Combination of Biochemical, Molecular, and Synchrotron-Radiation-Based Techniques to Study the Effects of Silicon in Tomato (Solanum Lycopersicum L.)
Abstract
1. Introduction
2. Results
2.1. Morphological Analysis
2.2. Physiological and Biochemical Analyses
2.2.1. Cultivar Aragon: Si Concentration in the Plant Parts
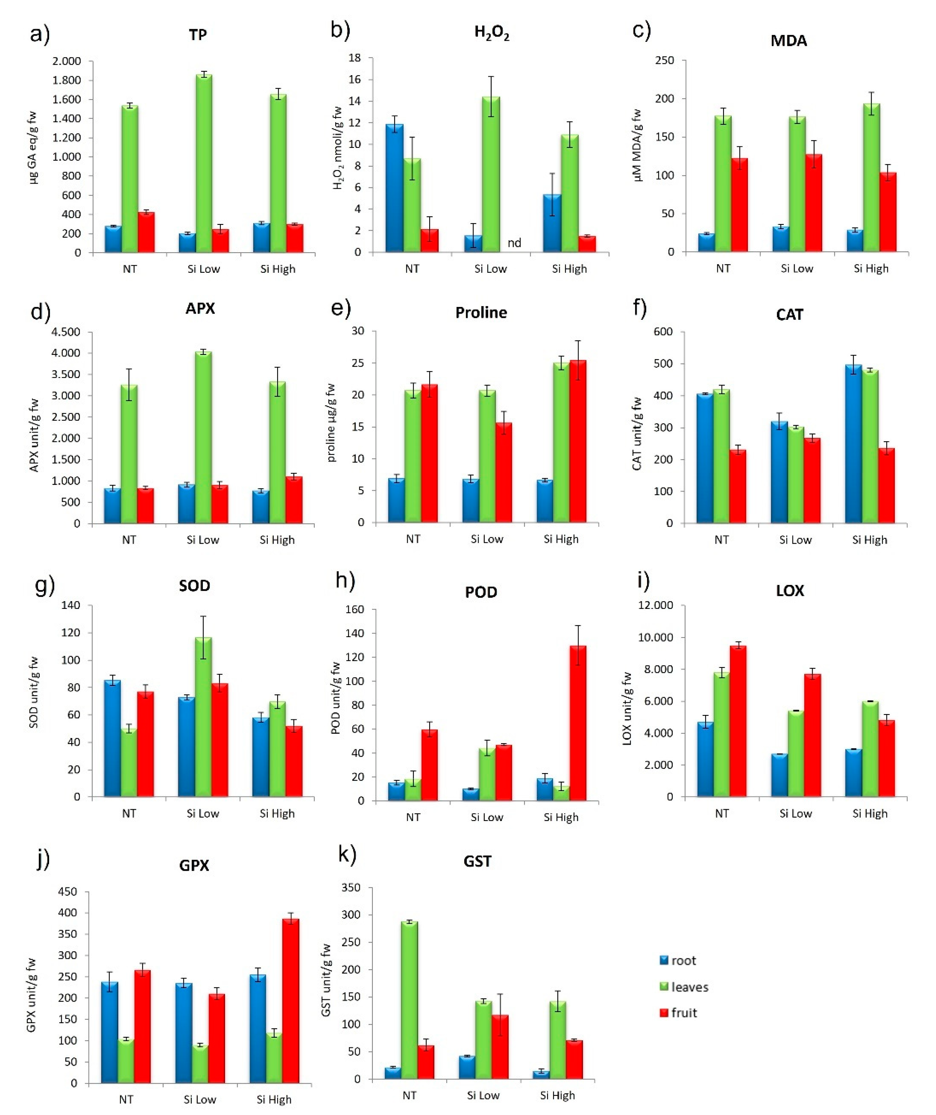
2.2.2. Cultivar Aragon: Oxidative State of the Plant Parts
2.2.3. Cultivar Aragon: ROS (Reactive Oxygen Species) Enzymes Scavengers
2.2.4. Cultivar Gladis: Si Concentration in the Plant Parts
2.2.5. Cultivar Gladis: Oxidative State of the Plant Parts
2.2.6. Cultivar Gladis: ROS (Reactive Oxygen Species) Enzymes Scavengers
2.3. Chemical Analyses
2.3.1. Elements in Cv. Aragon
2.3.2. Elements in Cv. Gladis
2.4. µ-XRF (Micro–X-ray Fluorescence) for Elements Distribution
2.4.1. Si Distribution in Aragon
2.4.2. Si Distribution in Gladis
2.5. Molecular Analyses
3. Discussion
3.1. Cultivar Specificity
3.2. Plant Yield
3.3. Silicon Concentration and Distribution in Plant Cells
3.4. Antioxidant Activity of Si in Plants
3.5. Chemical Composition of Si-Treated Plants
3.6. Molecular Mechanisms in Si Treatment
4. Materials and Methods
4.1. Reagents and Standards
4.2. Soil and Growing Conditions
4.3. Si Treatments
4.4. Sampling and Morphological Analysis
4.5. Silicon (Si) Content Determination
4.6. Plants Chemical Analyses
4.7. Spectrophotometric Analysis
4.8. H2O2 Content
4.9. Lipid Peroxidation
4.10. Total Phenolic Content
4.11. Proline Content
4.12. Antioxidant Enzymes Assays
4.13. RNA Extraction and Transcriptome Analysis
4.14. Low Energy µ-XRF (LE µ-XRF)
4.15. Statistics
Supplementary Materials
Author Contributions
Funding
Institutional Review Board Statement
Informed Consent Statement
Data Availability Statement
Conflicts of Interest
References
- FAOSTAT. Available online: https://www.fao.org/land-water/databases-and-software/crop-information/tomato/en/ (accessed on 1 August 2022).
