Nitisinone Treatment Affects Biomarkers of Bone and Cartilage Remodelling in Alkaptonuria Patients
Abstract
1. Introduction
2. Results
2.1. Demographic and Clinical Parameters
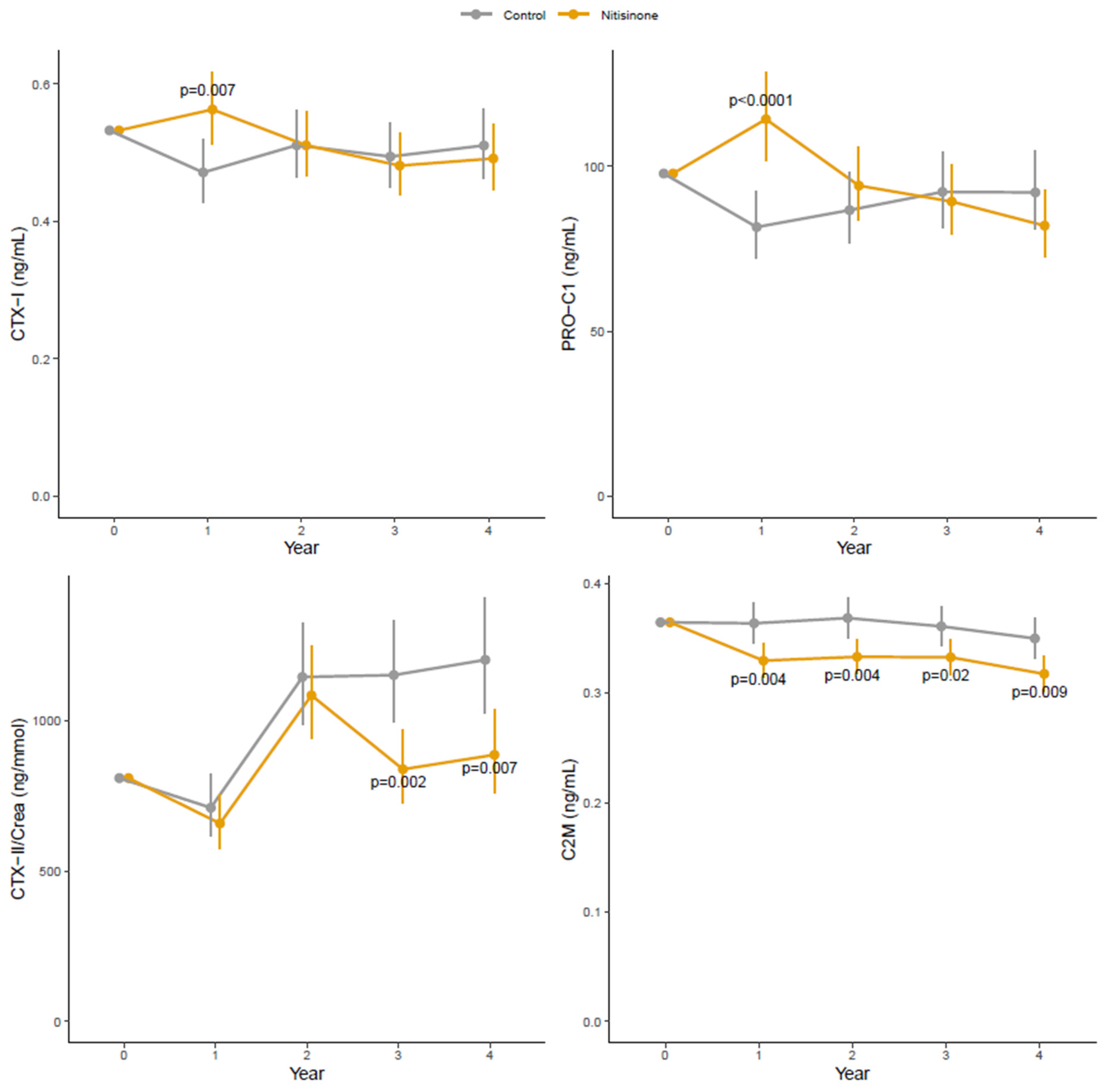
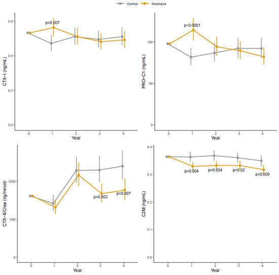
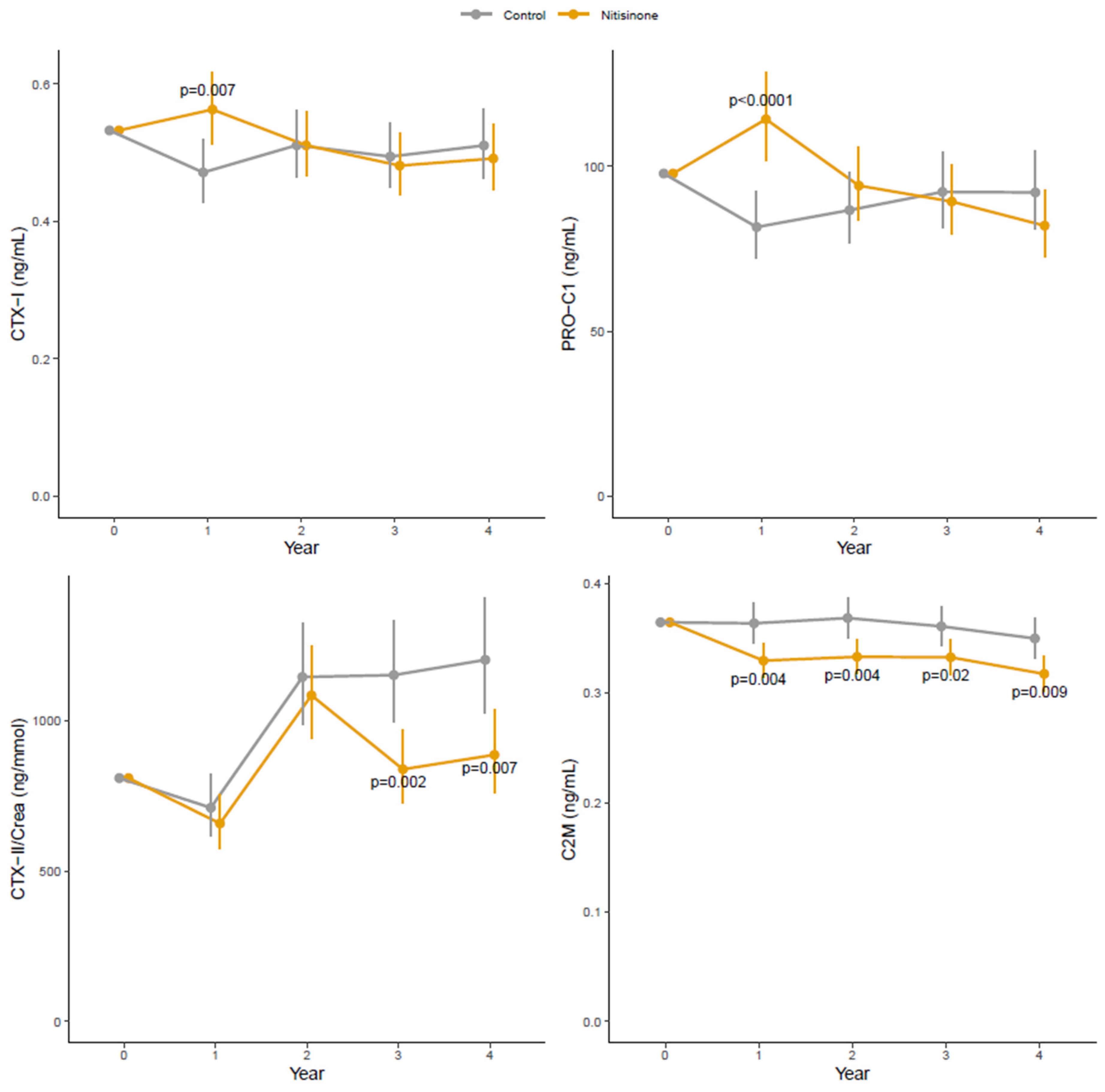
2.2. Effect of Nitisinone Treatment on the ECM Biomarkers
2.3. Levels of ECM Biomarkers Correlated to Demographic and Clinical Parameters
3. Discussion
4. Materials and Methods
4.1. Clinical Cohort
4.2. Patient and Public Involvement
4.3. Measurements
4.4. Statistical Analyses
Supplementary Materials
Author Contributions
Funding
Institutional Review Board Statement
Informed Consent Statement
Data Availability Statement
Acknowledgments
Conflicts of Interest
References
- O’brien, W.M.; La Du, B.N.; Bunim, J.J. Biochemical, pathologic and clinical aspects of alcaptonuria, ochronosis and ochronotic arthropathy: Review of world literature (1584–1962). Am. J. Med. 1963, 34, 813–838. [Google Scholar] [CrossRef]
- Phornphutkul, C.; Introne, W.J.; Perry, M.B.; Bernardini, I.; Murphey, M.D.; Fitzpatrick, D.L.; Anderson, P.D.; Huizing, M.; Anikster, Y.; Gerber, L.H.; et al. Natural history of alkaptonuria. N. Engl. J. Med. 2002, 347, 2111–2121. [Google Scholar] [CrossRef] [PubMed]
- Taylor, A.M.; Boyde, A.; Wilson, P.J.M.; Jarvis, J.C.; Davidson, J.S.; Hunt, J.A.; Ranganath, L.R.; Gallagher, J.A. The role of calcified cartilage and subchondral bone in the initiation and progression of ochronotic arthropathy in alkaptonuria. Arthritis Rheum. 2011, 63, 3887–3896. [Google Scholar] [CrossRef] [PubMed]
- Taylor, A.M.; Hsueh, M.-F.; Ranganath, L.R.; Gallagher, J.A.; Dillon, J.P.; Huebner, J.L.; Catterall, J.B.; Kraus, V.B. Cartilage biomarkers in the osteoarthropathy of alkaptonuria reveal low turnover and accelerated ageing. Rheumatology 2017, 56, 156–164. [Google Scholar] [CrossRef] [PubMed]
- Ranganath, L.R.; Khedr, M.; Vinjamuri, S.; Gallagher, J.A. Frequency, diagnosis, pathogenesis and management of osteoporosis in alkaptonuria: Data analysis from the UK National Alkaptonuria Centre. Osteoporos. Int. 2021, 32, 927–938. [Google Scholar] [CrossRef]
