Collective Domain Motion Facilitates Water Transport in SGLT1
Abstract
1. Introduction
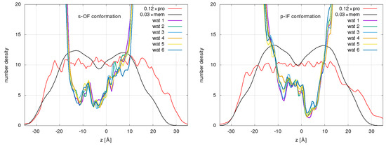
2. Results
3. Discussion
4. Methods and Materials
4.1. Homology Models
4.2. Docking of Phlorizin
4.3. MD Simulations
4.4. Permeation Events and Water Permeability
4.5. Intrinsic Protein Dynamics and Its Softness (Flexibility)
5. Conclusions
Author Contributions
Funding
Institutional Review Board Statement
Informed Consent Statement
Data Availability Statement
Acknowledgments
Conflicts of Interest
Abbreviations
| SGLT1 | human sodium–glucose cotransporter protein |
| MD | molecular dynamics |
| PCA | principle component analysis |
References
- Wright, E.M.; Ghezzi, C.; Loo, D.D.F. Novel and Unexpected Functions of SGLTs. Physiology 2017, 32, 435–443. [Google Scholar] [CrossRef] [PubMed]
- Lehmann, A.; Hornby, P.J. Intestinal SGLT1 in metabolic health and disease. Am. J. Physiol.-Gastrointest. Liver Physiol. 2016, 310, G887–G898. [Google Scholar] [CrossRef] [PubMed]
- Abramson, J.; Wright, E.M. Structure and function of na+-symporters with inverted repeats. Curr. Opin. Struct. Biol. 2009, 19, 425–432. [Google Scholar] [CrossRef]
- Krishnamurthy, H.; Piscitelli, C.L.; Gouaux, E. Unlocking the molecular secrets of sodium-coupled transporters. Nature 2009, 459, 347–355. [Google Scholar] [CrossRef]
- DeFelice, L.J. Transporter structure and mechanism. Trends Neurosci. 2004, 27, 352–359. [Google Scholar] [CrossRef] [PubMed]
- Jardetzky, O. Simple Allosteric Model for Membrane Pumps. Nature 1966, 211, 969–970. [Google Scholar] [CrossRef]
- Forrest, L.R.; Krämer, R.; Ziegler, C. The structural basis of secondary active transport mechanisms. Biochim. Biophys. Acta 2011, 1807, 167–188. [Google Scholar] [CrossRef]
- Oldham, M.L.; Davidson, A.L.; Chen, J. Structural insights into ABC transporter mechanism. Curr. Opin. Struct. Biol. 2008, 18, 726–733. [Google Scholar] [CrossRef] [PubMed]
- Wright, E.M.; Loo, D.D.F. Active Glucose Transport 2020 and Beyond. Function 2021, 2, 1. [Google Scholar] [CrossRef]
- Abramson, J.; Wright, E.M. Function Trumps Form in Two Sugar Symporters, LacY and vSGLT. Int. J. Mol. Sci. 2021, 22, 3572. [Google Scholar] [CrossRef]
- Loo, D.D.F.; Hirayama, B.A.; Meinild, A.K.; Chandy, G.; Zeuthen, T.; Wright, E.M. Passive water and ion transport by cotransporters. J. Physiol. 1999, 518, 195–202. [Google Scholar] [CrossRef]
- Zeuthen, T. Water-transporting proteins. J. Membr. Biol. 2010, 234, 57–73. [Google Scholar] [CrossRef] [PubMed]
- Zeuthen, T.; Gorraitz, E.; Her, K.; Wright, E.M.; Loo, D.D.F. Structural and functional significance of water permeation through cotransporters. Proc. Natl. Acad. Sci. USA 2016, 113, E6887–E6894. [Google Scholar] [CrossRef]
- Erokhova, L.; Horner, A.; Ollinger, N.; Siligan, C.; Pohl, P. The Sodium Glucose Cotransporter SGLT1 is an Extremely Efficient Facilitator of Passive Water Transport. J. Biol. Chem. 2016, 291, 9712–9720. [Google Scholar] [CrossRef] [PubMed]
- Choe, S.; Rosenberg, J.M.; Abramson, J.; Wright, E.M.; Grabe, M. Water Permeation through the Sodium-Dependent Galactose Cotransporter vSGLT. Biophys. J. 2010, 99, L56–L58. [Google Scholar] [CrossRef]
- Adelman, J.L.; Sheng, Y.; Choe, S.; Abramson, J.; Wright, E.M.; Rosenberg, J.M.; Grabe, M. Structural Determinants of Water Permeation through the Sodium-Galactose Transporter vSGLT. Biophys. J. 2014, 106, 1280–1289. [Google Scholar] [CrossRef]
