Theoretical Characterization of the Step-by-Step Mechanism of Conversion of Leukotriene A4 to Leukotriene B4 Catalysed by the Enzyme Leukotriene A4 Hydrolase
Abstract
:1. Introduction
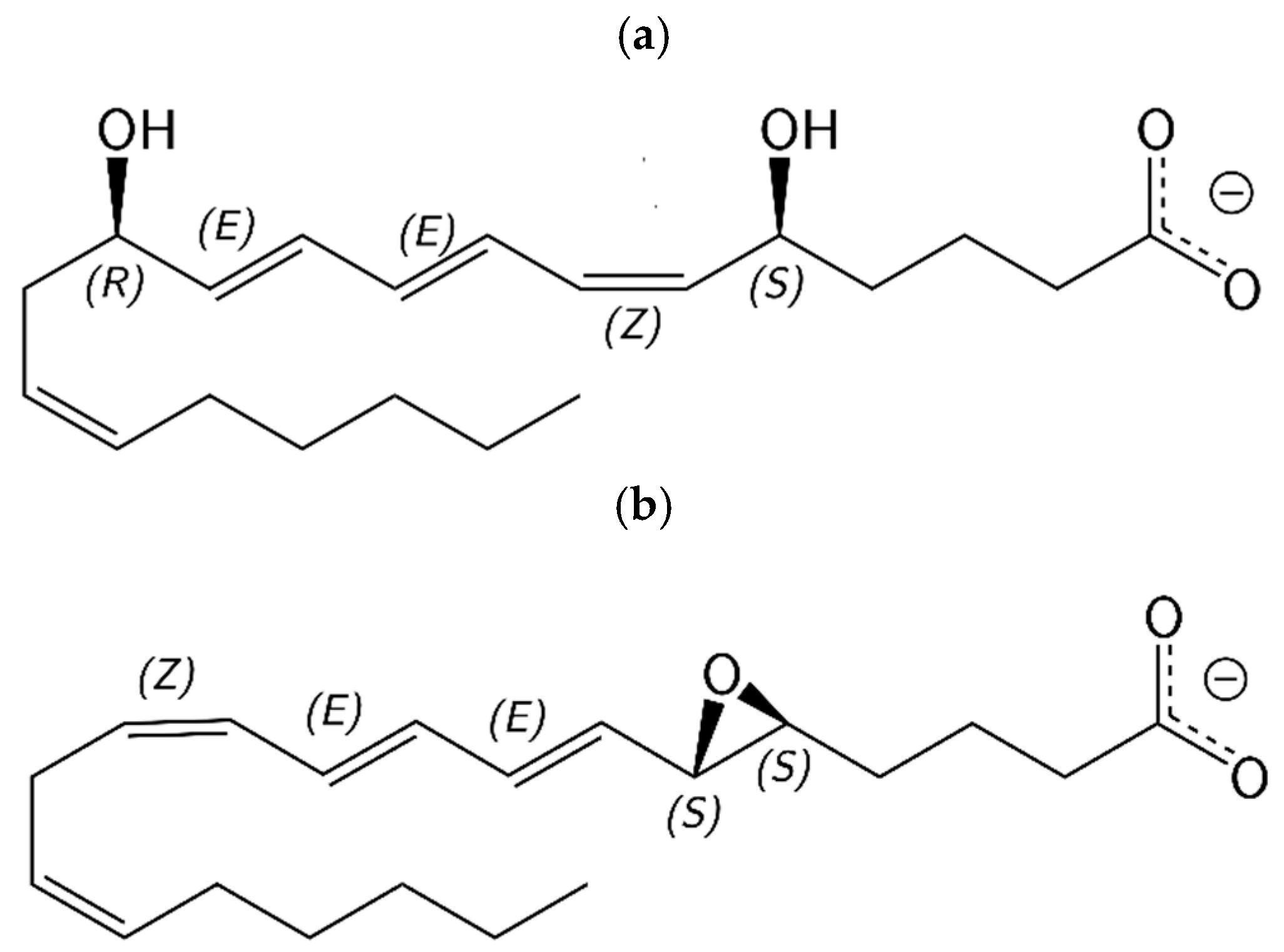
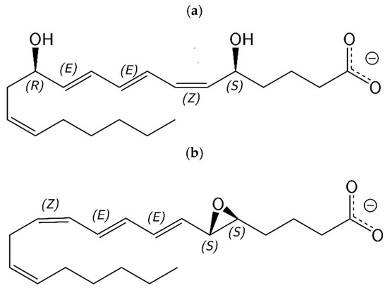
2. Results and Discussion
2.1. QM/MM Structural Analysis
2.2. Molecular Dynamics Simulation
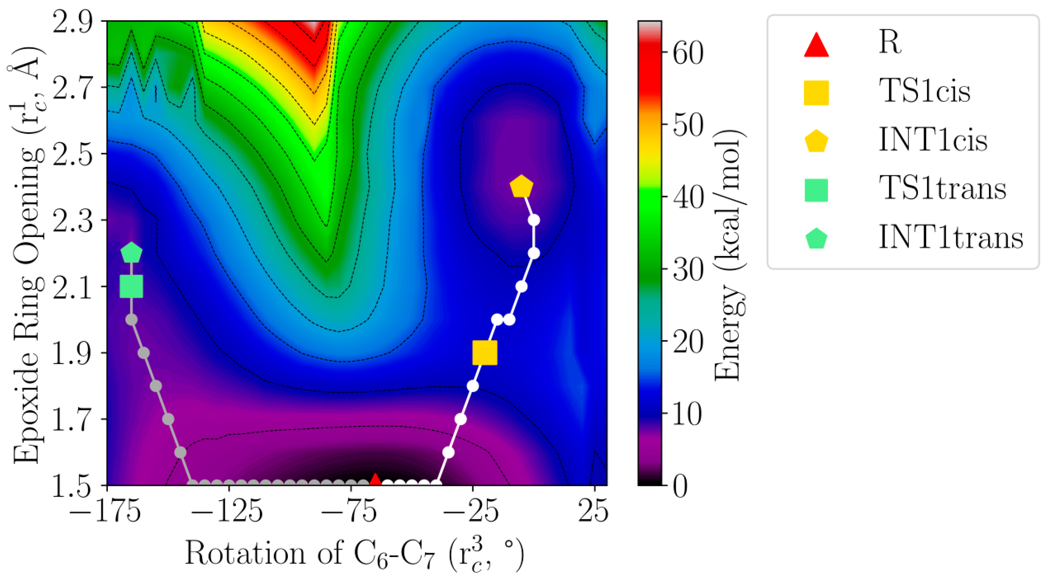
2.3. QM/MM Reaction Mechanism Calculations
3. Materials and Methods
3.1. Protein Setup
3.2. QM/MM Calculations
3.3. Molecular Dynamics Simulation
4. Conclusions
Supplementary Materials
Author Contributions
Funding
Data Availability Statement
Conflicts of Interest
References
- Furman, D.; Campisi, J.; Verdin, E.; Carrera-Bastos, P.; Targ, S.; Franceschi, C.; Ferrucci, L.; Gilroy, D.W.; Fasano, A.; Miller, G.W.; et al. Chronic Inflammation in the Etiology of Disease across the Life Span. Nat. Med. 2019, 25, 1822–1832. [Google Scholar] [CrossRef] [PubMed]
- Serhan, C.N.; Chiang, N.; van Dyke, T.E. Resolving Inflammation: Dual Anti-Inflammatory and pro-Resolution Lipid Mediators. Nat. Rev. Immunol. 2008, 8, 349–361. [Google Scholar] [CrossRef] [PubMed] [Green Version]
- Ayoub, S.S. Fundamentals of Inflammation; Serhan, C.N., Ward, P.A., Gilroy, D.W., Eds.; Cambridge University Press: Cambridge, UK, 2010; ISBN 9781139195737. [Google Scholar]
- Buckley, C.D.; Gilroy, D.W.; Serhan, C.N. Proresolving Lipid Mediators and Mechanisms in the Resolution of Acute Inflammation. Immunity 2014, 40, 315–327. [Google Scholar] [CrossRef] [Green Version]
- Serhan, C.N. Discovery of Specialized Pro-Resolving Mediators Marks the Dawn of Resolution Physiology and Pharmacology. Mol. Asp. Med. 2017, 58, 1–11. [Google Scholar] [CrossRef] [PubMed]
- Dalli, J. Does Promoting Resolution Instead of Inhibiting Inflammation Represent the New Paradigm in Treating Infections? Mol. Asp. Med. 2017, 58, 12–20. [Google Scholar] [CrossRef]
- Serhan, C.N. Treating Inflammation and Infection in the 21st Century: New Hints from Decoding Resolution Mediators and Mechanisms. FASEB J. 2017, 31, 1273–1288. [Google Scholar] [CrossRef] [PubMed] [Green Version]
- Wan, M.; Tang, X.; Stsiapanava, A.; Haeggström, J.Z. Biosynthesis of Leukotriene B4. Semin. Immunol. 2017, 33, 3–15. [Google Scholar] [CrossRef] [PubMed]
