Innate and Adaptive Immunity-Related Markers as Predictors of the Short-Term Progression of Subclinical Atherosclerosis in Middle-Aged Patients
Abstract
1. Introduction
2. Results
2.1. Short-Term Progression of Subclinical Atherosclerosis and Its Clinical Predictors
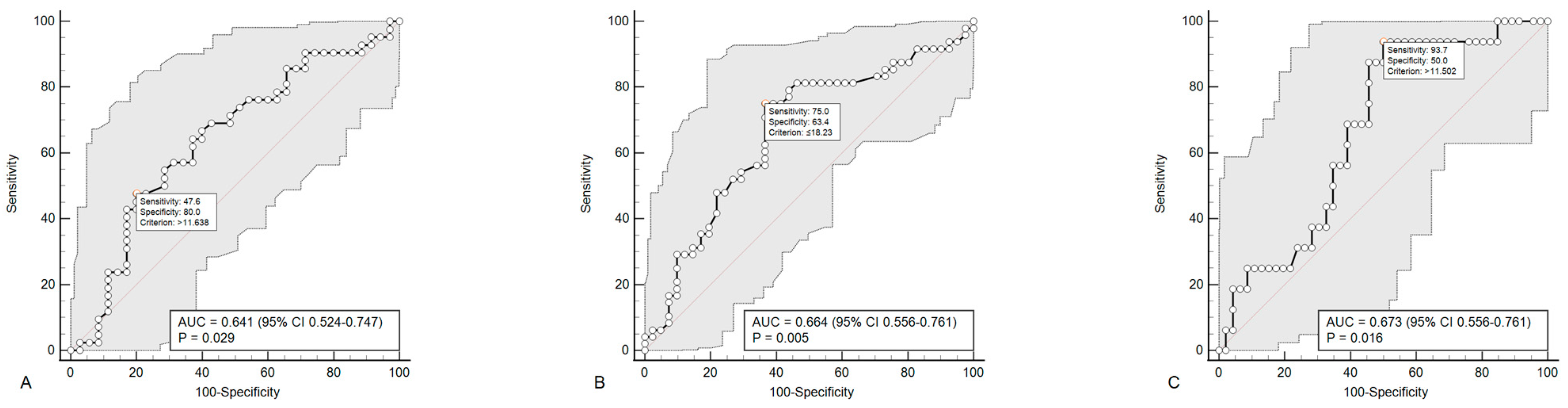
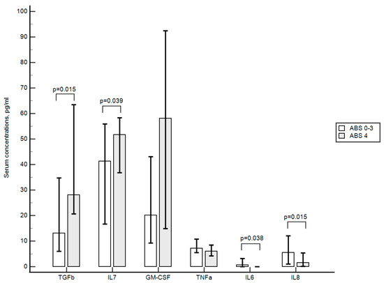
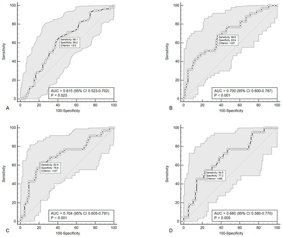
2.2. Serum Markers of Inflammation as Predictors of the Short-Term Progression of Atherosclerosis
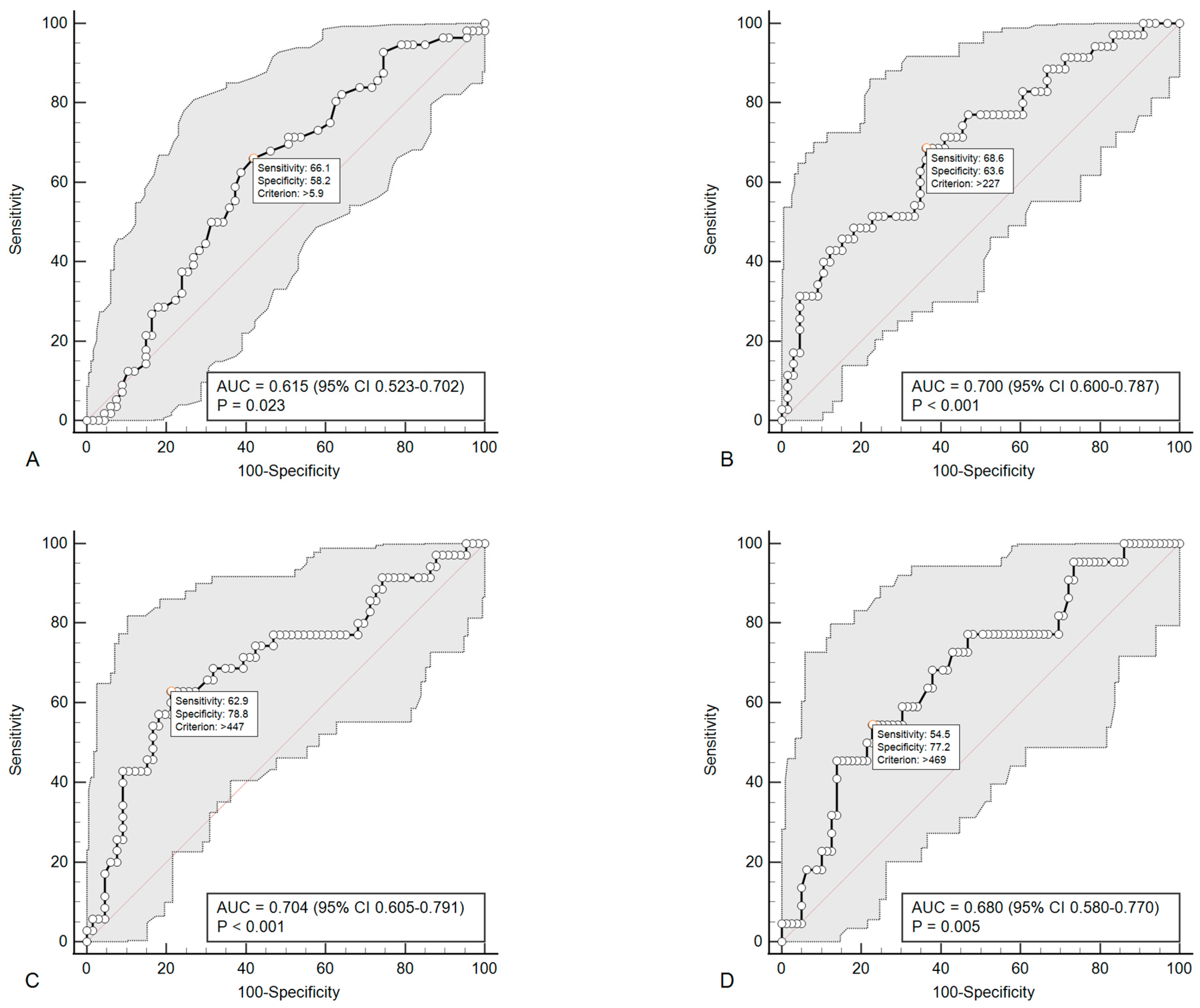
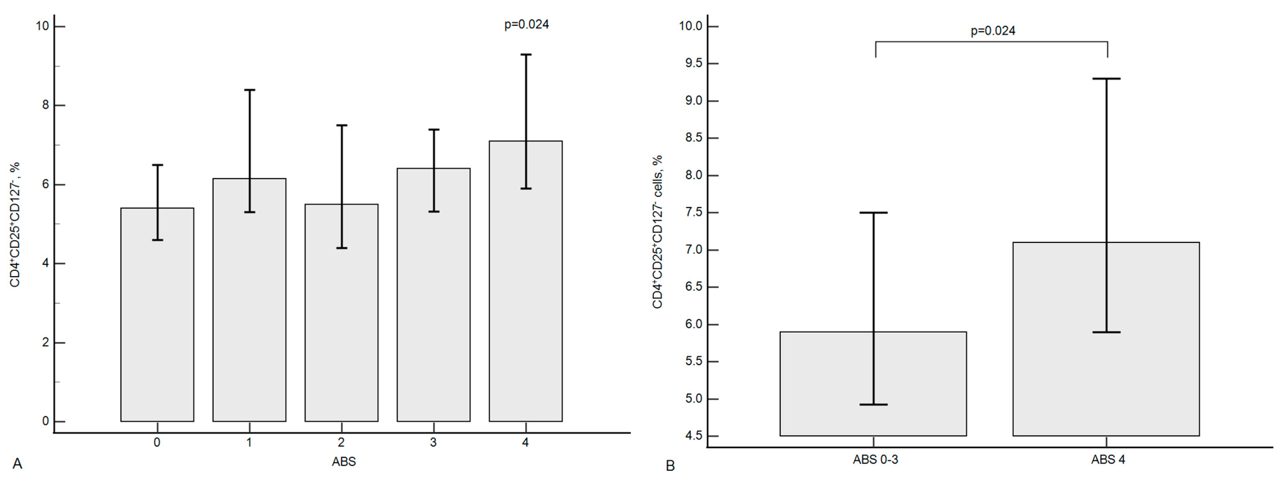
2.3. Circulating Innate and Adaptive Immune Cells as Predictors of the Short-Term Progression of Atherosclerosis
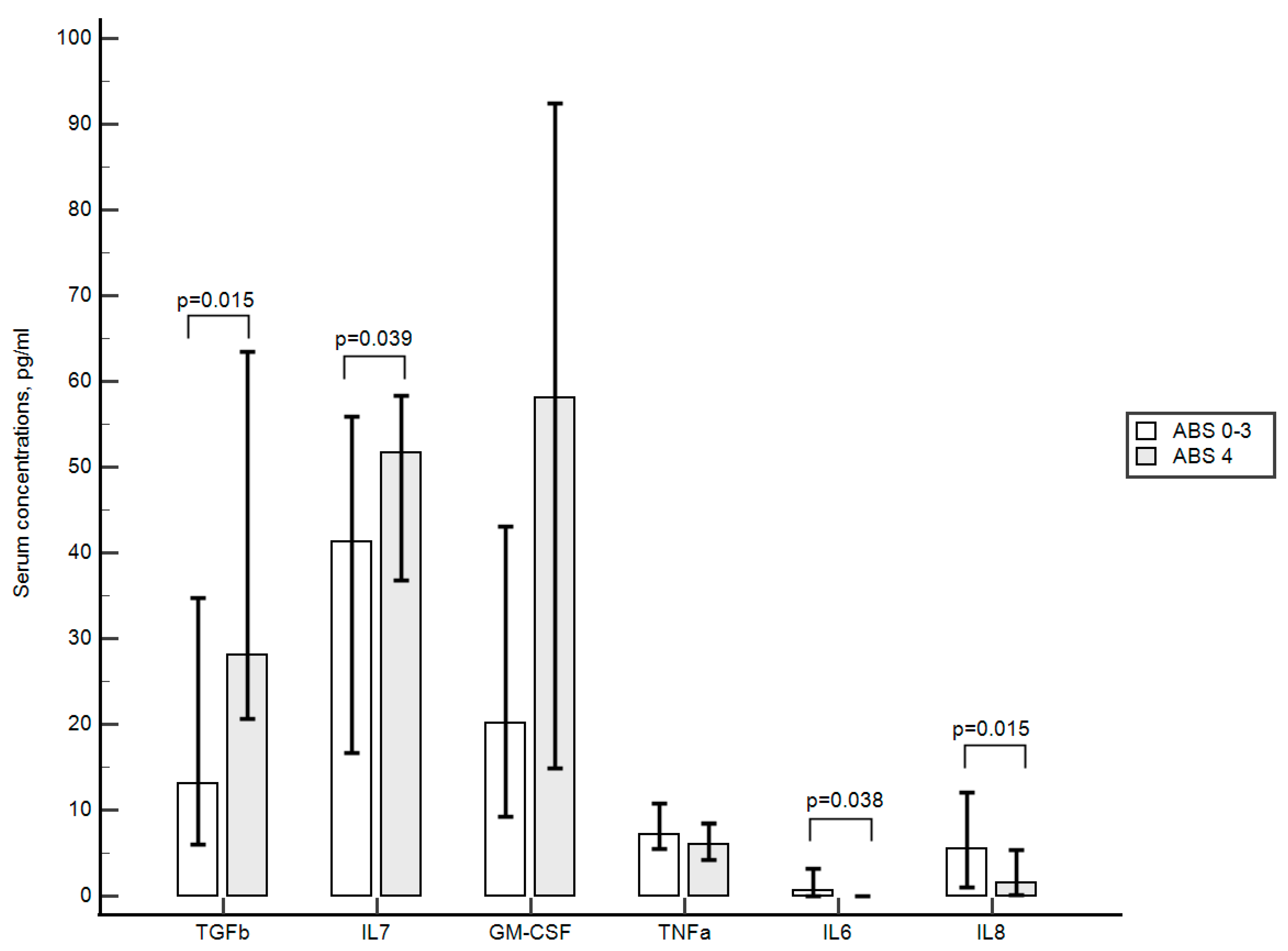
2.4. Relationships between TGFβ, T-Regulatory Lymphocytes, and TLR4-Positive Intermediate Monocytes with Other Immunity-Related Markers and Indicators of Plaque Burden
3. Discussion
4. Materials and Methods
4.1. Duplex Scanning
4.2. Laboratory Examinations
4.3. Statistical Analysis
5. Conclusions
Supplementary Materials
Author Contributions
Funding
Institutional Review Board Statement
Informed Consent Statement
Data Availability Statement
Conflicts of Interest
References
- Ahmadi, A.; Argulian, E.; Leipsic, J.; Newby, D.E.; Narula, J. From Subclinical Atherosclerosis to Plaque Progression and Acute Coronary Events: JACC State-of-the-Art Review. J. Am. Coll. Cardiol. 2019, 74, 1608–1617. [Google Scholar] [CrossRef] [PubMed]
- Romanens, M.; Sudano, I.; Adams, A.; Schober, E.A. Sonographic assessment of carotid atherosclerosis: Preferred risk indicator for future cardiovascular events? Swiss Med. Wkly. 2019, 149, w20142. [Google Scholar] [CrossRef] [PubMed]
- Saba, L.; Brinjikji, W.; Spence, J.D.; Wintermark, M.; Castillo, M.; de Borst, G.J.; Yang, Q.; Yuan, C.; Buckler, A.; Edjlali, M.; et al. Roadmap Consensus on Carotid Artery Plaque Imaging and Impact on Therapy Strategies and Guidelines: An International, Multispecialty, Expert Review and Position Statement. AJNR Am. J. Neuroradiol. 2021, 42, 1566–1575. [Google Scholar] [CrossRef] [PubMed]
- Chen, P.C.; Jeng, J.S.; Hsu, H.C.; Su, T.C.; Chien, K.L.; Lee, Y.T. Carotid Atherosclerosis Progression and Risk of Cardiovascular Events in a Community in Taiwan. Sci. Rep. 2016, 12, 25733. [Google Scholar] [CrossRef]
- Lim, E.Y.; Cho, A.H. Dynamic Changes of Carotid Atherosclerosis and Their Relation with Stroke Recurrence in Patients with Stroke or Transient Ischemic Attack. Curr. Neurovasc. Res. 2022, 19, 303–310. [Google Scholar]
