Abstract
This work shows the electrochemical performance of sputter-deposited, binder-free lithium cobalt oxide thin films with an alumina coating deposited via atomic layer deposition for use in lithium-metal-based microbatteries. The Al2O3 coating can improve the charge–discharge kinetics and suppress the phase transition that occurs at higher potential limits where the crystalline structure of the lithium cobalt oxide is damaged due to the formation of Co4+, causing irreversible capacity loss. The electrochemical performance of the thin film is analysed by imposing 4.2, 4.4 and 4.5 V upper potential limits, which deliver improved performances for 3 nm of Al2O3, while also highlighting evidence of Al doping. Al2O3-coated lithium cobalt oxide of 3 nm is cycled at 147 µA cm−2 (~2.7 C) to an upper potential limit of 4.4 V with an initial capacity of 132 mAh g−1 (65.7 µAh cm−2 µm−1) and a capacity retention of 87% and 70% at cycle 100 and 400, respectively. This shows the high-rate capability and cycling benefits of a 3 nm Al2O3 coating.
1. Introduction
One of the challenges to improve the performance of lithium microbatteries to meet increasingly demanding energy storage requirements in a small footprint is the development of suitable electrode materials [1]. This requires improvements in both the anode and cathode with the latter being the rate-limiting electrode due to lower capacities and conductivity. Lithium cobalt oxide (LCO) has been one of the cathodes of choice since the commercialisation of Li batteries in 1991 and to date is still one of the most competitive cathode materials available due to its high theoretical capacity (140–272 mAh g−1), high operation potential, rate capability and life cycle [2,3].
LCO has a theoretical capacity of 272 mAh g−1 but a practical capacity of ~140 mAh g−1 where Li1−xCoO2 is limited to x = 0.5, which occurs in the potential region of 3 to 4.2 V. When >0.5 mole of Li is extracted by cycling beyond 4.2 V to 4.5 V, rapid capacity fade is observed. At these increased upper potential limits, a phase transition occurs in which Co3+ is oxidised to Co4+, resulting in an unstable phase. Co4+ causes damage to the crystalline structure and dissolves into the electrolyte, leading to irreversible capacity loss [4,5].
Coatings have been utilized on standard-powder-based thick-film cathodes to suppress cobalt dissolution at higher potential ranges using Al2O3 [6,7,8], MgO [9,10], AlF3 [11] and TiO2 [12]. These coatings are also reported to improve the charge–discharge kinetics of LCO by improving the interfacial stability, which has also been reported in other metal-oxide-based cathodes [13,14]. Alternative coating processes to ALD are also reported, such as the etching of Al2O3 on compatible substrates to obtain thin-film coatings [15]. Similarly, doping of LCO has been reported with Mn [16], Ni [17], Mg [18,19], Ti [20], La [21] and Al [7,22]. Dopants are reported to expand the c-axis when replacing cobalt, causing an improvement in lattice stability and allowing for higher-rate cycling due to easier Li+ diffusion and a reduction in structure breakdown at higher potentials [23,24].
In this work, the use of Al2O3 coatings deposited via ALD on sputter-deposited thin-film, binder-free LCO cycled to 4.2, 4.4 and 4.5 V upper potential limits is reported. A voltage of 4.2 V is investigated to show the effects Al2O3 coating has on LCO where no Co dissolution occurs. Following this, 4.5 V is investigated to compare with a previous report utilising powder and binder-based electrodes for which the ALD coating was sufficient to permit the higher potential [6]. However, this was not the case with thin-film sputter-deposited LCO. A voltage of 4.4 demonstrates the high-rate capability of Al2O3-coated LCO over 400 cycles using a practical current-rate sequence, which mimics real-world microbattery usage in medical devices, sensors and other MEMS devices. The results are consistent with Al doping, leading to improved performance by increasing stability in the crystal structure.
2. Results
2.1. Upper Limit of 4.2 V
CV was utilised to investigate the effect an Al2O3 coating has on LCO when the upper potential limit is 4.2 V. A 3 nm coating of Al2O3 was initially chosen as it had previously been reported in work by one of the authors in collaboration with Teranishi et al. to have the greatest improvement on the cyclability of LCO [6]. Figure 1 shows the CV profiles at scan rates of 0.05, 0.2 and 0.5 mV s−1 for cycles 10, 40 and 70, respectively; a large increase in peak current height is observed for the 3 nm coated LCO at all scan rates. At a slow scan rate of 0.05 mV s−1, the peak separations are comparable at 48 and 54 mV for bare and 3 nm coated LCO, respectively, indicating that this thickness of Al2O3, which is a resistive metal oxide, did not adversely influence the kinetics of the LCO reactions [25]. In fact, at 0.2 mV s−1, the peak separations are larger at the bare LCO (186 and 125 for bare and coated LCO, respectively), indicating that the ALD alumina is beneficial for reaction kinetics. The trend continues for the faster 0.5 mV s−1 sweep with peak separations of 325 and 202 mV for bare and 3 nm coated LCO, respectively. These results indicate that the Al2O3 coating has a positive effect on the charge–discharge kinetics of LCO at a potential range where no loss of capacity or Co dissolution is observed.
Figure 1.
CV profiles of bare and 3 nm Al2O3-coated LCO at (a) 0.05 mV s−1 (cycle 10); (b) 0.2 mV s−1 (cycle 40); and (c) 0.5 mV s−1 (cycle 70).