- Mancini, J.A.; Abramovitz, M.; Cox, M.E.; Wong, E.; Charleson, S.; Perrier, H.; Wang, Z.; Prasit, P.; Vickers, P.J. 5-Lipoxygenase-Activating Protein Is an Arachidonate Binding Protein. FEBS Lett. 1993, 318, 277–281. [Google Scholar] [CrossRef] [Green Version]
- Peters-Golden, M.; Brock, T.G. 5-Lipoxygenase and FLAP. Prostaglandins Leukot. Essent. Fat. Acids 2003, 69, 99–109. [Google Scholar] [CrossRef]
- Evans, J.F.; Ferguson, A.D.; Mosley, R.T.; Hutchinson, J.H. What’s All the FLAP about?: 5-Lipoxygenase-Activating Protein Inhibitors for Inflammatory Diseases. Trends Pharmacol. Sci. 2008, 29, 72–78. [Google Scholar] [CrossRef]
- Gerstmeier, J.; Weinigel, C.; Rummler, S.; Rådmark, O.; Werz, O.; Garscha, U. Time-resolved in Situ Assembly of the Leukotriene-synthetic 5-lipoxygenase/5-lipoxygenase-activating Protein Complex in Blood Leukocytes. FASEB J. 2016, 30, 276–285. [Google Scholar] [CrossRef]
- Abramovitz, M.; Wong, E.; Cox, M.E.; Richardson, C.D.; Li, C.; Vickers, P.J. 5-Lipoxygenase-Activating Protein Stimulates the Utilization of Arachidonic Acid by 5-Lipoxygenase. Eur. J. Biochem. 1993, 215, 105–111. [Google Scholar] [CrossRef]
- Basavarajappa, D.; Wan, M.; Lukic, A.; Steinhilber, D.; Samuelsson, B.; Radmark, O. Roles of Coactosin-like Protein (CLP) and 5-Lipoxygenase-Activating Protein (FLAP) in Cellular Leukotriene Biosynthesis. Proc. Natl. Acad. Sci. USA 2014, 111, 11371–11376. [Google Scholar] [CrossRef] [Green Version]
- Rudberg, P.C.; Tholander, F.; Thunnissen, M.M.G.M.; Samuelsson, B.; Haeggstrom, J.Z. Leukotriene A4 Hydrolase: Selective Abrogation of Leukotriene B4 Formation by Mutation of Aspartic Acid 375. Proc. Natl. Acad. Sci. USA 2002, 99, 4215–4220. [Google Scholar] [CrossRef] [Green Version]
- Thunnissen, M.M.G.M.; Nordlund, P.; Haeggström, J.Z. Crystal Structure of Human Leukotriene A4 Hydrolase, a Bifunctional Enzyme in Inflammation. Nat. Struct. Biol. 2001, 8, 131–135. [Google Scholar] [CrossRef]
- Rinaldo-Matthis, A.; Haeggström, J.Z. Leukotriene A4 Hydrolase and Leukotriene C4 Synthase. In Lipoxygenases in Inflammation; Springer: Frankfurt, Germany, 2016; pp. 31–46. [Google Scholar] [CrossRef]
- Stsiapanava, A.; Samuelsson, B.; Haeggström, J.Z. Capturing LTA4 Hydrolase in Action: Insights to the Chemistry and Dynamics of Chemotactic LTB4 Synthesis. Proc. Natl. Acad. Sci. USA 2017, 114, 9689–9694. [Google Scholar] [CrossRef] [Green Version]
