Evidence of a Gastro-Duodenal Effect on Adipose Tissue and Brain Metabolism, Potentially Mediated by Gut–Liver Inflammation: A Study with Positron Emission Tomography and Oral 18FDG in Mice
Abstract
1. Introduction
2. Results
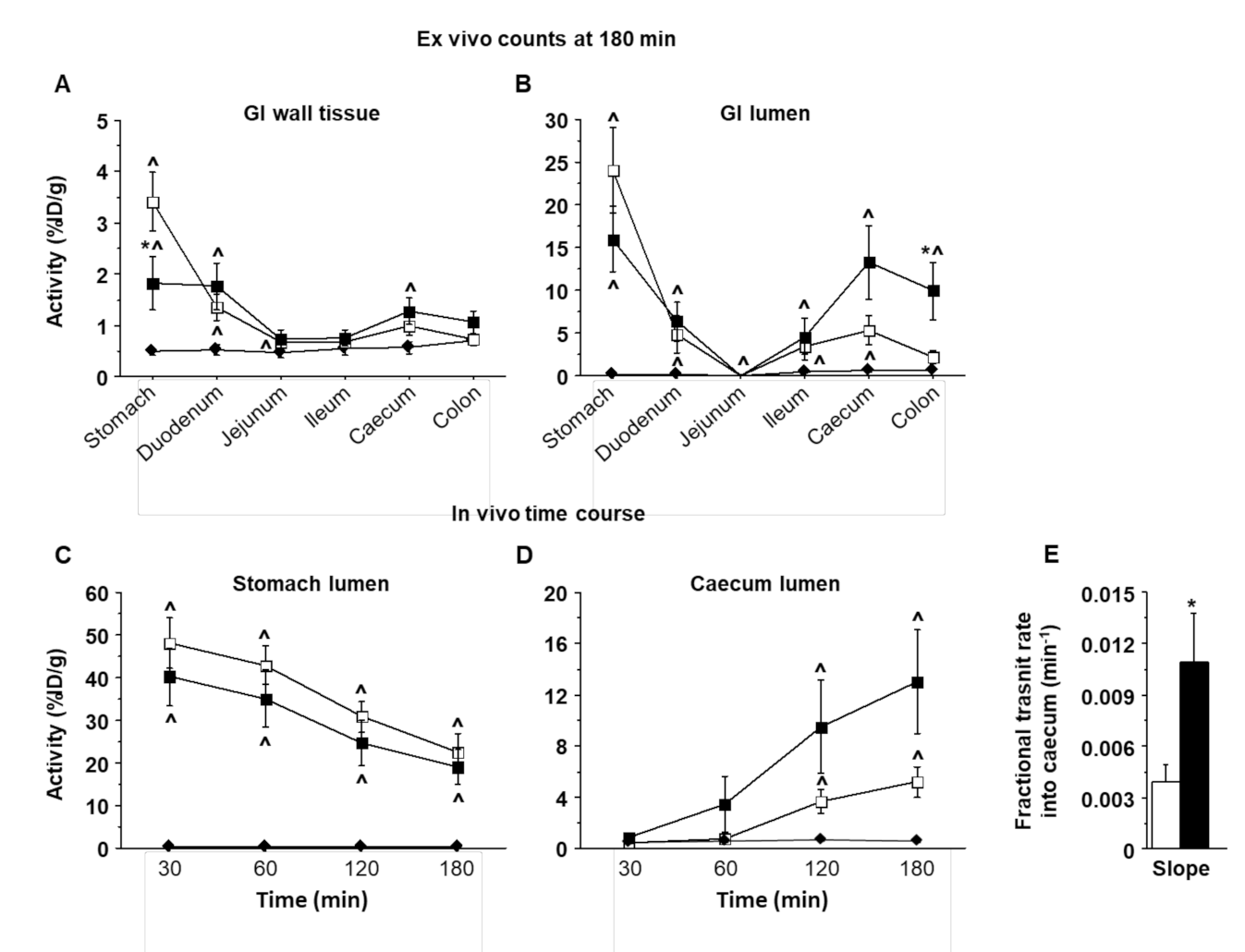
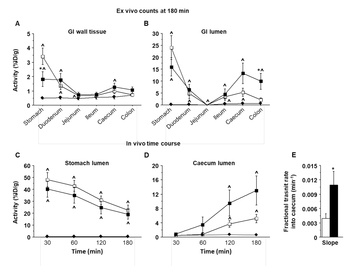
2.1. Gastrointestinal Transit of 18FDG
2.2. Lumped Constant
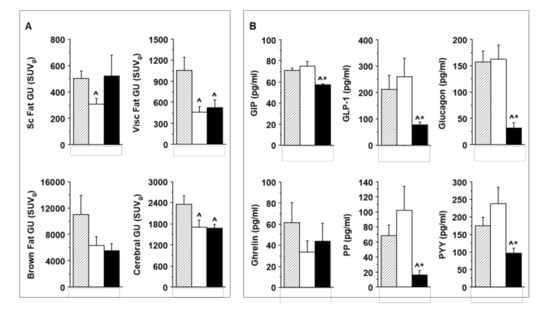
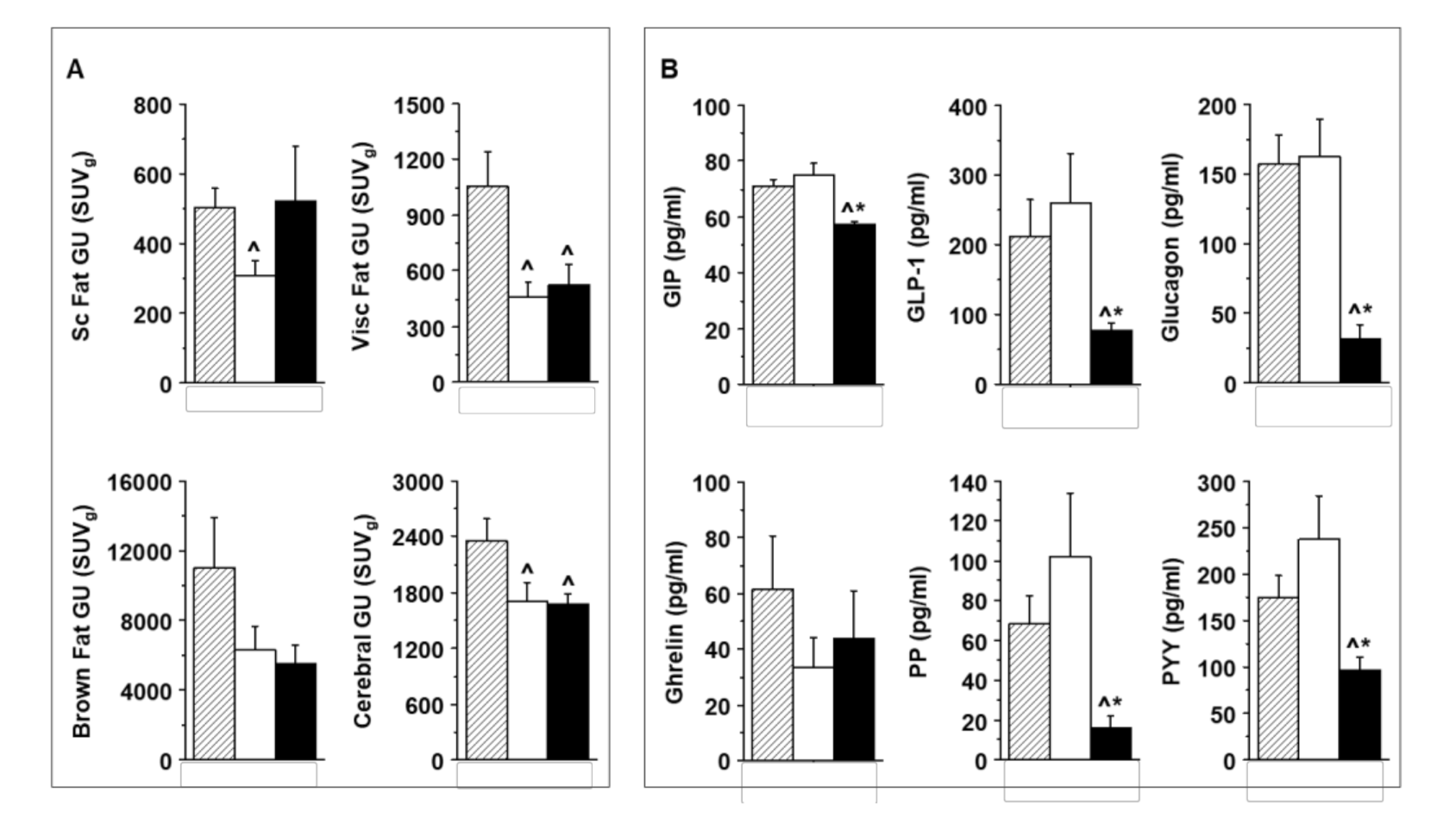
2.3. Tissue-Specific GU
2.4. Enteric, Pancreatic, and Fat Hormones
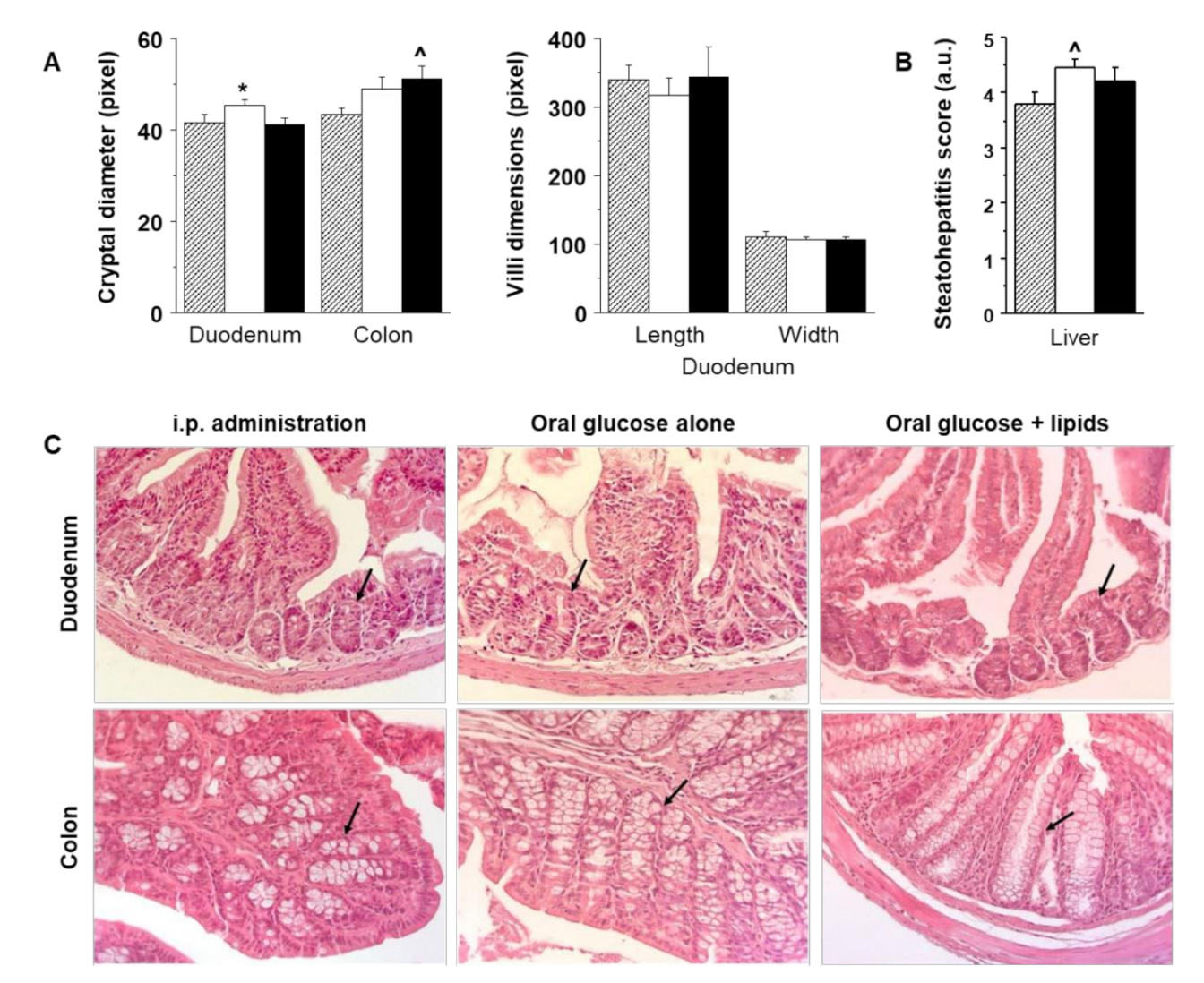
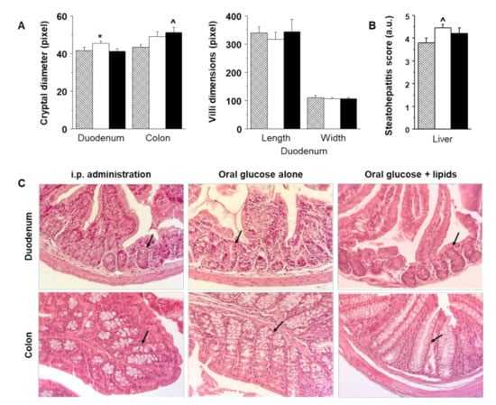
2.5. Histology of Duodenum, Colon, and Liver
2.6. Correlations
3. Discussion
4. Materials and Methods
4.1. Study Design
4.2. Image Analyses
4.3. Quantification of GI Transit
4.4. Estimation of the LCa
4.5. Quantification of Tissue Glucose Uptake
4.6. Histology
4.7. Biochemical Measurements
4.8. Statistical Analysis
Supplementary Materials
Author Contributions
Funding
Institutional Review Board Statement
Data Availability Statement
Acknowledgments
Conflicts of Interest
References
- Iozzo, P. Metabolic imaging in obesity: Underlying mechanisms and consequences in the whole body. Ann. N. Y. Acad. Sci. 2015, 1353, 21–40. [Google Scholar] [CrossRef]
- Virtanen, K.A.; Peltoniemi, P.; Marjamäki, P.; Asola, M.; Strindberg, L.; Parkkola, R.; Huupponen, R.; Knuuti, J.; Lönnroth, P.; Nuutila, P. Human adipose tissue glucose uptake determined using [(18)F]-fluoro-deoxy-glucose ([(18)F]FDG) and PET in combination with microdialysis. Diabetologia 2001, 44, 2171–2179. [Google Scholar] [CrossRef] [PubMed]
