Dynamics in Quaternary Ionic Liquids with Non-Flexible Anions: Insights from Mechanical Spectroscopy
Abstract
1. Introduction
2. Results and Discussion
2.1. Thermal Transitions and Density
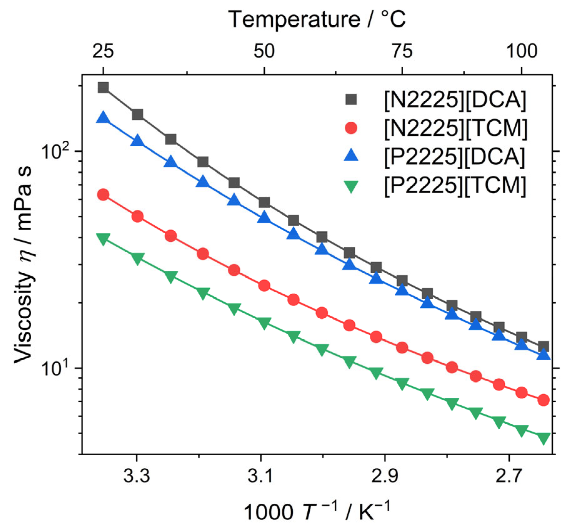
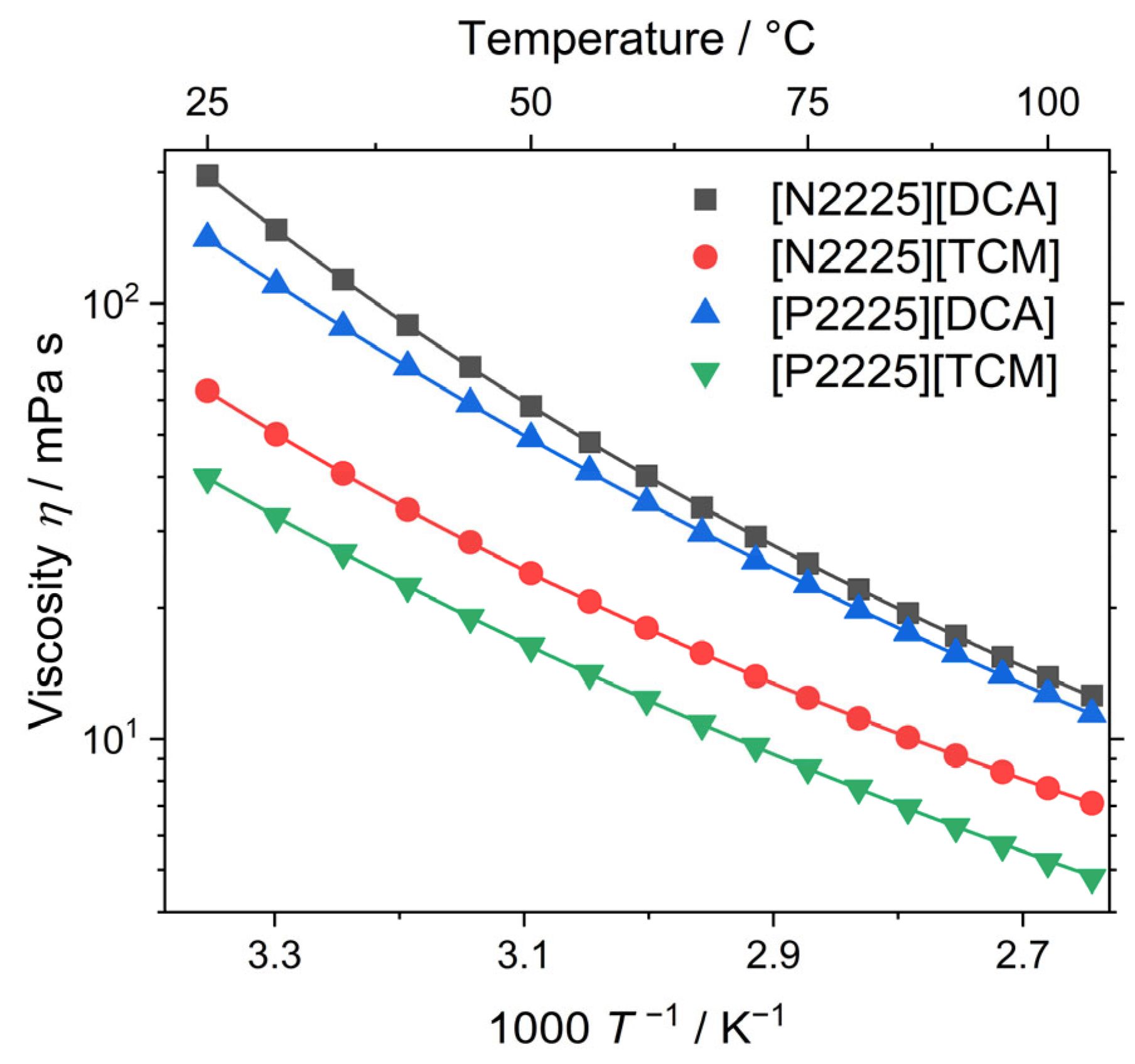
2.2. Viscosity
2.3. Conductivity and Walden Plot
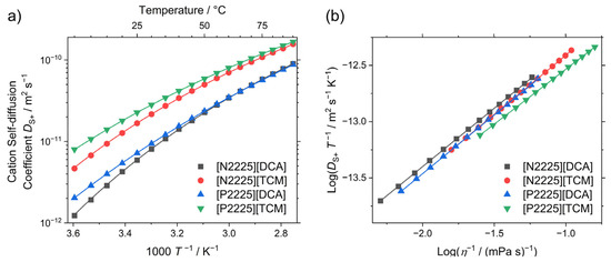
2.4. Self-Diffusion Coefficients
2.5. DMA Measurements
2.6. Ab Initio Simulations
3. Materials and Methods
3.1. DSC Measurements
3.2. Density
3.3. Viscosity
3.4. Fitting of the Transport Properties
3.5. Specific and Molar Conductivity
3.6. Cation Self-Diffusion Coefficients
3.7. Dynamical Mechanical Analysis
3.8. Ab Initio Calculations
Supplementary Materials
Author Contributions
Funding
Institutional Review Board Statement
Informed Consent Statement
Data Availability Statement
Conflicts of Interest
References
- Welton, T. Ionic liquids: A brief history. Biophys. Rev. 2018, 10, 691–706. [Google Scholar] [CrossRef] [PubMed]
- Plechkova, V.; Seddon, K.R. Applications of Ionic Liquids in the Chemical Industry. Chem. Soc. Rev. 2008, 37, 123–150. [Google Scholar] [CrossRef] [PubMed]
- Matic, A.; Scrosati, B. Ionic Liquids for Energy Applications. MRS Bull. 2013, 38, 533–536. [Google Scholar] [CrossRef]
- Armand, M.; Endres, F.; MacFarlane, D.R.; Ohno, H.; Scrosati, B. Ionic-liquid materials for the electrochemical challenges of the future. In Materials for Sustainable Energy; World Scientific: Singapore, 2011; pp. 129–137. [Google Scholar]
- Rauber, D.; Hofmann, A.; Philippi, F.; Kay, C.W.M.; Zinkevich, T.; Hanemann, T.; Hempelmann, R. Structure-Property Relation of Trimethyl Ammonium Ionic Liquids for Battery Applications. Appl. Sci. 2021, 11, 11125679. [Google Scholar] [CrossRef]
- Brutti, S.; Simonetti, E.; De Francesco, M.; Sarra, A.; Paolone, A.; Palumbo, O.; Fantini, S.; Lin, R.; Falgayrat, A.; Künzele, M.; et al. Ionic liquid electrolytes for high-voltage lithium-ion batteries with a lithium-rich layered oxide positive electrode Li1.2Ni0.2Mn0.6O2. J. Power Sources 2020, 479, 228791. [Google Scholar] [CrossRef]
- Philippi, F.; Welton, T. Targeted modifications in ionic liquids—From understanding to design. Phys. Chem. Chem. Phys. 2021, 23, 6993–7021. [Google Scholar] [CrossRef]
- Philippi, F.; Pugh, D.; Rauber, D.; Welton, T.; Hunt, P. Conformational design concepts for anions in ionic liquids. Chem. Sci. 2020, 11, 6405–64227. [Google Scholar] [CrossRef]