- Rudberg, P.C.; Tholander, F.; Thunnissen, M.M.G.M.; Haeggström, J.Z. Leukotriene A4 Hydrolase/Aminopeptidase: Glutamate 271 is a catalytic residue with specific roles in two distinct enzyme mechanisms. J. Biol. Chem. 2002, 277, 1398–1404. [Google Scholar] [CrossRef] [Green Version]
- Rudberg, P.C.; Tholander, F.; Andberg, M.; Thunnissen, M.M.G.M.; Haeggström, J.Z. Leukotriene A4 Hydrolase: Identification of a common carboxylate recognition site for the epoxide hydrolase and aminopeptidase substrates. J. Biol. Chem. 2004, 279, 27376–27382. [Google Scholar] [CrossRef] [Green Version]
- Mueller, M.J.; Blomster, M.; Oppermann, U.C.; Jornvall, H.; Samuelsson, B.; Haeggstrom, J.Z. Leukotriene A4 Hydrolase: Protection from Mechanism-Based Inactivation by Mutation of Tyrosine-378. Proc. Natl. Acad. Sci. USA 1996, 93, 5931–5935. [Google Scholar] [CrossRef] [Green Version]
- Mueller, M.J.; Blomster Andberg, M.; Samuelsson, B.; Haeggstrom, J.Z. Leukotriene A4 Hydrolase Mutation of Tyrosine 378 Allows Conversion of Leukotriene A4 into an Isomer of Leukotriene B4. J. Biol. Chem. 1996, 271, 24345–24348. [Google Scholar] [CrossRef] [Green Version]
- Mu, X.; Xu, D. QM/MM Molecular Dynamics Investigations of the Substrate Binding of Leucotriene A4 Hydrolase: Implication for the Catalytic Mechanism. J. Phys. Chem. B 2018, 122, 7253–7263. [Google Scholar] [CrossRef]
- Elstner, M.; Porezag, D.; Jungnickel, G.; Elsner, J.; Haugk, M.; Frauenheim, T.; Suhai, S.; Seifert, G. Self-Consistent-Charge Density-Functional Tight-Binding Method for Simulations of Complex Materials Properties. Phys. Rev. B 1998, 58, 7260–7268. [Google Scholar] [CrossRef]
- Elstner, M.; Frauenheim, T.; Kaxiras, E.; Seifert, G.; Suhai, S. A Self-Consistent Charge Density-Functional Based Tight-Binding Scheme for Large Biomolecules. Phys. Status Solidi 2000, 217, 357–376. [Google Scholar] [CrossRef]
- Elstner, M. The SCC-DFTB Method and Its Application to Biological Systems. Theor. Chim. Acta 2006, 116, 316–325. [Google Scholar] [CrossRef]
- Cui, Q.; Elstner, M.; Kaxiras, E.; Frauenheim, T.; Karplus, M. A QM/MM Implementation of the Self-Consistent Charge Density Functional Tight Binding (SCC-DFTB) Method. J. Phys. Chem. B 2001, 105, 569–585. [Google Scholar] [CrossRef]
- Pettersen, E.F.; Goddard, T.D.; Huang, C.C.; Couch, G.S.; Greenblatt, D.M.; Meng, E.C.; Ferrin, T.E. UCSF Chimera? A Visualization System for Exploratory Research and Analysis. J. Comput. Chem. 2004, 25, 1605–1612. [Google Scholar] [CrossRef] [PubMed] [Green Version]