- Iozzo, P.; Chareonthaitawee, P.; Dutka, D.; Betteridge, D.J.; Ferrannini, E.; Camici, P.G. Independent association of type 2 diabetes and coronary artery disease with myocardial insulin resistance. Diabetes 2002, 51, 3020–3024. [Google Scholar] [CrossRef] [PubMed]
- Peltoniemi, P.; Lönnroth, P.; Laine, H.; Oikonen, V.; Tolvanen, T.; Grönroos, T.; Strindberg, L.; Knuuti, J.; Nuutila, P. Lumped constant for [(18)F]fluorodeoxyglucose in skeletal muscles of obese and nonobese humans. Am. J. Physiol. Endocrinol. Metab. 2000, 279, E1122–E1130. [Google Scholar] [CrossRef] [PubMed]
- Iozzo, P.; Hallsten, K.; Oikonen, V.; Virtanen, K.A.; Kemppainen, J.; Solin, O.; Ferrannini, E.; Knuuti, J.; Nuutila, P. Insulin-mediated hepatic glucose uptake is impaired in type 2 diabetes: Evidence for a relationship with glycemic control. J. Clin. Endocrinol. Metab. 2003, 88, 2055–2060. [Google Scholar] [CrossRef]
- Orava, J.; Nuutila, P.; Noponen, T.; Parkkola, R.; Viljanen, T.; Enerbäck, S.; Rissanen, A.; Pietiläinen, K.H.; Virtanen, K.A. Blunted metabolic responses to cold and insulin stimulation in brown adipose tissue of obese humans. Obesity 2013, 21, 2279–2287. [Google Scholar] [CrossRef]
- Mäkinen, J.; Hannukainen, J.C.; Karmi, A.; Immonen, H.M.; Soinio, M.; Nelimarkka, L.; Savisto, N.; Helmiö, M.; Ovaska, J.; Salminen, P.; et al. Obesity-associated intestinal insulin resistance is ameliorated after bariatric surgery. Diabetologia 2015, 58, 1055–1062. [Google Scholar] [CrossRef][Green Version]
- Iozzo, P.; Jarvisalo, M.J.; Kiss, J.; Borra, R.; Naum, G.A.; Viljanen, A.; Viljanen, T.; Gastaldelli, A.; Buzzigoli, E.; Guiducci, L.; et al. Quantification of liver glucose metabolism by positron emission tomography: Validation study in pigs. Gastroenterology 2007, 132, 531–542. [Google Scholar] [CrossRef]