Ganesh et al. showed that a Zr dopant in LCO can affect the peak separation at varying concentrations [23]. Their XRD analysis showed that an expansion in the c-axis in the LCO hexagonal structure is observed during doping of Zr4+ ions, which replaces some Co3+ ions in vacant 3a Wyckoff sites, noting a more relaxed framework, which would allow for faster intercalation and deintercalation. This is confirmed by the reduction in peak separation or improved kinetics. Teranishi et al. suggested that because LCO was exposed to the ambient atmosphere for one month prior to ALD processing, the LCO formed reactive sites on the surface that react with TMA during ALD. This partially doped a portion of the surface with Al, accounting for the reduced peak separation at faster scan rates [6]. Alternatively, the Al2O3 being 3 nm is of similar thickness to a native SEI layer (2–5 nm), which could lead to favourable charge–discharge kinetics over bare LCO without a preformed SEI layer, although some works suggest Al2O3 ALD coatings do not act as an SEI layer at this thickness [14,26].
2.2. Upper Limit of 4.5 V
Galvanostatic charge–discharge cycling was carried out to investigate the effect of the Al2O3 coating on the electrochemical performance of the LCO thin films at an upper potential limit of 4.5 V. A bare sample was used as a control, although it was expected to fail early due to irreversible Co dissolution. Al2O3 coatings of thicknesses 1, 2 and 3 nm were again used to compare electrochemical performance. Figure 2 shows the discharge profiles of each cell cycled at a current rate of 63 μA/cm2 (~1.2 C assuming a C rate of 160 mAh g−1). All four cells showed an initial capacity of 168 mAh g−1. The bare LCO showed a rapid capacity loss from the initial cycle as expected due to Co dissolution. LCO coated with 1 nm showed initial stability, but rapid capacity loss was observed at cycle 15 and showed a similar decay in capacity to the bare LCO sample. The 2 nm coated sample showed high stability at the uppermost capacity for 30 cycles before the capacity rapidly decreased to 71 mAh g−1 at cycle 100. The 3 nm sample behaved similar to the bare LCO sample initially but stabilised, and a capacity of 69 mAh g−1 was observed at cycle 100. Low final capacities at cycle 100 were observed for all samples; however, both 2 and 3 nm samples showed an improvement in electrochemical performance, indicating a suppression of Co dissolution.
Figure 2.
Discharge profiles of bare, 1, 2 and 3 nm coated Al2O3 at LCO at 63 μA/cm2.
Teranishi et al. showed improvements at an upper potential limit of 4.5 V, which is not observed in the present study [6]. Their samples were fabricated from a paste consisting of LCO powder, with a PVDF binder and acetylene black conductive additive with an electrode thickness of 8.2 μm. The work reported here is for a 750 nm binder-free thin-film LCO. Lee et al. showed improved initial performance when cycling to a 4.5 V upper potential limit where they noted that the optimal thickness of Al2O3 was 1–5 nm. However, rapid capacity loss was observed from cycle 30 onward for all alumina deposits investigated [27]. Wang et al. noted that a maximum upper potential limit of 4.4 V can be used when both coatings and deliberately added dopants are employed to enhance the LCO performance [28]. Increasing the potential limit further to 4.5 V typically requires multiple modifications, such as co-doping [18,21,22] and electrolyte additives [29,30,31]. This occurs as further extraction of Li leads to structural degradation of the LCO lattice structure and some conventional organic carbon electrolytes (LiPF6) also decompose at 4.5 V [32,33].
