Evaluation of Metabolic Changes in Acute Intermittent Porphyria Patients by Targeted Metabolomics
Abstract
1. Introduction
2. Results
2.1. Targeted Metabolomics Is Able to Differentiate AIP Cases and Controls
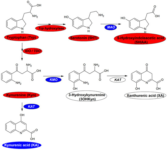
2.2. Tryptophan Metabolism
2.3. TCA Cycle
2.4. Increase in TCA Metabolites after Addition of ALA to Hepatocytes Culture
3. Discussion
4. Materials and Methods
4.1. Patients
4.2. Standards and Reagents
4.3. Quantification of Plasmatic Biomarkers
4.3.1. Tryptophan Metabolism
4.3.2. TCA Intermediates
4.3.3. Amino Acids
4.3.4. Steroids
4.4. In Vitro Experiments
4.5. Instrumentation
4.6. Statistical Analysis
5. Conclusions
Supplementary Materials
Author Contributions
Funding
Institutional Review Board Statement
Informed Consent Statement
Data Availability Statement
Conflicts of Interest
Abbreviations
| AIP | Acute Intermittent Porphyria |
| PBGD | Porphobilinogen Deaminase |
| ALAS-1 | δ-Aminolevulinic Synthase |
| ALA | δ-Aminolevulinic Acid |
| PBG | Porphobilinogen |
| Trp | Tryptophan |
| LNAAs | Long Neutral Amino Acids |
| TCA | Tricarboxylic Acid Cycle |
| LC-MS/MS | Liquid Chromatography-Tandem Mass Spectrometry |
| HC | Healthy Controls |
| 5HT | Serotonin |
| KA | Kynurenic Acid |
| Kyn | Kynurenine |
| IA | Isocitric Acid |
| CA | Citric Acid |
| FA | Fumaric Acid |
| SA | Succinic Acid |
| 5HIAA | 5-Hydroxy Indole Acetic Acid |
| 5HT | Serotonin |
| MA | Malic Acid |
| FA | Fumaric Acid |
| 3OHKyn | 3-Hydroxy Kynurenine |
| XA | Xanthurenic Acid |
| TDO | Tryptophan 2,3-Dioxygenase |
| SCS | Succinyl CoA Synthetase |
| ISTD | Internal Standard Solution |
References
- Puy, H.; Gouya, L.; Deybach, J.-C. Porphyrias. Lancet 2010, 375, 924–937. [Google Scholar] [CrossRef]
- Bonkovsky, H.L.; Dixon, N.; Rudnick, S. Pathogenesis and clinical features of the acute hepatic porphyrias (AHPs). Mol. Genet. Metab. 2019, 128, 213–218. [Google Scholar] [CrossRef] [PubMed]
- To-Figueras, J.; Wijngaard, R.; García-Villoria, J.; Aarsand, A.K.; Aguilera, P.; Deulofeu, R.; Brunet, M.; Gómez-Gómez, À.; Pozo, O.J.; Sandberg, S. Dysregulation of homocysteine homeostasis in acute intermittent porphyria patients receiving heme arginate or givosiran. J. Inherit. Metab. Dis. 2021, 44, 961–971. [Google Scholar] [CrossRef] [PubMed]
- Bustad, H.J.; Kallio, J.P.; Vorland, M.; Fiorentino, V.; Sandberg, S.; Schmitt, C.; Aarsand, A.K.; Martinez, A. Acute intermittent porphyria: An overview of therapy developments and future perspectives focusing on stabilisation of HMBS and proteostasis regulators. Int. J. Mol. Sci. 2021, 22, 675. [Google Scholar] [CrossRef] [PubMed]
- Bonkowsky, H.L.; Tschudy, D.P.; Collins, A.; Doherty, J.; Bossenmaier, I.; Cardinal, C.J. Watson, Repression of the overproduction of porphyrin precursors in acute intermittent porphyria by intravenous infusions of hematin. Proc. Natl. Acad. Sci. USA 1971, 68, 2725–2729. [Google Scholar] [CrossRef]
- Sardh, E.; Harper, P.; Balwani, M.; Stein, P.; Rees, D.; Bissell, D.M.; Desnick, R.; Parker, C.; Phillips, J.; Bonkovsky, H.L.; et al. Phase 1 trial of an RNA interference therapy for acute intermittent porphyria. New Engl. J. Med. 2019, 380, 549–558. [Google Scholar] [CrossRef]