- Muscelli, E.; Mari, A.; Casolaro, A.; Camastra, S.; Seghieri, G.; Gastaldelli, A.; Holst, J.J.; Ferrannini, E. Separate impact of obesity and glucose tolerance on the incretin effect in normal subjects and type 2 diabetic patients. Diabetes 2008, 57, 1340–1348. [Google Scholar] [CrossRef] [PubMed]
- Mingrone, G.; Panunzi, S.; De Gaetano, A.; Ahlin, S.; Spuntarelli, V.; Bondia-Pons, I.; Barbieri, C.; Capristo, E.; Gastaldelli, A.; Nolan, J.J. Insulin sensitivity depends on the route of glucose administration. Diabetologia 2020, 63, 1382–1395. [Google Scholar] [CrossRef]
- Bardini, G.; Dicembrini, I.; Cresci, B.; Rotella, C.M. Inflammation markers and metabolic characteristics of subjects with 1-h plasma glucose levels. Diabetes Care 2010, 33, 411–413. [Google Scholar] [CrossRef]
- Ratchatasettakul, K.; Rattanasiri, S.; Promson, K.; Sringam, P.; Sobhonslidsuk, A. The inverse effect of meal intake on controlled attenuation parameter and liver stiffness as assessed by transient elastography. BMC Gastroenterol. 2017, 17, 50. [Google Scholar] [CrossRef] [PubMed]
- Dadson, P.; Landini, L.; Helmiö, M.; Hannukainen, J.C.; Immonen, H.; Honka, M.J.; Bucci, M.; Savisto, N.; Soinio, M.; Salminen, P.; et al. Effect of Bariatric Surgery on Adipose Tissue Glucose Metabolism in Different Depots in Patients with or without Type 2 Diabetes. Diabetes Care 2016, 39, 292–299. [Google Scholar] [CrossRef]
- Kwon, I.G.; Kang, C.W.; Park, J.P.; Oh, J.H.; Wang, E.K.; Kim, T.Y.; Sung, J.S.; Park, N.; Lee, Y.J.; Sung, H.J.; et al. Serum glucose excretion after Roux-en-Y gastric bypass: A potential target for diabetes treatment. Gut 2021, 70, 1847–1856. [Google Scholar] [CrossRef] [PubMed]
