Microrheological Phenomenon and Mechanical Properties of High-Aspect-Ratio Microgroove Injection Moulding of Kaolin/PP Composites
Abstract
1. Introduction
2. Results
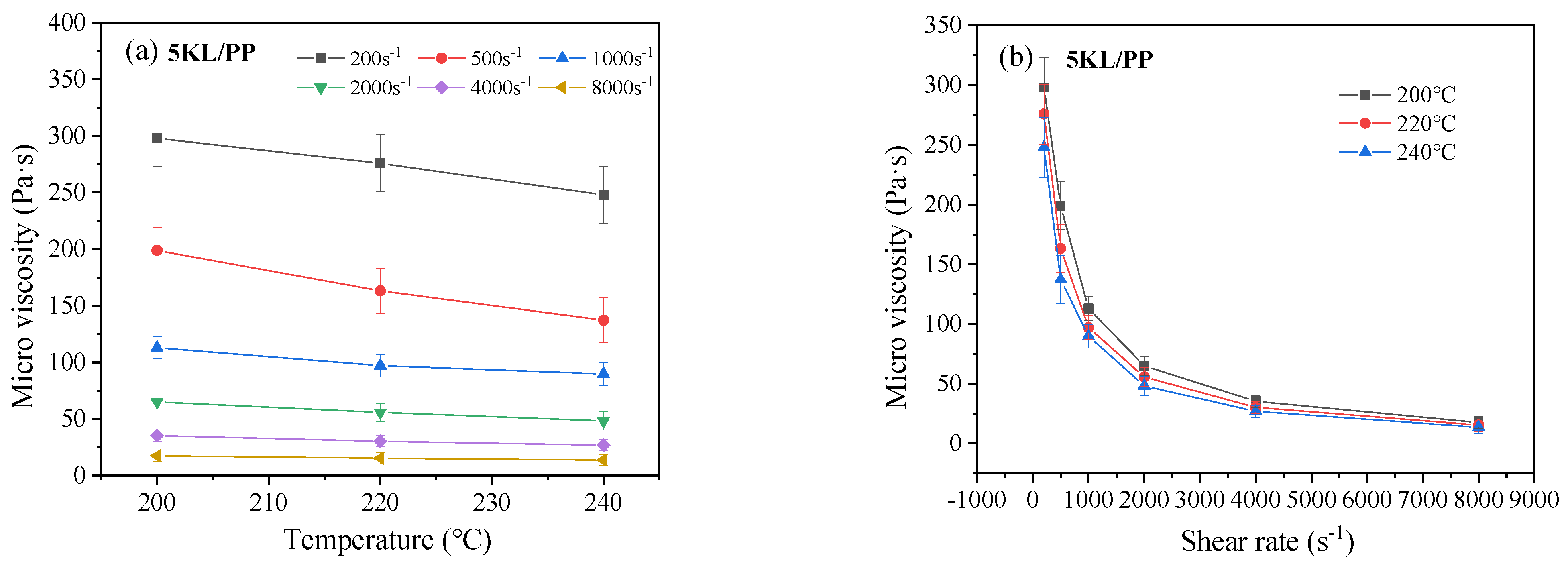
2.1. Microviscosity of Kaolin/PP Composites
2.2. Microscopic Non-Newtonian Index
2.3. High-Aspect-Ratio Microgrooves
2.3.1. Filling Rate
2.3.2. Geometry
2.4. Mechanical Properties of the Kaolin/PP Composites
2.4.1. Friction Performance
2.4.2. Mechanical Properties
3. Discussion
3.1. Microviscosity Analysis
3.2. Filling Rate Analysis
3.3. Geometry Analysis
3.4. Mechanical Properties Analysis
4. Materials and Experiments
4.1. Materials
4.2. Experiments
4.2.1. Microviscosity Experiment
4.2.2. Microinjection Experiment
4.2.3. Properties Test
5. Conclusions
Author Contributions
Funding
Institutional Review Board Statement
Informed Consent Statement
Data Availability Statement
Conflicts of Interest
References
- Nobe, R.; Qiu, J.; Kudo, M.; Zhang, G. Morphology and mechanical investigation of microcellular injection molded carbon fiber reinforced polypropylene composite foams. Polym. Eng. Sci. 2020, 60, 1507–1519. [Google Scholar] [CrossRef]
- Kada, D.; Koubaa, A.; Tabak, G.; Migneault, S.; Garnier, B.; Boudenne, A. Tensile properties, thermal conductivity, and thermal stability of short carbon fiber reinforced polypropylene composites. Polym. Compos. 2016, 39, E664–E670. [Google Scholar] [CrossRef]
- Kuram, E. Hybridization effect of talc/glass fiber as a filler in polycarbonate/acrylonitrile-butadiene-styrene composites. Compos. Part B Eng. 2019, 173, 106954. [Google Scholar] [CrossRef]
- Garcia, M.C.R.; Netto, A.C.S.; Pontes, A.J. Experimental study of shrinkage and ejection forces of reinforced polypropylene based on nanoclays and short glass fibers. Polym. Eng. Sci. 2017, 58, 55–62. [Google Scholar] [CrossRef]
- Jiang, N.; Tan, P.; He, M.; Zhang, J.; Sun, D.; Zhu, S. Graphene reinforced polyether ether ketone nanocomposites for bone repair applications. Polym. Test. 2021, 100, 107276. [Google Scholar] [CrossRef]
- Haque, M.M.; Goda, K.; Ito, H.; Ogoe, S.; Okanot, M.; Ema, T.; Kagawa, K.; Nogami, H. Melt-viscosity and mechanical behaviour of polypropylene (PP)/wood flour composites: Effect of pulverization of wood flour with and without water. Adv. Ind. Eng. Polym. Res. 2019, 2, 42–50. [Google Scholar] [CrossRef]
- Seifu, B.; Singh, B.; Gutu, J.M.; Legesse, D. Mechanical behaviours of hybrid ensete/sisal fiber, reinforced polyethylene composite materials for injection moulding. SN Appl. Sci. 2020, 2, 989. [Google Scholar] [CrossRef]
- Kodal, M.; Demirhan, E. Effect of clinoptilolite filler on the physical and mechanical properties of polypropylene. Polym. Compos. 2013, 34, 1396–1403. [Google Scholar] [CrossRef]
