Bioassay-Guided Isolation of Anthelmintic Components from Semen pharbitidis, and the Mechanism of Action of Pharbitin
Abstract
1. Introduction
2. Results and Discussion
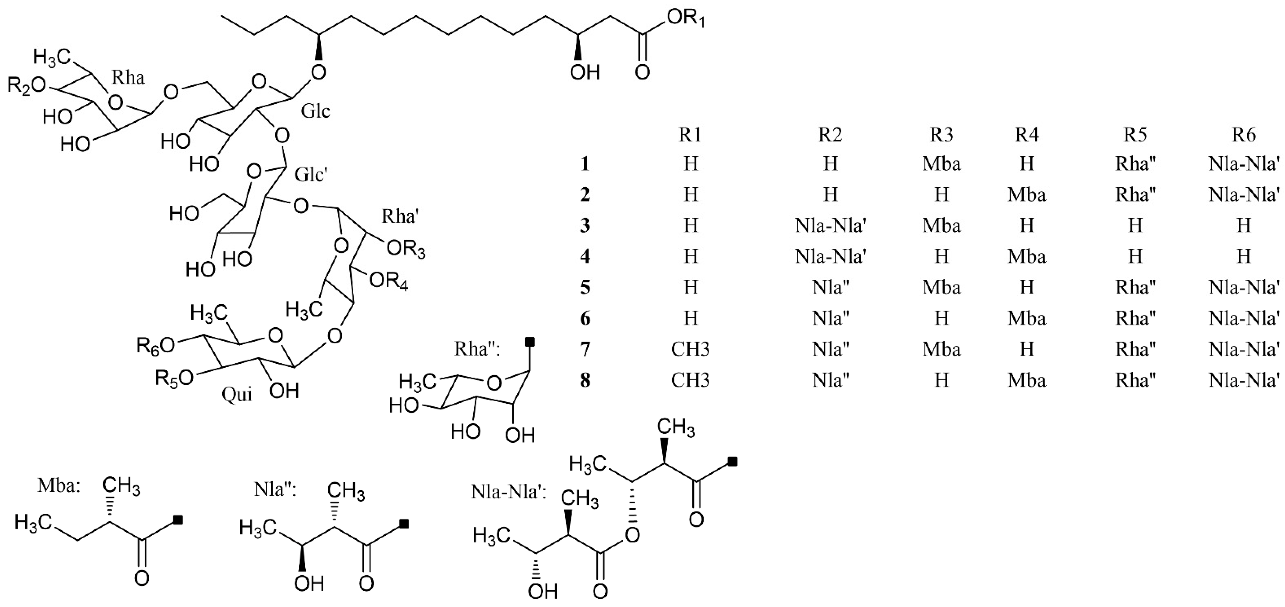
2.1. Bioassay-Guided Purification and Structure Elucidation of Active Compounds
2.2. Anthlemintic Activity of Pharbitin Fragments and Their Analogues
2.3. Mechanism of Action Study of Pharbitin
3. Materials and Methods
3.1. Chemicals and Reagents
3.2. Plant Material
3.3. Preparation of the Extract
3.4. Anthelmintic Activity Test
3.5. Chromatography
3.6. HRMS and NMR
3.7. Statistical Analyses
4. Conclusions
Supplementary Materials
Author Contributions
Funding
Acknowledgments
Conflicts of Interest
References
- Sanchez-Vegas, C.; Villavicencio, K.L.H. Helminth Infections in Children. Pediatr. Rev. 2022, 43, 243–255. [Google Scholar] [CrossRef] [PubMed]
 - Degarege, A.; Erko, B.; Negash, Y.; Animut, A. Intestinal Helminth Infection, Anemia, Undernutrition and Academic Performance among School Children in Northwestern Ethiopia. Microorganisms 2022, 10, 1353. [Google Scholar] [CrossRef] [PubMed]
 - Gilleard, J.S.; Kotze, A.C.; Leathwick, D.; Nisbet, A.J.; McNeilly, T.N.; Besier, B. A journey through 50 years of research relevant to the control of gastrointestinal nematodes in ruminant livestock and thoughts on future directions. Int. J. Parasitol. 2021, 51, 1133–1151. [Google Scholar] [CrossRef]
 - Liu, M.; Landuyt, B.; Klaassen, H.; Geldhof, P.; Luyten, W. Screening of a drug repurposing library with a nematode motility assay identifies promising anthelmintic hits against Cooperia oncophora and other ruminant parasites. Vet. Parasitol. 2019, 265, 15–18. [Google Scholar] [CrossRef] [PubMed]
 - Liu, M.; Panda, S.K.; Luyten, W. Plant-Based Natural Products for the Discovery and Development of Novel Anthelmintics against Nematodes. Biomolecules 2020, 10, 426. [Google Scholar] [CrossRef] [PubMed]
 - Panic, G.; Duthaler, U.; Speich, B.; Keiser, J. Repurposing drugs for the treatment and control of helminth infections. Int. J. Parasitol. Drugs Drug Resist. 2014, 4, 185–200. [Google Scholar] [CrossRef] [PubMed]
 - Geurden, T.; Chartier, C.; Fanke, J.; di Regalbono, A.F.; Traversa, D.; von Samson-Himmelstjerna, G.; Demeler, J.; Vanimisetti, H.B.; Bartram, D.J.; Denwood, M.J. Anthelmintic resistance to ivermectin and moxidectin in gastrointestinal nematodes of cattle in Europe. Int. J. Parasitol. Drugs Drug Resist. 2015, 5, 163–171. [Google Scholar] [CrossRef]
 - Herath, H.; Taki, A.C.; Rostami, A.; Jabbar, A.; Keiser, J.; Geary, T.G.; Gasser, R.B. Whole-organism phenotypic screening methods used in early-phase anthelmintic drug discovery. Biotechnol. Adv. 2022, 57, 107937. [Google Scholar] [CrossRef]