2.3. Upper Limit of 4.4 V
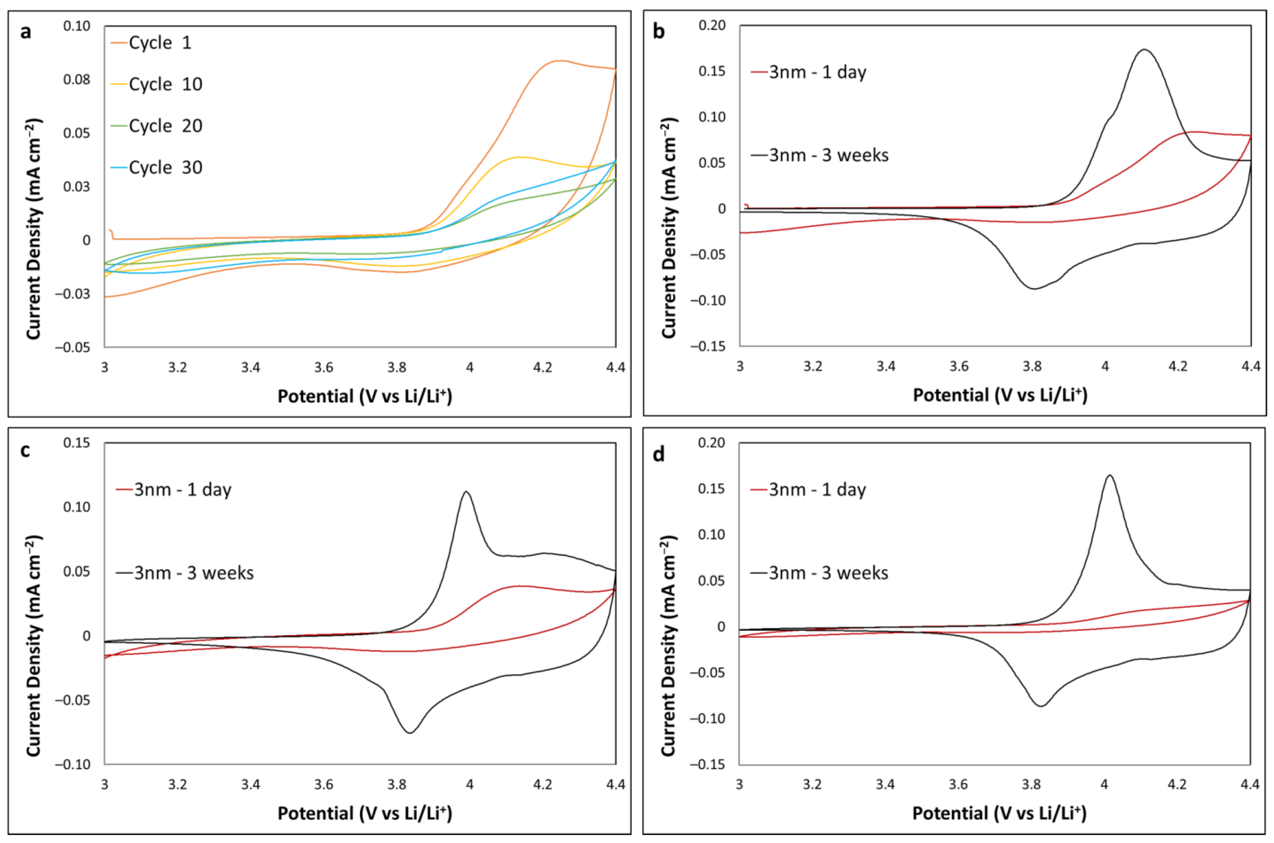
CV was carried out to investigate the effect of the Al2O3 coating on electrochemical performance of the LCO thin films at an upper potential limit of 4.4 V. Al2O3 coatings of 1, 2 and 3 nm thickness were used. Figure 3a–c shows the CV profiles at 0.2 mV s−1 over 50 cycles. The 1 nm alumina-coated LCO showed a rapid decrease in peak current following cycle 10; the broad shoulder that appeared in earlier cycles was no longer visible, and the oxidation and reduction peaks shifted to increase the peak separation from cycle 20 onwards. This is consistent with previous results in which a 1 nm Al2O3 coating was not sufficient to improve performance. The 2 nm Al2O3 film showed an improvement with the initial cycle exhibiting large peak separation, followed by identical CVs from cycle 10 to 50 with a broad shoulder being observed. The 3 nm Al2O3 film resulted in a similar performance to the 2 nm film; however, cycle 10 showed an increase in the broad shoulder portion at 4.2 to 4.3 V, with the subsequent cycles showing an increase in peak current. Figure 3d shows an overlay of cycle 20 for 1–3 nm Al2O3 coating, highlighting the peak positions with peak separations of 348, 187 and 184 mV for 1, 2 and 3 nm samples, respectively. Similar to the results for the 4.5 V upper potential limit data, both the 2 and 3 nm samples exhibit comparable results, while the 3 nm sample did show an increase in peak current height and sharpness of the peaks, illustrating improved charge–discharge kinetics.
Figure 3.
CV profiles at 0.2 mV s−1 for (a) 1 nm Al2O3-coated LCO, (b) 2 nm Al2O3-coated LCO, (c) 3 nm Al2O3-coated LCO and (d) overlay of cycle 20 for 1–3 nm Al2O3-coating thickness.
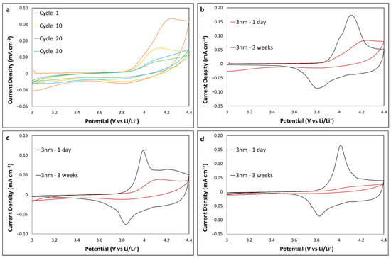
Teranishi et al. noted that the LCO samples that were exposed to ambient air for a month prior to ALD may have resulted in moisture, causing reactive sites. Water is one of the reactants introduced in cycles during alumina ALD. They postulated that these sites reacted with TMA during ALD, allowing the TMA to penetrate the upper few nm and possibly further into the LCO and cause incorporation of Al into the hexagonal structure in place of Co, unintentionally doping LCO [34,35]. The LCO thin film of the present study in Figure 3 was exposed to ambient air for 3 weeks prior to both annealing and ALD (other substrates in this study were also exposed for ~3 weeks in ambient air). Figure 4 shows a comparison of CV data from Figure 3 with an LCO thin film that had 1 day of air exposure. A clear difference in CV profiles is observed. The 1-day sample showed a much larger peak separation and no broad shoulder formation, unlike the 3-week sample. The CV profiles for cycle 1, 10 and 30 are overlayed in Figure 4b–d, respectively. They highlight the poor electrochemical performance of the 1-day sample. These results further support the possibility that extended exposure to the ambient atmosphere is beneficial, assisting with Al doping the LCO and resulting in decreased peak separation and improved electrochemical performance [23]. Furthermore, this may indicate that Al2O3 coating directly on fresh thin-film sputtered LCO may adversely affect the electrochemical performance of the resistive metal oxide.
Figure 4.
CV profiles of 3 nm Al2O3-coated LCO at 0.2 mV s−1 (a) 1-day air exposure (cycle 1 to 30), (b) 1-day vs. 3-week air exposure (cycle 1), (c) 1-day vs. 3-week air exposure (cycle 10) and (d) 1-day vs. 3-week air exposure (cycle 20).
