Is It Possible to Obtain a Product of the Desired Configuration from a Single Knoevenagel Condensation? Isomerization vs. Stereodefined Synthesis
Abstract
1. Introduction
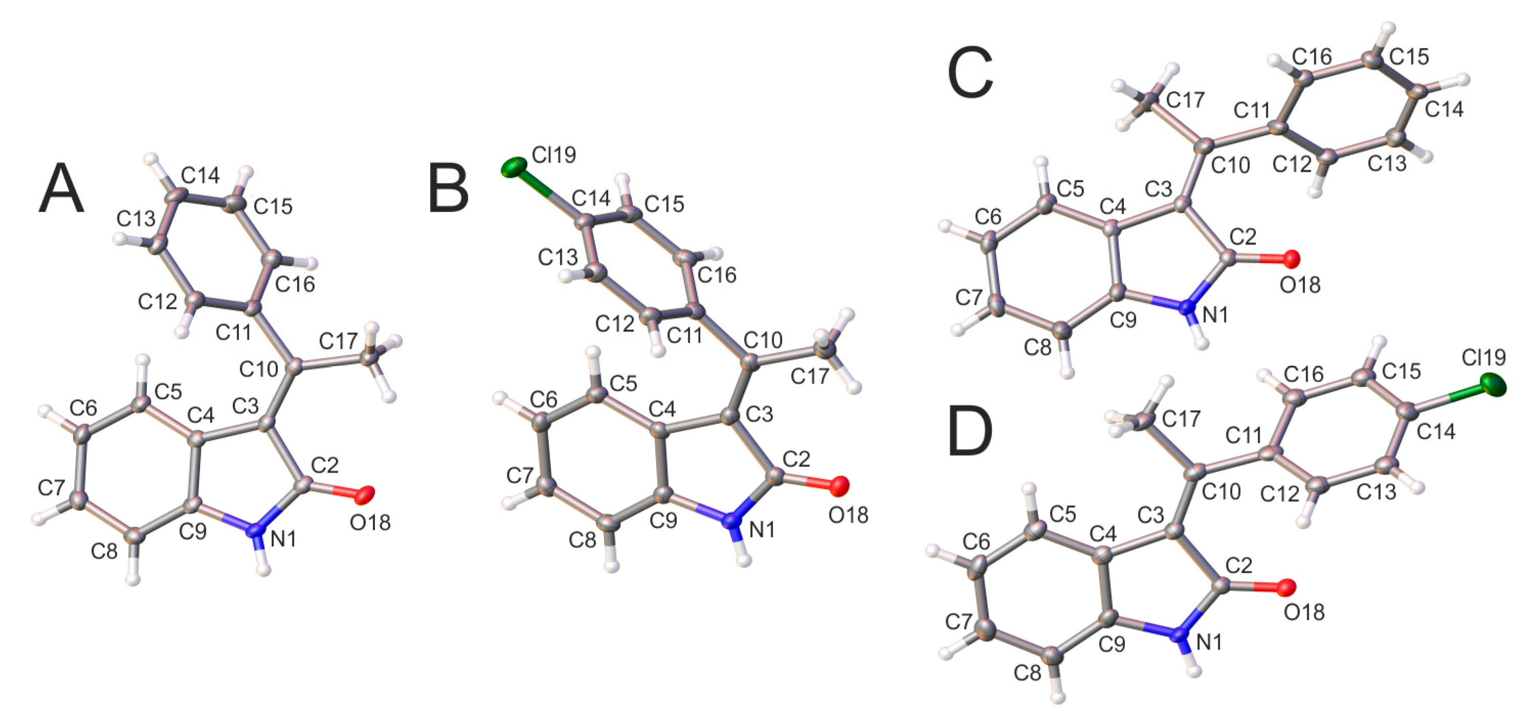
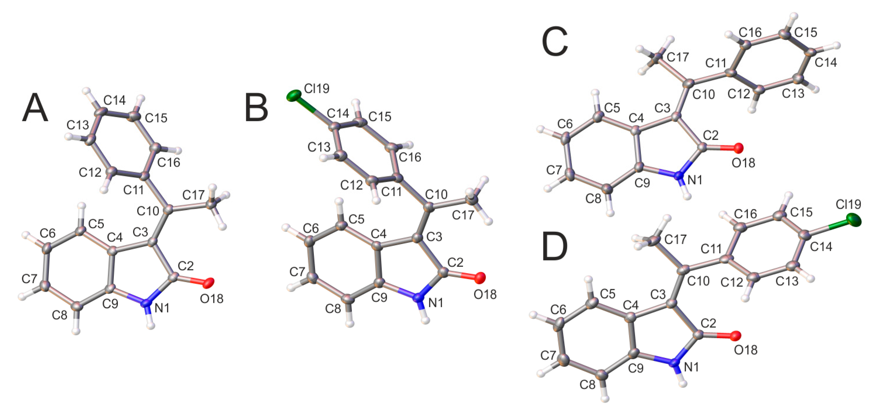
2. Results and Discussion
3. Materials and Methods
3.1. Chemistry
3.2. NMR Analysis
3.3. Spectrophotometric Analysis
3.4. HPLC Analysis
3.5. LC-MS Analysis
3.6. Isomerization Studies
3.7. X-ray Analysis
4. Conclusions
Supplementary Materials
Author Contributions
Funding
Institutional Review Board Statement
Informed Consent Statement
Data Availability Statement
Acknowledgments
Conflicts of Interest
References
- Millemaggi, A.; Taylor, R.J.K. 3-Alkenyl-oxindoles: Natural products, pharmaceuticals, and recent synthetic advances in tandem/telescoped approaches. Eur. J. Org. Chem. 2010, 2010, 4527–4547. [Google Scholar] [CrossRef]
- Dhokne, P.; Sakla, A.P.; Shankaraiah, N. Structural insights of oxindole based kinase inhibitors as anticancer agents: Recent advances. Eur. J. Med. Chem. 2021, 216, 113334. [Google Scholar] [CrossRef] [PubMed]
- Novikova, D.S.; Grigoreva, T.A.; Ivanov, G.S.; Melino, G.; Barlev, N.A.; Tribulovich, V.G. Activating effect of 3-benzylidene oxindoles on AMPK: From computer simulation to high-content screening. ChemMedChem 2020, 15, 2521–2529. [Google Scholar] [CrossRef] [PubMed]
- Matheson, C.J.; Casalvieri, K.A.; Backos, D.S.; Minhajuddin, M.; Jordan, C.T.; Reigan, P. Substituted oxindol-3-ylidenes as AMP-activated protein kinase (AMPK) inhibitors. Eur. J. Med. Chem. 2020, 197, 112316. [Google Scholar] [CrossRef] [PubMed]
- Grigoreva, T.; Romanova, A.; Sagaidak, A.; Vorona, S.; Novikova, D.; Tribulovich, V. Mdm2 inhibitors as a platform for the design of P-glycoprotein inhibitors. Bioorg. Med. Chem. Lett. 2020, 30, 127424. [Google Scholar] [CrossRef] [PubMed]
- Grigoreva, T.; Sagaidak, A.; Romanova, A.; Novikova, D.; Garabadzhiu, A.; Tribulovich, V. Establishment of drug-resistant cell lines under the treatment with chemicals acting through different mechanisms. Chem. Biol. Interact. 2021, 344, 109510. [Google Scholar] [CrossRef]
- Abramovitch, R.A.; Hey, D.H. Internuclear cyclisation. Part VIII. Naphth[3: 2: 1-cd]oxindoles. J. Chem. Soc. 1954, 1697–1703. [Google Scholar] [CrossRef]
- Gureev, M.; Novikova, D.; Grigoreva, T.; Vorona, S.; Garabadzhiu, A.; Tribulovich, V. Simulation of MDM2 N-terminal domain conformational lability in the presence of imidazoline based inhibitors of MDM2-p53 protein–protein interaction. J. Comput. Aided Mol. Des. 2020, 34, 55–70. [Google Scholar] [CrossRef]