- Hoffmann, J.; Berni, R.; Hausman, J.F.; Guerriero, G. A Review on the Beneficial Role of Silicon against Salinity in Non-Accumulator Crops: Tomato as a Model. Biomolecules 2020, 10, 1284. [Google Scholar] [CrossRef] [PubMed]
- Bergougnoux, V. The History of Tomato: From Domestication to Biopharming. Biotechnol. Adv. 2014, 32, 170–189. [Google Scholar] [CrossRef] [PubMed]
- FAO. Available online: https://www.fao.org/food-systems/en/ (accessed on 1 August 2022).
- Schwarz, D.; Thompson, A.J.; Kläring, H.P. Guidelines to Use Tomato in Experiments with a Controlled Environment. Front. Plant Sci. 2014, 5, 625. [Google Scholar] [CrossRef] [PubMed]
- Kimura, S.; Sinha, N. Tomato (Solanum lycopersicum): A Model Fruit-Bearing Crop. Cold Spring Harb. Protoc. 2008. [Google Scholar] [CrossRef] [PubMed]
- Wu, M.; Kubota, C. Effects of Electrical Conductivity of Hydroponic Nutrient Solution on Leaf Gas Exchange of Five Greenhouse Tomato Cultivars. Horttechnology 2008, 18, 271–277. [Google Scholar] [CrossRef]
- Klee, H.J.; Giovannoni, J.J. Genetics and Control of Tomato Fruit Ripening and Quality Attributes. Annu. Rev. Genet. 2011, 45, 41–59. [Google Scholar] [CrossRef]
- Causse, M.; Friguet, C.; Coiret, C.; LéPicier, M.; Navez, B.; Lee, M.; Holthuysen, N.; Sinesio, F.; Moneta, E.; Grandillo, S. Consumer Preferences for Fresh Tomato at the European Scale: A Common Segmentation on Taste and Firmness. J. Food Sci. 2010, 75, S531–S541. [Google Scholar] [CrossRef]
- Gillaspy, G.; Ben-David, H.; Gruissem, W. Fruits: A Developmental Perspective. Plant Cell 1993, 5, 1439–1451. [Google Scholar] [CrossRef]
- Tomato Genome Consortium. The tomato genome sequence provides insights into fleshy fruit evolution. Nature 2012, 485, 635–641. [Google Scholar] [CrossRef]
- Thorne, S.J.; Hartley, S.E.; Maathuis, F.J.M. Is Silicon a Panacea for Alleviating Drought and Salt Stress in Crops? Front. Plant Sci. 2020, 11, 1221. [Google Scholar] [CrossRef]
- Epstein, E. Silicon. Annu. Rev. Plant Physiol. Plant Mol. Biol. 1999, 50, 641–664. [Google Scholar] [CrossRef]
- Sommer, M.; Kaczorek, D.; Kuzyakov, Y.; Breuer, J. Silicon Pools and Fluxes in Soils and Landscapes—A Review. J. Plant Nutr. Soil Sci. 2006, 169, 310–329. [Google Scholar] [CrossRef]
- Chen, D.; Wang, S.; Yin, L.; Deng, X. How Does Silicon Mediate Plant Water Uptake and Loss under Water Deficiency? Front. Plant Sci. 2018, 9, 281. [Google Scholar] [CrossRef]
- Ma, J.F.; Yamaji, N. Silicon Uptake and Accumulation in Higher Plants. Trends Plant Sci. 2006, 11, 392–397. [Google Scholar] [CrossRef]
- Epstein, E. The Anomaly of Silicon in Plant Biology. Proc. Natl. Acad. Sci. USA 1994, 91, 11–17. [Google Scholar] [CrossRef]
- Bogdan, K.; Schenk, M.K. Arsenic in Rice (Oryza Sativa L.) Related to Dynamics of Arsenic and Silicic Acid in Paddy Soils. Environ. Sci. Technol. 2008, 42, 7885–7890. [Google Scholar] [CrossRef]
- Mitani, N.; Ma, J.F. Uptake system of silicon in different plant species. J. Exp. Bot. 2005, 56, 1255–1261. [Google Scholar] [CrossRef]
- Exley, C. A Possible Mechanism of Biological Silicification in Plants. Front. Plant Sci. 2015, 6, 853. [Google Scholar] [CrossRef]
- Kumar, S.; Milstein, Y.; Brami, Y.; Elbaum, M.; Elbaum, R. Mechanism of Silica Deposition in Sorghum Silica Cells. New Phytol. 2017, 213, 791–798. [Google Scholar] [CrossRef]
- Rains, D.W.; Epstein, E.; Zasoski, R.J.; Aslam, M. Active Silicon Uptake by Wheat. Plant Soil 2006, 280, 223–228. [Google Scholar] [CrossRef]
- Ma, J.F.; Yamaji, N.; Mitani, N.; Tamai, K.; Konishi, S.; Fujiwara, T.; Katsuhara, M.; Yano, M. An Efflux Transporter of Silicon in Rice. Nature 2007, 448, 209–212. [Google Scholar] [CrossRef] [PubMed]
- Sun, B.; Shao, M.; Lee, S. Nanostructured Silicon Used for Flexible and Mobile Electricity Generation. Adv. Mater. 2016, 28, 10539–10547. [Google Scholar] [CrossRef] [PubMed]