 - Alum, A.; Rubino, J.R.; Ijaz, M.K. The global war against intestinal parasites—Should we use a holistic approach? Int. J. Infect. Dis. 2010, 14, e732–e738. [Google Scholar] [CrossRef]
 - Onakpoya, I.J. Chapter 29—Antihelminthic Drugs. In Side Effects of Drugs Annual; Ray, S.D., Ed.; Elsevier: Amsterdam, The Netherlands, 2016; Volume 38, pp. 295–305. [Google Scholar]
 - Vercruysse, J.; Charlier, J.; Van Dijk, J.; Morgan, E.R.; Geary, T.; von Samson-Himmelstjerna, G.; Claerebout, E. Control of helminth ruminant infections by 2030. Parasitology 2018, 145, 1655–1664. [Google Scholar] [CrossRef]
 - Romero-Benavides, J.C.; Ruano, A.L.; Rivas, R.S.; Veintimilla, P.C.; Jaramillo, S.V.; Bailon-Moscoso, N. Medicinal plants used as anthelmintics: Ethnomedical, pharmacological, and phytochemical studies. Eur. J. Med. Chem. 2017, 129, 209–217. [Google Scholar] [CrossRef]
 - Zhou, H. Treatment Methods of Traditional Chinese Medicine for Infection with Ascaris lumbricoides and Other Nematodes. In Treatment of Human Parasitosis in Traditional Chinese Medicine; Springer: Berlin/Heidelberg, Germany, 2014; pp. 203–213. [Google Scholar]
 - Nguyen, H.T.; Yu, N.H.; Park, A.R.; Park, H.W.; Kim, I.S.; Kim, J.C. Antibacterial activity of pharbitin, isolated from the seeds of Pharbitis nil, against various plant pathogenic bacteria. J. Microbiol. Biotechnol. 2017, 27, 1763–1772. [Google Scholar] [CrossRef] [PubMed]
 - Ao, D.; Wei, Q. Research progress of Semen Pharbitidis. Chin. J. Inf. Tradit. Chin. Med. 2003, 10, 77–80. [Google Scholar]
 - Li, G.; Liang, Y.; Hou, Y. 50 cases of the treatment of enterobiasis with Semen Pharbitidis. Chin. J. Integr. Tradit. West. Med. 1994, S1, 338–339. [Google Scholar]
 - Su, G.; Huang, S. Semen Pharbitidis used for reducing phlegm and eliminating helminth. Cap. Med. 2015, 22, 54. [Google Scholar]
 - Burns, A.R.; Luciani, G.M.; Musso, G.; Bagg, R.; Yeo, M.; Zhang, Y.; Rajendran, L.; Glavin, J.; Hunter, R.; Redman, E.; et al. Caenorhabditis elegans is a useful model for anthelmintic discovery. Nat. Commun. 2015, 6, 7485. [Google Scholar] [CrossRef]
 - Buckingham, S.D.; Partridge, F.A.; Sattelle, D.B. Automated, high-throughput, motility analysis in Caenorhabditis elegans and parasitic nematodes: Applications in the search for new anthelmintics. Int. J. Parasitol. Drugs Drug Resist. 2014, 4, 226–232. [Google Scholar] [CrossRef]
 - Shanley, H.T.; Taki, A.C.; Byrne, J.J.; Jabbar, A.; Wells, T.N.C.; Samby, K.; Boag, P.R.; Nguyen, N.; Sleebs, B.E.; Gasser, R.B. A High-Throughput Phenotypic Screen of the ‘Pandemic Response Box’ Identifies a Quinoline Derivative with Significant Anthelmintic Activity. Pharmaceuticals 2022, 15, 257. [Google Scholar] [CrossRef]