- Ibrahim, M.A.H.; Hassan, A.; Wahit, M.U.; Hasan, M.; Mokhtar, M. Mechanical properties and morphology of polypropylene/poly (acrylonitrile–butadiene–styrene) nanocomposites: Effect of compatibilizer and montmorillonite content. J. Elastomers Plast. 2017, 49, 209–225. [Google Scholar] [CrossRef]
- Hosseinihashemia, S.K.; Eshghia, A.; Kordb, B.; Lashgaria, A.; Ayrilmisc, N. Hardness, decay and water resistance of Polypropylene/Montmorillonite/Almond shell flour composites. Mater. Res. 2016, 19, 440–445. [Google Scholar] [CrossRef]
- Zhang, C.; Ma, Y.; Feng, B.; Han, Z.; Zhang, Z.; Liang, W.; Wang, K. Effects of montmorillonite on structures and properties of injection-molded polypropylene. J. Appl. Polym. Sci. 2019, 136, 47442. [Google Scholar] [CrossRef]
- Huang, S.-M.; Hwang, J.-J.; Liu, H.-J.; Zheng, A.-M. A Characteristic Study of Polylactic Acid/Organic Modified Montmorillonite (PLA/OMMT) Nanocomposite Materials after Hydrolyzing. Crystals 2021, 11, 376. [Google Scholar] [CrossRef]
- Li, M.; Chen, Y.G.; Wu, L.J.; Zhang, Z.S.; Mai, K.C. A novel polypropylene composite filled by kaolin particles with b-nucleation. J. Therm. Anal. Calorim. 2019, 135, 2137–2145. [Google Scholar] [CrossRef]
- Abu Bakar, M.B.; Leong, Y.W.; Ariffin, A.; Ishak, Z.A.M. Mechanical, flow, and morphological properties of talc- and kaolin-filled polypropylene hybrid composites. J. Appl. Polym. Sci. 2007, 104, 434–441. [Google Scholar] [CrossRef]
- Kong, S.; Seo, H.; Shin, H.; Baik, J.-H.; Oh, J.; Kim, Y.-O.; Lee, J.-C. Improvement in mechanical and thermal properties of polypropylene nanocomposites using an extremely small amount of alkyl chain-grafted hexagonal boron nitride nanosheets. Polymer 2019, 180, 121714. [Google Scholar] [CrossRef]
- Baioumy, M.G.S.; Colton, J.; Poulakis, J.; Kalaitzidou, K. Surface-treated kaolin minerals as a complement or substitute to glass fibers in thermoplastics. Polym. Eng. Sci. 2018, 59, E330–E338. [Google Scholar] [CrossRef]
- Jikan, S.S.; Ariff, Z.M.; Ariffin, A. Influence of filler content and processing parameter on the crystallization behaviour of PP/kaolin composites. J. Therm. Anal. Calorim. 2010, 102, 1011–1017. [Google Scholar] [CrossRef]
- Yang, N.; Zhang, Z.C.; Ma, N.; Liu, H.L.; Zhan, X.Q.; Li, B.; Gao, W.; Tsai, F.C.; Jiang, T.; Chang, C.J.; et al. Effect of surface modified kaolin on properties of polypropylene grafted maleic anhydride. Results Phys. 2017, 7, 969–974. [Google Scholar] [CrossRef]
- Hu, P.; Yang, H. Polypropylene filled with kaolinite-based conductive powders. Appl. Clay Sci. 2013, 83–84, 122–128. [Google Scholar] [CrossRef]
- Zhang, S.; Jiang, P.; Liu, X.; Gu, X.; Zhao, Q.; Hu, Z.; Tang, W. Effects of kaolin on the thermal stability and flame retardancy of polypropylene composite. Polym. Adv. Technol. 2014, 25, 912–919. [Google Scholar] [CrossRef]
