TBP, PPIA, YWHAZ and EF1A1 Are the Most Stably Expressed Genes during Osteogenic Differentiation
Abstract
1. Introduction
2. Results
2.1. Osteoblast Differentiation
2.2. Candidate Reference Gene Selection and Primer Validation
2.3. Analysis of Stability of Candidate Reference Genes
2.3.1. GeNorm Analysis
2.3.2. NormFinder Analysis
2.3.3. BestKeeper Analysis
2.3.4. Comprehensive Ranking
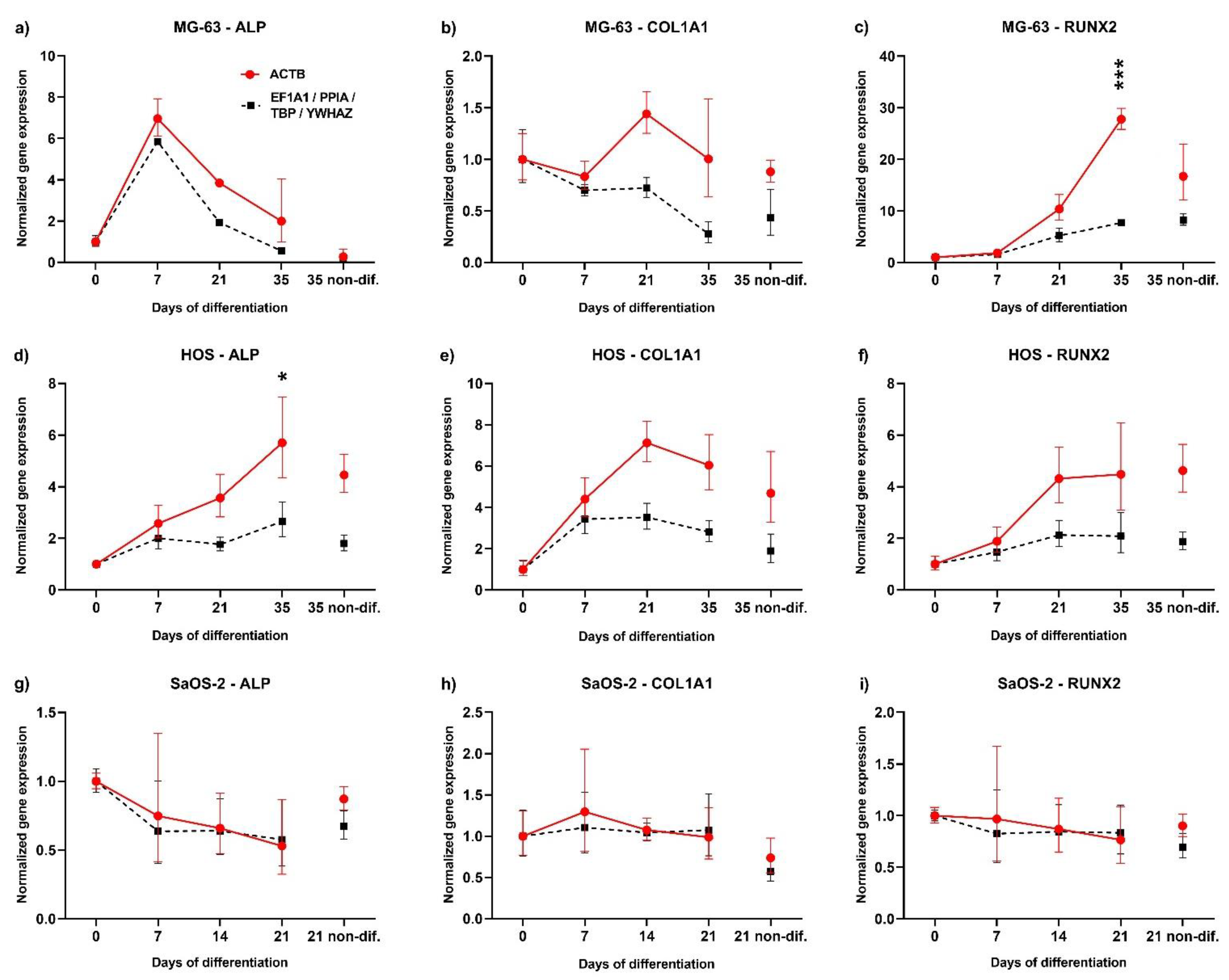
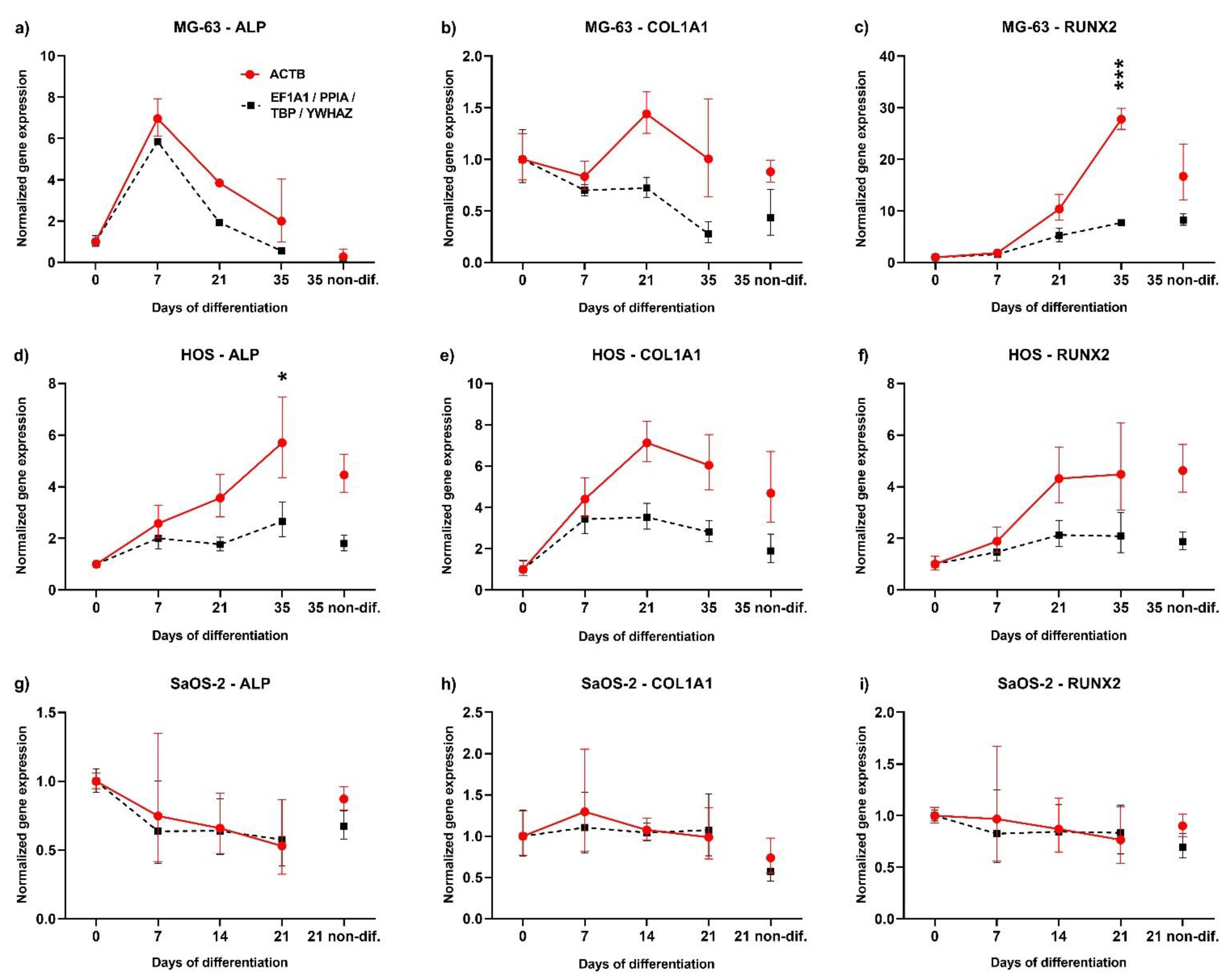
2.4. Normalization of Genes Involved in Osteogenic Differentiation against Selected Reference Genes vs. ACTB
3. Discussion
4. Materials and Methods
4.1. Cell Lines, Cell Culturing, and Cell Differentiation
4.2. Alizarin Red S Staining
4.3. RNA Isolation and Reverse Transcription
4.4. Gene Selection, Primer Design, and Validation
4.5. RT-qPCR
4.6. Primer Efficiency
4.7. Data Analysis
5. Conclusions
Supplementary Materials
Author Contributions
Funding
Institutional Review Board Statement
Informed Consent Statement
Data Availability Statement
Conflicts of Interest
References
- Compston, J.E.; McClung, M.R.; Leslie, W.D. Osteoporosis. Lancet 2019, 393, 364–376. [Google Scholar] [CrossRef]
- Trajanoska, K.; Rivadeneira, F. The Genetic Architecture of Osteoporosis and Fracture Risk. Bone 2019, 126, 2–10. [Google Scholar] [CrossRef] [PubMed]
- Zhu, X.; Bai, W.; Zheng, H. Twelve Years of GWAS Discoveries for Osteoporosis and Related Traits: Advances, Challenges and Applications. Bone Res. 2021, 9, 23. [Google Scholar] [CrossRef] [PubMed]
- Bustin, S.A.; Benes, V.; Garson, J.A.; Hellemans, J.; Huggett, J.; Kubista, M.; Mueller, R.; Nolan, T.; Pfaffl, M.W.; Shipley, G.L.; et al. The MIQE Guidelines: Minimum Information for Publication of Quantitative Real-Time PCR Experiments. Clin. Chem. 2009, 55, 611–622. [Google Scholar] [CrossRef]
- Drynda, S.; Drynda, A.; Feuerstein, B.; Kekow, J.; Lohmann, C.H.; Bertrand, J. The Effects of Cobalt and Chromium Ions on Transforming Growth Factor-Beta Patterns and Mineralization in Human Osteoblast-like MG63 and SaOs-2 Cells. J. Biomed. Mater. Res. A 2018, 106, 2105–2115. [Google Scholar] [CrossRef]
- Go, Y.Y.; Kim, S.E.; Cho, G.J.; Chae, S.-W.; Song, J.-J. Differential Effects of Amnion and Chorion Membrane Extracts on Osteoblast-like Cells Due to the Different Growth Factor Composition of the Extracts. PLoS ONE 2017, 12, e0182716. [Google Scholar] [CrossRef]
- Yu, W.; Zhang, Y.; Xu, L.; Sun, S.; Jiang, X.; Zhang, F. Microarray-Based Bioinformatics Analysis of Osteoblasts on TiO2 Nanotube Layers. Colloids Surf. B Biointerfaces 2012, 93, 135–142. [Google Scholar] [CrossRef]