- Philippi, F.; Rauber, D.; Palumbo, O.; Goloviznina, K.; McDaniel, J.; Pugh, D.; Suarez, S.; Fraenza, C.C.; Padua, A.; Kay, C.W.M.; et al. Flexibility is the Key to Tuning the Transport Properties of Fluorinated Imide-Based Ionic Liquids. Chem. Sci. 2022, 13, 9176–9190. [Google Scholar] [CrossRef]
- Palumbo, O.; Trequattrini, F.; Vitucci, F.M.; Paolone, A. Relaxation dynamics and phase transitions in ionic liquids: Viscoelastic properties from the liquid to the solid state. J. Phys. Chem. B 2015, 119, 12905–12911. [Google Scholar] [CrossRef]
- Palumbo, O.; Trequattrini, F.; Appetecchi, G.; Conte, L.; Paolone, A. Relaxation dynamics in pyrrolidinium based ionic liquids: The role of the anion conformers. J. Mol. Liq. 2017, 243, 9–13. [Google Scholar] [CrossRef]
- Palumbo, O.; Paolone, A.; Rauber, D.; Kay, C.W.M.; Philippi, F.; Welton, T. Mechanical spectroscopy study of ionic liquids with quaternary cations: Effects of different conformational flexibility. J. Alloys Compd. 2022, 919, 165860. [Google Scholar] [CrossRef]
- Castiglione, F.; Moreno, M.; Raos, G.; Famulari, A.; Mele, A.; Appetecchi, G.B.; Passerini, S. Structural Organization and Transport Properties of Novel Pyrrolidinium-Based Ionic Liquids with Perfluoroalkyl Sulfonylimide Anions. J. Phys. Chem. B 2009, 113, 10750–10759. [Google Scholar] [CrossRef]
- Rivera, A.; Rossler, E.A. Evidence of Secondary Relaxations in the Dielectric Spectra Of Ionic Liquids. Phys. Rev. B 2006, 73, 212201. [Google Scholar] [CrossRef]
- Shamim, N.; McKenna, G.B. Glass Dynamics and Anomalous Aging in a Family of Ionic Liquids above the Glass TransitionTemperature. J. Phys. Chem. B 2010, 114, 15742–15752. [Google Scholar] [CrossRef]
- Nakamura, K.; Shikata, T. Systematic Dielectric and NMR Study -of the Ionic Liquid 1-Alkyl-3-Methyl Imidazolium. Chem. Phys. Chem. 2010, 11, 285–294. [Google Scholar] [CrossRef]
- Sangoro, J.J.; Crosby, T.; Kremer, F. Dielectric Properties of Ionic Liquids; Springer: Berlin, Germany, 2016; pp. 29–51. [Google Scholar]
- Cosby, T.; Stachurski, C.D.; Mantz, R.A.; Trulove, P.C.; Durkin, D.P. Elucidating the interplay of local and mesoscale ion dynamics and transport properties in aprotic ionic liquids. Phys. Chem. Chem. Phys. 2023, 25, 6342. [Google Scholar] [CrossRef]
- Amith, W.D.; Araque, J.C.; Margulis, C.J. Relationship between the Relaxation of Ionic Liquid Structural Motifs and That of the Shear Viscosity. J. Phys. Chem. B 2021, 125, 6264–6271. [Google Scholar] [CrossRef]