- Morelli, C.L.; Pouzada, A.S.; Sousa, J.A. Influence of hybridization of glass fiber and talc on the mechanical performance of polypropylene composites. J. Appl. Polym. Sci. 2009, 114, 3592–3601. [Google Scholar] [CrossRef]
- Matschuk, M.; Larsen, N.B. Injection molding of high aspect ratio sub-100 nm nanostructures. J. Micromech. Microeng. 2012, 23, 025003. [Google Scholar] [CrossRef]
- Sha, B.; Dimov, S.; Griffiths, C.; Packianather, M. Investigation of micro-injection moulding: Factors affecting the replication quality. J. Mater. Process. Technol. 2007, 183, 284–296. [Google Scholar] [CrossRef]
- Lin, H.-Y.; Young, W.-B. Analysis of the filling capability to the microstructures in micro-injection molding. Appl. Math. Model. 2009, 33, 3746–3755. [Google Scholar] [CrossRef]
- Liou, A.-C.; Chen, R.-H. Injection molding of polymer micro- and sub-micron structures with high-aspect ratios. Int. J. Adv. Manuf. Technol. 2005, 28, 1097–1103. [Google Scholar] [CrossRef]
- Hernández, P.; Murawko, A.; Martínez, J.; Peláez, G.; Ares, E. Replication of micro laser textures by injection molding. Procedia Eng. 2013, 63, 885–894. [Google Scholar] [CrossRef][Green Version]
- Lu, J.; Qiang, Y.; Wu, W.; Jiang, B. Experimental study on viscosity properties of cyclic olefin copolymer (COC) flowing through micro capillary dies. Polym. Test. 2020, 89, 106635. [Google Scholar] [CrossRef]
- Trotta, G.; Stampone, B.; Fassi, I.; Tricarico, L. Study of rheological behaviour of polymer melt in micro injection moulding with a miniaturized parallel plate rheometer. Polym. Test. 2021, 96, 107068. [Google Scholar] [CrossRef]
- Foudzia, F.M.; Muhamada, N.; Sulonga, A.B.; Zakariaa, H. Yttria stabilized zirconia formed by micro ceramic injection molding: Rheological properties and debinding effects on the sintered part. Ceram. Int. 2013, 39, 2665–2674. [Google Scholar] [CrossRef]
- Phelps, J.H.; El-Rahman, A.I.A.; Kunc, V.; Tucker, C.L. A model for fiber length attrition in injection-molded long-fiber composites. Compos. Part A Appl. Sci. Manuf. 2013, 51, 11–21. [Google Scholar] [CrossRef]
- Feng, Y.; Liu, X.; Li, K.; Gong, F.; Shen, J.; Lou, Y. Glass Flow Evolution and the Mechanism of Antireflective Nanoprotrusion Arrays in Nanoholes by Direct Thermal Imprinting. ACS Appl. Mater. Interfaces 2021, 13, 16968–16977. [Google Scholar] [CrossRef] [PubMed]
- Zhang, N.; Gilchrist, M. Characterization of thermo-rheological behavior of polymer melts during the micro injection moulding process. Polym. Test. 2012, 31, 748–758. [Google Scholar] [CrossRef]