- Ranganath, L.R.; Jarvis, J.C.; Gallagher, J.A. Recent advances in management of alkaptonuria (invited review; Best practice article). J. Clin. Pathol. 2013, 66, 367–373. [Google Scholar] [CrossRef]
- Garrod, A.E. The Incidence of Alkaptonuria: A Study in Chemical Individuality. Lancet 1902, 160, 1616–1620. [Google Scholar] [CrossRef]
- Ranganath, L.R.; Milan, A.M.; Hughes, A.T.; Dutton, J.J.; Fitzgerald, R.; Briggs, M.C.; Bygott, H.; Psarelli, E.; Cox, T.F.; Gallagher, J.; et al. Suitability of Nitisinone in Alkaptonuria 1 (SONIA 1): An international, multicentre, randomised, open-label, no-treatment controlled, parallel-group, dose-response study to investigate the effect of once daily nitisinone on 24-h urinary homogentisic acid excretion in patients with alkaptonuria after 4 weeks of treatment. Ann. Rheum. Dis. 2016, 75, 362–367. [Google Scholar]
- Ranganath, L.R.; Psarelli, E.E.; Arnoux, J.B.; Braconi, D.; Briggs, M.; Bröijersén, A.; Loftus, N.; Bygott, H.; Cox, T.F.; Davison, A.S.; et al. Efficacy and safety of once-daily nitisinone for patients with alkaptonuria (SONIA 2): An international, multicentre, open-label, randomised controlled trial. Lancet Diabetes Endocrinol. 2020, 8, 762–772. [Google Scholar] [CrossRef]
- Taylor, A.; Preston, A.; Paulk, N.; Sutherland, H.; Keenan, C.; Wilson, P.; Wlodarski, B.; Grompe, M.; Ranganath, L.; Gallagher, J.; et al. Ochronosis in a murine model of alkaptonuria is synonymous to that in the human condition. Osteoarthr. Cartil. 2012, 20, 880–886. [Google Scholar] [CrossRef]
- Keenan, C.M.; Preston, A.J.; Sutherland, H.; Wilson, P.J.; Psarelli, E.; Cox, T.F.; Ranganath, L.R.; Jarvis, J.C.; Gallagher, J.A. Nitisinone Arrests but Does Not Reverse Ochronosis in Alkaptonuric Mice. JIMD Rep. 2015, 24, 45–50. [Google Scholar]
- Cox, T.; Psarelli, E.E.; Taylor, S.; Shepherd, H.R.; Robinson, M.; Barton, G.; Mistry, A.; Genovese, F.; Braconi, D.; Giustarini, D.; et al. Subclinical ochronosis features in alkaptonuria: A cross-sectional study. BMJ Innov. 2019, 5, 2–3. [Google Scholar] [CrossRef]