- Balwani, M.; Sardh, E.; Ventura, P.; Peiró, P.A.; Rees, D.C.; Stölzel, U.; Bissell, D.M.; Bonkovsky, H.L.; Windyga, J.; Anderson, K.E.; et al. Phase 3 Trial of RNAi Therapeutic Givosiran for Acute Intermittent Porphyria. New Engl. J. Med. 2020, 382, 2289–2301. [Google Scholar] [CrossRef]
- Gouya, L.; Ventura, P.; Balwani, M.; Bissell, D.M.; Rees, D.C.; Stölzel, U.; Phillips, J.D.; Kauppinen, R.; Langendonk, J.G.; Desnick, R.J.; et al. EXPLORE: A Prospective, Multinational, Natural History Study of Patients with Acute Hepatic Porphyria with Recurrent Attacks. Hepatology 2020, 71, 1546–1558. [Google Scholar] [CrossRef]
- Lundin, G.; Hashemi, J.; Floderus, Y.; Thunell, S.; Sagen, E.; Laegreid, A.; Wassif, W.; Peters, T.; Anvret, M. 4 mutations in the porphobilinogen deaminase gene in patients with acute intermittent porphyria. J. Med. Genet. 1995, 32, 979–981. [Google Scholar] [CrossRef][Green Version]
- Herrero, C.; Badenas, C.; Aguilera, P.; To-Figueras, J. Acute intermittent porphyria: Long-term follow up of 35 patients—Porfiria aguda intermitente: Seguimiento a largo término de 35 pacientes. Med. Clin. 2015, 145, 332–337. [Google Scholar] [CrossRef]
- Yasuda, M.; Chen, B.; Desnick, R.J. Recent advances on porphyria genetics: Inheritance, penetrance & molecular heterogeneity, including new modifying/causative genes. Mol. Genet. Metab. 2019, 128, 320–331. [Google Scholar] [CrossRef] [PubMed]
- Gomez-Gomez, A.; Marcos, J.; Aguilera, P.; To-Figueras, J.; Pozo, O.J. Comprehensive analysis of the tryptophan metabolome in urine of patients with acute intermittent porphyria. J. Chromatogr. B 2017, 1060, 347–354. [Google Scholar] [CrossRef] [PubMed]
- Collantes, M.; Serrano-Mendioroz, I.; Benito, M.; Molinet-Dronda, F.; Delgado, M.; Vinaixa, M.; Sampedro, A.; de Salamanca, R.E.; Prieto, E.; Pozo, M.A.; et al. Glucose metabolism during fasting is altered in experimental porphobilinogen deaminase deficiency. Hum. Mol. Genet. 2016, 25, 1318–1327. [Google Scholar] [CrossRef] [PubMed]
- Luck, M.; Schmitt, C.; Talbi, N.; Gouya, L.; Caradeuc, C.; Puy, H.; Bertho, G.; Pallet, N. Urinary metabolic profiling of asymptomatic acute intermittent porphyria using a rule-mining-based algorithm. Metabolomics 2018, 14, 10. [Google Scholar] [CrossRef]
- Pozo, O.J.; Marcos, J.; Fabregat, A.; Ventura, R.; Casals, G.; Aguilera, P.; Segura, J.; To-Figueras, J. Adrenal hormonal imbalance in acute intermittent porphyria patients: Results of a case control study. Orphanet J. Rare Dis. 2014, 9, 54. [Google Scholar] [CrossRef]
- Casals, G.; Marcos, J.; Pozo, Ó.J.; Aguilera, P.; Herrero, C.; To-Figueras, J. Gas chromatography-mass spectrometry profiling of steroids in urine of patients with acute intermittent porphyria. Clin. Biochem. 2013, 46, 819–824. [Google Scholar] [CrossRef]
- Lin, C.N.; Shiao, M.S.; Cheng, M.L.; Chen, C.M.; Kuo, H.C. Profiling of serum metabolites of acute intermittent porphyria and asymptomatic hmbs mutation carriers. Cells 2021, 10, 2579. [Google Scholar] [CrossRef]
- di Pierro, E.; Granata, F. Nutrients and porphyria: An intriguing crosstalk. Int. J. Mol. Sci. 2020, 21, 3462. [Google Scholar] [CrossRef]