- Akpinar, S.; Kusoglu, I.; Ertugrul, O.; Onel, K. Silicon carbide particle reinforced mullite composite foams. Ceram. Int. 2012, 38, 6163–6169. [Google Scholar] [CrossRef]
- Ilić, B.; Radonjanin, V.; Malešev, M.; Zdujić, M.; Mitrović, A. Effects of mechanical and thermal activation on pozzolanic activity of kaolin containing mica. Appl. Clay Sci. 2016, 123, 173–181. [Google Scholar] [CrossRef]
- Zaman, H.U.; Beg, M.D.H. Effect of coir fiber content and compatibilizer on the properties of unidirectional coir fiber/polypropylene composites. Fibers Polym. 2014, 15, 831–838. [Google Scholar] [CrossRef]
- Xu, C.; Jiang, Y.; Cao, G.; Fu, Y. Study on effects of carbon fiber surface treatment on mechanical properties of CF/PP composite materials. Fiber Compos. 2017, 2, 8–11. [Google Scholar]
- Fan, W.; Zhang, T.; She, W.; Feng, Z.; Yang, G. Research on wear amount of connect-rod bushing based on single factor test. Foundry Technol. 2017, 38, 1663–1665. [Google Scholar]
- Diao, D.; Wang, C.; Fan, X. Frictional behavior of nanostructured carbon films. Friction 2013, 1, 63–71. [Google Scholar] [CrossRef]
















| Number | Tm (°C) | Vi (mm/s) | Ph (MPa) |
|---|---|---|---|
| N1 | 200 | 40 | 5 |
| N2 | 220 | 40 | 5 |
| N3 | 240 | 40 | 5 |
| N4 | 200 | 50 | 5 |
| N5 | 200 | 60 | 5 |
| N6 | 200 | 40 | 4 |
| N7 | 200 | 40 | 6 |
Publisher’s Note: MDPI stays neutral with regard to jurisdictional claims in published maps and institutional affiliations. |
© 2022 by the authors. Licensee MDPI, Basel, Switzerland. This article is an open access article distributed under the terms and conditions of the Creative Commons Attribution (CC BY) license (https://creativecommons.org/licenses/by/4.0/).
Share and Cite
Lou, Y.; Zhou, X.; Zhang, D.; Cheng, F. Microrheological Phenomenon and Mechanical Properties of High-Aspect-Ratio Microgroove Injection Moulding of Kaolin/PP Composites. Int. J. Mol. Sci. 2022, 23, 4944. https://doi.org/10.3390/ijms23094944
Lou Y, Zhou X, Zhang D, Cheng F. Microrheological Phenomenon and Mechanical Properties of High-Aspect-Ratio Microgroove Injection Moulding of Kaolin/PP Composites. International Journal of Molecular Sciences. 2022; 23(9):4944. https://doi.org/10.3390/ijms23094944
Chicago/Turabian StyleLou, Yan, Xiangwei Zhou, Dongyue Zhang, and Fengyu Cheng. 2022. "Microrheological Phenomenon and Mechanical Properties of High-Aspect-Ratio Microgroove Injection Moulding of Kaolin/PP Composites" International Journal of Molecular Sciences 23, no. 9: 4944. https://doi.org/10.3390/ijms23094944
APA StyleLou, Y., Zhou, X., Zhang, D., & Cheng, F. (2022). Microrheological Phenomenon and Mechanical Properties of High-Aspect-Ratio Microgroove Injection Moulding of Kaolin/PP Composites. International Journal of Molecular Sciences, 23(9), 4944. https://doi.org/10.3390/ijms23094944