- Genovese, F.; Siebuhr, A.S.; Musa, K.; Gallagher, J.A.; Milan, A.M.; Karsdal, M.A.; Rovensky, J.; Bay-Jensen, A.C.; Ranganath, L.R. Investigating the Robustness and Diagnostic Potential of Extracellular Matrix Remodelling Biomarkers in Alkaptonuria. JIMD Rep. 2015, 24, 29–37. [Google Scholar] [PubMed]
- Hughes, J.H.; Keenan, C.M.; Sutherland, H.; Edwards, H.R.; Wilson, P.J.M.; Ranganath, L.R.; Jarvis, J.C.; Bou-Gharios, G.; Gallagher, J.A. Anatomical Distribution of Ochronotic Pigment in Alkaptonuric Mice is Associated with Calcified Cartilage Chondrocytes at Osteochondral Interfaces. Calcif. Tissue Int. 2021, 108, 207–218. [Google Scholar] [CrossRef] [PubMed]
- Chapurlat, R.D.; Garnero, P.; Sornay-Rendu, E.; Arlot, M.E.; Claustrat, B.; Delmas, P.D. Longitudinal study of bone loss in pre- and perimenopausal women: Evidence for bone loss in perimenopausal women. Osteoporos. Int. 2000, 11, 493–498. [Google Scholar] [CrossRef]
- Garnero, P.; Sornay-Rendu, E.; Chapuy, M.C.; Delmas, P.D. Increased bone turnover in late postmenopausal women is a major determinant of osteoporosis. J. Bone Miner. Res. 1996, 11, 337–349. [Google Scholar] [CrossRef] [PubMed]
- Christgau, S.; Bitsch-Jensen, O.; Bjarnason, N.H.; Henriksen, E.G.; Qvist, P.; Alexandersen, P.; Henriksen, D.B. Serum CrossLaps for monitoring the response in individuals undergoing antiresorptive therapy. Bone 2000, 26, 505–511. [Google Scholar] [CrossRef]
- Kraus, V.B.; Collins, J.E.; Charles, H.C.; Pieper, C.F.; Whitley, L.; Losina, E.; Nevitt, M.; Hoffmann, S.; Roemer, F.; Guermazi, A.; et al. Predictive Validity of Radiographic Trabecular Bone Texture in Knee Osteoarthritis: The Osteoarthritis Research Society International/Foundation for the National Institutes of Health Osteoarthritis Biomarkers Consortium. Arthritis Rheumatol. 2018, 70, 80–87. [Google Scholar] [CrossRef]
- Tabassi, N.C.B.; Desmarais, S.; Bay-Jensen, A.C.; Delaissé, J.M.; Percival, M.D.; Garnero, P. The type II collagen fragments Helix-II and CTX-II reveal different enzymatic pathways of human cartilage collagen degradation. Osteoarthr. Cartil. 2008, 16, 1183–1191. [Google Scholar] [CrossRef]
