A Study on the Effect of the Substituent against PAK4 Inhibition Using In Silico Methods
Abstract
:1. Introduction
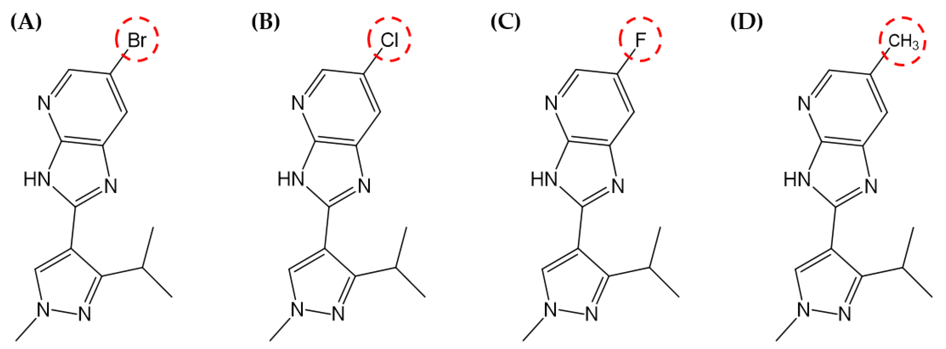
2. Results
2.1. Molecular Docking Studies against PAK4
2.2. Pair-Interaction Energy Analysis
2.3. Molecular Electrostatic Potential Surface
3. Discussion
4. Materials and Methods
4.1. Molecular Docking Study
4.2. FMO Calculations
4.3. Quantum Mechanics Chemical Calculations
4.4. In Vitro Assay
4.5. Procurement and Synthesis
Author Contributions
Funding
Conflicts of Interest
References
- Harrold, M.W.; Zavod, R.M. Basic Concepts in Medicinal Chemistry. In Chapter 2: Functional Group Characteristics and Roles; American Society of Health-System Pharmacists: Bethesda, MD, USA, 2018; pp. 21–66. [Google Scholar]
- Gerebtzoff, G.; Li-Blatter, X.; Fischer, H.; Frentzel, A.; Seelig, A. Halogenation of drugs enhances membrane binding and permeation. ChemBioChem 2004, 5, 676–684. [Google Scholar] [CrossRef] [PubMed]
- Gentry, C.; Egleton, R.; Gillespie, T.; Abbruscato, T.; Bechowski, H.; Hruby, V.; Davis, T. The effect of halogenation on blood–brain barrier permeability of a novel peptide drug. Peptides 1999, 20, 1229–1238. [Google Scholar] [CrossRef]
- Imai, Y.N.; Inoue, Y.; Nakanishi, I.; Kitaura, K. Cl–π interactions in protein–ligand complexes. Protein Sci. 2008, 17, 1129–1137. [Google Scholar] [CrossRef] [PubMed] [Green Version]
- Hernandes, Z.M.; Cavalcanti, T.S.M.; Moreira, M.D.R.; de Azevedo Junior, F.W.; Leite, L.A.C. Halogen Atoms in the Modern Medicinal Chemistry: Hints for the Drug Design. Curr. Drug Targets 2010, 11, 303–314. [Google Scholar] [CrossRef]
- Ugale, V.G.; Patel, H.M.; Surana, S.J. Molecular modeling studies of quinoline derivatives as VEGFR-2 tyrosine kinase inhibitors using pharmacophore based 3D QSAR and docking approach. Arab. J. Chem. 2017, 10, S1980–S2003. [Google Scholar] [CrossRef] [Green Version]
- Barreiro, E.J.; Kümmerle, A.E.; Fraga, C.A.M. The Methylation Effect in Medicinal Chemistry. Chem. Rev. 2011, 111, 5215–5246. [Google Scholar] [CrossRef] [PubMed]
- Leung, C.S.; Leung, S.S.F.; Tirado-Rives, J.; Jorgensen, W.L. Methyl Effects on Protein–Ligand Binding. J. Med. Chem. 2012, 55, 4489–4500. [Google Scholar] [CrossRef] [Green Version]
- Liu, Y.; Xiao, H.; Tian, Y.; Nekrasova, T.; Hao, X.; Lee, H.J.; Suh, N.; Yang, C.S.; Minden, A. The Pak4 Protein Kinase Plays a Key Role in Cell Survival and Tumorigenesis in Athymic Mice. Mol. Cancer Res. 2008, 6, 1215–1224. [Google Scholar] [CrossRef] [Green Version]
- Costa, T.D.; Strömblad, S. Why is PAK4 overexpressed in cancer? Int. J. Biochem. Cell Biol. 2021, 138, 106041. [Google Scholar] [CrossRef]
- Huang, C.; Du, R.; Jia, X.; Liu, K.; Qiao, Y.; Wu, Q.; Yao, N.; Yang, L.; Zhou, L.; Liu, X.; et al. CDK15 promotes colorectal cancer progression via phosphorylating PAK4 and regulating β-catenin/MEK-ERK signaling pathway. Cell Death Differ. 2021, 29, 14–27. [Google Scholar] [CrossRef]