- Thorne, J.E.; Zhao, Y.; He, D.; Fan, S.; Vanka, S.; Mi, Z.; Wang, D. Understanding the Role of Co-Catalysts on Silicon Photocathodes Using Intensity Modulated Photocurrent Spectroscopy. Phys. Chem. Chem. Phys. 2017, 19, 29653–29659. [Google Scholar] [CrossRef] [PubMed]
- Ma, J.F.; Tamai, K.; Yamaji, N.; Mitani, N.; Konishi, S.; Katsuhara, M.; Ishiguro, M.; Murata, Y.; Yano, M. A silicon transporter in rice. Nature 2006, 440, 688–691. [Google Scholar] [CrossRef] [PubMed]
- Yamaji, N.; Mitatni, N.; Jian, F.M. A Transporter Regulating Silicon Distribution in Rice Shoots. Plant Cell 2008, 20, 1381–1389. [Google Scholar] [CrossRef]
- Mitani, N.; Chiba, Y.; Yamaji, N.; Ma, J.F. Identification and characterization of maize and barley Lsi2-like silicon efflux transporters reveals a distinct silicon uptake system from that in rice. Plant Cell 2009, 21, 2133–2142. [Google Scholar] [CrossRef]
- Yamaji, N.; Ma, J.F. Further Characterization of a Rice Silicon Efflux Transporter, Lsi2. Soil Sci. Plant Nutr. 2011, 57, 259–264. [Google Scholar] [CrossRef]
- Montpetit, J.; Vivancos, J.; Mitani-Ueno, N.; Yamaji, N.; Rémus-Borel, W.; Belzile, F.; Ma, J.F.; Bélanger, R.R. Cloning, Functional Characterization and Heterologous Expression of TaLsi1, a Wheat Silicon Transporter Gene. Plant Mol. Biol. 2012, 79, 35–46. [Google Scholar] [CrossRef]
- Chiba, Y.; Mitani, N.; Yamaji, N.; Ma, J.F. HvLsi1 Is a Silicon Influx Transporter in Barley. Plant J. 2009, 57, 810–818. [Google Scholar] [CrossRef]
- Deshmukh, R.K.; Vivancos, J.; Guérin, V.; Sonah, H.; Labbé, C.; Belzile, F.; Bélanger, R.R. Identification and Functional Characterization of Silicon Transporters in Soybean Using Comparative Genomics of Major Intrinsic Proteins in Arabidopsis and Rice. Plant Mol. Biol. 2013, 83, 303–315. [Google Scholar] [CrossRef]
- Mitani, N.; Yamaji, N.; Ago, Y.; Iwasaki, K.; Ma, J.F. Isolation and Functional Characterization of an Influx Silicon Transporter in Two Pumpkin Cultivars Contrasting in Silicon Accumulation. Plant J. 2011, 66, 231–240. [Google Scholar] [CrossRef]
- Wang, S.; Liu, P.; Chen, D.; Yin, L.; Li, H.; Deng, X. Silicon Enhanced Salt Tolerance by Improving the Root Water Uptake and Decreasing the Ion Toxicity in Cucumber. Front. Plant Sci. 2015, 6, 759. [Google Scholar] [CrossRef]
- Mitani-Ueno, N.; Yamaji, N.; Ma, J.F. Silicon efflux transporters isolated from two pumpkin cultivars contrasting in Si uptake. Plant Signal. Behav. 2011, 6, 991–994. [Google Scholar] [CrossRef]
- Coskun, D.; Deshmukh, R.; Sonah, H.; Menzies, J.G.; Reynolds, O.; Ma, J.F.; Kronzucker, H.J.; Bélanger, R.R. The Controversies of Silicon’s Role in Plant Biology. New Phytol. 2019, 221, 67–85. [Google Scholar] [CrossRef]
- Guerriero, G.; Hausman, J.F.; Legay, S. Silicon and the Plant Extracellular Matrix. Front. Plant Sci. 2016, 7, 463. [Google Scholar] [CrossRef]
- Sangster, A.G.; Hodson, M.J.; Tubb, H.J. Silicon deposition in higher plants. In Silicon in Agriculture. Studies in Plant Science; Datnoff, L.E., Snyder, G.H., Korndorfer, G.H., Eds.; Elsevier: Amsterdam, The Netherlands, 2001; Volume 8, pp. 85–113. [Google Scholar]
- Gong, H.J.; Randall, D.P.; Flowers, T.J. Silicon Deposition in the Root Reduces Sodium Uptake in Rice (Oryza sativa L.) Seedlings by Reducing Bypass Flow. Plant Cell Environ. 2006, 29, 1970–1979. [Google Scholar] [CrossRef]
- Shakoor, S.A. Silicon Biomineralisation in Plants: A Tool to Adapt Global Climate Change. J. Res. Biol. Sci. 2014, 1, 1–3. [Google Scholar]
- Peleg, Z.; Saranga, Y.; Fahima, T.; Aharoni, A.; Elbaum, R. Genetic Control over Silica Deposition in Wheat Awns. Physiol. Plant. 2010, 140, 10–20. [Google Scholar] [CrossRef]
- Von Sachs, J. Handbuch der Experimental-Physiologie der Pflanzen: Untersuchungen Über Die Allgemeinen Lebensbedingungen der Pflanzen und die Functionen Ihrer Organe; Engelmann, W., Ed.; Leipzig, Germany, 1865; p. 514. [Google Scholar]
- IPNI. Silicon. Nutri-facts, No. 14. Available online: http://www.ipni.net/publication/nutrifacts-na.nsf/0/A7B4AB4D35C153BF85257ECE006E0E34/$FILE/NutriFacts-NA-14.pdf (accessed on 1 August 2022).