- Truong, R.; Thankam, F.G.; Agrawal, D.K. Immunological mechanisms underlying sterile inflammation in the pathogenesis of atherosclerosis: Potential sites for intervention. Expert. Rev. Clin. Immunol. 2021, 17, 37–50. [Google Scholar] [CrossRef]
- Malekmohammad, K.; Bezsonov, E.E.; Rafieian-Kopaei, M. Role of Lipid Accumulation and Inflammation in Atherosclerosis: Focus on Molecular and Cellular Mechanisms. Front. Cardiovasc. Med. 2021, 8, 707529. [Google Scholar] [CrossRef]
- Mehu, M.; Narasimhulu, C.A.; Singla, D.K. Inflammatory Cells in Atherosclerosis. Antioxidants 2022, 11, 233. [Google Scholar] [CrossRef]
- Song, B.; Bie, Y.; Feng, H.; Xie, B.; Liu, M.; Zhao, F. Inflammatory Factors Driving Atherosclerotic Plaque Progression New Insights. J. Transl. Int. Med. 2022, 10, 36–47. [Google Scholar] [CrossRef]
- Libby, P.; Hansson, G.K. From Focal Lipid Storage to Systemic Inflammation: JACC Review Topic of the Week. J. Am. Coll. Cardiol. 2019, 74, 1594–1607. [Google Scholar] [CrossRef]
- Bonacina, F.; Di Costanzo, A.; Genkel, V.; Kong, X.Y.; Kroon, J.; Stimjanin, E.; Tsiantoulas, D.; Grootaert, M.O. The heterogeneous cellular landscape of atherosclerosis: Implications for future research and therapies. A collaborative review from the EAS young fellows. Atherosclerosis 2023, 372, 48–56. [Google Scholar] [CrossRef]
- Sauter, M.; Langer, H.F. Targeting Cell-Specific Molecular Mechanisms of Innate Immunity in Atherosclerosis. Front. Physiol. 2022, 13, 802990. [Google Scholar] [CrossRef] [PubMed]
- Eberhardt, N.; Giannarelli, C. How Single-Cell Technologies Have Provided New Insights Into Atherosclerosis. Arterioscler. Thromb. Vasc. Biol. 2022, 42, 243–252. [Google Scholar] [CrossRef] [PubMed]
- Xiong, J.; Li, Z.; Tang, H.; Duan, Y.; Ban, X.; Xu, K.; Guo, Y.; Tu, Y. Bulk and single-cell characterisation of the immune heterogeneity of atherosclerosis identifies novel targets for immunotherapy. BMC Biol. 2023, 21, 46. [Google Scholar] [CrossRef] [PubMed]
- Baumer, Y.; Gutierrez-Huerta, C.A.; Saxena, A.; Dagur, P.K.; Langerman, S.D.; Tamura, K.; Ceasar, J.N.; Andrews, M.R.; Mitchell, V.; Collins, B.S.; et al. Immune cell phenotyping in low blood volumes for assessment of cardiovascular disease risk, development, and progression: A pilot study. J. Transl. Med. 2020, 18, 29. [Google Scholar] [CrossRef] [PubMed]
- Lee, S.; Bartlett, B.; Dwivedi, G. Adaptive Immune Responses in Human Atherosclerosis. Int. J. Mol. Sci. 2020, 7, 21–32. [Google Scholar] [CrossRef]