- Qin, Q.; Wu, T.; Yin, W.; Sun, Y.; Zhang, X.; Wang, R.; Guo, J.; Zhao, D.; Cheng, M. Discovery of 2,4-diaminopyrimidine derivatives targeting p21-activated kinase 4: Biological evaluation and docking studies. Arch. Pharm. 2020, 353, 2000097. [Google Scholar] [CrossRef] [PubMed]
- Costa, T.D.F.; Strömblad, S. New control of the senescence barrier in breast cancer. Mol. Cell. Oncol. 2020, 7, 1684129. [Google Scholar] [CrossRef] [PubMed] [Green Version]
- Murray, B.W.; Guo, C.; Piraino, J.; Westwick, J.K.; Zhang, C.; Lamerdin, J.; Dagostino, E.; Knighton, D.; Loi, C.-M.; Zager, M.; et al. Small-molecule p21-activated kinase inhibitor PF-3758309 is a potent inhibitor of oncogenic signaling and tumor growth. Proc. Natl. Acad. Sci. USA 2010, 107, 9446–9451. [Google Scholar] [CrossRef] [PubMed] [Green Version]
- Moon, S.-U.; Kim, J.W.; Sung, J.H.; Kang, M.H.; Kim, S.-H.; Chang, H.; Lee, J.-O.; Kim, Y.J.; Lee, K.-W.; Kim, J.H.; et al. p21-Activated Kinase 4 (PAK4) as a Predictive Marker of Gemcitabine Sensitivity in Pancreatic Cancer Cell Lines. Cancer Res. Treat. 2015, 47, 501–508. [Google Scholar] [CrossRef] [PubMed]
- Wells, C.M.; Whale, A.D.; Parsons, M.; Masters, J.R.; Jones, G.E. PAK4: A pluripotent kinase that regulates prostate cancer cell adhesion. J. Cell Sci. 2010, 123, 1663–1673. [Google Scholar] [CrossRef] [Green Version]
- Weidle, U.H.; Birzele, F.; Brinkmann, U.; Auslaender, S. Gastric Cancer: Identification of microRNAs Inhibiting Druggable Targets and Mediating Efficacy in Preclinical In Vivo Models. Cancer Genom. Proteom. 2021, 18, 497–514. [Google Scholar] [CrossRef]
- Kesanakurti, D.; Chetty, C.; Rajasekhar Maddirela, D.; Gujrati, M.; Rao, J.S. Functional cooperativity by direct interaction between PAK4 and MMP-2 in the regulation of anoikis resistance, migration and invasion in glioma. Cell Death Dis. 2012, 3, e445. [Google Scholar] [CrossRef] [Green Version]
- Park, J.K.; Kim, S.; Han, Y.J.; Kim, S.H.; Kang, N.S.; Lee, H.; Park, S. The discovery and the structural basis of an imidazo[4,5-b]pyridine-based p21-activated kinase 4 inhibitor. Bioorg. Med. Chem. Lett. 2016, 26, 2580–2583. [Google Scholar] [CrossRef]
- Licciulli, S.; Maksimoska, J.; Zhou, C.; Troutman, S.; Kota, S.; Liu, Q.; Duron, S.; Campbell, D.; Chernoff, J.; Field, J.; et al. FRAX597, a small molecule inhibitor of the p21-activated kinases, inhibits tumorigenesis of neurofibromatosis type 2 (NF2)-associated Schwannomas. J. Biol. Chem. 2013, 288, 29105–29114. [Google Scholar] [CrossRef] [Green Version]
- Foxall, E.; Staszowska, A.; Hirvonen, L.M.; Georgouli, M.; Ciccioli, M.; Rimmer, A.; Williams, L.; Calle, Y.; Sanz-Moreno, V.; Cox, S.; et al. PAK4 Kinase Activity Plays a Crucial Role in the Podosome Ring of Myeloid Cells. Cell Rep. 2019, 29, 3385–3393.e6. [Google Scholar] [CrossRef] [Green Version]