- McDougall, J.; Schuelert, N.; Bowyer, J. Cathepsin K inhibition reduces CTXII levels and joint pain in the guinea pig model of spontaneous osteoarthritis. Osteoarthr. Cartil. 2010, 18, 1355–1357. [Google Scholar] [CrossRef]
- Lindström, E.; Rizoska, B.; Tunblad, K.; Edenius, C.; Bendele, A.M.; Maul, D.; Larson, M.; Shah, N.; Yoder Otto, V.; Jerome, C.; et al. The selective cathepsin K inhibitor MIV-711 attenuates joint pathology in experimental animal models of osteoarthritis. J. Transl. Med. 2018, 16, 56. [Google Scholar] [CrossRef] [PubMed]
- van Spil, W.E.; Drossaers-Bakker, K.W.; Lafeber, F.P.J.G. Associations of CTX-II with biochemical markers of bone turnover raise questions on its tissue origin: Data from CHECK, a cohort study of early osteoarthritis. Ann. Rheum. Dis. 2013, 72, 29–36. [Google Scholar] [CrossRef] [PubMed]

| Control (N = 69) | Nitisinone (N = 69) | Total (N = 138) | |
|---|---|---|---|
| Sex | |||
| Male | 40 (58.0%) | 45 (65.2%) | 85 (61.6%) |
| Female | 29 (42.0%) | 24 (34.8%) | 53 (38.4%) |
| Age | |||
| Median (Q1, Q3) | 48.9 (40.7, 56.3) | 51.3 (42.0, 58.6) | 49.7 (41.2, 56.9) |
| Race | |||
| Asian | 2 (2.9%) | 1 (1.4%) | 3 (2.2%) |
| Black | 0 (0.0%) | 1 (1.4%) | 1 (0.7%) |
| White | 67 (97.1%) | 67 (97.1%) | 134 (97.1%) |
| Site | |||
| Liverpool | 21 (30.4%) | 20 (29.0%) | 41 (29.7%) |
| Paris | 16 (23.2%) | 16 (23.2%) | 32 (23.2%) |
| Piešťany | 32 (46.4%) | 33 (47.8%) | 65 (47.1%) |
| BMI | |||
| Median (Q1, Q3) | 25.9 (24.0, 28.1) | 26.8 (24.3, 29.7) | 26.2 (24.1, 28.7) |
| cAKUSSI at Baseline | |||
| Median (Q1, Q3) | 82.0 (58.8, 107.0) | 90.0 (58.0, 108.0) | 86.0 (58.0, 107.0) |
| cAKUSSI at Year 4 | |||
| Median (Q1, Q3) | 101.0 (70.2, 124.8) | 93.0 (62.0, 118.0) | 97.0 (67.0, 122.0) |
| Change in cAKUSSI from baseline | |||
| Median (Q1, Q3) | 15.5 (2.2, 29.5) | 7.0 (−4.0, 15.0) | 8.0 (−2.5, 24.0) * |
| Use of antiresorptive treatment | |||
| No | 39 (56.5%) | 38 (55.1%) | 77 (55.8%) |
| Yes | 30 (43.5%) | 31 (44.9%) | 61 (44.2%) |
| Biomarker | Controls | Nitisinone | ||