Galvanostatic charge–discharge cycling was carried out to investigate long-term cycling of 3 nm Al2O3-coated LCO as shown in Figure 5. A current-rate sequence was used to simulate a device (e.g., a microsensor) where an initial low rate of 19.3 μA/cm2 (~0.4 C) was used for five cycles to mimic standby mode. This is followed by 100 cycles at a high current rate of 147 μA/cm2 (~2.7 C), which mimics data acquisition and actuation. This mode is described in more detail below. Finally, a much higher current rate of 482.5 μA/cm2 (~9.5 C) was used for five cycles to mimic modes, which use large current rates over a short period, such as during wireless communication of results. These modes typically last milliseconds; however, for accelerated stress testing, this mode was allowed to cycle freely for up to 12 min. Cycle 6 shown in Figure 5a is the initial discharge cycle at 2.7 C with a capacity of 132 mAh g−1 (65.7 µAh cm−2 µm−1). After 100 cycles, the capacity was 115 mAh g−1 with a capacity retention of 87%. This was followed by the larger current rate, which resulted in a large decrease in capacity as expected due to the extended time period and a large increase in the idle current rate; the capacity stabilised when it returned to 2.7 C at 115 mAh g−1 at cycle 120. This sequence was repeated, and the retention rates and capacities at cycle 200, 300, 400 and 500 were (81%) 107 mAh g−1, (72%) 95 mAh g−1, (70%) 92 mAh g−1 and (61%) 81 mAh g−1, respectively. These results highlight that the battery is capable of delivering intermittent high currents and achieving high-rate cycling over the tested lifetime of 550 cycles.
Figure 5.
(a) Discharge profile of 3 nm Al2O3-coated LCO and (b) the measured capacity and coulombic efficiency.
The results are compared in Table 1, adapted from Bekzhanov et al., with other thin-film LCO cathodes [36]. Yoon et al. [37] and Wang et al. [38] both showed comparable results with >200 cycles but were achieved via optimization of annealing procedures, while this work illustrates an alternative method to achieve a thin film with high-rate cyclability and life cycle. Recent work from Xiao et al. showed the use of an Al co-sputter target to dope LCO. Al was sputter-deposited in an O2 gas flow to form an Al2O3 layer of 10 nm thickness. The thin film was cycled at 2.5 μA cm–2 with an initial discharge of 45.7 µAh cm−2 µm−1 for 240 cycles with 94.14% capacity retention, showing high life cycle capabilities at a very low current rate. They demonstrated high-rate capabilities with a capacity of 43.5 μAh cm–2 µm–1 at 100 μA cm–2, but only for five cycles from cycle 20 to 25 with no further cycling. Our work shows comparable results with alternative LCO optimisation and exceeds recent work with Al2O3 coating and Al doping. While other reported research does list adequate capacities, they do not report high cycle lifetime, which is a significant requirement for the deployment of microbatteries with thin-film cathodes designed for use in sensors, medical and MEMS devices.
Table 1.
Adapted table with data for LCO thin-film cathodes (reproduced with permission [36].
3. Materials and Methods
LCO thin films were deposited on a stack of Au (200 nm) and Ti (10 nm) on Si coupons using a LCO sputter target (99.99% purity (Kurt J. Lesker, Hastings, UK) at a current of 150 mA and a pressure of 5 × 10−3 mBar in an Ar atmosphere. The deposited thin films were 750 nm in thickness, measured using a stylus surface profilometer (KLA-Tencor, Dublin, Ireland). The samples were amorphous in morphology and were subsequently annealed at 600 °C in an O2 atmosphere for 1 h to yield a crystalline thin film. Layers of Al2O3 that were 1, 2 and 3 nm thick were deposited via ALD following annealing using a Picosun R200 system at 150 °C. Pulse durations were 0.1 s for both trimethylaluminium (TMA) and water reagents with purge times of 4 and 6 s, respectively. Based on previous work, the alumina thin-film growth rate was assumed to be ~0.1 nm per cycle [51,52,53,54,55]. Previous studies showed that for low ALD cycles < 10 (where 1 ALD cycle ≈ 0.1 nm), an island growth phase occurs in which nucleation occurs, leading to an incomplete layer; however, >10 cycles show the formation of a continuous layer as the islands coalesce into a monolayer [56,57].
Electrochemical performance was assessed through cyclic voltammetry (CV) and galvanostatic charge–discharge cycling using a Biologic VSP potentiostat. A thin pouch cell was utilised with 0.25 mm thick Li (Sigma Aldrich, Schnelldorf, Germany) as a counter/reference electrode, battery grade 1M LiPF6 in EC:DEC (1:1) (Sigma Aldrich) was used as the electrolyte, and the surface area of the LCO cathode exposed was 0.9 cm2. The cells were assembled in an Ar atmosphere glovebox (MBraun LABstar, Munich, Germany).
4. Conclusions
In this study, the effect of ALD Al2O3 coatings on LCO cycled to 4.2, 4.4 and 4.5 V upper potential limits is shown. A 3 nm Al2O3 coating has a positive effect on the charge–discharge kinetics when compared to a bare LCO sample using an upper limit of 4.2 V. A voltage of 4.4 V not result in Co dissolution. The Al2O3 appears to partially dope LCO with Al due to reactive site reactions, assisted by exposure to ambient air prior to ALD. When LCO had limited air exposure before ALD processing, the electrochemical performance decreased and CV plots showed an increase in interfacial resistance.