- Mach, F.; Baigent, C.; Catapano, A.L.; Koskinas, K.C.; Casula, M.; Badimon, L.; Chapman, M.J.; De Backer, G.G.; Delgado, V.; Ference, B.A.; et al. 2019 ESC/EAS Guidelines for the management of dyslipidaemias: Lipid modification to reduce cardiovascular risk. Eur. Heart J. 2020, 41, 111–188. [Google Scholar] [PubMed]
- Ibanez, B.; Fernández-Ortiz, A.; Fernández-Friera, L.; García-Lunar, I.; Andrés, V.; Fuster, V. Progression of Early Subclinical Atherosclerosis (PESA) Study: JACC Focus Seminar 7/8. J. Am. Coll. Cardiol. 2021, 78, 156–179. [Google Scholar]
- Gollmer, J.; Zirlik, A. Identifying leukocyte phenotypes by scRNA-seq to predict cardiovascular risk. Nat. Rev. Cardiol. 2023, 20, 439–440. [Google Scholar] [CrossRef]
- Abplanalp, W.T.; Tucker, N.; Dimmeler, S. Single-cell technologies to decipher cardiovascular diseases. Eur. Heart J. 2022, 43, 4536–4547. [Google Scholar] [CrossRef]
- Liu, C.; Li, C. C-reactive protein and cardiovascular diseases: A synthesis of studies based on different designs. Eur. J. Prev. Cardiol. 2023, zwad116. [Google Scholar] [CrossRef]
- Wildgruber, M.; Aschenbrenner, T.; Wendorff, H.; Czubba, M.; Glinzer, A.; Haller, B.; Schiemann, M.; Zimmermann, A.; Berger, H.; Eckstein, H.H.; et al. The “Intermediate” CD14++CD16+ monocyte subset increases in severe peripheral artery disease in humans. Sci. Rep. 2016, 6, 39483. [Google Scholar] [CrossRef]
- Ożańska, A.; Szymczak, D.; Rybka, J. Pattern of human monocyte subpopulations in health and disease. Scand. J. Immunol. 2020, 92, e12883. [Google Scholar] [CrossRef]
- Regal-McDonald, K.; Patel, R.P. Selective Recruitment of Monocyte Subsets by Endothelial N-Glycans. Am. J. Pathol. 2020, 190, 947–957. [Google Scholar] [CrossRef] [PubMed]
- Wildgruber, M.; Czubba, M.; Aschenbrenner, T.; Wendorff, H.; Hapfelmeier, A.; Glinzer, A.; Schiemann, M.; Zimmermann, A.; Eckstein, H.H.; Berger, H.; et al. Increased intermediate CD14++CD16++ monocyte subset levels associate with restenosis after peripheral percutaneous transluminal angioplasty. Atherosclerosis 2016, 253, 128–134. [Google Scholar] [CrossRef]
- Afanasieva, O.I.; Filatova, A.Y.; Arefieva, T.I.; Klesareva, E.A.; Tyurina, A.V.; Radyukhina, N.V.; Ezhov, M.V.; Pokrovsky, S.N. The Association of Lipoprotein(a) and Circulating Monocyte Subsets with Severe Coronary Atherosclerosis. J. Cardiovasc. Dev. Dis. 2021, 8, 63. [Google Scholar] [CrossRef]