- Ruze, R.; Xu, Q.; Liu, G.; Li, Y.; Chen, W.; Cheng, Z.; Xiong, Y.; Liu, S.; Zhang, G.; Hu, S.; et al. Central GLP-1 contributes to improved cognitive function and brain glucose uptake after duodenum-jejunum bypass on obese and diabetic rats. Am. J. Physiol. Endocrinol. Metab. 2021, 321, E392–E409. [Google Scholar] [CrossRef] [PubMed]
- Gastaldelli, A.; Gaggini, M.; Daniele, G.; Ciociaro, D.; Cersosimo, E.; Tripathy, D.; Triplitt, C.; Fox, P.; Musi, N.; DeFronzo, R.; et al. Exenatide improves both hepatic and adipose tissue insulin resistance: A dynamic positron emission tomography study. Hepatology 2016, 64, 2028–2037. [Google Scholar] [CrossRef]
- Koffert, J.P.; Mikkola, K.; Virtanen, K.A.; Andersson, A.D.; Faxius, L.; Hällsten, K.; Heglind, M.; Guiducci, L.; Pham, T.; Silvola, J.M.U.; et al. Metformin treatment significantly enhances intestinal glucose uptake in patients with type 2 diabetes: Results from a randomized clinical trial. Diabetes Res. Clin. Pract. 2017, 131, 208–216. [Google Scholar] [CrossRef]
- Ito, J.; Nogami, M.; Morita, Y.; Sakaguchi, K.; Komada, H.; Hirota, Y.; Sugawara, K.; Tamori, Y.; Zeng, F.; Murakami, T.; et al. Dose-dependent accumulation of glucose in the intestinal wall and lumen induced by metformin as revealed by (18) F-labelled fluorodeoxyglucose positron emission tomography-MRI. Diabetes Obes. Metab. 2021, 23, 692–699. [Google Scholar] [CrossRef]
- Tsuchida, H.; Morita, Y.; Nogami, M.; Ogawa, W. Metformin action in the gut-insight provided by [(18)F]FDG PET imaging. Diabetol. Int. 2021, 13, 35–40. [Google Scholar] [CrossRef]