Bare LCO was compared with 1, 2 and 3 nm ALD Al2O3-coated LCO cycled to a 4.5 V upper potential limit, for which an initial capacity of 168 mAh g−1 were observed in both 1 nm and bare samples. They subsequently showed rapid capacity loss, while LCO with 2 and 3 nm Al2O3 showed capacities at 100 cycles of 71 and 69 mAh g−1, respectively. These capacities highlight a positive effect on electrochemical performance when 2 and 3 nm coatings are used.
Al2O3-coated LCO substrates of 1, 2 and 3 nm were investigated at a 4.4 V upper potential limit. CV analysis for the 3 nm coating showed the best electrochemical performance. Long-term cycling was carried out using a sequence to simulate real-world device usage with current rates for standby mode, data acquisition and communication to a readout. For the purpose of this study, the focus was on the results from the data acquisition current rate 147 μA/cm2 (~2.7 C). Initial discharge capacity at 2.7 C was 132 mAh g−1 (65.7 µAh cm−2 µm−1) with a capacity retention of 87% after 100 cycles. After cycles 200, 300, 400 and 500, the capacity retention rates were 81%, 72%, 70% and 61%, respectively, showing that this thin film is sufficient for long-term cycling beyond 500 cycles in a real-world setting.
Author Contributions
A.O.: Investigation, Writing—original draft, M.S.: ALD processing, I.M.P.: Supervision, Fabrication, Manuscript—review, J.F.R.: Project administration, Supervision, Writing—review and editing. All authors have read and agreed to the published version of the manuscript.
Funding
This publication emanated from research supported in part by a research grant from Science Foundation Ireland (SFI) and is cofunded by the European Regional Development Fund under Grant Number 13/RC/2077_P2 and the EU EnABLES Research Infrastructure project Powering the Internet of Things, funded by the Horizon 2020 programme under grant agreement number 730957.
Institutional Review Board Statement
Not applicable.
Data Availability Statement
The data presented in this study are available on request from the corresponding author.
Conflicts of Interest
The authors declare no conflict of interest.
References
- Fergus, J.W. Recent developments in cathode materials for lithium ion batteries. J. Power Source 2010, 195, 939–954. [Google Scholar] [CrossRef]
- Lee, J.; Lee, E.; Park, J.; Park, S.; Lee, S. Ultrahigh-Energy-Density Lithium-Ion Batteries Based on a High-Capacity Anode and a High-Voltage Cathode with an Electroconductive Nanoparticle Shell. Adv. Energy Mater. 2014, 4, 1301542. [Google Scholar] [CrossRef]
- Kalluri, S.; Yoon, M.; Jo, M.; Park, S.; Myeong, S.; Kim, J.; Dou, S.X.; Guo, Z.; Cho, J. Surface Engineering Strategies of Layered LiCoO2 Cathode Material to Realize High-Energy and High-Voltage Li-Ion Cells. Adv. Energy Mater. 2017, 7, 1601507. [Google Scholar] [CrossRef]
- Fey, G.T.-K.; Kumar, T.P. Long-Cycling Coated LiCoO2 Cathodes for Lithium Batteries—A Review. J. Ind. Eng. Chem. 2004, 10, 1090–1103. [Google Scholar]
- Yu, X.; Manthiram, A. Electrode–electrolyte interfaces in lithium-based batteries. Energy Environ. Sci. 2018, 11, 527–543. [Google Scholar] [CrossRef]
- Teranishi, T.; Yoshikawa, Y.; Yoneda, M.; Kishimoto, A.; Halpin, J.; O’Brien, S.; Modreanu, M.; Povey, I.M. Aluminum interdiffusion into LiCoO2 using atomic layer deposition for high rate lithium ion batteries. ACS Appl. Energy Mater. 2018, 1, 3277–3282. [Google Scholar] [CrossRef]
- Xiao, B.; Tang, Q.; Dai, X.; Wu, F.; Chen, H.; Li, J.; Mai, Y.; Gu, Y. Enhanced Interfacial Kinetics and High Rate Performance of LiCoO2Thin-Film Electrodes by Al Doping and In Situ Al2O3Coating. ACS Omega 2022, 7, 31597–31606. [Google Scholar] [CrossRef] [PubMed]
- Chen, Z.; Dahn, J.R. Methods to obtain excellent capacity retention in LiCoO2 cycled to 4.5 V. Electrochim. Acta 2004, 49, 1079–1090. [Google Scholar] [CrossRef]
- Wang, Z.; Huang, X.; Chen, L. Performance Improvement of Surface-Modified LiCoO2 Cathode Materials: An Infrared Absorption and X-Ray Photoelectron Spectroscopic Investigation. J. Electrochem. Soc. 2003, 150, A199–A208. [Google Scholar] [CrossRef]