- Meng, X.-Y.; Zhang, H.-X.; Mezei, M.; Cui, M. Molecular docking: A powerful approach for structure-based drug discovery. Curr. Comput. Aided Drug Des. 2011, 7, 146–157. [Google Scholar] [CrossRef] [PubMed]
- Pinzi, L.; Rastelli, G. Molecular Docking: Shifting Paradigms in Drug Discovery. Int. J. Mol. Sci. 2019, 20, 4331. [Google Scholar] [CrossRef] [PubMed] [Green Version]
- Morris, G.M.; Lim-Wilby, M. Molecular Docking. In Molecular Modeling of Proteins; Springer: Berlin/Heidelberg, Germany, 2008; pp. 365–382. [Google Scholar]
- Alexeev, Y.; Mazanetz, M.P.; Ichihara, O.; Fedorov, D.G. GAMESS as a free quantum-mechanical platform for drug research. Curr. Top. Med. Chem. 2012, 12, 2013–2033. [Google Scholar] [CrossRef] [PubMed]
- Fedorov, D.G.; Nagata, T.; Kitaura, K. Exploring chemistry with the fragment molecular orbital method. Phys. Chem. Chem. Phys. 2012, 14, 7562–7577. [Google Scholar] [CrossRef] [PubMed]
- Fedorov, D.G.; Kitaura, K. Extending the power of quantum chemistry to large systems with the fragment molecular orbital method. J. Phys. Chem. A 2007, 111, 6904–6914. [Google Scholar] [CrossRef]
- Heifetz, A.; James, T.; Southey, M.; Bodkin, M.J.; Bromidge, S. Guiding Medicinal Chemistry with Fragment Molecular Orbital (FMO) Method. In Quantum Mechanics in Drug Discovery; Springer: Berlin/Heidelberg, Germany, 2020; pp. 37–48. [Google Scholar]
- Heifetz, A.; Chudyk, E.I.; Gleave, L.; Aldeghi, M.; Cherezov, V.; Fedorov, D.G.; Biggin, P.C.; Bodkin, M.J. The Fragment molecular orbital method reveals new insight into the chemical nature of GPCR–ligand interactions. J. Chem. Inf. Modeling 2016, 56, 159–172. [Google Scholar] [CrossRef]
- Nakliang, P.; Lazim, R.; Chang, H.; Choi, S. Multiscale Molecular Modeling in G Protein-Coupled Receptor (GPCR)-Ligand Studies. Biomolecules 2020, 10, 631. [Google Scholar] [CrossRef] [Green Version]
- Phipps, M.J.; Fox, T.; Tautermann, C.S.; Skylaris, C.-K. Energy decomposition analysis approaches and their evaluation on prototypical protein–drug interaction patterns. Chem. Soc. Rev. 2015, 44, 3177–3211. [Google Scholar] [CrossRef] [Green Version]
- Fedorov, D.G.; Kitaura, K. Pair interaction energy decomposition analysis. J. Comput. Chem. 2007, 28, 222–237. [Google Scholar] [CrossRef]
- Heifetz, A.; Trani, G.; Aldeghi, M.; MacKinnon, C.H.; McEwan, P.A.; Brookfield, F.A.; Chudyk, E.I.; Bodkin, M.; Pei, Z.; Burch, J.D. Fragment molecular orbital method applied to lead optimization of novel interleukin-2 inducible T-cell kinase (ITK) inhibitors. J. Med. Chem. 2016, 59, 4352–4363. [Google Scholar] [CrossRef]
- Fedorov, D.G.; Kitaura, K. Energy Decomposition Analysis in Solution Based on the Fragment Molecular Orbital Method. J. Phys. Chem. A 2012, 116, 704–719. [Google Scholar] [CrossRef] [PubMed]