- Sha, M.; Ma, X.; Li, N.; Luo, F.; Zhu, G.; Fayer, M.D. Dynamical properties of a room temperature ionic liquid: Using molecular dynamics simulations to implement a dynamic ion cage model. J. Chem. Phys. 2019, 151, 154502. [Google Scholar] [CrossRef]
- Cheng, S.; Wojnarowska, Z.; Musiał, M.; Paluch, M. Correlation between configurational entropy, excess entropy, and ion dynamics in imidazolium-based ionic liquids: Test of the Adam–Gibbs model. J. Chem. Phys. 2021, 154, 044502. [Google Scholar] [CrossRef]
- Schrödle, S.; Annat, G.; MacFarlane, D.R.; Forsyth, M.; Buchner, R.; Hefter, G. High Frequency Dielectric Response of the Ionic Liquid N-Methyl-N-ethylpyrrolidinium Dicyanamide. Aust. J. Chem. 2007, 60, 6–8. [Google Scholar] [CrossRef]
- Schrodle, S.; Annat, G.; MacFarlane, D.R.; Forsyth, M.; Buchner, R.; Hefter, G. Broadband Dielectric Response Of The Ionic Liquid Nmethyl-N-ethylpyrrolidinium Dicyanamide. Chem. Commun. 2006, 16, 1748–1750. [Google Scholar] [CrossRef] [PubMed]
- Krause, C.; Sangoro, J.R.; Iacob, C.; Kremer, F. Charge Transport and Dipolar Relaxations in Imidazolium-Based Ionic, Liquids. J. Phys. Chem. B 2010, 114, 382–386. [Google Scholar] [CrossRef] [PubMed]
- Cosby, T.; Vicars, Z.; Mapesa, E.U.; Tsunashima, K.; Sangoro, J. Charge transport and dipolar relaxations in phosphonium-based ionic liquids. J. Chem. Phys. 2017, 147, 234504. [Google Scholar] [CrossRef] [PubMed]
- Amith, W.D.; Araque, J.C.; Margulis, C.J. A Pictorial View of Viscosity in Ionic Liquids and the Link to Nanostructural Heterogeneity. J. Phys. Chem. Lett. 2020, 11, 2062–2066. [Google Scholar] [CrossRef] [PubMed]
- Yamaguchi, T. Coupling between the mesoscopic dynamics and shear stress of a room-temperature ionic liquid. Phys. Chem. Chem. Phys. 2018, 20, 17809. [Google Scholar] [CrossRef] [PubMed]
- Fraser, K.J.; Izgorodina, E.I.; Forsyth, M.; Scott, J.L.; MacFarlane, D.R. Liquids intermediate between “molecular” and “ionic” liquids: Liquid Ion Pairs. Chem. Commun. 2007, 37, 3817–3819. [Google Scholar] [CrossRef]
- Philippi, F.; Rauber, D.; Zapp, J.; Präsang, C.; Scheschkewitz, D.; Hempelmann, R. Multiple ether-functionalized phosphonium ionic liquids as highly fluid electrolytes. Chem. Phys. Chem. 2019, 20, 443–455. [Google Scholar] [CrossRef]
- Bradaric, C.J.; Downard, A.; Kennedy, C.; Robertsona, A.J.; Zhou, Y. Industrial preparation of phosphonium ionic liquids. Green Chem. 2003, 5, 143–152. [Google Scholar] [CrossRef]