- Li, J.; Shaikh, S.A.; Enkavi, G.; Wen, P.C.; Huang, Z.; Tajkhorshid, E. Transient formation of water-conducting states in membrane transporters. Proc. Natl. Acad. Sci. USA 2013, 110, 7696–7701. [Google Scholar] [CrossRef] [PubMed]
- Bisignano, P.; Ghezzi, C.; Jo, H.; Polizzi, N.F.; Althoff, T.; Kalyanaraman, C.; Friemann, R.; Jacobson, M.P.; Wright, E.M.; Grabe, M. Inhibitor binding mode and allosteric regulation of Na+-glucose symporters. Nat. Commun. 2018, 9, 5245. [Google Scholar] [CrossRef]
- Zhu, F.; Tajkhorshid, E.; Schulten, K. Collective diffusion model for water permeation through microscopic channels. Phys. Rev. Lett. 2004, 93, 224501. [Google Scholar] [CrossRef]
- Zhu, F.; Tajkhorshid, E.; Schulten, K. Theory and simulation of water permeation in aquaporin-1. Biophys. J. 2004, 86, 50–57. [Google Scholar] [CrossRef]
- Drew, D.; Boudker, O. Shared Molecular Mechanisms of Membrane Transporters. Annu. Rev. Biochem. 2016, 85, 543–572. [Google Scholar] [CrossRef] [PubMed]
- David, C.C.; Jacobs, D.J. Principal component analysis: A method for determining the essential dynamics of proteins. Methods Mol. Biol. 2014, 1084, 193–226. [Google Scholar] [CrossRef]
- Merzel, F.; Fontaine-Vive, F.; Johnson, M.R.; Kearley, G.J. Atomistic model of DNA: Phonons and base-pair opening. Phys. Rev. E 2007, 76, 031917. [Google Scholar] [CrossRef] [PubMed]
- Balog, E.; Perahia, D.; Smith, J.C.; Merzel, F. Vibrational softening of a protein on ligand binding. J. Phys. Chem. B 2011, 115, 6811–6817. [Google Scholar] [CrossRef]
- Zidar, J.; Merzel, F. Probing amyloid-beta fibril stability by increasing ionic strengths. J. Phys. Chem. B 2011, 115, 2075–2081. [Google Scholar] [CrossRef] [PubMed]
- Forrest, L.R.; Rudnick, G. The Rocking Bundle: A Mechanism for Ion-Coupled Solute Flux by Symmetrical Transporters. Physiology 2009, 24, 377–386. [Google Scholar] [CrossRef]
- Napolitano, L.M.R.; Bisha, I.; De March, M.; Marchesi, A.; Arcangeletti, M.; Demitri, N.; Mazzolini, M.; Rodriguez, A.; Magistrato, A.; Onesti, S.; et al. A structural, functional, and computational analysis suggests pore flexibility as the base for the poor selectivity of CNG channels. Proc. Natl. Acad. Sci. USA 2015, 112, E3619–E3628. [Google Scholar] [CrossRef]
- Gonzalez-Resines, S.; Quinn, P.J.; Naftalin, R.J.; Domene, C. Multiple Interactions of Glucose with the Extra-Membranous Loops of GLUT1 Aid Transport. J. Chem. Inf. Model. 2021, 61, 3559–3570. [Google Scholar] [CrossRef]
- Watanabe, A.; Choe, S.; Chaptal, V.; Rosenberg, J.M.; Wright, E.M.; Grabe, M.; Abramson, J. The mechanism of sodium and substrate release from the binding pocket of vSGLT. Nature 2010, 468, 988–991. [Google Scholar] [CrossRef]
- Faham, S.; Watanabe, A.; Besserer, G.M.; Cascio, D.; Specht, A.; Hirayama, B.A.; Wright, E.M.; Abramson, J. The crystal structure of a sodium galactose transporter reveals mechanistic insights into Na+/sugar symport. Science 2008, 321, 810–814. [Google Scholar] [CrossRef] [PubMed]
- Wahlgren, W.Y.; Dunevall, E.; North, R.A.; Paz, A.; Scalise, M.; Bisignano, P.; Bengtsson-Palme, J.; Goyal, P.; Claesson, E.; Caing-Carlsson, R.; et al. Substrate-bound outward-open structure of a Na+-coupled sialic acid symporter reveals a new Na+ site. Nat. Commun. 2018, 9, 1753. [Google Scholar] [CrossRef]
- BIOVIA, Dassault Systèmes, S.D., Discovery Studio. Available online: https://www.3ds.com/products-services/biovia/products/molecular-modeling-simulation/biovia-discovery-studio/ (accessed on 10 April 2023).