- Murray, J.S.; Politzer, P. The electrostatic potential: An overview. WIREs Comput. Mol. Sci. 2011, 1, 153–163. [Google Scholar] [CrossRef]
- Kitchen, D.B.; Decornez, H.; Furr, J.R.; Bajorath, J. Docking and scoring in virtual screening for drug discovery: Methods and applications. Nat. Rev. Drug Discov. 2004, 3, 935–949. [Google Scholar] [CrossRef]
- Elokely, K.M.; Doerksen, R.J. Docking Challenge: Protein Sampling and Molecular Docking Performance. J. Chem. Inf. Modeling 2013, 53, 1934–1945. [Google Scholar] [CrossRef] [PubMed] [Green Version]
- Guedes, I.A.; Pereira, F.S.S.; Dardenne, L.E. Empirical Scoring Functions for Structure-Based Virtual Screening: Applications, Critical Aspects, and Challenges. Front. Pharmacol. 2018, 9, 1089. [Google Scholar] [CrossRef]
- Pantsar, T.; Poso, A. Binding Affinity via Docking: Fact and Fiction. Molecules 2018, 23, 1899. [Google Scholar] [CrossRef] [Green Version]
- Wilcken, R.; Zimmermann, M.O.; Lange, A.; Joerger, A.C.; Boeckler, F.M. Principles and Applications of Halogen Bonding in Medicinal Chemistry and Chemical Biology. J. Med. Chem. 2013, 56, 1363–1388. [Google Scholar] [CrossRef]
- Mowery, D.M.; Clough, R.L.; Assink, R.A. Identification of oxidation products in selectively labeled polypropylene with solid-state 13C NMR techniques. Macromolecules 2007, 40, 3615–3623. [Google Scholar] [CrossRef]
- Shiri, F.; Pirhadi, S.; Ghasemi, J.B. Alignment independent 3D-QSAR, quantum calculations and molecular docking of Mer specific tyrosine kinase inhibitors as anticancer drugs. Saudi Pharm. J. 2016, 24, 197–212. [Google Scholar] [CrossRef] [Green Version]
- Plumley, J.A.; Dannenberg, J.J. A comparison of the behavior of functional/basis set combinations for hydrogen-bonding in the water dimer with emphasis on basis set superposition error. J. Comput. Chem. 2011, 32, 1519–1527. [Google Scholar] [CrossRef]
- Almatarneh, M.H.; Alnajajrah, A.; Altarawneh, M.; Zhao, Y.; Halim, M.A. Computational mechanistic study of the unimolecular dissociation of ethyl hydroperoxide and its bimolecular reactions with atmospheric species. Sci. Rep. 2020, 10, 15025. [Google Scholar] [CrossRef] [PubMed]
- Lakshminarayanan, S.; Jeyasingh, V.; Murugesan, K.; Selvapalam, N.; Dass, G. Molecular electrostatic potential (MEP) surface analysis of chemo sensors: An extra supporting hand for strength, selectivity & non-traditional interactions. J. Photochem. Photobiol. 2021, 6, 100022. [Google Scholar]
- Adelusi, T.I.; Oyedele, A.-Q.K.; Boyenle, I.D.; Ogunlana, A.T.; Adeyemi, R.O.; Ukachi, C.D.; Idris, M.O.; Olaoba, O.T.; Adedotun, I.O.; Kolawole, O.E.; et al. Molecular modeling in drug discovery. Inform. Med. Unlocked 2022, 29, 100880. [Google Scholar] [CrossRef]
- Sheikh-Jalali, H.; Mohseni-Shahri, F.S.; Moeinpour, F. Evaluation of binding properties of bovine serum albumin and pyrimidine ligand: Spectroscopic and molecular docking approach. J. Mol. Struct. 2022, 1252, 132222. [Google Scholar] [CrossRef]