- Fraser, K.J.; MacFarlane, D.R. Phosphonium-Based Ionic Liquids: An Overview. Aust. J. Chem. 2009, 62, 309–321. [Google Scholar] [CrossRef]
- Hofmann, A.; Rauber, D.; Wang, T.-M.; Hempelmann, R.; Kay, C.W.M.; Hanemann, T. Novel Phosphonium-Based Ionic Liquid Electrolytes for Battery Applications. Molecules 2022, 27, 4729. [Google Scholar] [CrossRef]
- Philippi, F.; Rauber, D.; Kuttich, B.; Kraus, T.; Kay, C.W.M.; Hempelmann, R.; Hunt, P.A.; Welton, T. Ether functionalization, ion conformation and the optimisation of macroscopic properties in ionic liquids. Phys. Chem. Chem. Phys. 2020, 22, 23038–23056. [Google Scholar] [CrossRef]
- Lewandowski, A.; Swiderska-Mocek, A. Ionic liquids as electrolytes for Li-ion batteries—An overview of electrochemical studies. J. Power Sources 2009, 194, 601–609. [Google Scholar] [CrossRef]
- Scarbath-Evers, L.K.; Hunt, P.A.; Kirchner, B.; MacFarlane, D.R.; Zahn, S. Molecular features contributing to the lower viscosity of phosphonium ionic liquids compared to their ammonium analogues. Phys. Chem. Chem. Phys. 2015, 17, 20205–20216. [Google Scholar] [CrossRef]
- Lima, T.A.; Paschoal, V.H.; Faria, L.F.O.; Ribeiro, M.C.C.; Ferreira, F.F.; Costa, F.N.; Giles, C. Comparing two tetraalkylammonium ionic liquids. II. Phase transitions. J. Chem. Phys. 2016, 144, 224505. [Google Scholar] [CrossRef]
- Seki, S.; Hayamizu, K.; Tsuzuki, S.; Fujii, K.; Umebayashi, Y.; Mitsugi, T.; Kobayashi, T.; Ohno, Y.; Kobayashi, Y.; Mita, Y.; et al. Relationships between center atom species (N, P) and ionic conductivity, viscosity, density, self-diffusion coefficient of quaternary cation room-temperature ionic liquids. Phys. Chem. Chem. Phys. 2009, 11, 3509–3514. [Google Scholar] [CrossRef]
- Tsunashima, K.; Sugiya, M. Physical and electrochemical properties of low-viscosity phosphonium ionic liquids as potential electrolytes. Electrochem. Commun. 2007, 9, 2353–2358. [Google Scholar] [CrossRef]
- Carvalho, P.J.; Ventura, S.P.M.; Batista, M.L.S.; Schröder, B.; Gonçalves, F.; Esperança, J.; Mutelet, F.; Coutinho, J.A.P. Understanding the impact of the central atom on the ionic liquid behavior: Phosphonium vs ammonium cations. J. Chem. Phys. 2014, 140, 064505. [Google Scholar] [CrossRef]
- Matsumoto, M.; Takeuchi, K.; Inoue, Y.; Tsunashima, K.; Yamada, H. Molecular Insight into the Ionic Conduction of Quaternary Ammonium and Phosphonium Cation-Based Ionic Liquids Using Dielectric and Spectroscopy Analyses. J. Phys. Chem. B 2022, 126, 10490–10499. [Google Scholar] [CrossRef]