- James, M.F.M.; Hift, R.J. Porphyrias. Brit. J. Anaesthesia 2000, 85, 143–153. [Google Scholar] [CrossRef]
- Carichon, M.; Pallet, N.; Schmitt, C.; Lefebvre, T.; Gouya, L.; Talbi, N.; Deybach, J.C.; Beaune, P.; Vasos, P.; Puy, H.; et al. Urinary metabolic fingerprint of acute intermittent porphyria analyzed by 1H NMR spectroscopy. Anal. Chem. 2014, 86, 2166–2174. [Google Scholar] [CrossRef]
- To-Figueras, J.; Lopez, R.M.; Deulofeu, R.; Herrero, C. Preliminary report: Hyperhomocysteinemia in patients with acute intermittent porphyria. Metabolism 2010, 59, 1809–1810. [Google Scholar] [CrossRef] [PubMed]
- Mellinkoff, S.; Halpern, S.; Frankland, M.; Greipel, M. Abnormal urinary amino acid patterns in acute intermittent porphyria. J. Lab. Clin. Med. 1959, 53, 358–363. [Google Scholar] [CrossRef] [PubMed]
- Petrides, P.E.; Klein, M.; Schuhmann, E.; Torkler, H.; Molitor, B.; Loehr, C.; Obermeier, Z.; Beykirch, M.K. Severe homocysteinemia in two givosiran-treated porphyria patients: Is free heme deficiency the culprit? Ann. Hematol. 2021, 100, 1685–1693. [Google Scholar] [CrossRef] [PubMed]
- Pereira, B.; Curi, R.; Kokubun, E.; Bechara, E.J. 5-aminolevulinic acid-induced alterations of oxidative metabolism in sedentary and exercise-trained rats. J. Appl. Physiol. 1991, 72, 226–230. [Google Scholar] [CrossRef] [PubMed]
- Ogura, S.I.; Maruyama, K.; Hagiya, Y.; Sugiyama, Y.; Tsuchiya, K.; Takahashi, K.; Abe, F.; Tabata, K.; Okura, I.; Nakajima, M.; et al. The effect of 5-aminolevulinic acid on cytochrome c oxidase activity in mouse liver. BMC Res. Notes 2011, 4, 66. [Google Scholar] [CrossRef] [PubMed]
- Homedan, C.; Laafi, J.; Schmitt, C.; Gueguen, N.; Lefebvre, T.; Karim, Z.; Desquiret-Dumas, V.; Wetterwald, C.; Deybach, J.C.; Gouya, L.; et al. Acute intermittent porphyria causes hepatic mitochondrial energetic failure in a mouse model. Int. J. Biochem. Cell Biol. 2014, 51, 93–101. [Google Scholar] [CrossRef]
- Goodacre, R. Metabolomics shows the way to new discoveries. Genome Biol. 2005, 6, 354. [Google Scholar] [CrossRef][Green Version]
- Patti, G.J.; Yanes, O.; Siuzdak, G. Metabolomics: The apogee or the omic trilolgy. Nat. Rev. Mol. Cell Biol. 2013, 13, 263–269. [Google Scholar] [CrossRef] [PubMed]
- Walsh, M.C.; Nugent, A.; Brennan, L.; Gibney, M.J. Understanding the metabolome–Challenges for metabolomics. Nutr. Bull. 2018, 33, 316–323. [Google Scholar] [CrossRef]
- Cynober, L.A. Plasma amino acid levels with a note on membrane transport: Characteristics, regulation, and metabolic significance. Nutrition 2002, 18, 761–766. [Google Scholar] [CrossRef]
- Silverstone, T. Geigy Scientific Table. Int. Clin. Psychopharmacol. 1986, 1, 86. [Google Scholar] [CrossRef]
- Trabado, S.; Al-Salameh, A.; Croixmarie, V.; Masson, P.; Corruble, E.; Fève, B.; Colle, R.; Ripoll, L.; Walther, B.; Boursier-Neyret, C.; et al. The human plasma-metabolome: Reference values in 800 French healthy volunteers; Impact of cholesterol, gender and age. PLoS ONE 2017, 12, e0173615. [Google Scholar] [CrossRef] [PubMed]