- Lan, H.; Hong, W.; Fan, P.; Qian, D.; Zhu, J.; Bai, B. Quercetin Inhibits Cell Migration and Invasion in Human Osteosarcoma Cells. Cell. Physiol. Biochem. 2017, 43, 553–567. [Google Scholar] [CrossRef]
- Chen, R.; Huang, L.H.; Gao, Y.Y.; Yang, J.Z.; Wang, Y. Identification of Differentially Expressed Genes in MG63 Osteosarcoma Cells with Drug-Resistance by Microarray Analysis. Mol. Med. Rep. 2019, 19, 1571–1580. [Google Scholar] [CrossRef]
- Fellenberg, J.; Dechant, M.J.; Ewerbeck, V.; Mau, H. Identification of Drug-Regulated Genes in Osteosarcoma Cells. Int. J. Cancer 2003, 105, 636–643. [Google Scholar] [CrossRef]
- Czekanska, E.M.; Stoddart, M.J.; Ralphs, J.R.; Richards, R.G.; Hayes, J.S. A Phenotypic Comparison of Osteoblast Cell Lines versus Human Primary Osteoblasts for Biomaterials Testing. J. Biomed. Mater. Res. A 2014, 102, 2636–2643. [Google Scholar] [CrossRef] [PubMed]
- Jeon, R.H.; Lee, W.J.; Son, Y.B.; Bharti, D.; Shivakumar, S.B.; Lee, S.L.; Rho, G.J. PPIA, HPRT1, and YWHAZ Genes Are Suitable for Normalization of MRNA Expression in Long-Term Expanded Human Mesenchymal Stem Cells. Biomed. Res. Int. 2019, 2019, 3093545. [Google Scholar] [CrossRef] [PubMed]
- Studer, D.; Lischer, S.; Jochum, W.; Ehrbar, M.; Zenobi-Wong, M.; Maniura-Weber, K. Ribosomal Protein L13a as a Reference Gene for Human Bone Marrow-Derived Mesenchymal Stromal Cells during Expansion, Adipo-, Chondro-, and Osteogenesis. Tissue Eng. Part C Methods 2012, 18, 761–771. [Google Scholar] [CrossRef] [PubMed]
- Hasler, J.; Hatt, L.P.; Stoddart, M.J.; Armiento, A.R. Stable Reference Genes for QPCR Analysis in BM-MSCs Undergoing Osteogenic Differentiation within 3D Hyaluronan-Based Hydrogels. Int. J. Mol. Sci. 2020, 21, 9195. [Google Scholar] [CrossRef] [PubMed]
- Kraus, D.; Deschner, J.; Jäger, A.; Wenghoefer, M.; Bayer, S.; Jepsen, S.; Allam, J.P.; Novak, N.; Meyer, R.; Winter, J. Human β-Defensins Differently Affect Proliferation, Differentiation, and Mineralization of Osteoblast-like MG63 Cells. J. Cell. Physiol. 2012, 227, 994–1003. [Google Scholar] [CrossRef] [PubMed]
- Montazeri-Najafabady, N.; Dabbaghmanesh, M.H.; Chatrabnous, N.; Arabnezhad, M.R. The Effects of Astaxanthin on Proliferation and Differentiation of MG-63 Osteosarcoma Cells via Aryl Hydrocarbon Receptor (AhR) Pathway: A Comparison with AhR Endogenous Ligand. Nutr. Cancer 2020, 72, 1400–1410. [Google Scholar] [CrossRef] [PubMed]