- Karimi, K.; Zarrabeitia, M.; Mariani, A.; Gatti, D.; Varzi, A.; Passerini, S. Nonfluorinated Ionic Liquid Electrolytes for Lithium Metal Batteries: Ionic Conduction, Electrochemistry, and Interphase Formation. Adv. Energy Mater. 2021, 11, 2003521. [Google Scholar] [CrossRef]
- Larriba, M.; Navarro, P.; García, J.; Rodríguez, F. Liquid−Liquid Extraction of Toluene from Heptane Using [emim][DCA], [bmim][DCA], and [emim][TCM] Ionic Liquids. Ind. Eng. Chem. Res. 2013, 52, 2714–2720. [Google Scholar] [CrossRef]
- Angell, C.A. Formation of Glasses from Liquids and Biopolymers. Science 1995, 267, 1924–1935. [Google Scholar] [CrossRef] [PubMed]
- Harris, K.R.; Kanakubo, M.; Kodama, D.; Makino, T.; Mizuguchi, Y.; Watanabe, M.; Watanab, T. Temperature and Density Dependence of the Transport Properties of the Ionic Liquid Triethylpentylphosphonium Bis(trifluoromethanesulfonyl)amide, [P222,5][Tf2N]. J. Chem. Eng. Data 2018, 63, 2015–2027. [Google Scholar] [CrossRef]
- Schreiner, C.; Zugmann, S.; Hartl, R.; Gores, H.J. Fractional Walden Rule for Ionic Liquids: Examples from Recent Measurements and a Critique of the So-Called Ideal KCl Line for the Walden Plot. J. Chem. Eng. Data 2010, 55, 1784–1788. [Google Scholar] [CrossRef]
- Schreiner, C.; Zugmann, S.; Hartl, R.; Gores, H.J. Temperature Dependence of Viscosity and Specific Conductivity of Fluoroborate-Based Ionic Liquids in Light of the Fractional Walden Rule and Angell’s Fragility Concept. J. Chem. Eng. Data 2010, 55, 4372–4377. [Google Scholar] [CrossRef]
- Harris, K.R. On the Use of the Angell–Walden Equation To Determine the “Ionicity” of Molten Salts and Ionic Liquids. J. Phys. Chem. B 2019, 123, 7014–7023. [Google Scholar] [CrossRef]
- MacFarlane, D.R.; Forsyth, M.; Izgorodina, E.I.; Abbott, A.P.; Annat, G.; Fraser, K. On the concept of ionicity in ionic liquids. Phys. Chem. Chem. Phys. 2009, 11, 4962–4967. [Google Scholar] [CrossRef]
- Sippel, P.; Lunkenheimer, P.; Krohns, S.; Thoms, E.; Loid, A. Importance of liquid fragility for energy applications of ionic liquids. Sci. Rep. 2015, 5, 13922. [Google Scholar] [CrossRef]
- Van Geet, A.L. Calibration of Methanol Nuclear Magnetic Resonance Thermometer at Low Temperature. Anal. Chem. 1970, 42, 6. [Google Scholar] [CrossRef]
- Makino, W.; Kishikawa, R.; Mizoshiri, M.; Takeda, S.; Yao, M. Viscoelastic properties of room temperature ionic liquids. J. Chem. Phys. 2008, 129, 104510–104517. [Google Scholar] [CrossRef]