- Sekiduka-Kumano, T.; Kawayama, T.; Ito, K.; Shoji, Y.; Matsunaga, K.; Okamoto, M.; Edakuni, N.; Imaoka, H.; Uchimura, N. Positive association between the plasma levels of 5-hydroxyindoleacetic acid and the severity of depression in patients with chronic obstructive pulmonary disease. BMC Psychiatry 2013, 13, 159. [Google Scholar] [CrossRef] [PubMed]
- Lee, M.S.; Cheng, F.C.; Yeh, H.Z.; Liou, T.Y.; Liu, J.H. Determination of plasma serotonin and 5-hydroxyindoleacetic acid in healthy subjects and cancer patients. Clin. Chem. 2000, 46, 422–423. [Google Scholar] [CrossRef] [PubMed]
- Martinez, E.; Artigas, F.; Sunol, C. Liquid-chromatographic determination of indole-3-acetic acid and 5-hydroxyindole-3-acetic acid in human plasma. Clin. Chem. 1983, 29, 1354–1357. [Google Scholar] [CrossRef] [PubMed]
- Hervé, C.; Beyne, P.; Jamault, H.; Delacoux, E. Determination of tryptophan and its kynurenine pathway metabolites in human serum by high-performance liquid chromatography with simultaneous ultraviolet and fluorimetric detection. J. Chromatogr. B Biomed. Appl. 1996, 675, 157–161. [Google Scholar] [CrossRef]
- Dabrowski, W.; Kocki, T.; Pilat, J.; Parada-Turska, J.; Malbrain, M.L.N.G. Changes in plasma kynurenic acid concentration in septic shock patients undergoing continuous veno-venous haemofiltration. Inflammation 2014, 37, 223–234. [Google Scholar] [CrossRef][Green Version]
- Pearson, S.J.; Reynolds, G.P. Determination of 3-hydroxykynurenine in human brain and plasma by high-performance liquid chromatography with electrochemical detection. Increased concentrations in hepatic encephalopathy. J. Chromatogr. B Biomed. Appl. 1991, 565, 436–440. [Google Scholar] [CrossRef]
- Tong, Q.; Song, J.; Fan, L.; Xiong, W.; Fang, J. Simultaneous determination of tryptophan, kynurenine, kynurenic acid, xanthurenic acid and 5-hydroxytryptamine in human plasma by LC-MS/MS and its application to acute myocardial infarction monitoring. Biomed. Chromatogr. 2017, 32, e4156. [Google Scholar] [CrossRef] [PubMed]
- Badawy, A.A.B.; Dougherty, D.M. Assessment of the human kynurenine pathway: Comparisons and clinical implications of ethnic and gender differences in plasma tryptophan, kynurenine metabolites, and enzyme expressions at baseline and after acute tryptophan loading and depletion. Int. J. Tryptophan Res. 2016, 9, 31–49. [Google Scholar] [CrossRef] [PubMed]
- Hsu, H.Y.; Tsai, Y.C.; Fu, C.C.; Wu, J.S.B. Degradation of ascorbic acid in ethanolic solutions. J. Agric. Food Chem. 2012, 60, 10696–10701. [Google Scholar] [CrossRef] [PubMed]
- Correia, M.A.; Lunetta, J.M. Acute hepatic heme depletion impaired gluconeogenesis in rats. Semin. Hematol. 1989, 2, 120–127. [Google Scholar]
- Badawy, A.A.; Morgan, C.J.; Davis, N.R. Effects of the haem precursor 5-aminolaevulinate on tryptophan metabolism and disposition in the rat. Biochem. J. 1987, 248, 293–295. [Google Scholar] [CrossRef]
- Hoffmann, G.; Aramakl, S.; Bium-hoffmann, E.; Nyhan, W.L.; Sweetman, L. Quantitative Analysis for Organic Acids in Biological Samples: Batch Isolation Followed by Gas Chromatographic-Mass Spectrometnc Analysis. Clin. Chem. 1989, 35, 587–595. [Google Scholar] [CrossRef] [PubMed]