- Chen, Y.J.; Chang, M.C.; Jane Yao, C.C.; Lai, H.H.; Chang, J.Z.C.; Jeng, J.H. Mechanoregulation of Osteoblast-like MG-63 Cell Activities by Cyclic Stretching. J. Formos. Med. Assoc. 2014, 113, 447–453. [Google Scholar] [CrossRef][Green Version]
- Zhang, Y.; Andrukhov, O.; Berner, S.; Matejka, M.; Wieland, M.; Rausch-Fan, X.; Schedle, A. Osteogenic Properties of Hydrophilic and Hydrophobic Titanium Surfaces Evaluated with Osteoblast-like Cells (MG63) in Coculture with Human Umbilical Vein Endothelial Cells (HUVEC). Dent. Mater. 2010, 26, 1043–1051. [Google Scholar] [CrossRef]
- Rodríguez, J.P.; González, M.; Ríos, S.; Cambiazo, V. Cytoskeletal Organization of Human Mesenchymal Stem Cells (MSC) Changes during Their Osteogenic Differentiation. J. Cell. Biochem. 2004, 93, 721–731. [Google Scholar] [CrossRef]
- Stephens, A.S.; Stephens, S.R.; Morrison, N.A. Internal Control Genes for Quantitative RT-PCR Expression Analysis in Mouse Osteoblasts, Osteoclasts and Macrophages. BMC Res. Notes 2011, 4, 410. [Google Scholar] [CrossRef]
- Abuna, R.P.F.; Oliveira, F.S.; Ramos, J.I.R.; Lopes, H.B.; Freitas, G.P.; Souza, A.T.P.; Beloti, M.M.; Rosa, A.L. Selection of Reference Genes for Quantitative Real-Time Polymerase Chain Reaction Studies in Rat Osteoblasts. J. Cell. Physiol. 2018, 234, 749–756. [Google Scholar] [CrossRef] [PubMed]
- Okamura, K.; Inagaki, Y.; Matsui, T.K.; Matsubayashi, M.; Komeda, T.; Ogawa, M.; Mori, E.; Tanaka, Y. RT-QPCR Analyses on the Osteogenic Differentiation from Human IPS Cells: An Investigation of Reference Genes. Sci. Rep. 2020, 10, 11748. [Google Scholar] [CrossRef] [PubMed]
- Vandesompele, J.; de Preter, K.; Pattyn, F.; Poppe, B.; van Roy, N.; de Paepe, A.; Speleman, F. Accurate Normalization of Real-Time Quantitative RT-PCR Data by Geometric Averaging of Multiple Internal Control Genes. Genome Biol. 2002, 3, research0034.1. [Google Scholar] [CrossRef] [PubMed]
- Andersen, C.L.; Jensen, J.L.; Ørntoft, T.F. Normalization of Real-Time Quantitative Reverse Transcription-PCR Data: A Model-Based Variance Estimation Approach to Identify Genes Suited for Normalization, Applied to Bladder and Colon Cancer Data Sets. Cancer Res. 2004, 64, 5245–5250. [Google Scholar] [CrossRef] [PubMed]
- Pfaffl, M.W.; Tichopad, A.; Prgomet, C.; Neuvians, T.P. Determination of Stable Housekeeping Genes, Differentially Regulated Target Genes and Sample Integrity: BestKeeper—Excel-Based Tool Using Pair-Wise Correlations. Biotechnol. Lett. 2004, 26, 509–515. [Google Scholar] [CrossRef]