- Brooks, B.R.; Bruccoleri, R.E.; Olafson, B.D.; States, D.J.; Swaminathan, S.A.; Karplus, M. CHARMM: A program for macromolecular energy, minimization, and dynamics calculations. J. Comput. Chem. 1983, 4, 187–217. [Google Scholar] [CrossRef]
- Chen, A.A.; Pappu, R.V. Parameters of Monovalent Ions in the AMBER-99 Forcefield: Assessment of Inaccuracies and Proposed Improvements. J. Phys. Chem. B 2007, 111, 11884–11887. [Google Scholar] [CrossRef]
- Ge, Y.; Wych, D.C.; Samways, M.L.; Wall, M.E.; Essex, J.W.; Mobley, D.L. Enhancing Sampling of Water Rehydration on Ligand Binding: A Comparison of Techniques. J. Chem. Theory Comput. 2022, 18, 1359–1381. [Google Scholar] [CrossRef]
- Abraham, M.J.; Murtola, T.; Schulz, R.; Páll, S.; Smith, J.C.; Hess, B.; Lindahl, E. GROMACS: High performance molecular simulations through multi-level parallelism from laptops to supercomputers. SoftwareX 2015, 1–2, 19–25. [Google Scholar] [CrossRef] [Green Version]
- Takaya, D.; Watanabe, C.; Nagase, S.; Kamisaka, K.; Okiyama, Y.; Moriwaki, H.; Yuki, H.; Sato, T.; Kurita, N.; Yagi, Y.; et al. FMODB: The world’s first database of quantum mechanical calculations for biomacromolecules based on the fragment molecular orbital method. J. Chem. Inf. Modeling 2021, 61, 777–794. [Google Scholar] [CrossRef]
- Nakano, T.; Kaminuma, T.; Sato, T.; Akiyama, Y.; Uebayasi, M.; Kitaura, K. Fragment molecular orbital method: Application to polypeptides. Chem. Phys. Lett. 2000, 318, 614–618. [Google Scholar] [CrossRef]
- Mazanetz, M.P.; Ichihara, O.; Law, R.J.; Whittaker, M. Prediction of cyclin-dependent kinase 2 inhibitor potency using the fragment molecular orbital method. J. Cheminform. 2011, 3, 2. [Google Scholar] [CrossRef] [PubMed] [Green Version]
- Fedorov, D.G.; Kitaura, K. The importance of three-body terms in the fragment molecular orbital method. J. Chem. Phys. 2004, 120, 6832–6840. [Google Scholar] [CrossRef] [PubMed]
- Kubillus, M.; Kubař, T.; Gaus, M.; Řezáč, J.; Elstner, M. Parameterization of the DFTB3 Method for Br, Ca, Cl, F, I, K, and Na in Organic and Biological Systems. J. Chem. Theory Comput. 2015, 11, 332–342. [Google Scholar] [CrossRef] [PubMed]
- Lu, X.; Gaus, M.; Elstner, M.; Cui, Q. Parametrization of DFTB3/3OB for Magnesium and Zinc for Chemical and Biological Applications. J. Phys. Chem. B 2015, 119, 1062–1082. [Google Scholar] [CrossRef] [Green Version]
- Gaus, M.; Goez, A.; Elstner, M. Parametrization and Benchmark of DFTB3 for Organic Molecules. J. Chem. Theory Comput. 2013, 9, 338–354. [Google Scholar] [CrossRef]
- Li, H.; Fedorov, D.G.; Nagata, T.; Kitaura, K.; Jensen, J.H.; Gordon, M.S. Energy gradients in combined fragment molecular orbital and polarizable continuum model (FMO/PCM) calculation. J. Comput. Chem. 2010, 31, 778–790. [Google Scholar] [CrossRef] [Green Version]