- Foster, K.J.; Alberti, K.G.M.M.; Hinks, L.; Lloyd, B.; Postle, A.; Smythe, P.; Turnell, D.C.; Walton, R. Blood intermediary metabolite and insulin concentrations after an overnight fast: Reference ranges for adults, and interrelations. Clin. Chem. 1978, 24, 1568–1572. [Google Scholar] [CrossRef] [PubMed]
- Magera, M.J.; Helgeson, J.K.; Matern, D.; Rinaldo, P. Methylmalonic acid measured in plasma and urine by stable-isotope dilution and electrospray tandem mass spectrometry. Clin. Chem. 2000, 46, 1804–1810. [Google Scholar] [CrossRef] [PubMed]
- Guder, W.G.; Ehret, W.; Da Fonseca-Wollheim, F.; Heil, W.; Müller-Plathe, O.; Schmitt, Y.; Töpfer, G.; Wisser, H.; Zawta, B.; Banfi, G.; et al. The quality of diagnostic samples. Laboratoriums Medizin 2002, 26, 267–283. [Google Scholar] [CrossRef]
- Badawy, A.A.B. Hypothesis: Metabolic targeting of 5-aminolevulinate synthase by tryptophan and inhibitors of heme utilisation by tryptophan 2,3-dioxygenase as potential therapies of acute hepatic porphyrias. Med. Hypotheses 2019, 131, 109314. [Google Scholar] [CrossRef]
- Kumari, A. Chapter 2—Citric Acid Cycle. In Sweet Biochemistry: Remembering Structures, Cycles, and Pathways by Mnemonics; Academic Press: London, UK, 2018; pp. 7–11. [Google Scholar] [CrossRef]
- Nemeth, A.; Russell, C.; Shemin, D. The succinate-glycine cycle. II. Metabolism of delta-aminolevulinic acid. J. Biol. Chem. 1957, 229, 415–422. [Google Scholar] [CrossRef]
- Storjord, E.; Dahl, J.A.; Landsem, A.; Fure, H.; Ludviksen, J.K.; Goldbeck-Wood, S.; Karlsen, B.O.; Berg, K.S.; Mollnes, T.E.; Nielsen, E.W.; et al. Systemic inflammation in acute intermittent porphyria: A case–control study. Clin. Exp. Immunol. 2017, 187, 466–479. [Google Scholar] [CrossRef][Green Version]
- Schmitt, C.; Lenglet, H.; Yu, A.; Delaby, C.; Benecke, A.; Lefebvre, T.; Letteron, P.; Paradis, V.; Wahlin, S.; Sandberg, S.; et al. Recurrent attacks of acute hepatic porphyria: Major role of the chronic inflammatory response in the liver. J. Intern. Med. 2018, 284, 78–91. [Google Scholar] [CrossRef] [PubMed]
- To-Figueras, J.; Badenas, C.; Carrera, C.; Muñoz, C.; Milá, M.; Lecha, M.; Herrero, C. Genetic and biochemical characterization of 16 acute intermittent porphyria cases with a high prevalence of the R173W mutation. J. Inherit. Metab. Dis. 2006, 29, 580–585. [Google Scholar] [CrossRef] [PubMed]
- Marcos, J.; Renau, N.; Valverde, O.; Aznar-Laín, G.; Gracia-Rubio, I.; Gonzalez-Sepulveda, M.; Pérez-Jurado, L.A.; Ventura, R.; Segura, J.; Pozo, O.J. Targeting tryptophan and tyrosine metabolism by liquid chromatography tandem mass spectrometry. J. Chromatogr. A 2016, 1434, 91–101. [Google Scholar] [CrossRef] [PubMed]
- Gomez-Gomez, A.; Olesti, E.; Montero-San-Martin, B.; Soldevila, A.; Deschamps, T.; Pizarro, N.; de la Torre, R.; Pozo, O.J. Determination of up to twenty carboxylic acid containing compounds in clinically relevant matrices by o-benzylhydroxylamine derivatization and liquid chromatography-tandem mass spectrometry. J. Pharm. Biomed. 2021, 208, 114450. [Google Scholar] [CrossRef]
- Waters, Kairos Amino Acid Kit. Available online: https://www.waters.com/waters/en_VN/Kairos-Amino-Acid-Analysis-Kit-for-physiological-fluids/nav.htm?cid=135004655&locale=en_VN (accessed on 3 July 2020).