|---|---|---|---|---|
| Baseline | End of Study | Baseline | End of Study | |
| Serum CTX-I | 0.55 [0.43–0.58] | 0.52 [0.43–0.56] | 0.49 [0.44–0.55] | 0.50 [0.43–0.55] |
| Serum PRO-C1 | 93.1 [77.3–108.0] | 81.1 [70.7–97.2] | 94.1 [79.0–106.8] | 87.4 [66.1–106.1] |
| Serum C2M | 0.35 [0.30–0.36] | 0.33 [0.27–0.38] | 0.35 [0.31–0.39] | 0.33 [0.29–0.35] |
| Urine CTX-II/Creat | 660.0 [524.8–830.1] | 971.9 [756.9–1302.7] ** | 713.9 [512.2–942.7] | 727.4 [565.9–988.8] |
| Male (N = 85) | Female (N = 53) | |
|---|---|---|
| CAKUSSI | ||
| Median (Q1, Q3) | 90.0 (63.8, 112.5) | 82.0 (49.0, 106.0) |
| Serum CTX_I | ||
| Median (Q1, Q3) | 0.6 (0.4, 0.7) | 0.4 (0.3, 0.5) *** |
| Serum PRO-C1 | ||
| Median (Q1, Q3) | 94.7 (69.4, 123.5) | 91.4 (47.9, 126.5) |
| Urine CTX-II/Creat | ||
| Median (Q1, Q3) | 748.1 (485.1, 1039.7) | 501.9 (370.4, 1159.3) |
| Serum C2M | ||
| Median (Q1, Q3) | 0.3 (0.3, 0.4) | 0.3 (0.3, 0.4) |
| ≤55 (N = 90) | >55 (N = 48) | |
|---|---|---|
| CAKUSSI | ||
| Median (Q1, Q3) | 70.0 (49.0, 92.0) | 106.0 (88.8, 126.2) *** |
| Serum CTX-I | ||
| Median (Q1, Q3) | 0.5 (0.4, 0.6) | 0.5 (0.4, 0.6) |
| Serum PRO-C1 | ||
| Median (Q1, Q3) | 90.9 (55.2, 128.1) | 94.5 (77.7, 124.3) |
| Urine CTX-II/Creat | ||
| Median (Q1, Q3) | 526.5 (370.6, 834.6) | 1059.0 (765.2, 1377.5) *** |
| Serum C2M | ||
| Median (Q1, Q3) | 0.3 (0.3, 0.4) | 0.4 (0.3, 0.4) |
| Below Median (N = 68) | Above Median (N = 69) | |
|---|---|---|
| Serum CTX_I | ||
| Median (Q1, Q3) | 0.5 (0.3, 0.6) | 0.5 (0.4, 0.6) |
| Serum PRO-C1 | ||
| Median (Q1, Q3) | 93.1 (51.8, 130.6) | 94.1 (70.1, 124.2) |
| Urine CTX-II/Creat | ||
| Median (Q1, Q3) | 440.4 (347.2, 679.8) | 944.7 (667.6, 1372.7) *** |
| Serum C2M | ||
| Median (Q1, Q3) | 0.3 (0.3, 0.4) | 0.3 (0.2, 0.4) |
| Assay | Specifications | Measuring |
|---|---|---|
| Serum CTX-I | Cathepsin-generated and cross-linked fragment of type I collagen | Bone resorption |
| Serum PRO-C1 | N-terminal pro-peptide of type I collagen | Bone formation |
| Urine CTX-II/Creat | C-telopeptide of type II collagen | Cartilage remodelling |