- Dijkstra, E.W. Invariance and Non-Determinacy. Numer. Math. 1959, 1, 269–271. [Google Scholar] [CrossRef] [Green Version]
- Olsson, M.H.M.; Søndergaard, C.R.; Rostkowski, M.; Jensen, J.H. PROPKA3: Consistent Treatment of Internal and Surface Residues in Empirical pKa Predictions. J. Chem. Theory Comput. 2011, 7, 525–537. [Google Scholar] [CrossRef]
- Jorgensen, W.L.; Chandrasekhar, J.; Madura, J.D.; Impey, R.W.; Klein, M.L. Comparison of Simple Potential Functions for Simulating Liquid Water. J. Chem. Phys. 1983, 79, 926–935. [Google Scholar] [CrossRef]
- Sherwood, P.; de Vries, A.H.; Guest, M.F.; Schreckenbach, G.; Catlow, C.R.A.; French, S.A.; Sokol, A.A.; Bromley, S.T.; Thiel, W.; Turner, A.J.; et al. QUASI: A General Purpose Implementation of the QM/MM Approach and Its Application to Problems in Catalysis. J. Mol. Struct. THEOCHEM 2003, 632, 1–28. [Google Scholar] [CrossRef]
- Metz, S.; Kästner, J.; Sokol, A.A.; Keal, T.W.; Sherwood, P. ChemShell—A Modular Software Package for QM/MM Simulations. WIREs Comput. Mol. Sci. 2014, 4, 101–110. [Google Scholar] [CrossRef]
- Ahlrichs, R.; Bär, M.; Häser, M.; Horn, H.; Kölmel, C. Electronic Structure Calculations on Workstation Computers: The Program System Turbomole. Chem. Phys. Lett. 1989, 162, 165–169. [Google Scholar] [CrossRef]
- Case, D.A.; Ben-Shalom, I.Y.; Brozell, S.R.; Cerutti, D.S.; Cheatham, T.E., III; Cruzeiro, V.W.D.; Darden, T.A.; Duke, R.E.; Ghoreishi, D.; Gilson, M.K.; et al. Amber 18; University of California: San Francisco, CA, USA, 2018. [Google Scholar]
- Smith, W.; Forester, T.R. DL_POLY_2.0: A General-Purpose Parallel Molecular Dynamics Simulation Package. J. Mol. Graph. 1996, 14, 136–141. [Google Scholar] [CrossRef]
- Maier, J.A.; Martinez, C.; Kasavajhala, K.; Wickstrom, L.; Hauser, K.E.; Simmerling, C. Ff14SB: Improving the Accuracy of Protein Side Chain and Backbone Parameters from Ff99SB. J. Chem. Theory Comput. 2015, 11, 3696–3713. [Google Scholar] [CrossRef] [Green Version]
- Wang, J.; Wolf, R.M.; Caldwell, J.W.; Kollman, P.A.; Case, D.A. Development and Testing of a General Amber Force Field. J. Comput. Chem. 2004, 25, 1157–1174. [Google Scholar] [CrossRef]
- Bayly, C.I.; Cieplak, P.; Cornell, W.D.; Kollman, P.A. A Well-Behaved Electrostatic Potential Based Method Using Charge Restraints for Deriving Atomic Charges: The RESP Model. J. Phys. Chem. 1993, 97, 10269–10280. [Google Scholar] [CrossRef]