- Grigoreva, T.A.; Novikova, D.S.; Gureev, M.A.; Garabadzhiu, A.V.; Tribulovich, V.G. Amino acids as chiral derivatizing agents for antiproliferative substituted N-benzyl isoindolinones. Chirality 2018, 30, 785–797. [Google Scholar] [CrossRef]
- Chu, W.; Zhou, D.; Gaba, V.; Liu, J.; Li, S.; Peng, X.; Xu, J.; Dhavale, D.; Bagchi, D.P.; d’Avignon, A.; et al. Design, synthesis, and characterization of 3-(benzylidene)indolin-2-one derivatives as ligands for α-synuclein fibrils. J. Med. Chem. 2015, 58, 6002–6017. [Google Scholar] [CrossRef] [PubMed]
- Grimaldi, A.M.; Guida, T.; D’Attino, R.; Perrotta, E.; Otero, M.; Masala, A.; Cartenì, G. Sunitinib: Bridging present and future cancer treatment. Ann. Oncol. 2007, 18 (Suppl. S6), vi31–vi34. [Google Scholar] [CrossRef] [PubMed]
- Ngai, M.H.; So, C.L.; Sullivan, M.B.; Ho, H.K.; Chai, C.L. Photoinduced isomerization and hepatoxicities of semaxanib, sunitinib and related 3-substituted indolin-2-ones. ChemMedChem 2016, 11, 72–80. [Google Scholar] [CrossRef] [PubMed]
- Padervand, M.; Ghaffari, S.; Attar, H.; Nejad, M.M. Reverse phase HPLC determination of sunitinib malate using UV detector, its isomerisation study, method development and validation. J. Anal. Chem. 2017, 72, 567–574. [Google Scholar] [CrossRef]
- Posocco, B.; Buzzo, M.; Giodini, L.; Crotti, S.; D’Aronco, S.; Traldi, P.; Agostini, M.; Marangon, E.; Toffoli, G.J. Analytical aspects of sunitinib and its geometric isomerism towards therapeutic drug monitoring in clinical routine. J. Pharm. Biomed. Anal. 2018, 160, 360–367. [Google Scholar] [CrossRef]
- Novikova, D.S.; Garabadzhiu, A.V.; Melino, G.; Barlev, N.A.; Tribulovich, V.G. Small-molecule activators of AMP-activated protein kinase as modulators of energy metabolism. Russ. Chem. Bull. Int. Ed. 2015, 64, 1497–1517. [Google Scholar] [CrossRef]
- Viollet, B.; Horman, S.; Leclerc, J.; Lantier, L.; Foretz, M.; Billaud, M.; Giri, S.; Andreelli, F. AMPK inhibition in health and disease. Crit. Rev. Biochem. Mol. Biol. 2010, 45, 276–295. [Google Scholar] [CrossRef]
- Novikova, D.S.; Grigoreva, T.A.; Zolotarev, A.A.; Garabadzhiu, A.V.; Tribulovich, V.G. Advanced palladium free approach to the synthesis of substituted alkene oxindoles via aluminum-promoted Knoevenagel reaction. RSC Adv. 2018, 60, 34543–34551. [Google Scholar] [CrossRef] [PubMed]