- Mladenov, M.; Stoyanova, R.; Zhecheva, E.; Vassilev, S. Effect of Mg doping and MgO-surface modification on the cycling stability of LiCoO2 electrodes. Electrochem. Commun. 2001, 3, 410–416. [Google Scholar] [CrossRef]
- Sun, Y.K.; Han, J.M.; Myung, S.T.; Lee, S.W.; Amine, K. Significant improvement of high voltage cycling behavior AlF3-coated LiCoO2 cathode. Electrochem. Commun. 2006, 8, 821–826. [Google Scholar] [CrossRef]
- Moon, S.H.; Kim, M.C.; Kim, E.S.; Shin, Y.K.; Lee, J.E.; Choi, S.; Park, K.W. TiO2-coated LiCoO2 electrodes fabricated by a sputtering deposition method for lithium-ion batteries with enhanced electrochemical performance. RSC Adv. 2019, 9, 7903–7907. [Google Scholar] [CrossRef]
- Zhao, B.; Nisula, M.; Dhara, A.; Henderick, L.; Mattelaer, F.; Dendooven, J.; Detavernier, C.; Zhao, B.; Nisula, M.; Dhara, A.; et al. Atomic Layer Deposition of Indium-Tin-Oxide as Multifunctional Coatings on V2O5 Thin-Film Model Electrode for Lithium-Ion Batteries. Adv. Mater. Interfaces 2020, 7, 2001022. [Google Scholar] [CrossRef]
- Mattelaer, F.; Vereecken, P.M.; Dendooven, J.; Detavernier Mattelaer, C.F.; Dendooven, J.; Detavernier, C.; Vereecken, P.M. The Influence of Ultrathin Amorphous ALD Alumina and Titania on the Rate Capability of Anatase TiO2 and LiMn2O4 Lithium Ion Battery Electrodes. Adv. Mater. Interfaces 2017, 4, 1601237. [Google Scholar] [CrossRef]
- Poznyak, A.; Pligovka, A.; Turavets, U.; Norek, M. On-Aluminum and Barrier Anodic Oxide: Meeting the Challenges of Chemical Dissolution Rate in Various Acids and Solutions. Coatings 2020, 10, 875. [Google Scholar] [CrossRef]
- Luo, D.; Li, G.; Yu, C.; Yang, L.; Zheng, J.; Guan, X.; Li, L. Low-concentration donor-doped LiCoO2 as a high performance cathode material for Li-ion batteries to operate between −10.4 and 45.4 °C. J. Mater. Chem. 2012, 22, 22233–22241. [Google Scholar] [CrossRef]
- Yoon, M.; Dong, Y.; Yoo, Y.; Myeong, S.; Hwang, J.; Kim, J.; Choi, S.-H.; Sung, J.; Ju Kang, S.; Li, J.; et al. Unveiling Nickel Chemistry in Stabilizing High-Voltage Cobalt-Rich Cathodes for Lithium-Ion Batteries. Adv. Funct. Mater. 2020, 30, 1907903. [Google Scholar] [CrossRef]
- Nithya, C.; Thirunakaran, R.; Sivashanmugam, A.; Gopukumar, S. High-performing LiMgxCuyCo1−x—YO2 cathode material for lithium rechargeable batteries. ACS Appl. Mater. Interfaces 2012, 4, 4040–4046. [Google Scholar] [CrossRef]
- Yin, R.-Z.; Kim, Y.-S.; Shin, S.-J.; Jung, I.; Kim, J.-S.; Jeong, S.-K. In Situ XRD Investigation and Thermal Properties of Mg Doped LiCoO2 for Lithium Ion Batteries. J. Electrochem. Soc. 2012, 159, A253–A258. [Google Scholar] [CrossRef]
- Wang, L.; Ma, J.; Wang, C.; Yu, X.; Liu, R.; Jiang, F.; Sun, X.; Du, A.; Zhou, X.; Cui, G.; et al. A Novel Bifunctional Self-Stabilized Strategy Enabling 4.6 V LiCoO2 with Excellent Long-Term Cyclability and High-Rate Capability. Adv. Sci. 2019, 6, 1900355. [Google Scholar] [CrossRef]
- Liu, Q.; Su, X.; Lei, D.; Qin, Y.; Wen, J.; Guo, F.; Wu, Y.A.; Rong, Y.; Kou, R.; Xiao, X.; et al. Approaching the capacity limit of lithium cobalt oxide in lithium ion batteries via lanthanum and aluminium doping. Nat. Energy 2018, 3, 936–943. [Google Scholar] [CrossRef]
- Zhang, J.N.; Li, Q.; Ouyang, C.; Yu, X.; Ge, M.; Huang, X.; Hu, E.; Ma, C.; Li, S.; Xiao, R.; et al. Trace doping of multiple elements enables stable battery cycling of LiCoO2 at 4.6 V. Nat. Energy 2019, 4, 594–603. [Google Scholar] [CrossRef]
- Sivajee Ganesh, K.; Purusottam Reddy, B.; Jeevan Kumar, P.; Hussain, O.M. Influence of Zr dopant on microstructural and electrochemical properties of LiCoO2 thin film cathodes by RF sputtering. J. Electroanal. Chem. 2018, 828, 71–79. [Google Scholar] [CrossRef]
- Woo, J.H.; Travis, J.J.; George, S.M.; Lee, S.-H. Utilization of Al2O3 Atomic Layer Deposition for Li Ion Pathways in Solid State Li Batteries. J. Electrochem. Soc. 2015, 162, A344–A349. [Google Scholar] [CrossRef]
- Goniakowski, J.; Noguera, C. Insulating oxide surfaces and nanostructures. Comptes Rendus Phys. 2016, 17, 471–480. [Google Scholar] [CrossRef]
