Metab. 2018, 15, 14. [Google Scholar] [CrossRef]
- Huang, T.; Ren, J.; Huang, J.; Li, D. Association of homocysteine with type 2 diabetes: A meta-analysis implementing Mendelian randomization approach. BMC Genom. 2013, 14, 867. [Google Scholar] [CrossRef]
- Dai, S.; Thompson, K.H.; Vera, E.; McNeill, J.H. Toxicity studies on one-year treatment of non-diabetic and streptozotocin-diabetic rats with vanadyl sulphate. Pharmacol. Toxicol. 1994, 75, 265–273. [Google Scholar]
- Islam, M.S.; Wilson, R.D. TExperimentally induced rodent models of type 2 diabetes. In Animal Models in Diabetes Research; Humana Press: Totowa, NJ, USA, 2012; pp. 161–174. [Google Scholar]
- Du Preez, I.; Loots, D. New sputum metabolite markers implicating adaptations of the host to Mycobacterium tuberculosis, and vice versa. Tuberculosis 2013, 93, 330–337. [Google Scholar] [CrossRef] [PubMed]
- Alonso, A.; Marsal, S.; Julià, A. Analytical methods in untargeted metabolomics: State of the art in 2015. Front. Bioeng. Biotechnol. 2015, 3, 23. [Google Scholar] [CrossRef] [PubMed]
- Sun, G.-G.; Wang, Z.-Q.; Liu, C.-Y.; Jiang, P.; Liu, R.-D.; Wen, H.; Qi, X.; Wang, L.; Cui, J. Early serodiagnosis of trichinellosis by ELISA using excretory–secretory antigens of Trichinella spiralis adult worms. Parasites Vectors 2015, 8, 484. [Google Scholar] [CrossRef] [PubMed]










| Names | Type/Class | VIP | FC | Regulation | p-Value |
|---|---|---|---|---|---|
| Aucubin | Glycoside | 3.773 | 15.224 | Up | 4.55 × 10−11 |
| d-Glucose | Carbohydrate | 3.276 | 8.451 | Up | 8.4 × 1008 |
| d-ribofuranose | Carbohydrate | 3.124 | 3.002 | Up | 4.92 × 10−07 |
| Methoxy-propanol | Xenobiotic | 3.120 | 0.362 | Down | 5.13 × 10−07 |
| L-Hydroxy proline | Amino acid | 3.116 | 0.342 | Down | 5.36 × 10−07 |
| 2-Mercaptoethanol | Xenobiotic | 2.983 | 0.230 | Up | 2.15 × 10−06 |
| D-mannitol | Carbohydrate | 2.819 | 0.329 | Up | 1 × 10−05 |
| H-Imidazole | Organic compound | 2.796 | 3.681 | Down | 1.23 × 10−05 |
| 4-Oxo butyric acid | Fatty acid | 2.794 | 0.159 | Down | 1.25 × 10−05 |
| Propane | Xenobiotic | 2.789 | 4.880 | Up | 1.29 × 10−05 |
| Hexanoic acid | Fatty acid | 2.789 | 3.095 | Up | 1.3 × 10−05 |
| D-Ribono-1,4-lactose | Organic compounds | 2.762 | 3.294 | Up | 1.64 × 10−05 |
| Hydroxybutyric acid | Organic compounds | 2.715 | 2.591 | Up | 2.44 × 10−05 |
| d-Galactose | Carbohydrate | 2.710 | 9.277 | Up | 2.55 × 10−05 |
| 2-Methylheptanedioic acid | Organic compound | 2.665 | 3.564 | Up | 3.67 × 10−05 |
Disclaimer/Publisher’s Note: The statements, opinions and data contained in all publications are solely those of the individual author(s) and contributor(s) and not of MDPI and/or the editor(s). MDPI and/or the editor(s) disclaim responsibility for any injury to people or property resulting from any ideas, methods, instructions or products referred to in the content. |
© 2023 by the authors. Licensee MDPI, Basel, Switzerland. This article is an open access article distributed under the terms and conditions of the Creative Commons Attribution (CC BY) license (https://creativecommons.org/licenses/by/4.0/).
Share and Cite
Ndlovu, I.S.; Tshilwane, S.I.; Vosloo, A.; Chaisi, M.; Mukaratirwa, S. Metabolomics of Type 2 Diabetes Mellitus in Sprague Dawley Rats—In Search of Potential Metabolic Biomarkers. Int. J. Mol. Sci. 2023, 24, 12467. https://doi.org/10.3390/ijms241512467
Ndlovu IS, Tshilwane SI, Vosloo A, Chaisi M, Mukaratirwa S. Metabolomics of Type 2 Diabetes Mellitus in Sprague Dawley Rats—In Search of Potential Metabolic Biomarkers. International Journal of Molecular Sciences. 2023; 24(15):12467. https://doi.org/10.3390/ijms241512467
Chicago/Turabian StyleNdlovu, Innocent Siyanda, Selaelo Ivy Tshilwane, Andre Vosloo, Mamohale Chaisi, and Samson Mukaratirwa. 2023. "Metabolomics of Type 2 Diabetes Mellitus in Sprague Dawley Rats—In Search of Potential Metabolic Biomarkers" International Journal of Molecular Sciences 24, no. 15: 12467. https://doi.org/10.3390/ijms241512467
APA StyleNdlovu, I. S., Tshilwane, S. I., Vosloo, A., Chaisi, M., & Mukaratirwa, S. (2023). Metabolomics of Type 2 Diabetes Mellitus in Sprague Dawley Rats—In Search of Potential Metabolic Biomarkers. International Journal of Molecular Sciences, 24(15), 12467. https://doi.org/10.3390/ijms241512467