- van Beurden, K.; de Koning, S.; Molendijk, D.; van Schijndel, J. The Knoevenagel reaction: A review of the unfinished treasure map to forming carbon–carbon bonds. Green. Chem. Lett. Rev. 2020, 13, 349–364. [Google Scholar] [CrossRef]
- Hirayama, Y.; Kanomata, K.; Hatakeyama, M.; Kitaoka, T. Chitosan nanofiber-catalyzed highly selective Knoevenagel condensation in aqueous methanol. RSC Adv. 2020, 10, 26771–26776. [Google Scholar] [CrossRef]
- Hu, Y.; Kang, H.; Zeng, B.-W.; Wei, P.; Huang, H. Facile synthesis of 3-arylidene-1,3-dihydroindol-2-ones catalysed by a Brønsted acidic ionic liquid. J. Chem. Res. 2008, 2008, 642–643. [Google Scholar] [CrossRef]
- Tran, U.P.N.; Le, K.K.A.; Phan, N.T.S. expanding applications of metal−organic frameworks: Zeolite imidazolate framework ZIF-8 as an efficient heterogeneous catalyst for the Knoevenagel reaction. ACS Catal. 2011, 1, 120–127. [Google Scholar] [CrossRef]
- Villemin, D.; Martin, B. Potassium fluoride on alumina: Dry synthesis of 3-arylidene-1,3-dihydro-indol-2-one under microwave irradiation. Synth. Commun. 1998, 28, 3201–3208. [Google Scholar] [CrossRef]
- Shi, Y.; Zhou, T.; Di, J.-Q.; Wang, W.; Ma, L.; Zhanga, H.; Gao, Y. Three Si-substituted polyoxovanadates as efficient catalysts for Knoevenagel condensation and selective oxidation of styrene to benzaldehyde. Dalton Trans. 2022, 51, 3304–3313. [Google Scholar] [CrossRef] [PubMed]
- Luque-Urrutia, J.A.; Solà, M.; Milstein, D.; Poater, A. Mechanism of the manganese-pincer-catalyzed acceptorless dehydrogenative coupling of nitriles and alcohols. J. Am. Chem. Soc. 2019, 141, 2398–2403. [Google Scholar] [CrossRef]
- Wu, J.; Chen, J.; Huang, H.; Li, S.; Wu, H.; Hu, C.; Tang, J.; Zhang, Q. (Z)-(Thienylmethylene)oxindole-based polymers for high-performance solar cells. Macromolecules 2016, 49, 2145–2152. [Google Scholar] [CrossRef]
- Roke, D.; Sen, M.; Danowski, W.; Wezenberg, S.J.; Feringa, B.L. Visible-light-driven tunable molecular motors based on oxindole. J. Am. Chem. Soc. 2019, 141, 7622–7627. [Google Scholar] [CrossRef] [PubMed]
- Ueda, S.; Okada, T.; Nagasawa, H. Oxindole synthesis by palladium-catalysed aromatic C–H alkenylation. Chem. Commun. 2010, 46, 2462–2464. [Google Scholar] [CrossRef]
- Miura, T.; Toyoshima, T.; Takahashi, Y.; Murakami, M. Stereoselective synthesis of 3-alkylideneoxindoles by palladium-catalyzed cyclization reaction of 2-(alkynyl)aryl isocyanates with organoboron reagents. Org. Lett. 2008, 10, 4887–4889. [Google Scholar] [CrossRef]