- Simonetta, F.; Gestermann, N.; Martinet, K.Z.; Boniotto, M.; Tissières, P.; Seddon, B.; Bourgeois, C. Interleukin-7 influences FOXP3+CD4+ regulatory T cells peripheral homeostasis. PLoS ONE 2012, 7, e36596. [Google Scholar] [CrossRef] [PubMed]
- Yang, K. Regulation of Treg Cell Metabolism and Function in Non-Lymphoid Tissues. Front. Immunol. 2022, 13, 909705. [Google Scholar] [CrossRef]
- Turner, J.A.; Stephen-Victor, E.; Wang, S.; Rivas, M.N.; Abdel-Gadir, A.; Harb, H.; Cui, Y.; Fanny, M.; Charbonnier, L.M.; Fong, J.J.H.; et al. Regulatory T Cell-Derived TGF-β1 Controls Multiple Checkpoints Governing Allergy and Autoimmunity. Immunity 2020, 53, 1202–1214. [Google Scholar] [CrossRef] [PubMed]
- Liu, S.; Zhang, C.; Wang, B.; Zhang, H.; Qin, G.; Li, C.; Cao, L.; Gao, Q.; Ping, Y.; Zhang, K.; et al. Regulatory T cells promote glioma cell stemness through TGF-β–NF-κB–IL6–STAT3 signaling. Cancer Immunol. Immunother. 2021, 70, 2601–2616. [Google Scholar] [CrossRef]
- Horibe, K.; Hara, M.; Nakamura, H. M2-like macrophage infiltration and transforming growth factor-β secretion during socket healing process in mice. Arch. Oral. Biol. 2021, 123, 105042. [Google Scholar] [CrossRef] [PubMed]
- Wiegertjes, R.; van Caam, A.; van Beuningen, H.; Koenders, M.; van Lent, P.; van der Kraan, P.; van de Loo, F.; Blaney Davidson, E. TGF-β dampens IL-6 signaling in articular chondrocytes by decreasing IL-6 receptor expression. Osteoarthr. Cartil. 2019, 27, 1197–1207. [Google Scholar] [CrossRef]
- Franceschi, C.; Garagnani, P.; Parini, P.; Giuliani, C.; Santoro, A. Inflammaging: A new immune–metabolic viewpoint for age-related diseases. Nat. Rev. Endocrinol. 2018, 14, 576–590. [Google Scholar] [CrossRef] [PubMed]
- Giunta, S.; Wei, Y.; Xu, K.; Xia, S. Cold-inflammaging: When a state of homeostatic-imbalance associated with aging precedes the low-grade pro-inflammatory-state (inflammaging): Meaning, evolution, inflammaging phenotypes. Clin. Exp. Pharmacol. Physiol. 2022, 49, 925–934. [Google Scholar] [CrossRef]
- Nguyen, V.; Mendelsohn, A.; Larrick, J.W. Interleukin-7 and Immunosenescence. J. Immunol. Res. 2017, 2017, 4807853. [Google Scholar] [CrossRef]
- Dooms, H. Interleukin-7: Fuel for the autoimmune attack. J. Autoimmun. 2013, 45, 40–48. [Google Scholar] [CrossRef]
- Kimura, M.Y.; Pobezinsky, L.A.; Guinter, T.I.; Thomas, J.; Adams, A.; Park, J.H.; Tai, X.; Singer, A. IL-7 signaling must be intermittent, not continuous, during CD8+ T cell homeostasis to promote cell survival instead of cell death. Nat. Immunol. 2013, 14, 143–151. [Google Scholar] [CrossRef] [PubMed]