- Morita, Y.; Nogami, M.; Sakaguchi, K.; Okada, Y.; Hirota, Y.; Sugawara, K.; Tamori, Y.; Zeng, F.; Murakami, T.; Ogawa, W. Enhanced Release of Glucose Into the Intraluminal Space of the Intestine Associated With Metformin Treatment as Revealed by [(18)F]Fluorodeoxyglucose PET-MRI. Diabetes Care 2020, 43, 1796–1802. [Google Scholar] [CrossRef]
- Shingaki, T.; Takashima, T.; Wada, Y.; Tanaka, M.; Kataoka, M.; Ishii, A.; Shigihara, Y.; Sugiyama, Y.; Yamashita, S.; Watanabe, Y. Imaging of gastrointestinal absorption and biodistribution of an orally administered probe using positron emission tomography in humans. Clin. Pharmacol. Ther. 2012, 91, 653–659. [Google Scholar] [CrossRef] [PubMed]
- Zhang, K.; Wang, X.; Hao, L.; Zhao, Z.; Han, C. 2013. Dynamic observation of 18F-FDG uptake after oral administration in a healthy subject. J. Nucl. Med. Technol. 2013, 41, 78–80. [Google Scholar] [CrossRef] [PubMed][Green Version]
- Nair, N.; Agrawal, A.; Jaiswar, R. Subss1titution of oral (18)F-FDG for intravenous (18)F-FDG in PET scanning. J. Nucl. Med. Technol. 2007, 35, 100–104. [Google Scholar] [CrossRef] [PubMed]
- Yamashita, S.; Takashima, T.; Kataoka, M.; Oh, H.; Sakuma, S.; Takahashi, M.; Suzuki, N.; Hayashinaka, E.; Wada, Y.; Cui, Y.; et al. PET imaging of the gastrointestinal absorption of orally administered drugs in conscious and anesthetized rats. J. Nucl. Med. 2011, 52, 249–256. [Google Scholar] [CrossRef] [PubMed]
- Spreckley, E.; Murphy, K.G. The L-Cell in Nutritional Sensing and the Regulation of Appetite. Front. Nutr. 2015, 2, 23. [Google Scholar] [CrossRef]
- Guzzardi, M.A.; Guiducci, L.; Campani, D.; La Rosa, F.; Cacciato Insilla, A.; Bartoli, A.; Cabiati, M.; De Sena, V.; Del Ry, S.; Burchielli, S.; et al. Leptin resistance before and after obesity: Evidence that tissue glucose uptake underlies adipocyte enlargement and liver steatosis/steatohepatitis in Zucker rats from early-life stages. Int. J. Obes. 2022, 46, 50–58. [Google Scholar] [CrossRef]