- Zhu, Y.; Gong, H. Beneficial Effects of Silicon on Salt and Drought Tolerance in Plants. Agron. Sustain. Dev. 2014, 34, 455–472. [Google Scholar] [CrossRef]
- Frew, A.; Weston, L.A.; Reynolds, O.L.; Gurr, G.M. The Role of Silicon in Plant Biology: A Paradigm Shift in Research Approach. Ann. Bot. 2018, 121, 1265–1273. [Google Scholar] [CrossRef]
- Hodson, M.J.; White, P.J.; Mead, A.; Broadley, M.R. Phylogenetic Variation in the Silicon Composition of Plants. Ann. Bot. 2005, 96, 1027–1046. [Google Scholar] [CrossRef] [PubMed]
- Cooke, J.; Leishman, M.R. Is Plant Ecology More Siliceous than We Realise? Trends Plant Sci. 2011, 16, 61–68. [Google Scholar] [CrossRef] [PubMed]
- Ali, N.; Schwarzenberg, A.; Yvin, J.C.; Hosseini, S.A. Regulatory Role of Silicon in Mediating Differential Stress Tolerance Responses in Two Contrasting Tomato Genotypes under Osmotic Stress. Front. Plant Sci. 2018, 9, 1475. [Google Scholar] [CrossRef] [PubMed]
- Marmiroli, M.; Pigoni, V.; Savo-Sardaro, M.L.; Marmiroli, N. The Effect of Silicon on the Uptake and Translocation of Arsenic in Tomato (Solanum lycopersicum L.). Environ. Exp. Bot. 2014, 99, 9–17. [Google Scholar] [CrossRef]
- Toresano-Sánchez, F.; Valverde-García, A.; Camacho-Ferre, F. Effect of the Application of Silicon Hydroxide on Yield and Quality of Cherry Tomato. J. Plant Nutr. 2012, 35, 567–590. [Google Scholar] [CrossRef]
- Jarosz, Z. The effect of silicon application and type of medium on yielding and chemical composition of tomato. Acta Sci. Pol. Hortorum Cultus 2014, 13, 171–183. [Google Scholar]
- Gowda, D.C.; Lingaiah, H.B.; Nachegowda, V.; Anil Kumar, S. Effect of speciality fertilizers on growth and yield of tomato (Solanum lycopersicon L.). Plant Arch. 2015, 15, 335–338. [Google Scholar]
- Ma, J.F.; Yamaji, N. Functions and Transport of Silicon in Plants. Cell. Mol. Life Sci. 2008, 65, 3049–3057. [Google Scholar] [CrossRef]
- Balakhnina, T.; Borkowska, A. Effects of Silicon on Plant Resistance to Environmental Stresses: Review. Int. Agrophysics 2013, 27, 225–232. [Google Scholar] [CrossRef]
- Savvas, D.; Ntatsi, G. Biostimulant Activity of Silicon in Horticulture. Sci. Hortic. 2015, 196, 66–81. [Google Scholar] [CrossRef]
- Johnson, S.N.; Hartley, S.E.; Ryalls, J.M.W.; Frew, A.; Hall, C.R. Targeted Plant Defense: Silicon Conserves Hormonal Defense Signaling Impacting Chewing but Not Fluid-Feeding Herbivores. Ecology 2021, 102, e03250. [Google Scholar] [CrossRef]
- Kim, Y.H.; Khan, A.L.; Waqas, M.; Lee, I.J. Silicon Regulates Antioxidant Activities of Crop Plants under Abiotic-Induced Oxidative Stress: A Review. Front. Plant Sci. 2017, 8, 510. [Google Scholar] [CrossRef]
- Ahmad, A.; Khan, W.U.; Ali Shah, A.; Yasin, N.A.; Naz, S.; Ali, A.; Tahir, A.; Iram Batool, A. Synergistic Effects of Nitric Oxide and Silicon on Promoting Plant Growth, Oxidative Stress Tolerance and Reduction of Arsenic Uptake in Brassica Juncea. Chemosphere 2021, 262, 128384. [Google Scholar] [CrossRef]
- Ben Mrid, R.; Benmrid, B.; Hafsa, J.; Boukcim, H.; Sobeh, M.; Yasri, A. Secondary Metabolites as Biostimulant and Bioprotectant Agents: A Review. Sci. Total Environ. 2021, 777, 146204. [Google Scholar] [CrossRef]
- Kaur, G.; Asthir, B. Proline: A Key Player in Plant Abiotic Stress Tolerance. Biol. Plant. 2015, 59, 609–619. [Google Scholar] [CrossRef]
- Vega, I.; Nikolic, M.; Pontigo, S.; Godoy, K.; de La Luz Mora, M.; Cartes, P. Silicon Improves the Production of High Antioxidant or Structural Phenolic Compounds in Barley Cultivars under Aluminum Stress. Agronomy 2019, 9, 388. [Google Scholar] [CrossRef]
- Tubana, B.S.; Babu, T.; Datnoff, L.E. A Review of Silicon in Soils and Plants and Its Role in Us Agriculture: History and Future Perspectives. Soil Sci. 2016, 181, 393–411. [Google Scholar] [CrossRef]
- Fleck, A.T.; Nye, T.; Repenning, C.; Stahl, F.; Zahn, M.; Schenk, M.K. Silicon Enhances Suberization and Lignification in Roots of Rice (Oryza sativa). J. Exp. Bot. 2011, 62, 2001–2011. [Google Scholar] [CrossRef]
- da Cunha, K.P.V.; do Nascimento, C.W.A.; de Mendonça Pimentel, R.M.; Ferreira, C.P. Cellular Localization of Cadmium and Structural Changes in Maize Plants Grown on a Cadmium Contaminated Soil with and without Liming. J. Hazard. Mater. 2008, 160, 228–234. [Google Scholar] [CrossRef]