- Søndergaard, C.R.; Olsson, M.H.M.; Rostkowski, M.; Jensen, J.H. Improved treatment of ligands and coupling effects in empirical calculation and rationalization of pka values. J. Chem. Theory Comput. 2011, 7, 2284–2295. [Google Scholar] [CrossRef]
- Kim, S.; Chen, J.; Cheng, T.; Gindulyte, A.; He, J.; He, S.; Li, Q.; Shoemaker, B.A.; Thiessen, P.A.; Yu, B.; et al. PubChem in 2021: New data content and improved web interfaces. Nucleic Acids Res. 2021, 49, D1388–D1395. [Google Scholar] [CrossRef]
- Frisch, M.J. Gaussian 09, Revision A.02; Gaussian, Inc.: Wallingford, CT, USA, 2016. [Google Scholar]
- Jones, G.; Willett, P.; Glen, R.C.; Leach, A.R.; Taylor, R. Development and validation of a genetic algorithm for flexible docking. J. Mol. Biol. 1997, 267, 727–748. [Google Scholar] [CrossRef]
- Verdonk, M.L.; Cole, J.C.; Hartshorn, M.J.; Murray, C.W.; Taylor, R.D. Improved protein-ligand docking using GOLD. Proteins 2003, 52, 609–623. [Google Scholar] [CrossRef]
- Lee, J.; Cheng, X.; Swails, J.M.; Yeom, M.S.; Eastman, P.K.; Lemkul, J.A.; Wei, S.; Buckner, J.; Jeong, J.C.; Qi, Y.; et al. Charmm-gui input generator for namd, gromacs, amber, openmm, and charmm/openmm simulations using the charmm36 additive force field. J. Chem. Theory Comput. 2016, 12, 405–413. [Google Scholar] [CrossRef]
- Lomize, M.A.; Pogozheva, I.D.; Joo, H.; Mosberg, H.I.; Lomize, A.L. OPM database and PPM web server: Resources for positioning of proteins in membranes. Nucleic Acids Res. 2012, 40, D370–D376. [Google Scholar] [CrossRef] [PubMed]
- Jorgensen, W.L.; Chandrasekhar, J.; Madura, J.D.; Impey, R.W.; Klein, M.L. Comparison of simple potential functions for simulating liquid water. J. Chem. Phys. 1983, 79, 926–935. [Google Scholar] [CrossRef]
- Phillips, J.C.; Hardy, D.J.; Maia, J.D.C.; Stone, J.E.; Ribeiro, J.V.; Bernardi, R.C.; Buch, R.; Fiorin, G.; Hénin, J.; Jiang, W.; et al. Scalable molecular dynamics on CPU and GPU architectures with NAMD. J. Chem. Phys. 2020, 153, 044130. [Google Scholar] [CrossRef]
- Klauda, J.B.; Venable, R.M.; Freites, J.A.; O’Connor, J.W.; Tobias, D.J.; Mondragon-Ramirez, C.; Vorobyov, I.; MacKerell, A.D.; Pastor, R.W. Update of the CHARMM all-atom additive force field for lipids: Validation on six lipid types. J. Phys. Chem. B 2010, 114, 7830–7843. [Google Scholar] [CrossRef] [PubMed]
- Vanommeslaeghe, K.; Hatcher, E.; Acharya, C.; Kundu, S.; Zhong, S.; Shim, J.; Darian, E.; Guvench, O.; Lopes, P.E.M.; Vorobyov, I.; et al. CHARMM general force field: A force field for drug-like molecules compatible with the CHARMM all-atom additive biological force fields. J. Comput. Chem. 2010, 31, 671–690. [Google Scholar] [CrossRef] [PubMed]