- Frisch, M.J.; Trucks, G.W.; Schlegel, H.B.; Scuseria, G.E.; Robb, M.A.; Cheeseman, J.R.; Scalmani, G.; Barone, V.; Petersson, G.A.; Nakatsuji, H.; et al. Gaussian09; Gaussian, Inc.: Wallingford, CT, USA, 2009. [Google Scholar]
- Bakowies, D.; Thiel, W. Hybrid Models for Combined Quantum Mechanical and Molecular Mechanical Approaches. J. Phys. Chem. 1996, 100, 10580–10594. [Google Scholar] [CrossRef] [Green Version]
- Senn, H.M.; Thiel, W. QM/MM Methods for Biomolecular Systems. Angew. Chem. Int. Ed. 2009, 48, 1198–1229. [Google Scholar] [CrossRef]
- De Vries, A.H.; Sherwood, P.; Collins, S.J.; Rigby, A.M.; Rigutto, M.; Kramer, G.J. Zeolite Structure and Reactivity by Combined Quantum-Chemical−Classical Calculations. J. Phys. Chem. B 1999, 103, 6133–6141. [Google Scholar] [CrossRef]
- Kästner, J.; Thiel, S.; Senn, H.M.; Sherwood, P.; Thiel, W. Exploiting QM/MM Capabilities in Geometry Optimization: A Microiterative Approach Using Electrostatic Embedding. J. Chem. Theory Comput. 2007, 3, 1064–1072. [Google Scholar] [CrossRef]
- Billeter, S.R.; Turner, A.J.; Thiel, W. Linear Scaling Geometry Optimisation and Transition State Search in Hybrid Delocalised Internal Coordinates. Phys. Chem. Chem. Phys. 2000, 2, 2177–2186. [Google Scholar] [CrossRef]
- Liu, D.C.; Nocedal, J. On the Limited Memory BFGS Method for Large Scale Optimization. Math. Program. 1989, 45, 503–528. [Google Scholar] [CrossRef] [Green Version]
- Nocedal, J. Updating Quasi-Newton Matrices with Limited Storage. Math. Comput. 1980, 35, 773–782. [Google Scholar] [CrossRef]
- Baker, J. An Algorithm for the Location of Transition States. J. Comput. Chem. 1986, 7, 385–395. [Google Scholar] [CrossRef]
- Banerjee, A.; Adams, N.; Simons, J.; Shepard, R. Search for Stationary Points on Surfaces. J. Phys. Chem. 1985, 89, 52–57. [Google Scholar] [CrossRef]
- Kästner, J.; Carr, J.M.; Keal, T.W.; Thiel, W.; Wander, A.; Sherwood, P. DL-FIND: An Open-Source Geometry Optimizer for Atomistic Simulations. J. Phys. Chem. A 2009, 113, 11856–11865. [Google Scholar] [CrossRef] [PubMed]
- Becke, A.D. Density-functional Thermochemistry. III. The Role of Exact Exchange. J. Chem. Phys. 1993, 98, 5648–5652. [Google Scholar] [CrossRef] [Green Version]
- Hariharan, P.C.; Pople, J.A. The Influence of Polarization Functions on Molecular Orbital Hydrogenation Energies. Theor. Chim. Acta 1973, 28, 213–222. [Google Scholar] [CrossRef]