- Bhat, J.A.; Shivaraj, S.M.; Singh, P.; Navadagi, D.B.; Tripathi, D.K.; Dash, P.K.; Solanke, A.U.; Sonah, H.; Deshmukh, R. Role of Silicon in Mitigation of Heavy Metal Stresses in Crop Plants. Plants 2019, 8, 71. [Google Scholar] [CrossRef]
- Hernandez-Apaolaza, L. Can Silicon Partially Alleviate Micronutrient Deficiency in Plants? A Review. Planta 2014, 240, 447–458. [Google Scholar] [CrossRef] [PubMed]
- Song, A.; Li, P.; Li, Z.; Fan, F.; Nikolic, M.; Liang, Y. The Alleviation of Zinc Toxicity by Silicon Is Related to Zinc Transport and Antioxidative Reactions in Rice. Plant Soil 2011, 344, 319–333. [Google Scholar] [CrossRef]
- Pavlovic, J.; Samardzic, J.; Maksimović, V.; Timotijevic, G.; Stevic, N.; Laursen, K.H.; Hansen, T.H.; Husted, S.; Schjoerring, J.K.; Liang, Y.; et al. Silicon Alleviates Iron Deficiency in Cucumber by Promoting Mobilization of Iron in the Root Apoplast. New Phytol. 2013, 198, 1096–1107. [Google Scholar] [CrossRef] [PubMed]
- Zhu, Y.X.; Gong, H.J.; Yin, J.L. Role of Silicon in Mediating Salt Tolerance in Plants: A Review. Plants 2019, 8, 147. [Google Scholar] [CrossRef] [PubMed]
- Mundada, P.S.; Barvkar, V.T.; Umdale, S.D.; Anil Kumar, S.; Nikam, T.D.; Ahire, M.L. An Insight into the Role of Silicon on Retaliation to Osmotic Stress in Finger Millet (Eleusine coracana (L.) Gaertn). J. Hazard. Mater. 2021, 403, 124078. [Google Scholar] [CrossRef] [PubMed]
- Yan, G.; Fan, X.; Tan, L.; Yin, C.; Li, T.; Liang, Y. Root Silicon Deposition and Its Resultant Reduction of Sodium Bypass Flow Is Modulated by OsLsi1 and OsLsi2 in Rice. Plant Physiol. Biochem. 2021, 158, 219–227. [Google Scholar] [CrossRef]
- Zhang, Y.; Chen, H.; Liang, Y.; Lu, T.; Liu, Z.; Jin, X.; Hou, L.; Xu, J.; Zhao, H.; Shi, Y.; et al. Comparative Transcriptomic and Metabolomic Analyses Reveal the Protective Effects of Silicon against Low Phosphorus Stress in Tomato Plants. Plant Physiol. Biochem. 2021, 166, 78–87. [Google Scholar] [CrossRef]
- Zhang, Y.; Liang, Y.; Zhao, X.; Jin, X.; Hou, L.; Shi, Y.; Ahammed, G.J. Silicon Compensates Phosphorus Deficit-Induced Growth Inhibition by Improving Photosynthetic Capacity, Antioxidant Potential, and Nutrient Homeostasis in Tomato. Agronomy 2019, 9, 733. [Google Scholar] [CrossRef]
- González-Morales, S.; Solís-Gaona, S.; Valdés-Caballero, M.V.; Juárez-Maldonado, A.; Loredo-Treviño, A.; Benavides-Mendoza, A. Transcriptomics of Biostimulation of Plants Under Abiotic Stress. Front. Genet. 2021, 12, 583888. [Google Scholar] [CrossRef]
- Khan, A.; Bilal, S.; Khan, A.L.; Imran, M.; Shahzad, R.; Al-Harrasi, A.; Al-Rawahi, A.; Al-Azhri, M.; Mohanta, T.K.; Lee, I.J. Silicon and Gibberellins: Synergistic Function in Harnessing Aba Signaling and Heat Stress Tolerance in Date Palm (Phoenix dactylifera L.). Plants 2020, 9, 620. [Google Scholar] [CrossRef]
- Saha, G.; Mostofa, M.G.; Rahman, M.M.; Tran, L.S.P. Silicon-Mediated Heat Tolerance in Higher Plants: A Mechanistic Outlook. Plant Physiol. Biochem. 2021, 166, 341–347. [Google Scholar] [CrossRef]
- Granot, D. Role of tomato hexose kinases. Funct. Plant Biol. 2007, 34, 564–570. [Google Scholar] [CrossRef] [PubMed]
- Poór, P.; Patyi, G.; Takács, Z.; Szekeres, A.; Bódi, N.; Bagyánszki, M.; Tari, I. Salicylic Acid-Induced ROS Production by Mitochondrial Electron Transport Chain Depends on the Activity of Mitochondrial Hexokinases in Tomato (Solanum lycopersicum L.). J. Plant Res. 2019, 132, 273–283. [Google Scholar] [CrossRef]
- Etesami, H.; Jeong, B.R. Silicon (Si): Review and Future Prospects on the Action Mechanisms in Alleviating Biotic and Abiotic Stresses in Plants. Ecotoxicol. Environ. Saf. 2018, 147, 881–896. [Google Scholar] [CrossRef]
- Wang, Y.; Kang, Y.; Ma, C.; Miao, R.; Wu, C.; Long, Y.; Ge, T.; Wu, Z.; Hou, X.; Zhang, J.; et al. CNGC2 Is a Ca2+ Influx Channel That Prevents Accumulation of Apoplastic Ca2+ in the Leaf. Plant Physiol. 2017, 173, 1342–1354. [Google Scholar] [CrossRef]
- van der Vorm, P.D.J. Dry Ashing of Plant Material and Dissolution of the Ash in HF for the Colorimetric Determination of Silicon. Commun. Soil Sci. Plant Anal. 1987, 18, 1181–1189. [Google Scholar] [CrossRef]
- Clemente, R.; Hartley, W.; Riby, P.; Dickinson, N.M.; Lepp, N.W. Trace Element Mobility in a Contaminated Soil Two Years after Field-Amendment with a Greenwaste Compost Mulch. Environ. Pollut. 2010, 158, 1644–1651. [Google Scholar] [CrossRef]
- Junglee, S.; Urban, L.; Sallanon, H.; Lopez-Lauri, F. Optimized Assay for Hydrogen Peroxide Determination in Plant Tissue Using Potassium Iodide. Am. J. Anal. Chem. 2014, 5, 730–736. [Google Scholar] [CrossRef]