- Gomez-Gomez, A.; Miranda, J.; Feixas, G.; Arranz Betegon, A.; Cripsi, F.; Gratacos, E.; Pozo, O.J. Determination of the steroid profile in alternative matrices by liquid chromatography tandem mass spectrometry. J. Steroid Biochem. Mol. Biol. 2020, 197, 105520. [Google Scholar] [CrossRef]
- Gomez-Gomez, A.; Pozo, O.J. Determination of steroid profile in hair by liquid chromatography tandem mass spectrometry. J. Chromatogr. A 2020, 1624, 461179. [Google Scholar] [CrossRef]





| Tryptophan Metabolism | |||||
| Marker | Reference Values (ng/mL) | HC (n = 33) (ng/mL) | AIP (n = 18) (ng/mL) | p-Value | Mean Difference (95% CI) |
| Trp | 7557–19,177 | 15,866 (8911–22,358) | 17,891 (12,054–23,566) | 0.023 | −2184 (−4059–−308) |
| 5HT | 0.60–220 | 25 (0.40–153) | 143 (1.5–657) | <0.001 a | −0.78 (−1.14–−0.4) a |
| 5HIAA | 1.8–19 | 11 (5.7–24) | 18 (10–48) | <0.001 b | −0.22 (−0.318–−0.12) b |
| Kyn | 146–625 | 640 (334–880) | 867 (629–1645) | <0.001 b | −0.21 (−0.295–−0.13) b |
| KA | 2.7–25 | 22 (16–47) | 28 (20–61) | 0.203 | −3.4 (−8.8–1.9) |
| 3OHKyn | 3.1–18 | 17 (9.5–38) | 19 (7.2–35) | 0.786 | −0.75 (−6.3–4.8) |
| XA | 0.84–39 | 66 (11–88) | 62 (46–93) | 0.497 | −3.8 (−15.0–7.4) |
| 5HT/Trp | - | 1.5 × 10−3 (1.0 × 10−4–9.6 × 10−3) | 8.0 × 10−3 (1.0 × 10−4–3.7 × 10−2) | <0.001 a | −0.72 (−1.08–−0.4) a |
| 5HIAA/Trp | - | 7.0 × 10−4 (3.0 × 10−4–1.6 × 10−3) | 1.0 × 10−3 (6.0 × 10−4–3.2 × 10−3) | 0.004 a | −0.16 (−0.260–−0.05) a |
| 5HIAA/5HT | - | 0.51 (0.080–34.0) | 0.13 (0.023–1.5 × 101) | 0.005 a | 0.56 (0.18–0.94) a |
| Kyn/Trp | - | 4.1 × 10−2 (2.4 × 10−2–6.2 × 10−2) | 5.4 × 10−2 (3.31 × 10−2–1.4 × 10−1) | 0.003 b | −0.15 (−0.249–−0.06) b |
| KA/Kyn | - | 3.7 × 10−2 (2.4 × 10−2–1.2 × 10−1) | 2.9 × 10−2 (1.8 × 10−2–4.5 × 10−2) | 0.001 b | 0.16 (0.073–0.243) b |
| 3OHKyn/Kyn | - | 2.8 × 10−2 (1.7 × 10−2–5.5 × 10−2) | 2.0 × 10−2 (9.4 × 10−3–4.7 × 10−2) | 0.011 b | 0.17 (0.044–0.297) b |
| XA/3OHKyn | - | 4.5 (1.1–7.8) | 3.8 (1.3–7.3) | 0.957 a | −0.0041 (−0.156–0.15) a |
| Tricarboxylic Acid Cycle | |||||
| Marker | Reference Values (ng/mL) | HC (n = 33) (ng/mL) | AIP (n = 18) (ng/mL) | p-Value | Mean Difference (95% CI) |
| CA | 5.7–77 | 25 (9.4–38) | 30 (5.8–67) | 0.211 b | −0.087 (−0.228–0.05) b |
| IA | >0.20–1.9 | 1.1 (0.15–2.9) | 2.2 (1.1–5.7) | <0.001 a | −0.35 (−0.482–−0.22) a |