- Guzzardi, M.A.; La Rosa, F.; Campani, D.; Cacciato Insilla, A.; De Sena, V.; Panetta, D.; Brunetto, M.R.; Bonino, F.; Collado, M.C.; Iozzo, P. Maturation of the Visceral (Gut-Adipose-Liver) Network in Response to the Weaning Reaction versus Adult Age and Impact of Maternal High-Fat Diet. Nutrients 2021, 13, 3438. [Google Scholar] [CrossRef]
- Pahk, K.; Kim, E.J.; Lee, Y.J.; Kim, S.; Seo, H.S. Characterization of glucose uptake metabolism in visceral fat by 18 F-FDG PET/CT reflects inflammatory status in metabolic syndrome. PLoS ONE 2020, 15, e0228602. [Google Scholar] [CrossRef]
- Lin, P.Y.; Romsos, D.R.; Vander Tuig, J.G.; Leveille, G.A. Maintenance energy requirements, energy retention and heat production of young obese (ob/ob) and lean mice fed a high-fat or a high-carbohydrate diet. J. Nutr. 1979, 109, 1143–1153. [Google Scholar] [CrossRef]
- Marathe, C.S.; Rayner, C.K.; Jones, K.L.; Horowitz, M. Effects of GLP-1 and incretin-based therapies on gastrointestinal motor function. Exp. Diabetes Res. 2011, 2011, 279530. [Google Scholar] [CrossRef]
- Daniele, G.; Iozzo, P.; Molina-Carrion, M.; Lancaster, J.; Ciociaro, D.; Cersosimo, E.; Tripathy, D.; Triplitt, C.; Fox, P.; Musi, N.; et al. Exenatide Regulates Cerebral Glucose Metabolism in Brain Areas Associated With Glucose Homeostasis and Reward System. Diabetes 2015, 64, 3406–3412. [Google Scholar] [CrossRef] [PubMed]