- Murshed, R.; Lopez-Lauri, F.; Sallanon, H. Effect of Salt Stress on Tomato Fruit Antioxidant Systems Depends on Fruit Development Stage. Physiol. Mol. Biol. Plants 2014, 20, 15–29. [Google Scholar] [CrossRef]
- Capanoglu, E.; Beekwilder, J.; Boyacioglu, D.; Hall, R.; de Vos, R. Changes in antioxidant and metabolite profiles during production of tomato paste. J. Agric. Food Chem. 2008, 56, 964–973. [Google Scholar] [CrossRef]
- Singleton, V.L.; Rossi, J.A. Colorimetry of Total Phenolics with Phosphomolybdic-Phosphotungstic Acid Reagents. Am. J. Enol. Vitic. 1965, 16, 144–158. [Google Scholar]
- Chen, T.; Zhang, B. Measurements of Proline and Malondialdehyde Content and Antioxidant Enzyme Activities in Leaves of Drought Stressed Cotton. Bio-Protocol 2016, 6, e1913. [Google Scholar] [CrossRef]
- Zhang, X.; Shen, L.; Li, F.; Meng, D.; Sheng, J. Arginase Induction by Heat Treatment Contributes to Amelioration of Chilling Injury and Activation of Antioxidant Enzymes in Tomato Fruit. Postharvest Biol. Technol. 2013, 79, 1–8. [Google Scholar] [CrossRef]
- Çelik, Ö.; Ayan, A.; Atak, Ç. Enzymatic and Non-Enzymatic Comparison of Two Different Industrial Tomato (Solanum lycopersicum) Varieties against Drought Stress. Bot. Stud. 2017, 58, 1–13. [Google Scholar] [CrossRef]
- Beauchamp Charles, F.I. Superoxide Dismutase: Improved Assays and an Assay Applicable to Acrylamide Gels. Anal. Biochem. 1971, 44, 276–287. [Google Scholar] [CrossRef]
- Zouari, M.; Ben Ahmed, C.; Zorrig, W.; Elloumi, N.; Rabhi, M.; Delmail, D.; Ben Rouina, B.; Labrousse, P.; Ben Abdallah, F. Exogenous Proline Mediates Alleviation of Cadmium Stress by Promoting Photosynthetic Activity, Water Status and Antioxidative Enzymes Activities of Young Date Palm (Phoenix dactylifera L.). Ecotoxicol. Environ. Saf. 2016, 128, 100–108. [Google Scholar] [CrossRef]
- Nakano, Y.; Asada, K. Hydrogen Peroxide Is Scavenged by Ascorbate-Specific Peroxidase in Spinch Chloroplasts. Plant Cell Physiol 1981, 22, 867–880. [Google Scholar]
- Zhu, Z.; Wei, G.; Li, J.; Qian, Q.; Yu, J. Silicon Alleviates Salt Stress and Increases Antioxidant Enzymes Activity in Leaves of Salt-Stressed Cucumber (Cucumis sativus L.). Plant Sci. 2004, 167, 527–533. [Google Scholar] [CrossRef]
- Mitton, F.M.; Gonzalez, M.; Monserrat, J.M.; Miglioranza, K.S.B. DDTs-induced antioxidant responses in plants and their influence on phytoremediation process. Ecotoxicol. Environ. Saf. 2018, 147, 151–156. [Google Scholar] [CrossRef]
- Habig, W.H.; Jakoby, W.B. Assays for differentiation of glutathione S-transferases. Methods Enzymol. 1981, 77, 398–405. [Google Scholar] [CrossRef]
- Rotruck, J.T.; Pope, A.L.; Ganther, H.E.; Swanson, A.B.; Hafeman, D.G.; Hoekstra, W.G. Selenium: Biochemical Role as a Component of Glutathione Peroxidase. Science 1973, 179, 588–590. [Google Scholar] [CrossRef]
- Hu, T.; Qv, X.; Hu, Z.; Chen, G.; Chen, Z. Expression, Molecular Characterization and Detection of Lipoxygenase Activity of TomloxD from Tomato. Afr. J. Biotechnol. 2011, 10, 490–498. [Google Scholar] [CrossRef]
- Livak, K.J.; Schmittgen, T.D. Analysis of Relative Gene Expression Data Using Real-Time Quantitative PCR and the 2−ΔΔCT Method. Methods 2001, 25, 402–408. [Google Scholar] [CrossRef]
- Marmiroli, M.; Lepore, G.O.; Pagano, L.; D’Acapito, F.; Gianoncelli, A.; Villani, M.; Lazzarini, L.; White, J.C.; Marmiroli, N. The fate of CdS quantum dots in plants as revealed by extended X-ray absorption fine structure (EXAFS) analysis. Environ. Sci. Nano 2020, 7, 1150–1162. [Google Scholar] [CrossRef]
- Gianoncelli, A.; Kourousias, G.; Merolle, L.; Altissimo, M.; Bianco, A. Current status of the TwinMic beamline at Elettra: A soft X-ray transmission and emission microscopy station. J. Synchrotron Radiat. 2016, 23, 1526–1537. [Google Scholar] [CrossRef]
- Gianoncelli, A.; Morrison, G.R.; Kaulich, B.; Bacescu, D.; Kovac, J. Scanning transmission x-ray microscopy with a configurable detector. Appl. Phys. Lett. 2006, 89, 251117. [Google Scholar] [CrossRef]
- Gianoncelli, A.; Kourousias, G.; Stolfa, A.; Kaulich, B. Recent developments at the TwinMic beamline at ELETTRA: An 8 SDD detector setup for low energy X-ray. J. Phys. Conf. Ser. 2013, 425, 182001. [Google Scholar] [CrossRef]