- Yamaguchi, T.; Miyake, S.; Koda, S. Shear relaxation of imidazolium-based room- temperature ionic liquids. J. Phys. Chem. B 2010, 114, 8126–8133. [Google Scholar] [CrossRef]
- Nowick, A.S.; Berry, B.S.; Katz, J.L. Anelastic Relaxation in Crystalline Solids; Academic Press: New York, NY, USA; London, UK, 1972. [Google Scholar]
- Cantelli, R.; Palumbo, O.; Paolone, A.; Jensen, C.M.; Kuba, M.T.; Ayabe, R. Dynamics of defects in alanates. J. Alloys Compd. 2007, 446–447, 260–263. [Google Scholar] [CrossRef]
- Palumbo, O.; Cantelli, R.; Paolone, A.; Jensen, C.M.; Srinivasan, S.S. Motion of point defects and monitoring of chemical reactions in sodium aluminiumhydride. J. Alloys Compd. 2005, 404–406, 748–751. [Google Scholar] [CrossRef]
- Frisch, M.J.; Trucks, G.W.; Schlegel, H.B.; Scuseria, G.E.; Robb, M.A.; Cheeseman, J.R.; Scalmani, G.; Barone, V.; Mennucci, B.; Petersson, G.A.; et al. Gaussian, 09, Revision E.01; Gaussian, Inc.: Wallingford, CT, USA, 2013. [Google Scholar]
- Smith, D.G.A.; Burns, L.A.; Simmonett, A.C.; Parrish, R.M.; Schieber, M.C.; Galvelis, R.; Kraus, P.; Kruse, H.; Di Remigio, R.; Alenaizan, A.A.; et al. PSI4 1.4: Open-source software for high-throughput quantum chemistry. J. Chem. Phys. 2020, 152, 184108. [Google Scholar] [CrossRef]






| [N2225][DCA] | 195 | – | – | – | 0.9832 |
| [N2225][TCM] | 192 | – | – | – | 0.9589 |
| [P2225][DCA] | 183 | 244 | – | 264 | 1.0064 |
| [P2225][TCM] | 179 | 220 | 273 | 278 | 0.9703 |
| [N2225][DCA] | 196.7 ± 3.0 | 3.067 ± 0.053 | 695.3 ± 4.3 | 190.5 ± 0.4 | 3.65 ± 0.02 |
| [N2225][TCM] | 63.0 ± 0.9 | 3.852 ± 0.076 | 545.2 ± 5.0 | 191.2 ± 0.6 | 2.85 ± 0.03 |
| [P2225][DCA] | 141.3± 2.1 | 1.780 ± 0.098 | 881.7 ± 16.7 | 166.1 ± 1.4 | 5.31 ± 0.11 |
| [P2225][TCM] | 39.8 ± 0.6 | 1.615 ± 0.054 | 710.7 ± 10.2 | 169.1 ± 1.1 | 4.20 ± 0.07 |
| [N2225][DCA] | 0.501 ± 0.01 | 263.6 ± 6.5 | –680.5 ± 7.6 | 189.7 ± 0.9 | 3.59 ± 0.04 |
| [N2225][TCM] | 1.017 ± 0.02 | 203.4 ± 4.0 | –611.1 ± 6.3 | 182.7 ± 0.8 | 3.34 ± 0.04 |
| [P2225][DCA] | 0.580 ± 0.01 | 391.3 ± 10.6 | –856.8 ± 9.6 | 166.6 ± 1.0 | 5.14 ± 0.07 |
| [P2225][TCM] | 1.372 ± 0.03 | 234.9 ± 5.0 | –676.2 ± 7.5 | 166.6 ± 1.0 | 4.06 ± 0.05 |
| [N2225][DCA] | 5.89 ± 0.12 | 1.295 ± 0.080 | –914.7 ± 19.8 | 179.1 ± 1.7 | 5.11 ± 0.12 |
| [N2225][TCM] | 16.75 ± 0.34 | 1.029 ± 0.048 | –784.2 ± 14.9 | 175.9 ± 1.5 | 4.46 ± 0.09 |
| [P2225][DCA] | 7.18 ± 0.14 | 2.589 ± 0.262 | –1215.4 ± 37.8 | 149.6 ± 2.9 | 8.12 ± 0.30 |