- Liu, N.; Li, H.; Wang, Z.; Huang, X.; Chen, L. Origin of solid electrolyte interphase on nanosized LiCoO2. Electrochem. Solid-State Lett. 2006, 9, A328. [Google Scholar] [CrossRef]
- Lee, J.T.; Wang, F.M.; Cheng, C.S.; Li, C.C.; Lin, C.H. Low-temperature atomic layer deposited Al2O3 thin film on layer structure cathode for enhanced cycleability in lithium-ion batteries. Electrochim. Acta 2010, 55, 4002–4006. [Google Scholar] [CrossRef]
- Wang, K.; Wan, J.; Xiang, Y.; Zhu, J.; Leng, Q.; Wang, M.; Xu, L.; Yang, Y. Recent advances and historical developments of high voltage lithium cobalt oxide materials for rechargeable Li-ion batteries. J. Power Source 2020, 460, 228062. [Google Scholar] [CrossRef]
- Liu, J.; Liu, N.; Liu, D.; Bai, Y.; Shi, L.; Wang, Z.; Chen, L.; Hennige, V.; Schuch, A. Improving the performances of LiCoO2 cathode materials by soaking nano-alumina in commercial electrolyte. J. Electrochem. Soc. 2006, 154, A55. [Google Scholar] [CrossRef]
- Ji, Y.; Zhang, P.; Lin, M.; Zhao, W.; Zhang, Z.; Zhao, Y.; Yang, Y. Toward a stable electrochemical interphase with enhanced safety on high-voltage LiCoO2 cathode: A case of phosphazene additives. J. Power Source 2017, 359, 391–399. [Google Scholar] [CrossRef]
- Dong, T.; Zhang, J.; Xu, G.; Chai, J.; Du, H.; Wang, L.; Wen, H.; Zang, X.; Du, A.; Jia, Q.; et al. A multifunctional polymer electrolyte enables ultra-long cycle-life in a high-voltage lithium metal battery. Energy Environ. Sci. 2018, 11, 1197–1203. [Google Scholar] [CrossRef]
- Amatucci, G.G.; Tarascon, J.M.; Klein, L.C. Cobalt dissolution in LiCoO2-based non-aqueous rechargeable batteries. Solid State Ion. 1996, 83, 167–173. [Google Scholar] [CrossRef]
- Zhang, Z.; Wu, H.; Hu, L.; Amine, K.; Washington, D.C. High Voltage Electrolyte for Lithium Batteries Vehicle Technologies Program Annual Merit Review and Peer Evaluation Meeting. 2012. Available online: https://www.energy.gov/eere/vehicles/articles/high-voltage-electrolyte-lithium-batteries (accessed on 3 May 2023).
- Cherkashinin, G.; Jaegermann, W. Dissociative adsorption of H2O on LiCoO2 (00 l) surfaces: Co reduction induced by electron transfer from intrinsic defects. J. Chem. Phys. 2016, 144, 184706. [Google Scholar] [CrossRef] [PubMed]
- Motzko, M.; Carrillo Solano, M.A.; Jaegermann, W.; Hausbrand, R. Photoemission Study on the Interaction between LiCoO2 Thin Films and Adsorbed Water. J. Phys. Chem. C 2015, 119, 23407–23412. [Google Scholar] [CrossRef]
- Bekzhanov, A.; Uzakbaiuly, B.; Mukanova, A.; Bakenov, Z. Annealing Optimization of Lithium Cobalt Oxide Thin Film for Use as a Cathode in Lithium-Ion Microbatteries. Nanomater 2022, 12, 2188. [Google Scholar] [CrossRef]
- Yoon, Y.S.; Lee, S.H.; Cho, S.B.; Nam, S.C. Influence of two-step heat treatment on sputtered lithium cobalt oxide thin films. J. Electrochem. Soc. 2011, 158, A1313. [Google Scholar] [CrossRef]
- Wang, C.; Dai, X.; Guan, X.; Jia, W.; Bai, Y.; Li, J. LiCoO2 thin film cathode sputtered onto 500 °C substrate. Electrochim. Acta 2020, 354, 136668. [Google Scholar] [CrossRef]
- Noh, J.P.; Cho, G.B.; Jung, K.T.; Kang, W.G.; Ha, C.W.; Ahn, H.J.; Ahn, J.H.; Nam, T.H.; Kim, K.W. Fabrication of LiCoO2 thin film cathodes by DC magnetron sputtering method. Mater. Res. Bull. 2012, 47, 2823–2826. [Google Scholar] [CrossRef]
- Trask, J.; Anapolsky, A.; Cardozo, B.; Januar, E.; Kumar, K.; Miller, M.; Brown, R.; Bhardwaj, R. Optimization of 10-μm, sputtered, LiCoO2 cathodes to enable higher energy density solid state batteries. J. Power Source 2017, 350, 56–64. [Google Scholar] [CrossRef]
- Ma, Y.; Chen, M.; Yan, Y.; Wei, Y.; Liu, W.; Zhang, X.; Li, J.; Fu, Z.; Li, J.; Zhang, X. Annealing of LiCoO2 films on flexible stainless steel for thin film lithium batteries. J. Mater. Res. 2020, 35, 31–41. [Google Scholar] [CrossRef]
- Jan, D.J.; Lee, C.C.; Yu, Y.J.; Chiang, H.W. Evaluation of lithium cobalt oxide films deposited by radio frequency magnetron sputtering as thin-film battery cathodes. Jpn. J. Appl. Phys. 2019, 58, 085501. [Google Scholar] [CrossRef]