- Jiang, T.S.; Tang, R.Y.; Zhang, X.G.; Li, X.H.; Li, J.H. Palladium-catalyzed intramolecular 5-exo-dig hydroarylations of N-arylpropiolamides: Thermodynamics-controlled stereoselective synthesis of 3-methyleneoxindoles. J. Org. Chem. 2009, 74, 8834–8837. [Google Scholar] [CrossRef]
- Pal, A.; Ganguly, A.; Ghosh, A.; Yousuf, M.; Rathore, B.; Banerjee, R.; Adhikari, S. Bis-arylidene oxindoles as anti-breast-cancer agents acting via the estrogen receptor. ChemMedChem 2014, 9, 727–732. [Google Scholar] [CrossRef]
- Rashed, N.; Touchy, A.S.; Chaudhari, C.; Jeon, J.; Siddiki, S.M.A.H.; Toyao, T.; Shimizu, K. Selective C3-alkenylation of oxindole with aldehydes using heterogeneous CeO2 catalyst. Chin. J. Catal. 2020, 41, 970–976. [Google Scholar] [CrossRef]
- Ding, Y.; Xiang, X.; Gu, M.; Xu, H.; Huang, H.; Hu, Y. Efficient lipase-catalyzed Knoevenagel condensation: Utilization of biocatalytic promiscuity for synthesis of benzylidene-indolin-2-ones. Bioprocess Biosyst. Eng. 2016, 39, 125–131. [Google Scholar] [CrossRef] [PubMed]
- Gopalaiah, K.; Tiwari, A. Synthesis of (E)-3-alkylideneindolin-2-ones by an iron-catalyzed aerobic oxidative condensation of Csp3–H bonds of oxindoles and benzylamines. Eur. J. Org. Chem. 2020, 2020, 7229–7237. [Google Scholar] [CrossRef]
- Robichaud, B.A.; Liu, K.G. Titanium isopropoxide/pyridine mediated Knoevenagel reactions. Tetrahedron Lett. 2011, 52, 6935–6938. [Google Scholar] [CrossRef]
- Lee, H.J.; Lim, J.W.; Yu, J.; Kim, J.N. An expedient synthesis of 3-alkylideneoxindoles by Ti(OiPr)4/pyridine-mediated Knoevenagel condensation. Tetrahedron Lett. 2014, 55, 1183–1187. [Google Scholar] [CrossRef]
- Edeson, S.J.; Jiang, J.; Swanson, S.; Procopiou, P.A.; Adams, H.; Meijer, A.J.H.M.; Harrity, J.P.A. Studies on the stereochemical assignment of 3-acylidene 2-oxindoles. Org. Biomol. Chem. 2014, 12, 3201–3210. [Google Scholar] [CrossRef] [PubMed]
- Sun, L.; Tran, N.; Tang, F.; App, H.; Hirth, P.; McMahon, G.; Tang, C. Synthesis and biological evaluations of 3-substituted indolin-2-ones: A novel class of tyrosine kinase inhibitors that exhibit selectivity toward particular receptor tyrosine kinases. J. Med. Chem. 1998, 41, 2588–2603. [Google Scholar] [CrossRef]
- Reddy, C.R.; Ganeshab, V.; Singh, A.K. E–Z isomerization of 3-benzylidene-indolin-2-ones using a microfluidic photo-reactor. RSC Adv. 2020, 10, 28630–28634. [Google Scholar] [CrossRef]
- Cheng, H.; Yao, X.; Yin, S.; Wang, T.; Zhang, Z. Stereoselective synthesis of (E)-3-alkylideneoxindoles via gold(I)-catalyzed cross-coupling of 3-diazooxindoles with diazoesters. J. Org. Chem. 2020, 85, 5863–5871. [Google Scholar] [CrossRef]