- De Spiegelaere, W.; Dern-Wieloch, J.; Weigel, R.; Schumacher, V.; Schorle, H.; Nettersheim, D.; Bergmann, M.; Brehm, R.; Kliesch, S.; Vandekerckhove, L.; et al. Reference Gene Validation for RT-QPCR, a Note on Different Available Software Packages. PLoS ONE 2015, 10, e0122515. [Google Scholar] [CrossRef]
- Schulze, F.; Malhan, D.; El Khassawna, T.; Heiss, C.; Seckinger, A.; Hose, D.; Rösen-Wolff, A. A Tissue-Based Approach to Selection of Reference Genes for Quantitative Real-Time PCR in a Sheep Osteoporosis Model. BMC Genom. 2017, 18, 975. [Google Scholar] [CrossRef]
- Ducy, P.; Schinke, T.; Karsenty, G. The Osteoblast: A Sophisticated Fibroblast under Central Surveillance. Science 2000, 289, 1501–1504. [Google Scholar] [CrossRef]
- Langenbach, F.; Handschel, J. Effects of Dexamethasone, Ascorbic Acid and β-Glycerophosphate on the Osteogenic Differentiation of Stem Cells in Vitro. Stem Cell Res. Ther. 2013, 4, 117. [Google Scholar] [CrossRef]
- Ongaro, A.; Pellati, A.; Bagheri, L.; Rizzo, P.; Caliceti, C.; Massari, L.; De Mattei, M. Characterization of Notch Signaling during Osteogenic Differentiation in Human Osteosarcoma Cell Line MG63. J. Cell. Physiol. 2016, 231, 2652–2663. [Google Scholar] [CrossRef]
- Gong, H.; Sun, L.; Chen, B.; Han, Y.; Pang, J.; Wu, W.; Qi, R.; Zhang, T.M. Evaluation of Candidate Reference Genes for RT-QPCR Studies in Three Metabolism Related Tissues of Mice after Caloric Restriction. Sci. Rep. 2016, 6, 38513. [Google Scholar] [CrossRef] [PubMed]
- Khan, S.; Roberts, J.; Wu, S.B. Reference Gene Selection for Gene Expression Study in Shell Gland and Spleen of Laying Hens Challenged with Infectious Bronchitis Virus. Sci. Rep. 2017, 7, 14271. [Google Scholar] [CrossRef] [PubMed]
- Petriccione, M.; Mastrobuoni, F.; Zampella, L.; Scortichini, M. Reference Gene Selection for Normalization of RT-QPCR Gene Expression Data from Actinidia Deliciosa Leaves Infected with Pseudomonas Syringae Pv. Actinidiae. Sci. Rep. 2015, 5, 16961. [Google Scholar] [CrossRef] [PubMed]
- De Lima, C.A.D.; de Lima, S.C.; Barbosa, A.D.; Sandrin-Garcia, P.; de Barros Pita, W.; de Azevêdo Silva, J.; Crovella, S. Postmenopausal Osteoporosis Reference Genes for QPCR Expression Assays. Sci. Rep. 2019, 9, 16533. [Google Scholar] [CrossRef]
- Curtis, K.M.; Gomez, L.A.; Rios, C.; Garbayo, E.; Raval, A.P.; Perez-Pinzon, M.A.; Schiller, P.C. EF1α and RPL13a Represent Normalization Genes Suitable for RT-QPCR Analysis of Bone Marrow Derived Mesenchymal Stem Cells. BMC Mol. Biol. 2010, 11, 61. [Google Scholar] [CrossRef] [PubMed]