- Furman, D.; Campisi, J.; Verdin, E.; Carrera-Bastos, P.; Targ, S.; Franceschi, C.; Ferrucci, L.; Gilroy, D.W.; Fasano, A.; Miller, G.W.; et al. Chronic inflammation in the etiology of disease across the life span. Nat. Med. 2019, 25, 1822–1832. [Google Scholar] [CrossRef]
- Elyahu, Y.; Hekselman, I.; Eizenberg-Magar, I.; Berner, O.; Strominger, I.; Schiller, M.; Mittal, K.; Nemirovsky, A.; Eremenko, E.; Vital, A.; et al. Aging promotes reorganization of the CD4 T cell landscape toward extreme regulatory and effector phenotypes. Sci. Adv. 2019, 5, eaaw8330. [Google Scholar] [CrossRef]
- Darrigues, J.; van Meerwijk, J.P.M.; Romagnoli, P. Age-Dependent Changes in Regulatory T Lymphocyte Development and Function: A Mini-Review. Gerontology 2018, 64, 28–35. [Google Scholar] [CrossRef] [PubMed]
- Hou, P.F.; Zhu, L.J.; Chen, X.Y.; Qiu, Z.Q. Age-related changes in CD4+CD25+FOXP3+ regulatory T cells and their relationship with lung cancer. PLoS ONE 2017, 12, e0173048. [Google Scholar] [CrossRef]
- Liu, Z.; Liang, Q.; Ren, Y.; Guo, C.; Ge, X.; Wang, L.; Cheng, Q.; Luo, P.; Zhang, Y.; Han, X. Immunosenescence: Molecular mechanisms and diseases. Signal Transduct. Target. Ther. 2023, 8, 200. [Google Scholar] [CrossRef] [PubMed]
- Ren, L.L.; Miao, H.; Wang, Y.N.; Liu, F.; Li, P.; Zhao, Y.Y. TGF-β as A Master Regulator of Aging-Associated Tissue Fibrosis. Aging Dis. 2023. [Google Scholar] [CrossRef] [PubMed]
- Teissier, T.; Boulanger, E.; Cox, L.S. Interconnections between Inflammageing and Immunosenescence during Ageing. Cells 2022, 11, 359. [Google Scholar] [CrossRef]
- Salminen, A. Immunosuppressive network promotes immunosenescence associated with aging and chronic inflammatory conditions. J. Mol. Med. 2021, 99, 1553–1569. [Google Scholar] [CrossRef]
- Saba, L.; Jamthikar, A.; Gupta, D.; Khanna, N.N.; Viskovic, K.; Suri, H.S.; Gupta, A.; Mavrogeni, S.; Turk, M.; Laird, J.R.; et al. Global perspective on carotid intima-media thickness and plaque: Should the current measurement guidelines be revisited? Int. Angiol. 2019, 38, 451–465. [Google Scholar] [CrossRef]
- Koulouri, A.; Darioli, R.; Dine Qanadli, S.; Katz, E.; Eeckhout, E.; Mazzolai, L.; Depairon, M. The atherosclerosis burden score. Vasa 2021, 50, 280–285. [Google Scholar] [CrossRef]