- Mansour, H.S.; Abd El-wahab, H.A.A.; Alia, A.M.; Aboul-Fadl, T. Inversion kinetics of some E/Z 3-(benzylidene)-2-oxo-indoline derivatives and their in silico CDK2 docking studies. RSC Adv. 2021, 11, 7839–7850. [Google Scholar] [CrossRef]
- Crestini, C.; Saladino, R. A new efficient and mild synthesis of 2-oxindoles by one-pot Wolff-Kishner like reduction of isatin derivatives. Synth. Commun. 1994, 24, 2835–2841. [Google Scholar] [CrossRef]
- Chen, G.; Weng, Q.; Fu, L.; Wang, Z.; Yu, P.; Liu, Z.; Li, X.; Zhang, H.; Liang, G. Synthesis and biological evaluation of novel oxindole-based RTK inhibitors as anti-cancer agents. Bioorg. Med. Chem. 2014, 22, 6953–6960. [Google Scholar] [CrossRef] [PubMed]
- Wang, D.P.; Liu, K.L.; Li, X.Y.; Lu, G.Q.; Xue, W.H.; Qian, X.H.; Mohamed, O.K.; Meng, F.H. Design, synthesis, and in vitro and in vivo anti-angiogenesis study of a novel vascular endothelial growth factor receptor-2 (VEGFR-2) inhibitor based on 1,2,3-triazole scaffold. Eur. J. Med. Chem. 2021, 211, 113083. [Google Scholar] [CrossRef]
- Laufer, R.; Forrest, B.; Li, S.W.; Liu, Y.; Sampson, P.; Edwards, L.; Lang, Y.; Awrey, D.E.; Mao, G.; Plotnikova, O.; et al. The discovery of PLK4 inhibitors: (E)-3-((1H-Indazol-6-yl)methylene)indolin-2-ones as novel antiproliferative agents. J. Med. Chem. 2013, 56, 6069–6087. [Google Scholar] [CrossRef] [PubMed]
- Fareed, M.R.; Shoman, M.E.; Hamed, M.I.A.; Badr, M.; Bogari, H.A.; Elhady, S.S.; Ibrahim, T.S.; Abuo-Rahma, G.E.A.; Ali, T.F.S. New multi-targeted antiproliferative agents: Design and synthesis of IC261-based oxindoles as potential tubulin, CK1 and EGFR inhibitors. Pharmaceuticals 2021, 14, 1114. [Google Scholar] [CrossRef]
- Coda, A.C.; Invernizzi, A.G.; Righetti, P.P.; Tacconi, G.; Gatti, G. (Z)- and (E)-Arylidene-1,3-dihydroindol-2-ones: Configuration, conformation, and infrared carbonyl stretching frequencies. J. Chem. Soc. Perkin Trans. 2 1984, 615–619. [Google Scholar] [CrossRef]
- Olgen, S.; Akaho, E.; Nebioglu, D. Synthesis and anti-tyrosine kinase activity of 3-(substituted-benzylidene)-1,3-dihydro-indolin derivatives: Investigation of their role against p60c-Src receptor tyrosine kinase with the application of receptor docking studies. Farmaco 2005, 60, 497–506. [Google Scholar] [CrossRef]
- CrysAlisPro, Version 1.171.41.104a; Oxford Diffraction/Agilent Technologies UK Ltd.: Yarnton, England, 2021.