- Yang, X.; Hatfield, J.T.; Hinze, S.J.; Mu, X.; Anderson, P.J.; Powell, B.C. Bone to Pick: The Importance of Evaluating Reference Genes for RT-QPCR Quantification of Gene Expression in Craniosynostosis and Bone-Related Tissues and Cells. BMC Res. Notes 2012, 5, 222. [Google Scholar] [CrossRef]
- Chen, X.; Zhang, B.; Zhao, Y.; Liu, P.; Zhou, Y. EF1α Is a Suitable Housekeeping Gene for RT-QPCR Analysis during Osteogenic Differentiation of Mouse Bone Marrowderived Mesenchymal Stem Cells. Acta Biochim. Pol. 2013, 60, 381–386. [Google Scholar] [CrossRef]
- Robledo, D.; Hernández-Urcera, J.; Cal, R.M.; Pardo, B.G.; Sánchez, L.; Martínez, P.; Viñas, A. Analysis of QPCR Reference Gene Stability Determination Methods and a Practical Approach for Efficiency Calculation on a Turbot (Scophthalmus Maximus) Gonad Dataset. BMC Genom. 2014, 15, 648. [Google Scholar] [CrossRef]
- Prideaux, M.; Wijenayaka, A.R.; Kumarasinghe, D.D.; Ormsby, R.T.; Evdokiou, A.; Findlay, D.M.; Atkins, G.J. SaOS2 Osteosarcoma Cells as an in Vitro Model for Studying the Transition of Human Osteoblasts to Osteocytes. Calcif. Tissue Int. 2014, 95, 183–193. [Google Scholar] [CrossRef]
- Parra-Torres, A.; Enríquez, J.; Jiménez-Ortega, R.; Patiño, N.; Castillejos-López, M.; Torres-Espíndola, L.; Ramírez-Salazar, E.; Velázquez-Cruz, R. Expression Profiles of the Wnt/β-catenin Signaling-related Extracellular Antagonists during Proliferation and Differentiation in Human Osteoblast-like Cells. Exp. Ther. Med. 2020, 20, 254. [Google Scholar] [CrossRef]




| Symbol Accession Number | Gene Name | Function | Sequences | Product Length | Melting Temperature (°C) |
|---|---|---|---|---|---|
| ACTB NM_001101.5 | Actin beta | Cytoskeletal structural protein | F: 5′- CTTCGCGGGCGACGAT-3′ R: 5′- ACATAGGAATCCTTCTGACCCAT-3′ | 102 | 59.5 |
| GAPDH NM_002046.7 | Glyceraldehyde-3-Phosphate Dehydrogenase | Oxidoreductase in glycolysis and gluconeogenesis | F: 5′- GACAGTCAGCCGCATCTTCT-3′ R: 5′- GCGCCCAATACGACCAAATC-3′ | 104 | 60 |
| PPIA NM_021130 | Peptidylprolyl Isomerase A (cyclophilin A) | Cis-trans isomerization of proline imidic peptide bonds, protein folding | F: 5′- GGCAAATGCTGGACCCAACACA-3′ R: 5′- TGCTGGTCTTGCCATTCCTGGA-3′ | 161 | 64 |
| EEF1A1 (EF1α) NM_001402 | Eukaryotic Translation Elongation Factor 1 Alpha 1 | Enzymatic delivery of aminoacyl tRNAs to the ribosome | F: 5′- CTGGACTGCATCCTACCACC-3′ R: 5′- CTCGGCCAACAGGAACAGTA-3′ | 106 | 60 |