- Genkel, V.V.; Kuznetsova, A.S.; Sumerkina, V.S.; Salashenko, A.O.; Shaposhnik, I.I. The prognostic value of various carotid ultrasound parameters in patients at high and very high cardiovascular risk. Int. J. Cardiol. 2019, 292, 225–229. [Google Scholar] [CrossRef]
- Kuznetsova, A.; Dolgushina, A.; Savochkina, A.; Pykhova, L.; Sumerkina, V.; Selyanina, A.; Kudrinskaya, Y.; Genkel, V. Liver Stiffness Is Associated with the Burden of Carotid and Systemic Atherosclerosis in an Unorganized Cohort of Patients 40–64 Years Old. Diagnostics 2022, 12, 2336. [Google Scholar] [CrossRef]
- Školoudík, D.; Kešnerová, P.; Hrbáč, T.; Netuka, D.; Vomáčka, J.; Langová, K.; Herzig, R.; Belšan, T. Risk factors for carotid plaque progression after optimising the risk factor treatment: Substudy results of the Atherosclerotic Plaque Characteristics Associated with a Progression Rate of the Plaque and a Risk of Stroke in Patients with the carotid Bifurcation Plaque Study (ANTIQUE). Stroke Vasc. Neurol. 2022, 7, 132–139. [Google Scholar]
- Dudley, N.J. The management of error in ultrasound fetal growth monitoring. Ultrasound 2021, 29, 4–9. [Google Scholar] [CrossRef] [PubMed]




| Characteristics | Patients (n = 183) |
|---|---|
| Male, n (%)/Female, n (%) | 82 (44.8)/101 (55.2) |
| Age, years, Me (IQR) | 51.0 (45.0; 57.0) |
| BMI, kg/m2, Me (IQR) | 26.8 (23.4; 30.1) |
| Obesity, n (%) | 45 (24.7) |
| Abdominal obesity, n (%) | 96 (52.7) |
| Smoking, n (%) | 32 (17.5) |
| HTN, n (%) | 92 (50.3) |
| T2DM, n (%) | 15 (8.20) |
| CAD, n (%) | 31 (16.9) |
| β-blockers, n (%) | 37 (20.2) |
| RAAS-inhibitors, n (%) | 63 (34.4) |
| Diuretics, n (%) | 17 (9.30) |
| Statins, n (%) | 51 (27.9) |
| Antiplatelets, n (%) | 39 (21.3) |
| TC, mmol/L, Me (IQR) | 5.44 (4.65; 6.31) |
| LDL-c, mmol/L, Me (IQR) | 3.46 (2.69; 4.20) |
| HDL-c, mmol/L, Me (IQR) | 1.38 (1.16; 1.59) |
| Non-HDL-c, mmol/L, Me (IQR) | 3.98 (3.33; 4.91) |
| Triglycerides, mmol/L, Me (IQR) | 1.10 (0.83; 1.50) |
| Glucose, mmol/L, Me (IQR) | 5.36 (4.97; 5.90) |
| HbA1c, %, Me (IQR) | 5.60 (5.20; 6.05) |
| Creatinine, μmol/L, Me (IQR) | 94.0 (78.0; 107.7) |
| eGFR, ml/min/1.73 m2, Me (IQR) | 71.0 (61.7; 87.2) |
| Carotid plaque, n (%) | 128 (69.9) |
| Carotid plaque number, n (IQR) | 1.00 (0.00; 2.00) |
| Maximal carotid artery stenosis, % (IQR) | 25.0 (0.00; 33.8) |
| cTPA, mm2, Me (IQR) | 22.5 (12.5; 40.5) |
| cPS, mm, Me (IQR) | 3.00 (1.61; 4.06) |
| Lower extremity arteries plaque, n (%) | 99 (54.1) |
| Lower extremity arteries plaque number, n (IQR) | 1.00 (0.00; 2.00) |