- Frisch, M.J.; Trucks, G.W.; Schlegel, H.B.; Scuseria, G.E.; Robb, M.A.; Cheeseman, J.R.; Scalmani, G.; Barone, V.; Mennucci, B.; Petersson, G.A.; et al. Gaussian, version 09; Gaussian, Inc.: Wallingford, CT, USA, 2009. [Google Scholar]
- Dennington, R.; Keith, T.; Millam, J. GaussView, version 5.0.8.; Semichem Inc.: Shawnee Mission, KS, USA, 2009. [Google Scholar]
- Zhao, Y.; Schultz, N.E.; Truhlar, D.G. Design of Density Functionals by Combining the Method of Constraint Satisfaction with Parametrization for Thermochemistry, Thermochemical Kinetics, and Noncovalent Interactions. J. Chem. Theory Comput. 2006, 2, 364–382. [Google Scholar] [CrossRef]
- Venkatesh, G.; Govindaraju, M.; Kamal, C.; Vennila, P.; Kaya, S. Structural, electronic and optical properties of 2,5-dichloro-p-xylene: Experimental and theoretical calculations using DFT method. RSC Adv. 2017, 7, 1401–1412. [Google Scholar] [CrossRef] [Green Version]
- Murugavel, S.; Vijayakumar, S.; Nagarajan, S.; Ponnuswamy, A. Crystal Structure and Dft Studies Of 4-(1-Benzyl-5-Methyl-1h-1, 2, 3-Triazol-4-Yl)-6-(3-Methoxyphenyl) Pyrimidin-2-Amine. J. Chil. Chem. Soc. 2014, 59, 2640–2646. [Google Scholar] [CrossRef]
- Clark, T.; Hennemann, M.; Murray, J.S.; Politzer, P. Halogen bonding: The σ-hole. J. Mol. Model. 2007, 13, 291–296. [Google Scholar] [CrossRef]






| 1 | 2 | 3 | 4 | |
|---|---|---|---|---|
| Docking score | 59.27 | 56.95 | 54.00 | 58.14 |
| Binding energy | −23.78 | −27.14 | −25.16 | −22.78 |
| PIE | −22.33 | −22.10 | −21.39 | −16.30 |
| IC50 (nM) | 5150 | 8533 | >30,000 | >30,000 |
| Residue | I372 | G328 | V335 | I337 | A348 | K350 | V379 | M395 | E396 | F397 | L398 | E399 | G400 | G401 | A402 | L403 | D405 | L447 | S457 | D458 | |
|---|---|---|---|---|---|---|---|---|---|---|---|---|---|---|---|---|---|---|---|---|---|
| Compound | |||||||||||||||||||||
| 1 | −0.45 | −1.37 | −0.75 | 1.35 | −2.99 | −9.84 | −1.66 | −2.33 | 4.84 | −0.25 | −2.88 | −3.48 | −3.88 | 5.08 | −2.55 | −0.71 | −1.70 | −0.99 | −1.67 | 3.88 | |
| 2 | −0.45 | −1.35 | −0.74 | 1.29 | −3.35 | −9.22 | −1.76 | −2.06 | 4.68 | −0.24 | −3.00 | −3.15 | −3.83 | 4.92 | −2.46 | −0.68 | −1.69 | −1.02 | −1.69 | 3.70 | |
| 3 | −0.32 | −1.37 | −0.62 | 1.32 | −2.87 | −8.98 | −1.68 | −1.54 | 4.38 | −0.16 | −2.72 | −3.85 | −3.92 | 5.14 | −2.52 | −0.75 | −1.99 | −0.83 | −1.40 | 3.29 | |
| 4 | −1.20 | −1.21 | −1.28 | 0.89 | −3.86 | −6.28 | −1.78 | −1.20 | 5.09 | −0.62 | −6.57 | 2.74 | −3.29 | 3.65 | −2.64 | −0.47 | −0.82 | −1.94 | −2.21 | 4.19 | |
| Residue | I372 | G328 | V335 | I337 | A348 | K350 | V379 | M395 | E396 | F397 | L398 | E399 | G400 | G401 | A402 | L403 | D405 | L447 | S457 | D458 | |
|---|---|---|---|---|---|---|---|---|---|---|---|---|---|---|---|---|---|---|---|---|---|
| Compound | |||||||||||||||||||||