- Kleiner, D.E.; Brunt, E.M.; Van Natta, M.; Behling, C.; Contos, M.J.; Cummings, O.W.; Ferrell, L.D.; Liu, Y.C.; Torbenson, M.S.; Unalp-Arida, A.; et al. Nonalcoholic Steatohepatitis Clinical Research Network. Design and validation of a histological scoring system for nonalcoholic fatty liver disease. Hepatology 2005, 41, 1313–1321. [Google Scholar] [CrossRef] [PubMed]





| i.p. FDG + Glucose | Oral FDG + Glucose | Oral FDG + Glucose + Lipids | |
|---|---|---|---|
| Micro-vesicular fat (% cells) | 89 ± 2 | 86 ± 4 | 86 ± 3 |
| Macro-vesicular fat (% cells) | 5 ± 3 | 9 ± 4 | 9 ± 3 |
| Lobular inflammation (yes/no) | 0.70 ± 0.15 | 0.89 ± 0.11 | 0.78 ± 0.15 |
| Lobular inflammation foci | 0.70 ± 0.15 | 1.11 ± 0.20 ^ | 0.89 ± 0.20 |
| Cell ballooning (yes/no) | 0.10 ± 0.10 | 0.22 ± 0.17 | 0.33 ± 0.17 |
| Cumulative steatohepatitis | 3.80 ± 0.20 | 4.44 ± 0.18 * | 4.22 ± 0.22 |
| Stomach Wall FDG Fractional Extraction | Duodenal Crypt Diameter | Liver Fat Accumulation (Micro) | Liver Fat Accumulation (Macro) | |||||
|---|---|---|---|---|---|---|---|---|
| r | p | r | p | r | p | r | p | |
| Gastric FDG extraction | - | - | +0.49 | 0.069 | - | - | - | - |
| Sc fat GU | −0.46 | 0.014 | −0.52 | 0.013 | +0.42 | 0.034 | −0.43 | 0.027 |
| Visc fat GU | −0.52 | 0.005 | −0.56 | 0.007 | - | - | −0.42 | 0.032 |
| Brown fat GU | −0.43 | <0.024 | −0.45 | 0.037 | - | - | −0.38 | 0.054 |
| Liver GU | +0.37 | 0.051 | - | - | −0.45 | 0.023 | +0.47 | 0.016 |
Publisher’s Note: MDPI stays neutral with regard to jurisdictional claims in published maps and institutional affiliations. |
© 2022 by the authors. Licensee MDPI, Basel, Switzerland. This article is an open access article distributed under the terms and conditions of the Creative Commons Attribution (CC BY) license (https://creativecommons.org/licenses/by/4.0/).