| Total plaque number, n (IQR) | 2.00 (1.00; 4.00) |
| Maximal lower extremity artery stenosis, % (IQR) | 30.0 (0.00; 35.0) |
| Polyvascular atherosclerosis, n (%) | 82 (44.8) |
| ABS | |
| 0 | 39 (21.3) |
| 1 | 39 (21.3) |
| 2 | 48 (26.2) |
| 3 | 30 (16.4) |
| 4 | 27 (14.8) |
| Characteristics | Patients (n = 183) |
|---|---|
| hsCRP, mg/L, Me (IQR) | 1.82 (0.90; 2.75) |
| Pentraxin 3, pg/mL, Me (IQR) | 8.58 (3.88; 13.5) |
| TGFβ, pg/mL, Me (IQR) | 17.4 (6.77; 36.7) |
| GM-CSF, pg/mL, Me (IQR) | 24.5 (9.40; 54.8) |
| IL1β, pg/mL, Me (IQR) | 1.35 (0.85; 1.93) |
| IL2, pg/mL, Me (IQR) | 1.05 (0.55; 2.10) |
| IL4, pg/mL, Me (IQR) | 0.00 (0.00; 22.8) |
| IL5, pg/mL, Me (IQR) | 0.99 (0.11; 2.86) |
| IL6, pg/mL, Me (IQR) | 0.57 (0.00; 22.8) |
| IL7, pg/mL, Me (IQR) | 43.6 (18.9; 55.9) |
| IL8, pg/mL, Me (IQR) | 5.09 (0.85; 10.5) |
| IL10, pg/mL, Me (IQR) | 9.90 (4.68; 16.6) |
| IL12p70, pg/mL, Me (IQR) | 2.79 (1.54; 5.77) |
| IL13, pg/mL, Me (IQR) | 0.00 (0.00; 5.99) |
| IFNγ, pg/mL, Me (IQR) | 17.8 (12.0; 23.7) |
| TNFα, pg/mL, Me (IQR) | 7.09 (5.12; 10.4) |
| Characteristics | Patients (n = 183) | |
|---|---|---|
| Absolute Number, Cells/μL | Relative Number, % | |
| CD3+ cells | 1406.5 (1205.0; 1686.0) | 75.7 (69.1; 80.7) |
| CD19+ cells | 214.0 (167.5; 307.0) | 11.8 (9.52; 14.8) |
| CD3−CD56+ cells | 164.0 (97.0; 261.0) | 8.24 (5.43; 12.1) |
| CD3+CD4+ cells | 893.0 (728.0; 1107.0) | 48.5 (41.8; 54.8) |
| CD3+CD8+ cells | 479.0 (348.5; 655.5) | 23.8 (19.7; 29.4) |
| CD3+CD25+ cells | 47.5 (32.0; 79.5) | 2.54 (1.49; 3.92) |
| CD4+CD25+ cells | 44.0 (27.2; 81.0) | 2.22 (1.45; 4.05) |
| CD8+CD25+ cells | 3.50 (0.00; 51.0) | 0.25 (0.02; 2.16) |
| CD3+HLA-DR+ cells | 36.0 (20.0; 62.0) | 1.90 (1.10; 3.12) |
| CD4+HLA-DR+ cells | 32.5 (17.5; 58.5) | 1.75 (0.93; 2.88) |
| CD8+HLA-DR+ cells | 20.5 (5.00; 50.0) | 0.96 (0.23; 2.61) |
| CD4+CD25+CD127− cells | 115.0 (86) | 6.00 (5.00; 7.70) |
| CD3+CD11b+ cells | 92.0 (42.0; 149.0) | 4.20 (2.30; 7.50) |
| CD4+CD11b+ cells | 44.0 (12.2; 105.7) | 2.10 (0.60; 4.85) |
| CD8+CD11b+ cells | 86.0 (50.5; 169.7) | 4.60 (2.45; 8.95) |
| CD14++CD16− cells | 25.0 (12.7; 46.7) | 59.6 (30.7; 79.6) |
| CD14++CD16+ cells | 25.0 (13.7; 68.7) | 5.39 (2.52; 13.3) |
| CD14+CD16++ cells | 25.0 (12.7; 46.7) | 5.89 (3.41; 9.64) |
| CD14++CD16−TLR2+ cells | 35.5 (12.0; 92.0) | 7.73 (2.73; 28.5) |
| CD14++CD16+ TLR2+ cells | 306.0 (220.0; 407.0) | 71.2 (47.5; 93.8) |
| CD14+CD16++ TLR2+ cells | 233.5 (92.0; 318.0) | 51.9 (21.6; 91.2) |