| [P2225][TCM] | 22.63 ± 0.45 | 1.255 ± 0.058 | –887.4 ± 16.2 | 157.6 ± 1.6 | 5.63 ± 0.12 |
| τ0 [s] | T0 [K] | α | B [K] | |
|---|---|---|---|---|
| [N2225][DCA] | (4.5 ± 2.7) 10−7 | 180 ± 4 | 0.8 | 775 ± 85 |
| [N2225][TCM] | (4.4 ± 0.1) 10−7 | 186 ± 1 | 0.86 | 452 ± 220 |
| [P2225][DCA] | (4.0 ± 2) 10−7 | 141 ± 1 | 0.85 | 1271 ± 405 |
| [P2225][TCM] | (8.8 ± 5.3) 10−7 | 156 ± 3 | 0.98 | 661 ± 69 |
| MP2 | SAPT2+ | Electrostatics | Exchange | Dispersion | Induction | |
|---|---|---|---|---|---|---|
| [N1111][DCA] | −87.4 | −86.1 | −90.2 | 25.2 | −11.2 | −9.9 |
| [N1111][TCM] | −78.8 | −77.9 | −79.7 | 21.4 | −10.4 | −9.2 |
| [P1111][DCA] | −88.7 | −87.5 | −91.6 | 26.5 | −12.4 | −10.1 |
| [P1111][TCM] | −79.9 | −79.0 | −80.8 | 22.7 | −11.5 | −9.3 |
Disclaimer/Publisher’s Note: The statements, opinions and data contained in all publications are solely those of the individual author(s) and contributor(s) and not of MDPI and/or the editor(s). MDPI and/or the editor(s) disclaim responsibility for any injury to people or property resulting from any ideas, methods, instructions or products referred to in the content. |
© 2023 by the authors. Licensee MDPI, Basel, Switzerland. This article is an open access article distributed under the terms and conditions of the Creative Commons Attribution (CC BY) license (https://creativecommons.org/licenses/by/4.0/).
Share and Cite
Palumbo, O.; Paolone, A.; Philippi, F.; Rauber, D.; Welton, T. Dynamics in Quaternary Ionic Liquids with Non-Flexible Anions: Insights from Mechanical Spectroscopy. Int. J. Mol. Sci. 2023, 24, 11046. https://doi.org/10.3390/ijms241311046
Palumbo O, Paolone A, Philippi F, Rauber D, Welton T. Dynamics in Quaternary Ionic Liquids with Non-Flexible Anions: Insights from Mechanical Spectroscopy. International Journal of Molecular Sciences. 2023; 24(13):11046. https://doi.org/10.3390/ijms241311046
Chicago/Turabian StylePalumbo, Oriele, Annalisa Paolone, Frederik Philippi, Daniel Rauber, and Tom Welton. 2023. "Dynamics in Quaternary Ionic Liquids with Non-Flexible Anions: Insights from Mechanical Spectroscopy" International Journal of Molecular Sciences 24, no. 13: 11046. https://doi.org/10.3390/ijms241311046
APA StylePalumbo, O., Paolone, A., Philippi, F., Rauber, D., & Welton, T. (2023). Dynamics in Quaternary Ionic Liquids with Non-Flexible Anions: Insights from Mechanical Spectroscopy. International Journal of Molecular Sciences, 24(13), 11046. https://doi.org/10.3390/ijms241311046