- Martyna, G.J.; Tobias, D.J.; Klein, M.L. Constant pressure molecular dynamics algorithms. J. Chem. Phys. 1994, 101, 4177–4189. [Google Scholar] [CrossRef]
- Feller, S.E.; Zhang, Y.; Pastor, R.W.; Brooks, B.R. Constant pressure molecular dynamics simulation: The Langevin piston method. J. Chem. Phys. 1995, 103, 4613–4621. [Google Scholar] [CrossRef]
- Ryckaert, J.P.; Ciccotti, G.; Berendsen, H.J.C. Numerical integration of the cartesian equations of motion of a system with constraints: Molecular dynamics of n-alkanes. J. Comput. Phys. 1977, 23, 327–341. [Google Scholar] [CrossRef]
- Portella, G.; Pohl, P.; de Groot, B.L. Invariance of single-file water mobility in gramicidin-like peptidic pores as function of pore length. Biophys. J. 2007, 92, 3930–3937. [Google Scholar] [CrossRef]
- Kitao, A. Principal Component Analysis and Related Methods for Investigating the Dynamics of Biological Macromolrcules. J 2022, 5, 298–317. [Google Scholar]
- Zaccai, G. How soft is a protein? A protein dynamics force constant measured by neutron scattering. Science 2000, 288, 1604–1607. [Google Scholar] [CrossRef]









| System | [cm/s] | [cm/s] | ||
|---|---|---|---|---|
| s-OF 100-400 ns | 79 | 3.97 | 6.23 | 1.567 |
| s-OF 400-700 ns | 165 | 8.30 | 13.01 | 1.568 |
| p-IF 100-400 ns | 40 | 2.01 | 2.69 | 1.337 |
| p-IF 400-700 ns | 46 | 2.31 | 2.80 | 1.276 |
Disclaimer/Publisher’s Note: The statements, opinions and data contained in all publications are solely those of the individual author(s) and contributor(s) and not of MDPI and/or the editor(s). MDPI and/or the editor(s) disclaim responsibility for any injury to people or property resulting from any ideas, methods, instructions or products referred to in the content. |
© 2023 by the authors. Licensee MDPI, Basel, Switzerland. This article is an open access article distributed under the terms and conditions of the Creative Commons Attribution (CC BY) license (https://creativecommons.org/licenses/by/4.0/).
Share and Cite
Sever, M.; Merzel, F. Collective Domain Motion Facilitates Water Transport in SGLT1. Int. J. Mol. Sci. 2023, 24, 10528. https://doi.org/10.3390/ijms241310528
Sever M, Merzel F. Collective Domain Motion Facilitates Water Transport in SGLT1. International Journal of Molecular Sciences. 2023; 24(13):10528. https://doi.org/10.3390/ijms241310528
Chicago/Turabian StyleSever, Marko, and Franci Merzel. 2023. "Collective Domain Motion Facilitates Water Transport in SGLT1" International Journal of Molecular Sciences 24, no. 13: 10528. https://doi.org/10.3390/ijms241310528
APA StyleSever, M., & Merzel, F. (2023). Collective Domain Motion Facilitates Water Transport in SGLT1. International Journal of Molecular Sciences, 24(13), 10528. https://doi.org/10.3390/ijms241310528