| RPL13A NM_012423.4 | Ribosomal Protein L13a | Protein component of large 60S ribosomal subunit | F: 5′- GTCGTACGCTGTGAAGGCA-3′ R: 5′- GGGTTGGTGTTCATCCGCTT-3′ | 95 | 60.5 |
| RPLP0 NM_001002.4 | Ribosomal Protein Lateral Stalk Subunit P0 | Protein component of 60S ribosomal subunit | F: 5′- TCTACAACCCTGAAGTGCTTGAT-3′ R: 5′- CAATCTGCAGACAGACACTGG-3′ | 96 | 59 |
| TBP NM_003194 | TATA-Box Binding Protein | Component of the transcription factor IID (TFIID) | F: 5′- GCACAGGAGCCAAGAGTGAA-3′ R: 5′- TGTTGGTGGGTGAGCACAAG-3′ | 175 | 60 |
| 18S rRNA NR_003286 | 18s Ribosomal RNA | Eukaryotic small ribosomal subunit | F: 5′- GCAATTATTCCCCATGAACG-3′ R: 5′- GGCCTCACTAAACCATCCAA-3′ | 123 | 56 |
| HPRT1 NM_000194 | Hypoxanthine phosphoribosyltransferase 1 | Purine synthesis through the purine salvage pathway | F: 5′- TGACACTGGCAAAACAATGCA-3′ R: 5′- GGTCCTTTTCACCAGCAAGCT-3′ | 94 | 60 |
| YWHAZ NM_145690.3 | Tyrosine 3-monooxygenase/tryptophan 5-monooxygenase activation protein zeta | Cell signalling transduction through binding phosphoserine proteins | F: 5′- TGCTTGCATCCCACAGACTA-3′ R: 5′- AGGCAGACAATGACAGACCA-3′ | 94 | 59.5 |
| MG-63 | HOS | SaOS-2 | ||||
|---|---|---|---|---|---|---|
| Gene Symbol | Efficiency (%) | R2 | Efficiency (%) | R2 | Efficiency (%) | R2 |
| ACTB | 101.4 | 0.9997 | 93.2 | 0.9991 | 93.0 | 0.9982 |
| GAPDH | 101.6 | 0.9996 | 94.4 | 0.9988 | 95.5 | 0.9999 |
| PPIA | 106.7 | 0.9975 | 97.1 | 0.9999 | 95.8 | 0.9996 |
| EF1A1 (EF1α) | 101.0 | 0.9997 | 99.8 | 0.9999 | 96.6 | 0.9998 |
| RPL13A | 103.5 | 0.9998 | 96.1 | 0.9995 | 96.5 | 0.9998 |
| RPLP0 | 98.9 | 1 | 92.7 | 0.9998 | 92.6 | 1 |
| TBP | 103.1 | 0.9995 | 101.7 | 0.9999 | 97.4 | 0.9994 |
| 18S rRNA | 99.3 | 0.9992 | 96.3 | 0.9999 | 98.8 | 0.9993 |
| HPRT1 | 98.8 | 1 | 103.5 | 0.9956 | 93.4 | 0.9997 |
| YWHAZ | 100.1 | 0.9978 | 99.1 | 0.9968 | 98.9 | 0.9998 |
| Cell Line | Rank | geNorm | NormFinder | BestKeeper | Comprehensive Ranking | ||||||||
|---|---|---|---|---|---|---|---|---|---|---|---|---|---|
| Gene | M Value | Gene | Stability Value | Gene | SD (±Cq) | Gene | CV (% Cq) | Gene | Coefficient of Correlation (r) | Gene | Geomean | ||
| MG-63 | 1 | TBP/YWHAZ | 0.227 | PPIA | 0.079 | EF1A1 | 0.259 | TBP | 1.378 | PPIA | 0.933 | TBP | 2.460 |
| 2 | - | - | GAPDH | 0.086 | 18S rRNA | 0.261 | RPL13A | 1.502 | HPRT1 | 0.89 | PPIA | 2.631 | |
| 3 | PPIA | 0.315 | TBP | 0.094 | RPL13A | 0.282 | EF1A1 | 1.576 | GAPDH | 0.831 | GAPDH | 3.288 | |
| 4 | GAPDH | 0.348 | YWHAZ | 0.118 | GAPDH | 0.326 | GAPDH | 1.825 | YWHAZ | 0.797 | YWHAZ | 3.438 | |