| SA | 0.70–3.8 | 1.3 (0.50–3.1) | 1.7 (0.79–5.9) | 0.019 | −0.65 (−1.188–−0.11) |
| FA | >0.12–0.46 | 0.12 (0.022–0.19) | 0.22 (0.10–0.44) | <0.001 a | −0.33 (−0.447–−0.21) a |
| MA | 0.31–2.8 | 1.6 (0.5–3.0) | 2.8 (0.8–6.3) | <0.001 a | −0.22 (−0.334–−0.11) a |
| IA/CA | - | 22 (10–62) | 14 (5.4–30) | <0.001 a | 0.26 (0.150–0.37) a |
| SA/IA | - | 0.7 (0.3–4.7) | 1.2 (0.7–3.1) | 0.013 b | −0.18 (−0.321–−0.04) b |
| FA/SA | - | 13 (3.4–31) | 7.8 (3.6–18) | 0.007 a | 0.16 (0.044–0.266) a |
| MA/FA | - | 7.2 × 10−2 (1.4 × 10−2–1.1 × 10−1) | 8.4 × 10−2 (4.4 × 10−2–1.3 × 10−1) | 0.025 b | −0.11 (−0.200–−0.01) b |
| CA/MA | - | 16 (6.0–27) | 14 (5.7–26) | 0.600 b | 0.027 (−0.078–0.132) b |
Publisher’s Note: MDPI stays neutral with regard to jurisdictional claims in published maps and institutional affiliations. |
© 2022 by the authors. Licensee MDPI, Basel, Switzerland. This article is an open access article distributed under the terms and conditions of the Creative Commons Attribution (CC BY) license (https://creativecommons.org/licenses/by/4.0/).
Share and Cite
Gomez-Gomez, A.; Aguilera, P.; Langohr, K.; Casals, G.; Pavon, C.; Marcos, J.; To-Figueras, J.; Pozo, O.J. Evaluation of Metabolic Changes in Acute Intermittent Porphyria Patients by Targeted Metabolomics. Int. J. Mol. Sci. 2022, 23, 3219. https://doi.org/10.3390/ijms23063219
Gomez-Gomez A, Aguilera P, Langohr K, Casals G, Pavon C, Marcos J, To-Figueras J, Pozo OJ. Evaluation of Metabolic Changes in Acute Intermittent Porphyria Patients by Targeted Metabolomics. International Journal of Molecular Sciences. 2022; 23(6):3219. https://doi.org/10.3390/ijms23063219
Chicago/Turabian StyleGomez-Gomez, Alex, Paula Aguilera, Klaus Langohr, Gregori Casals, Cristina Pavon, Josep Marcos, Jordi To-Figueras, and Oscar J. Pozo. 2022. "Evaluation of Metabolic Changes in Acute Intermittent Porphyria Patients by Targeted Metabolomics" International Journal of Molecular Sciences 23, no. 6: 3219. https://doi.org/10.3390/ijms23063219
APA StyleGomez-Gomez, A., Aguilera, P., Langohr, K., Casals, G., Pavon, C., Marcos, J., To-Figueras, J., & Pozo, O. J. (2022). Evaluation of Metabolic Changes in Acute Intermittent Porphyria Patients by Targeted Metabolomics. International Journal of Molecular Sciences, 23(6), 3219. https://doi.org/10.3390/ijms23063219