 - Ono, M.; Takigawa, A.; Mineno, T.; Yoshimitsu, H.; Nohara, T.; Ikeda, T.; Fukuda-Teramachi, E.; Noda, N.; Miyahara, K. Acylated glycosides of hydroxy fatty acid methyl esters generated from the crude resin glycoside (pharbitin) of seeds of Pharbitis nil by treatment with indium (III) chloride in methanol. J. Nat. Prod. 2010, 73, 1846–1852. [Google Scholar] [CrossRef]
 - Ono, M.; Noda, N.; Kawasaki, T.; Miyahara, K. Resin glycosides. VII.: Reinvestigation of the component organic and glycosidic acids of pharbitin, the crude ether-insoluble resin glycoside (“Convolvulin”) of Pharbitidis Semen (Seeds of Pharbitis nil). Chem. Pharm. Bull. 1990, 38, 1892–1897. [Google Scholar] [CrossRef]
 - Bai, L.-J.; Luo, J.-G.; Chen, C.; Kong, L.-Y. Pharesinosides AG, acylated glycosidic acid methyl esters derivatized by NH2 silica gel on-column catalyzation from the crude resin glycosides of Pharbitis Semen. Tetrahedron 2017, 73, 2863–2871. [Google Scholar] [CrossRef]
 - Liu, M.; Copmans, D.; Lu, J.G.; Yang, M.R.; Sourbron, J.; Ny, A.; Jiang, Z.H.; de Witte, P.A.M.; Luyten, W. Bioassay-guided isolation of anti-seizure principles from Semen Pharbitidis using a zebrafish pentylenetetrazol seizure model. J. Ethnopharmacol. 2019, 232, 130–134. [Google Scholar] [CrossRef] [PubMed]
 - Ono, M. Resin glycosides from Convolvulaceae plants. J. Nat. Med. 2017, 71, 591–604. [Google Scholar] [CrossRef]
 - Liu, M.; Kipanga, P.; Mai, A.; Dhondt, I.; Braeckman, B.; De Borggraeve, W.; Luyten, W. Bioassay-guided isolation of three anthelmintic compounds from Warburgia ugandensis Sprague subspecies ugandensis, and the mechanism of action of polygodial. Int. J. Parasitol. 2018, 48, 833–844. [Google Scholar] [CrossRef] [PubMed]
 - Kim, S.Y.; Woo, H.S.; Kim, K.O.; Choi, S.H.; Kwon, K.A.; Chung, J.W.; Kim, Y.J.; Kim, J.H.; Kim, S.J.; Park, D.K. DA-9701 improves colonic transit time and symptoms in patients with functional constipation: A prospective study. J. Gastroenterol. Hepatol. 2017, 32, 1943–1948. [Google Scholar] [CrossRef] [PubMed]
 - Stadler, M.; Mayer, A.; Anke, H.; Sterner, O. Fatty acids and other compounds with nematicidal activity from cultures of Basidiomycetes. Planta Med. 1994, 60, 128–132. [Google Scholar] [CrossRef] [PubMed]
 - Hirazawa, N.; Oshima, S.-i.; Mitsuboshi, T.; Hata, K. The anthelmintic effect of medium-chain fatty acids against the monogenean Heterobothrium okamotoi in the tiger puffer Takifugurubripes: Evaluation of doses of caprylic acid at different water temperatures. Aquaculture 2001, 195, 211–223. [Google Scholar] [CrossRef]