- Schautz, F.; Flad, H.-J.; Dolg, M. Quantum Monte Carlo Study of Be 2 and Group 12 Dimers M 2 (M = Zn, Cd, Hg). Theor. Chim. Acta 1998, 99, 231–240. [Google Scholar] [CrossRef]
- Case, D.A.; Ben-Shalom, I.Y.; Brozell, S.R.; Cerutti, D.S.; Cheatham, T.E., III; Cruzeiro, V.W.D.; Darden, T.A.; Duke, R.E.; Ghoreishi, D.; Giambasu, G.; et al. Amber19; University of California: San Francisco, CA, USA, 2019. [Google Scholar]
- Seminario, J.M. Calculation of Intramolecular Force Fields from Second-Derivative Tensors. Int. J. Quantum Chem. 1996, 60, 1271–1277. [Google Scholar] [CrossRef]
- Li, P.; Merz, K.M. MCPB.Py: A Python Based Metal Center Parameter Builder. J. Chem. Inf. Model. 2016, 56, 599–604. [Google Scholar] [CrossRef] [PubMed]
- Le Grand, S.; Götz, A.W.; Walker, R.C. SPFP: Speed without Compromise—A Mixed Precision Model for GPU Accelerated Molecular Dynamics Simulations. Comput. Phys. Commun. 2013, 184, 374–380. [Google Scholar] [CrossRef]
- Götz, A.W.; Williamson, M.J.; Xu, D.; Poole, D.; le Grand, S.; Walker, R.C. Routine Microsecond Molecular Dynamics Simulations with AMBER on GPUs. 1. Generalized Born. J. Chem. Theory Comput. 2012, 8, 1542–1555. [Google Scholar] [CrossRef] [PubMed]
- Ryckaert, J.P.; Ciccotti, G.; Berendsen, H.J.C. Numerical Integration of the Cartesian Equations of Motion of a System with Constraints: Molecular Dynamics of n-Alkanes. J. Comput. Phys. 1977, 23, 327–341. [Google Scholar] [CrossRef] [Green Version]
- Leach, A.R. Molecular Modelling: Principles and Applications; Pearson Education: London, UK, 2001. [Google Scholar]
- Berendsen, H.J.C.; Postma, J.P.M.; van Gunsteren, W.F.; Dinola, A.; Haak, J.R. Molecular Dynamics with Coupling to an External Bath. J. Chem. Phys. 1984, 81, 3684–3690. [Google Scholar] [CrossRef] [Green Version]





















| Pro-cis Reaction Path | R | TS1 | INT1 | TS2 | INT2 | TS3 | P |
|---|---|---|---|---|---|---|---|
| Zn-Oepox | 3.39 | 2.94 | 1.99 | 1.97 | 1.95 | 2.45 | 2.96 |
| Oepox-C5 | 1.45 | 1.41 | 1.39 | 1.39 | 1.39 | 1.41 | 1.43 |
| Oepox-C6 | 1.47 | 1.92 | 2.40 | 2.41 | 2.42 | 2.37 | 2.39 |
| H(WAT1)-Oepox | 1.75 | 1.65 | 2.42 | 2.46 | 2.49 | 1.39 | 1.02 |
| O(WAT1)-H(WAT1) | 0.99 | 1.00 | 0.97 | 0.97 | 0.98 | 1.09 | 1.59 |
| O(WAT3)-C12 | 3.84 | 3.69 | 3.69 | 1.82 | 1.53 | 1.53 | 1.53 |
| H(WAT3)-O(ASP375) | 1.71 | 1.69 | 1.67 | 1.36 | 1.03 | 1.03 | 1.03 |
| O(WAT3)-H(WAT3) | 0.99 | 0.99 | 0.99 | 1.11 | 1.53 | 1.53 | 1.53 |