| 1 | −0.24 | −2.30 | −0.97 | 1.64 | −3.47 | −12.30 | −1.58 | −1.24 | 5.18 | −0.01 | −4.37 | −8.26 | −5.37 | 3.87 | −2.54 | −1.67 | −5.82 | −1.37 | −1.62 | 6.89 | |
| 2 | −0.24 | −2.26 | −0.97 | 1.58 | −3.43 | −11.53 | −1.56 | −1.23 | 5.09 | −0.01 | −4.44 | −7.92 | −5.29 | 3.71 | −2.45 | −1.62 | −5.69 | −1.39 | −1.65 | 6.73 | |
| 3 | −0.17 | −2.33 | −0.90 | 1.69 | −3.48 | −12.83 | −1.62 | −1.30 | 5.27 | 0.22 | −4.24 | −8.30 | −5.40 | 3.90 | −2.49 | −1.71 | −5.90 | −1.28 | −1.61 | 6.95 | |
| 4 | −0.86 | −1.99 | −1.50 | 1.11 | −4.02 | −6.48 | −1.58 | −1.06 | 4.75 | −0.60 | −7.28 | −3.85 | −4.86 | 2.71 | −2.71 | −1.40 | −4.77 | −2.27 | −2.35 | 5.82 | |
| Residue | I372 | G328 | V335 | I337 | A348 | K350 | V379 | M395 | E396 | F397 | L398 | E399 | G400 | G401 | A402 | L403 | D405 | L447 | S457 | D458 | |
|---|---|---|---|---|---|---|---|---|---|---|---|---|---|---|---|---|---|---|---|---|---|
| Compound | |||||||||||||||||||||
| 1 | 0.00 | −0.01 | 0.00 | 0.00 | 0.03 | 0.06 | −0.01 | −0.05 | 0.00 | −0.06 | 0.02 | −2.28 | −0.16 | 0.05 | −0.03 | 0.00 | 0.00 | 0.01 | −0.03 | 0.00 | |
| 2 | 0.00 | −0.01 | 0.00 | 0.00 | 0.09 | 0.13 | −0.03 | −0.03 | 0.00 | −0.06 | −0.01 | −2.18 | −0.16 | 0.05 | −0.03 | 0.00 | 0.00 | 0.01 | −0.03 | 0.00 | |
| 3 | 0.00 | −0.01 | 0.00 | 0.00 | 0.00 | 0.00 | 0.00 | 0.00 | 0.00 | −0.06 | −0.01 | −2.15 | −0.16 | 0.05 | −0.03 | 0.00 | 0.00 | 0.01 | 0.00 | 0.00 | |
| 4 | −0.01 | −0.01 | −0.01 | 0.00 | 0.00 | 0.00 | 0.00 | 0.00 | 0.00 | −0.02 | −0.39 | −0.95 | −0.10 | −0.05 | −0.02 | 0.00 | 0.00 | −0.01 | 0.01 | 0.00 | |
Publisher’s Note: MDPI stays neutral with regard to jurisdictional claims in published maps and institutional affiliations. |
© 2022 by the authors. Licensee MDPI, Basel, Switzerland. This article is an open access article distributed under the terms and conditions of the Creative Commons Attribution (CC BY) license (https://creativecommons.org/licenses/by/4.0/).
Share and Cite
Yoon, H.R.; Chai, C.C.; Kim, C.H.; Kang, N.S. A Study on the Effect of the Substituent against PAK4 Inhibition Using In Silico Methods. Int. J. Mol. Sci. 2022, 23, 3337. https://doi.org/10.3390/ijms23063337
Yoon HR, Chai CC, Kim CH, Kang NS. A Study on the Effect of the Substituent against PAK4 Inhibition Using In Silico Methods. International Journal of Molecular Sciences. 2022; 23(6):3337. https://doi.org/10.3390/ijms23063337
Chicago/Turabian StyleYoon, Hye Ree, Chong Chul Chai, Cheol Hee Kim, and Nam Sook Kang. 2022. "A Study on the Effect of the Substituent against PAK4 Inhibition Using In Silico Methods" International Journal of Molecular Sciences 23, no. 6: 3337. https://doi.org/10.3390/ijms23063337
APA StyleYoon, H. R., Chai, C. C., Kim, C. H., & Kang, N. S. (2022). A Study on the Effect of the Substituent against PAK4 Inhibition Using In Silico Methods. International Journal of Molecular Sciences, 23(6), 3337. https://doi.org/10.3390/ijms23063337