| 5 | EF1A1 | 0.409 | EF1A1 | 0.146 | TBP | 0.346 | YWHAZ | 1.834 | ACTB | 0.796 | EF1A1 | 3.594 | |
| 6 | RPL13A | 0.439 | HPRT1 | 0.159 | YWHAZ | 0.385 | PPIA | 2.338 | TBP | 0.775 | RPL13A | 4.816 | |
| 7 | RPLP0 | 0.465 | ACTB | 0.180 | PPIA | 0.442 | 18S rRNA | 2.569 | RPLP0 | 0.622 | HPRT1 | 6.143 | |
| 8 | 18S rRNA | 0.499 | RPL13A | 0.188 | RPLP0 | 0.502 | RPLP0 | 2.702 | EF1A1 | 0.528 | 18S rRNA | 6.454 | |
| 9 | HPRT1 | 0.550 | RPLP0 | 0.193 | HPRT1 | 0.706 | HPRT1 | 2.963 | RPL13A | 0.39 | RPLP0 | 7.765 | |
| 10 | ACTB | 0.645 | 18S rRNA | 0.248 | ACTB | 1.011 | ACTB | 5.125 | 18S rRNA | 0.063 | ACTB | 8.106 | |
| HOS | 1 | HPRT1/YWHAZ | 0.216 | YWHAZ | 0.114 | EF1A1 | 0.124 | EF1A1 | 0.786 | HPRT1 | 0.907 | YWHAZ | 2.091 |
| 2 | - | - | TBP | 0.142 | 18S rRNA | 0.198 | TBP | 0.992 | YWHAZ | 0.882 | EF1A1 | 2.702 | |
| 3 | PPIA | 0.245 | EF1A1 | 0.195 | RPLP0 | 0.228 | RPLP0 | 1.265 | ACTB | 0.778 | HPRT1 | 2.809 | |
| 4 | TBP | 0.306 | RPLP0 | 0.198 | TBP | 0.247 | YWHAZ | 1.454 | GAPDH | 0.74 | TBP | 3.288 | |
| 5 | GAPDH | 0.330 | HPRT1 | 0.217 | YWHAZ | 0.309 | HPRT1 | 1.764 | PPIA | 0.669 | RPLP0 | 4.460 | |
| 6 | EF1A1 | 0.370 | GAPDH | 0.230 | GAPDH | 0.367 | 18S rRNA | 1.881 | TBP | 0.624 | GAPDH | 5.502 | |
| 7 | RPLP0 | 0.400 | PPIA | 0.265 | HPRT1 | 0.418 | GAPDH | 2.039 | RPLP0 | 0.468 | PPIA | 5.827 | |
| 8 | 18S rRNA | 0.427 | 18S rRNA | 0.286 | PPIA | 0.433 | PPIA | 2.345 | EF1A1 | 0.101 | 18S rRNA | 5.985 | |
| 9 | ACTB | 0.478 | ACTB | 0.446 | RPL13A | 0.506 | RPL13A | 2.810 | RPL13A | 0.028 | ACTB | 7.536 | |
| 10 | RPL13A | 0.531 | RPL13A | 0.478 | ACTB | 0.666 | ACTB | 3.426 | 18S rRNA | −0.121 | RPL13A | 9.387 | |
| SaOS-2 | 1 | RPL13A/GAPDH | 0.212 | PPIA | 0.054 | YWHAZ | 0.209 | YWHAZ | 0.964 | PPIA | 0.920 | YWHAZ | 2.187 |
| 2 | - | YWHAZ | 0.087 | TBP | 0.260 | TBP | 1.037 | RPLP0 | 0.910 | PPIA | 2.402 | ||
| 3 | EF1A1 | 0.225 | EF1A1 | 0.092 | EF1A1 | 0.260 | HPRT1 | 1.353 | RPL13A | 0.869 | EF1A1 | 3.650 | |
| 4 | PPIA | 0.239 | RPL13A | 0.104 | PPIA | 0.323 | EF1A1 | 1.531 | GAPDH | 0.858 | RPLP0 | 3.882 | |
| 5 | YWHAZ | 0.260 | GAPDH | 0.114 | HPRT1 | 0.325 | PPIA | 1.702 | YWHAZ | 0.832 | GAPDH | 4.183 | |
| 6 | HPRT1 | 0.270 | HPRT1 | 0.122 | RPL13A | 0.335 | ACTB | 1.730 | EF1A1 | 0.799 | TBP | 4.789 | |
| 7 | TBP | 0.307 | RPLP0 | 0.156 | ACTB | 0.359 | RPL13A | 1.879 | HPRT1 | 0.739 | HPRT1 | 5.194 | |
| 8 | ACTB | 0.350 | ACTB | 0.163 | GAPDH | 0.412 | GAPDH | 2.240 | ACTB | 0.718 | RPL13A | 5.785 | |