- Kohler, R.; Proell, J.; Ulrich, S.; Trouillet, V.; Indris, S.; Przybylski, M.; Pfleging, W. Laser-assisted structuring and modification of LiCoO2 thin films. SPIE Proc. 2009, 7202, 69–79. [Google Scholar] [CrossRef]
- Liao, C.L.; Fung, K.Z. Lithium cobalt oxide cathode film prepared by rf sputtering. J. Power Source 2004, 128, 263–269. [Google Scholar] [CrossRef]
- Tintignac, S.; Baddour-Hadjean, R.; Pereira-Ramos, J.P.; Salot, R. High performance sputtered LiCoO2 thin films obtained at a moderate annealing treatment combined to a bias effect. Electrochim. Acta 2012, 60, 121–129. [Google Scholar] [CrossRef]
- Kim, H.S.; Oh, Y.; Kang, K.H.; Kim, J.H.; Kim, J.; Yoon, C.S. Characterization of Sputter-Deposited LiCoO2 Thin Film Grown on NASICON-type Electrolyte for Application in All-Solid-State Rechargeable Lithium Battery. ACS Appl. Mater. Interfaces 2017, 9, 16063–16070. [Google Scholar] [CrossRef]
- Jung, K.T.; Cho, G.B.; Kim, K.W.; Nam, T.H.; Jeong, H.M.; Huh, S.C.; Chung, H.S.; Noh, J.P. Influence of the substrate texture on the structural and electrochemical properties of sputtered LiCoO2 thin films. Thin Solid Films 2013, 546, 414–417. [Google Scholar] [CrossRef]
- Zhu, X.; Guo, Z.; Du, G.; Zhang, P.; Liu, H. LiCoO2 cathode thin film fabricated by RF sputtering for lithium ion microbatteries. Surf. Coatings Technol. 2010, 204, 1710–1714. [Google Scholar] [CrossRef]
- Noh, J.P.; Jung, K.T.; Jang, M.S.; Kwon, T.H.; Cho, G.B.; Kim, K.W.; Nam, T.H. Protection Effect of ZrO2 Coating Layer on LiCoO2 Thin Film Fabricated by DC Magnetron Sputtering. J. Nanosci. Nanotechnol. 2013, 13, 7152–7154. [Google Scholar] [CrossRef]
- Turrell, S.J.; Zekoll, S.; Liu, J.; Grovenor, C.R.M.; Speller, S.C. Optimization of a potential manufacturing process for thin-film LiCoO2 cathodes. Thin Solid Films 2021, 735, 138888. [Google Scholar] [CrossRef]
- Puurunen, R.L. Surface chemistry of atomic layer deposition: A case study for the trimethylaluminum/water process. J. Appl. Phys. 2005, 97, 121301. [Google Scholar] [CrossRef]
- Boryło, P.; Lukaszkowicz, K.; Szindler, M.; Kubacki, J.; Balin, K.; Basiaga, M.; Szewczenko, J. Structure and properties of Al2O3 thin films deposited by ALD process. Vacuum 2016, 131, 319–326. [Google Scholar] [CrossRef]
- Kim, S.; Lee, S.H.; Jo, I.H.; Seo, J.; Yoo, Y.E.; Kim, J.H. Influence of growth temperature on dielectric strength of Al2O3 thin films prepared via atomic layer deposition at low temperature. Sci. Rep. 2022, 12, 5124. [Google Scholar] [CrossRef]
- Young, M.J.; Musgrave, C.B.; George, S.M. Growth and Characterization of Al2O3 Atomic Layer Deposition Films on sp2-Graphitic Carbon Substrates Using NO2/Trimethylaluminum Pretreatment. ACS Appl. Mater. Interfaces 2015, 7, 12030–12037. [Google Scholar] [CrossRef]
- Ott, A.W.; Klaus, J.W.; Johnson, J.M.; George, S.M. Al3O3 thin film growth on Si(100) using binary reaction sequence chemistry. Thin Solid Films 1997, 292, 135–144. [Google Scholar] [CrossRef]
- Naumann, V.; Otto, M.; Wehrspohn, R.B.; Werner, M.; Hagendorf, C. Interface and material characterization of thin ALD-Al 2 O 3 layers on crystalline silicon. Energy Procedia 2012, 27, 312–318. [Google Scholar] [CrossRef]
- Chen, L.; Warburton, R.E.; Chen, K.S.; Libera, J.A.; Johnson, C.; Yang, Z.; Hersam, M.C.; Greeley, J.P.; Elam, J.W. Mechanism for Al2O3 Atomic Layer Deposition on LiMn2O4 from In Situ Measurements and Ab Initio Calculations. Chem 2018, 4, 2418–2435. [Google Scholar] [CrossRef]
Disclaimer/Publisher’s Note: The statements, opinions and data contained in all publications are solely those of the individual author(s) and contributor(s) and not of MDPI and/or the editor(s). MDPI and/or the editor(s) disclaim responsibility for any injury to people or property resulting from any ideas, methods, instructions or products referred to in the content. |
© 2023 by the authors. Licensee MDPI, Basel, Switzerland. This article is an open access article distributed under the terms and conditions of the Creative Commons Attribution (CC BY) license (https://creativecommons.org/licenses/by/4.0/).