| CD14++CD16−TLR4+ cells | 216.0 (101.0; 345.0) | 59.6 (23.8; 85.2) |
| CD14++CD16+ TLR4+ cells | 403.5 (305.0; 493.0) | 95.2 (81.7; 98.6) |
| CD14+CD16++ TLR4+ cells | 374.5 (294.0; 483.0) | 92.3 (77.5; 97.1) |
Disclaimer/Publisher’s Note: The statements, opinions and data contained in all publications are solely those of the individual author(s) and contributor(s) and not of MDPI and/or the editor(s). MDPI and/or the editor(s) disclaim responsibility for any injury to people or property resulting from any ideas, methods, instructions or products referred to in the content. |
© 2023 by the authors. Licensee MDPI, Basel, Switzerland. This article is an open access article distributed under the terms and conditions of the Creative Commons Attribution (CC BY) license (https://creativecommons.org/licenses/by/4.0/).
Share and Cite
Genkel, V.; Dolgushin, I.; Savochkina, A.; Nikushkina, K.; Baturina, I.; Minasova, A.; Sumerkina, V.; Pykhova, L.; Kupriyanov, S.; Kuznetsova, A.; et al. Innate and Adaptive Immunity-Related Markers as Predictors of the Short-Term Progression of Subclinical Atherosclerosis in Middle-Aged Patients. Int. J. Mol. Sci. 2023, 24, 12205. https://doi.org/10.3390/ijms241512205
Genkel V, Dolgushin I, Savochkina A, Nikushkina K, Baturina I, Minasova A, Sumerkina V, Pykhova L, Kupriyanov S, Kuznetsova A, et al. Innate and Adaptive Immunity-Related Markers as Predictors of the Short-Term Progression of Subclinical Atherosclerosis in Middle-Aged Patients. International Journal of Molecular Sciences. 2023; 24(15):12205. https://doi.org/10.3390/ijms241512205
Chicago/Turabian StyleGenkel, Vadim, Ilya Dolgushin, Albina Savochkina, Karina Nikushkina, Irina Baturina, Anna Minasova, Veronika Sumerkina, Lubov Pykhova, Semen Kupriyanov, Alla Kuznetsova, and et al. 2023. "Innate and Adaptive Immunity-Related Markers as Predictors of the Short-Term Progression of Subclinical Atherosclerosis in Middle-Aged Patients" International Journal of Molecular Sciences 24, no. 15: 12205. https://doi.org/10.3390/ijms241512205
APA StyleGenkel, V., Dolgushin, I., Savochkina, A., Nikushkina, K., Baturina, I., Minasova, A., Sumerkina, V., Pykhova, L., Kupriyanov, S., Kuznetsova, A., & Shaposhnik, I. (2023). Innate and Adaptive Immunity-Related Markers as Predictors of the Short-Term Progression of Subclinical Atherosclerosis in Middle-Aged Patients. International Journal of Molecular Sciences, 24(15), 12205. https://doi.org/10.3390/ijms241512205