Share and Cite
Guzzardi, M.A.; La Rosa, F.; Campani, D.; Cacciato Insilla, A.; Nannipieri, M.; Brunetto, M.R.; Bonino, F.; Iozzo, P. Evidence of a Gastro-Duodenal Effect on Adipose Tissue and Brain Metabolism, Potentially Mediated by Gut–Liver Inflammation: A Study with Positron Emission Tomography and Oral 18FDG in Mice. Int. J. Mol. Sci. 2022, 23, 2659. https://doi.org/10.3390/ijms23052659
Guzzardi MA, La Rosa F, Campani D, Cacciato Insilla A, Nannipieri M, Brunetto MR, Bonino F, Iozzo P. Evidence of a Gastro-Duodenal Effect on Adipose Tissue and Brain Metabolism, Potentially Mediated by Gut–Liver Inflammation: A Study with Positron Emission Tomography and Oral 18FDG in Mice. International Journal of Molecular Sciences. 2022; 23(5):2659. https://doi.org/10.3390/ijms23052659
Chicago/Turabian StyleGuzzardi, Maria Angela, Federica La Rosa, Daniela Campani, Andrea Cacciato Insilla, Monica Nannipieri, Maurizia Rossana Brunetto, Ferruccio Bonino, and Patricia Iozzo. 2022. "Evidence of a Gastro-Duodenal Effect on Adipose Tissue and Brain Metabolism, Potentially Mediated by Gut–Liver Inflammation: A Study with Positron Emission Tomography and Oral 18FDG in Mice" International Journal of Molecular Sciences 23, no. 5: 2659. https://doi.org/10.3390/ijms23052659
APA StyleGuzzardi, M. A., La Rosa, F., Campani, D., Cacciato Insilla, A., Nannipieri, M., Brunetto, M. R., Bonino, F., & Iozzo, P. (2022). Evidence of a Gastro-Duodenal Effect on Adipose Tissue and Brain Metabolism, Potentially Mediated by Gut–Liver Inflammation: A Study with Positron Emission Tomography and Oral 18FDG in Mice. International Journal of Molecular Sciences, 23(5), 2659. https://doi.org/10.3390/ijms23052659