- Sole, V.A.; Papillon, E.; Cotte, M.; Walter, P.; Susini, J. A multiplatform code for the analysis of energy-dispersive X-ray fluorescence spectra. Spectrochim. Acta Part B At. Spectrosc. 2007, 62, 63–68. [Google Scholar] [CrossRef]
- Al-aghabary, K.; Zhu, Z.; Shi, Q. Influence of Silicon Supply on Chlorophyll Content, Chlorophyll Fluorescence, and Antioxidative Enzyme Activities in Tomato Plants under Salt Stress. J. Plant Nutr. 2004, 27, 2101–2115. [Google Scholar] [CrossRef]
- Cao, B.; Wang, L.; Gao, S.; Xia, J.; Xu, K. Silicon-Mediated Changes in Radial Hydraulic Conductivity and Cell Wall Stability Are Involved in Silicon-Induced Drought Resistance in Tomato. Protoplasma 2017, 254, 2295–2304. [Google Scholar] [CrossRef]
- Cao, B.; Ma, Q.; Xu, K. Silicon Restrains Drought-Induced ROS Accumulation by Promoting Energy Dissipation in Leaves of Tomato. Protoplasma 2020, 257, 537–547. [Google Scholar] [CrossRef] [PubMed]
- Ghareeb, H.; Bozsó, Z.; Ott, P.G.; Repenning, C.; Stahl, F.; Wydra, K. Transcriptome of Silicon-Induced Resistance against Ralstonia Solanacearum in the Silicon Non-Accumulator Tomato Implicates Priming Effect. Physiol. Mol. Plant Pathol. 2011, 75, 83–89. [Google Scholar] [CrossRef]
- Ghareeb, H.; Bozsó, Z.; Ott, P.G.; Wydra, K. Silicon and Ralstonia Solanacearum Modulate Expression Stability of Housekeeping Genes in Tomato. Physiol. Mol. Plant Pathol. 2011, 75, 176–179. [Google Scholar] [CrossRef]
- Gunes, A.; Inal, A.; Bagci, E.G.; Pilbeam, D.J. Silicon-Mediated Changes of Some Physiological and Enzymatic Parameters Symptomatic for Oxidative Stress in Spinach and Tomato Grown in Sodic-B Toxic Soil. Plant Soil 2007, 290, 103–114. [Google Scholar] [CrossRef]
- Heine, G.; Tikum, G.; Horst, W.J. The Effect of Silicon on the Infection by and Spread of Pythium Aphanidermatum in Single Roots of Tomato and Bitter Gourd. J. Exp. Bot. 2007, 58, 569–577. [Google Scholar] [CrossRef]
- Huang, C.H.; Roberts, P.D.; Datnoff, L.E. Silicon Suppresses Fusarium Crown and Root Rot of Tomato. J. Phytopathol. 2011, 159, 546–554. [Google Scholar] [CrossRef]
- Khan, A.; Kamran, M.; Imran, M.; Al-Harrasi, A.; Al-Rawahi, A.; Al-Amri, I.; Lee, I.J.; Khan, A.L. Silicon and Salicylic Acid Confer High-PH Stress Tolerance in Tomato Seedlings. Sci. Rep. 2019, 9, 1–16. [Google Scholar] [CrossRef]
- Khan, A.; Khan, A.L.; Imran, M.; Asaf, S.; Kim, Y.H.; Bilal, S.; Numan, M.; Al-Harrasi, A.; Al-Rawahi, A.; Lee, I.J. Silicon-Induced Thermotolerance in Solanum lycopersicum L. via Activation of Antioxidant System, Heat Shock Proteins, and Endogenous Phytohormones. BMC Plant Biol. 2020, 20, 1–18. [Google Scholar] [CrossRef]
- Li, H.; Zhu, Y.; Hu, Y.; Han, W.; Gong, H. Beneficial Effects of Silicon in Alleviating Salinity Stress of Tomato Seedlings Grown under Sand Culture. Acta Physiol. Plant. 2015, 37. [Google Scholar] [CrossRef]
- Muneer, S.; Park, Y.G.; Manivannan, A.; Soundararajan, P.; Jeong, B.R. Physiological and Proteomic Analysis in Chloroplasts of Solanum Lycopersicum L. under Silicon Efficiency and Salinity Stress. Int. J. Mol. Sci. 2014, 15, 21803–21824. [Google Scholar] [CrossRef]
- Muneer, S.; Jeong, B.R. Proteomic Analysis of Salt-Stress Responsive Proteins in Roots of Tomato (Lycopersicon esculentum L.) Plants towards Silicon Efficiency. Plant Growth Regul. 2015, 77, 133–146. [Google Scholar] [CrossRef]
- Romero-Aranda, M.R.; Jurado, O.; Cuartero, J. Silicon Alleviates the Deleterious Salt Effect on Tomato Plant Growth by Improving Plant Water Status. J. Plant Physiol. 2006, 163, 847–855. [Google Scholar] [CrossRef]
- Shi, Y.; Zhang, Y.; Han, W.; Feng, R.; Hu, Y.; Guo, J.; Gong, H. Silicon Enhances Water Stress Tolerance by Improving Root Hydraulic Conductance in Solanum Lycopersicum L. Front. Plant Sci. 2016, 7, 1–15. [Google Scholar] [CrossRef]
- Wu, J.; Guo, J.; Hu, Y.; Gong, H. Distinct Physiological Responses of Tomato and Cucumber Plants in Silicon-Mediated Alleviation of Cadmium Stress. Front. Plant Sci. 2015, 6, 1–14. [Google Scholar] [CrossRef]
- Jacquemond, M.; Verdin, E.; Dalmon, A.; Guilbaud, L.; Gognalons, P. Serological and Molecular Detection of Tomato Chlorosis Virus and Tomato Infectious Chlorosis Virus in Tomato. Plant Pathol. 2009, 58, 210–220. [Google Scholar] [CrossRef]
- Mascia, T.; Santovito, E.; Gallitelli, D.; Cillo, F. Evaluation of Reference Genes for Quantitative Reverse-Transcription Polymerase Chain Reaction Normalization in Infected Tomato Plants. Mol. Plant Pathol. 2010, 11, 805–816. [Google Scholar] [CrossRef]