| 9 | RPLP0 | 0.384 | TBP | 0.185 | 18S rRNA | 0.455 | RPLP0 | 2.604 | 18S rRNA | 0.558 | ACTB | 7.354 | |
| 10 | 18S rRNA | 0.436 | 18S rRNA | 0.237 | RPLP0 | 0.514 | 18S rRNA | 4.080 | TBP | 0.272 | 18S rRNA | 9.587 | |
| Rank | Gene Name | Geomean |
|---|---|---|
| 1 | YWHAZ | 1.587 |
| 2 | TBP | 2.884 |
| 3 | PPIA | 3.037 |
| 4 | EF1A1 | 3.107 |
| 5 | GAPDH | 4.481 |
| 6 | HPRT1 | 5.278 |
| 7 | RPL13A | 6.214 |
| 8 | RPLP0 | 7.114 |
| 9 | 18S rRNA | 8.618 |
| 10 | ACTB | 9.322 |
| Symbol Accession Number | Gene Name | Sequences | Product Length | Melting Temperature (°C) |
|---|---|---|---|---|
| ALPL NM_001127501.4 | Alkaline phosphatase | F: 5′- CCAAGTACTGGCGAGACCAA-3′ R: 5′- GTGGAGACACCCATCCCATC-3′ | 121 | 60 |
| COL1A1 NM_000088.4 | Collagen type I alpha 1 chain | F: 5′- GCCAAGACGAAGACATCCCA-3′ R: 5′- GTTTCCACACGTCTCGGTCA-3′ | 75 | 60 |
| RUNX2 NM_001015051.4 | Runt-related transcription factor 2 | F: 5′- AGCAAGGTTCAACGATCTGAGAT-3′ R: 5′- TTTGTGAAGACGGTTATGGTCAA-3′ | 81 | 59 |
Publisher’s Note: MDPI stays neutral with regard to jurisdictional claims in published maps and institutional affiliations. |
© 2022 by the authors. Licensee MDPI, Basel, Switzerland. This article is an open access article distributed under the terms and conditions of the Creative Commons Attribution (CC BY) license (https://creativecommons.org/licenses/by/4.0/).
Share and Cite
Franko, N.; Vrščaj, L.A.; Zore, T.; Ostanek, B.; Marc, J.; Lojk, J. TBP, PPIA, YWHAZ and EF1A1 Are the Most Stably Expressed Genes during Osteogenic Differentiation. Int. J. Mol. Sci. 2022, 23, 4257. https://doi.org/10.3390/ijms23084257
Franko N, Vrščaj LA, Zore T, Ostanek B, Marc J, Lojk J. TBP, PPIA, YWHAZ and EF1A1 Are the Most Stably Expressed Genes during Osteogenic Differentiation. International Journal of Molecular Sciences. 2022; 23(8):4257. https://doi.org/10.3390/ijms23084257
Chicago/Turabian StyleFranko, Nina, Lucija Ana Vrščaj, Taja Zore, Barbara Ostanek, Janja Marc, and Jasna Lojk. 2022. "TBP, PPIA, YWHAZ and EF1A1 Are the Most Stably Expressed Genes during Osteogenic Differentiation" International Journal of Molecular Sciences 23, no. 8: 4257. https://doi.org/10.3390/ijms23084257
APA StyleFranko, N., Vrščaj, L. A., Zore, T., Ostanek, B., Marc, J., & Lojk, J. (2022). TBP, PPIA, YWHAZ and EF1A1 Are the Most Stably Expressed Genes during Osteogenic Differentiation. International Journal of Molecular Sciences, 23(8), 4257. https://doi.org/10.3390/ijms23084257