| Serum C2M | MMP-generated fragment of type II collagen | Cartilage remodelling |
Disclaimer/Publisher’s Note: The statements, opinions and data contained in all publications are solely those of the individual author(s) and contributor(s) and not of MDPI and/or the editor(s). MDPI and/or the editor(s) disclaim responsibility for any injury to people or property resulting from any ideas, methods, instructions or products referred to in the content. |
© 2023 by the authors. Licensee MDPI, Basel, Switzerland. This article is an open access article distributed under the terms and conditions of the Creative Commons Attribution (CC BY) license (https://creativecommons.org/licenses/by/4.0/).
Share and Cite
Genovese, F.; Frederiksen, P.; Bay-Jensen, A.-C.; Karsdal, M.A.; Milan, A.M.; Olsson, B.; Rudebeck, M.; Gallagher, J.A.; Ranganath, L.R. Nitisinone Treatment Affects Biomarkers of Bone and Cartilage Remodelling in Alkaptonuria Patients. Int. J. Mol. Sci. 2023, 24, 10996. https://doi.org/10.3390/ijms241310996
Genovese F, Frederiksen P, Bay-Jensen A-C, Karsdal MA, Milan AM, Olsson B, Rudebeck M, Gallagher JA, Ranganath LR. Nitisinone Treatment Affects Biomarkers of Bone and Cartilage Remodelling in Alkaptonuria Patients. International Journal of Molecular Sciences. 2023; 24(13):10996. https://doi.org/10.3390/ijms241310996
Chicago/Turabian StyleGenovese, Federica, Peder Frederiksen, Anne-Christine Bay-Jensen, Morten A. Karsdal, Anna M. Milan, Birgitta Olsson, Mattias Rudebeck, James A. Gallagher, and Lakshminarayan R. Ranganath. 2023. "Nitisinone Treatment Affects Biomarkers of Bone and Cartilage Remodelling in Alkaptonuria Patients" International Journal of Molecular Sciences 24, no. 13: 10996. https://doi.org/10.3390/ijms241310996
APA StyleGenovese, F., Frederiksen, P., Bay-Jensen, A.-C., Karsdal, M. A., Milan, A. M., Olsson, B., Rudebeck, M., Gallagher, J. A., & Ranganath, L. R. (2023). Nitisinone Treatment Affects Biomarkers of Bone and Cartilage Remodelling in Alkaptonuria Patients. International Journal of Molecular Sciences, 24(13), 10996. https://doi.org/10.3390/ijms241310996