| H6-C6-C7-H7 | −65.6 | −15.9 | −7.1 | 1.5 | 1.5 | −0.5 | −0.7 |
| Pro-trans Reaction Path | R | TS1 | INT1 | TS2 | INT2 | TS3 | P |
|---|---|---|---|---|---|---|---|
| Zn-Oepox | 3.39 | 2.64 | 1.98 | 1.93 | 1.92 | 3.26 | 2.96 |
| Oepox-C5 | 1.45 | 1.40 | 1.39 | 1.39 | 1.39 | 1.44 | 1.43 |
| Oepox-C6 | 1.47 | 2.04 | 2.20 | 2.30 | 2.32 | 2.39 | 2.34 |
| H(WAT1)-Oepox | 1.75 | 1.66 | 3.00 | 3.12 | 3.12 | 0.97 | 1.02 |
| O(WAT1)-H(WAT1) | 0.99 | 1.00 | 0.98 | 0.98 | 0.98 | 2.39 | 1.59 |
| O(WAT3)-C12 | 3.84 | 3.68 | 3.66 | 1.79 | 1.51 | 1.50 | 1.50 |
| H(WAT3)-O(ASP375) | 1.71 | 1.66 | 1.66 | 1.32 | 1.01 | 1.01 | 1.01 |
| O(WAT3)-H(WAT3) | 0.99 | 1.00 | 1.00 | 1.12 | 1.60 | 1.64 | 1.62 |
| H6-C6-C7-H7 | 294.4 | 196.9 | 183.7 | 178.1 | 177.5 | 180.7 | 181.5 |
Publisher’s Note: MDPI stays neutral with regard to jurisdictional claims in published maps and institutional affiliations. |
© 2022 by the authors. Licensee MDPI, Basel, Switzerland. This article is an open access article distributed under the terms and conditions of the Creative Commons Attribution (CC BY) license (https://creativecommons.org/licenses/by/4.0/).
Share and Cite
Canyelles-Niño, M.; González-Lafont, À.; Lluch, J.M. Theoretical Characterization of the Step-by-Step Mechanism of Conversion of Leukotriene A4 to Leukotriene B4 Catalysed by the Enzyme Leukotriene A4 Hydrolase. Int. J. Mol. Sci. 2022, 23, 3140. https://doi.org/10.3390/ijms23063140
Canyelles-Niño M, González-Lafont À, Lluch JM. Theoretical Characterization of the Step-by-Step Mechanism of Conversion of Leukotriene A4 to Leukotriene B4 Catalysed by the Enzyme Leukotriene A4 Hydrolase. International Journal of Molecular Sciences. 2022; 23(6):3140. https://doi.org/10.3390/ijms23063140
Chicago/Turabian StyleCanyelles-Niño, Miquel, Àngels González-Lafont, and José M. Lluch. 2022. "Theoretical Characterization of the Step-by-Step Mechanism of Conversion of Leukotriene A4 to Leukotriene B4 Catalysed by the Enzyme Leukotriene A4 Hydrolase" International Journal of Molecular Sciences 23, no. 6: 3140. https://doi.org/10.3390/ijms23063140
APA StyleCanyelles-Niño, M., González-Lafont, À., & Lluch, J. M. (2022). Theoretical Characterization of the Step-by-Step Mechanism of Conversion of Leukotriene A4 to Leukotriene B4 Catalysed by the Enzyme Leukotriene A4 Hydrolase. International Journal of Molecular Sciences, 23(6), 3140. https://doi.org/10.3390/ijms23063140