- Sheldrick, G.M. SHELXT-integrated space-group and crystal-structure determination. Acta Crystallogr. A Found Adv. 2015, 71 Pt 1, 3–8. [Google Scholar] [CrossRef] [PubMed]
- Sheldrick, G.M. Crystal structure refinement with SHELXL. Acta Crystallogr. C Struct. Chem. 2015, 71 Pt 1, 3–8. [Google Scholar] [CrossRef]
- Dolomanov, O.V.; Bourhis, L.J.; Gildea, R.J.; Howard, J.A.K.; Puschmann, H. OLEX2: A complete structure solution, refinement and analysis program. J. Appl. Cryst. 2009, 42, 339–341. [Google Scholar] [CrossRef]










| Compound | ACN | DMF | Acetone | AcOEt | MeOH | iPrOH | CH2Cl2 | CHCl3 | Toluene |
|---|---|---|---|---|---|---|---|---|---|
| 2a | 30/70 | 22/78 | 31/69 | 28/72 | 32/68 | 33/67 | 29/71 | 27/73 | 35/65 |
| 2b | 55/45 | 40/60 | 45/55 | 50/50 | 48/52 | 51/49 | 43/57 | 42/58 | 49/51 |
| 2c | 29/71 | 21/79 | 31/69 | 30/70 | 31/69 | 34/64 | 28/72 | 25/75 | 32/68 |
| 2d | 65/35 | 79/21 | 74/26 | 70/30 | 71/29 | 69/31 | 73/27 | 75/25 | 68/32 |
| 2e | 72/28 | 76/24 | 75/25 | 72/28 | 76/24 | 70/30 | 73/27 | 73/27 | 70/30 |
| 2f | 70/30 | 73/27 | 69/31 | 70/30 | 69/31 | 68/32 | 79/21 | 77/23 | 68/32 |
| 3c | 29/71 | 21/79 | 29/71 | 27/73 | 30/70 | 30/70 | 28/72 | 26/74 | 32/68 |
| 3d | 69/31 | 81/19 | 74/26 | 72/28 | 75/25 | 75/25 | 77/23 | 79/21 | 70/30 |
| 3e | 73/27 | 79/21 | 73/27 | 74/26 | 77/23 | 72/28 | 75/25 | 76/24 | 72/28 |
| Compound | K | k1 × 103 (s−1) | k2 × 103 (s−1) |
|---|---|---|---|
| 2a | 2.125 | 0.445 | 0.210 |
| 2b | 1.083 | 0.082 | 0.075 |
| 2c | 2.226 | 0.300 | 0.135 |
| 2d | 0.408 | 0.206 | 0.506 |
| 2e | 0.316 | 0.082 | 0.260 |
| 2f | 0.449 | 0.126 | 0.280 |
| 3c | 2.333 | 0.407 | 0.175 |
| 3d | 0.333 | 0.213 | 0.640 |
| 3e | 0.299 | 0.129 | 0.432 |
Disclaimer/Publisher’s Note: The statements, opinions and data contained in all publications are solely those of the individual author(s) and contributor(s) and not of MDPI and/or the editor(s). MDPI and/or the editor(s) disclaim responsibility for any injury to people or property resulting from any ideas, methods, instructions or products referred to in the content. |
© 2023 by the authors. Licensee MDPI, Basel, Switzerland. This article is an open access article distributed under the terms and conditions of the Creative Commons Attribution (CC BY) license (https://creativecommons.org/licenses/by/4.0/).
Share and Cite
Novikova, D.; Grigoreva, T.; Gurzhiy, V.; Tribulovich, V. Is It Possible to Obtain a Product of the Desired Configuration from a Single Knoevenagel Condensation? Isomerization vs. Stereodefined Synthesis. Int. J. Mol. Sci. 2023, 24, 11339. https://doi.org/10.3390/ijms241411339
Novikova D, Grigoreva T, Gurzhiy V, Tribulovich V. Is It Possible to Obtain a Product of the Desired Configuration from a Single Knoevenagel Condensation? Isomerization vs. Stereodefined Synthesis. International Journal of Molecular Sciences. 2023; 24(14):11339. https://doi.org/10.3390/ijms241411339
Chicago/Turabian StyleNovikova, Daria, Tatyana Grigoreva, Vladislav Gurzhiy, and Vyacheslav Tribulovich. 2023. "Is It Possible to Obtain a Product of the Desired Configuration from a Single Knoevenagel Condensation? Isomerization vs. Stereodefined Synthesis" International Journal of Molecular Sciences 24, no. 14: 11339. https://doi.org/10.3390/ijms241411339
APA StyleNovikova, D., Grigoreva, T., Gurzhiy, V., & Tribulovich, V. (2023). Is It Possible to Obtain a Product of the Desired Configuration from a Single Knoevenagel Condensation? Isomerization vs. Stereodefined Synthesis. International Journal of Molecular Sciences, 24(14), 11339. https://doi.org/10.3390/ijms241411339