- Poór, P.; Takács, Z.; Patyi, G.; Borbély, P.; Bencsik, O.; Szekeres, A.; Tari, I. Dark-Induced Changes in the Activity and the Expression of Tomato Hexokinase Genes Depend on the Leaf Age. South African J. Bot. 2018, 118, 98–104. [Google Scholar] [CrossRef]
- Guo, J.; Wang, M.H. Characterization of the Phenylalanine Ammonia-Lyase Gene (SlPAL5) from Tomato (Solanum lycopersicum L.). Mol. Biol. Rep. 2009, 36, 1579–1585. [Google Scholar] [CrossRef]
- Saand, M.A.; Xu, Y.P.; Li, W.; Wang, J.P.; Cai, X.Z. Cyclic Nucleotide Gated Channel Gene Family in Tomato: Genome-Wide Identification and Functional Analyses in Disease Resistance. Front. Plant Sci. 2015, 6. [Google Scholar] [CrossRef]
- Vatansever, R.; Ozyigit, I.I.; Filiz, E.; Gozukara, N. Genome-Wide Exploration of Silicon (Si) Transporter Genes, Lsi1 and Lsi2 in Plants; Insights into Si-Accumulation Status/Capacity of Plants. BioMetals 2017, 30, 1–16. [Google Scholar] [CrossRef]










| Element | Treatment F | Treatment p Value | Part F | Part p Value | Treatment Part F | p Value |
|---|---|---|---|---|---|---|
| Aragon | ||||||
| Fe | 0.842 | 0.447 | 23.115 | 0.000 | 2.739 | 0.061 |
| Al | 3.932 | 0.038 | 0.652 | 0.533 | 1.492 | 0.246 |
| Cu | 1.656 | 0.219 | 1.040 | 0.374 | 1.708 | 0.192 |
| Mn | 12.873 | 0.000 | 813.73 | 0.000 | 6.637 | 0.002 |
| Na | 22.006 | 0.000 | 334.67 | 0.000 | 8.550 | 0.000 |
| Ni | 0.570 | 0.575 | 3.953 | 0.038 | 0.718 | 0.590 |
| Zn | 2.845 | 0.084 | 2.440 | 0.115 | 0.499 | 0.737 |
| Mo | 0.732 | 0.495 | 5.710 | 0.012 | 1.227 | 0.334 |
| Ca | 0.925 | 0.414 | 8.784 | 0.002 | 1.264 | 0.320 |
| K | 0.257 | 0.776 | 12.050 | 0.000 | 4.035 | 0.017 |
| P | 2.084 | 0.153 | 11.117 | 0.001 | 4.754 | 0.009 |
| Mg | 1.099 | 0.355 | 97.970 | 0.000 | 13.151 | 0.000 |
| Si | 83.266 | 0.000 | 303.67 | 0.000 | 78.478 | 0.000 |
| Cu | 1.349 | 0.284 | 7.438 | 0.004 | 1.168 | 0.358 |
| Gladis | ||||||
| Fe | 0.828 | 0.453 | 1.095 | 0.356 | 1.190 | 0.349 |
| Al | 8.059 | 0.003 | 100.08 | 0.000 | 7.684 | 0.001 |
| Cu | 50.482 | 0.000 | 321.19 | 0.000 | 44.280 | 0.000 |
| Mn | 37.324 | 0.000 | 59.953 | 0.000 | 16.217 | 0.000 |
| Na | 4.658 | 0.023 | 4.376 | 0.028 | 1.513 | 0.240 |
| Ni | 13.610 | 0.000 | 49.039 | 0.000 | 11.801 | 0.000 |
| Zn | 1.998 | 0.165 | 0.269 | 0.767 | 1.004 | 0.431 |
| Mo | 2.898 | 0.081 | 38.213 | 0.000 | 2.772 | 0.059 |
| Ca | 4.009 | 0.036 | 5.827 | 0.011 | 4.421 | 0.012 |
| K | 4.499 | 0.026 | 8.204 | 0.003 | 2.589 | 0.072 |
| P | 21.145 | 0.000 | 150.50 | 0.000 | 8.307 | 0.001 |
| Mg | 7.318 | 0.005 | 543.78 | 0.000 | 9.396 | 0.000 |
| Si | 1.349 | 0.284 | 7.438 | 0.004 | 1.168 | 0.358 |
Publisher’s Note: MDPI stays neutral with regard to jurisdictional claims in published maps and institutional affiliations. |
© 2022 by the authors. Licensee MDPI, Basel, Switzerland. This article is an open access article distributed under the terms and conditions of the Creative Commons Attribution (CC BY) license (https://creativecommons.org/licenses/by/4.0/).
Share and Cite
Marmiroli, M.; Mussi, F.; Gallo, V.; Gianoncelli, A.; Hartley, W.; Marmiroli, N. Combination of Biochemical, Molecular, and Synchrotron-Radiation-Based Techniques to Study the Effects of Silicon in Tomato (Solanum Lycopersicum L.). Int. J. Mol. Sci. 2022, 23, 15837. https://doi.org/10.3390/ijms232415837
Marmiroli M, Mussi F, Gallo V, Gianoncelli A, Hartley W, Marmiroli N. Combination of Biochemical, Molecular, and Synchrotron-Radiation-Based Techniques to Study the Effects of Silicon in Tomato (Solanum Lycopersicum L.). International Journal of Molecular Sciences. 2022; 23(24):15837. https://doi.org/10.3390/ijms232415837
Chicago/Turabian StyleMarmiroli, Marta, Francesca Mussi, Valentina Gallo, Alessandra Gianoncelli, William Hartley, and Nelson Marmiroli. 2022. "Combination of Biochemical, Molecular, and Synchrotron-Radiation-Based Techniques to Study the Effects of Silicon in Tomato (Solanum Lycopersicum L.)" International Journal of Molecular Sciences 23, no. 24: 15837. https://doi.org/10.3390/ijms232415837
APA StyleMarmiroli, M., Mussi, F., Gallo, V., Gianoncelli, A., Hartley, W., & Marmiroli, N. (2022). Combination of Biochemical, Molecular, and Synchrotron-Radiation-Based Techniques to Study the Effects of Silicon in Tomato (Solanum Lycopersicum L.). International Journal of Molecular Sciences, 23(24), 15837. https://doi.org/10.3390/ijms232415837