 - Skinner-Adams, T.S.; Sumanadasa, S.D.; Fisher, G.M.; Davis, R.A.; Doolan, D.L.; Andrews, K.T. Defining the targets of antiparasitic compounds. Drug Discov. Today 2016, 21, 725–739. [Google Scholar] [CrossRef]
 - Kaminsky, R.; Ducray, P.; Jung, M.; Clover, R.; Rufener, L.; Bouvier, J.; Weber, S.S.; Wenger, A.; Wieland-Berghausen, S.; Goebel, T. A new class of anthelmintics effective against drug-resistant nematodes. Nature 2008, 452, 176–180. [Google Scholar] [CrossRef]
 - Culetto, E.; Baylis, H.A.; Richmond, J.E.; Jones, A.K.; Fleming, J.T.; Squire, M.D.; Lewis, J.A.; Sattelle, D.B. The Caenorhabditis elegans unc-63 gene encodes a levamisole-sensitive nicotinic acetylcholine receptor alpha subunit. J. Biol. Chem. 2004, 279, 42476–42483. [Google Scholar] [CrossRef]
 - Gottschalk, A.; Almedom, R.B.; Schedletzky, T.; Anderson, S.D.; Yates, J.R., III; Schafer, W.R. Identification and characterization of novel nicotinic receptor-associated proteins in Caenorhabditis elegans. EMBO J. 2005, 24, 2566–2578. [Google Scholar] [CrossRef] [PubMed]
 




| Structure | Name or Code Name | IC50 (μM) | 
|---|---|---|
![]()  | 2-bromohexadecanoic acid | 1.6 ± 0.7 | 
![]()  | myristoleic acid | 35.2 ± 7.6 | 
![]()  | lauric acid | 75.7 ± 10.3 | 
![]()  | palmitelaidic acid | 81.4 ± 11.7 | 
![]()  | 1-octanesulfonic acid | 124.1 ± 21.5 | 
![]()  | psychosine | 187.6 ± 27.9 | 
![]()  | galactocerebrosides | >200 | 
![]()  | caproic acid | >200 | 
![]()  | caprylic acid | >200 | 
![]()  | tiglic acid | >200 | 
![]()  | succinic acid | >200 | 
![]()  | tridecyl acetate | >200 | 
![]()  | β-hydroxymyristic acid | >200 | 
![]()  | ricinoleic acid | >200 | 
![]()  | 12-hydroxyoctadecanoic acid | >200 | 
![]()  | methyl myristate | >200 | 
![]()  | ethyl myristate | >200 | 
![]()  | 2-hydroxytetradecanoic acid | >200 | 
![]()  | citric acid | >200 | 
![]()  | apscisic acid | >200 | 
| Strain | Genotype | Known Resistance | 
|---|---|---|
| DA1371 | avr-14 (ad1302) | ivermectin | 
| JD596 | avr-15 (vu227) | ivermectin | 
| DA1316 | avr-14(ad1305) I; avr-15 (vu227) glc-1(pk54) V | ivermectin | 
| JD608 | avr-14(ad1305) I; avr-15 (vu227) glc-1(pk54) V | ivermectin | 
| JD105 | avr-15 (ad1051) V | ivermectin | 
| CB5 | unc-7 (e5) | ivermectin | 
| CW129 | unc-9 (fc16) | ivermectin | 
| ZM3087 | unc-9 (fc16) unc-7(e5) | ivermectin | 
| CB904 | unc-38 (e264) | levamisole | 
| ZZ37 | unc-63 (x37) | levamisole, DMPP | 
| CB211 | lev-1 (e211) | levamisole | 
| ZZ15 | lev-8 (x15) | levamisole | 
| CB1072 | unc-29 (e1072) | levamisole | 
| CB3474 | ben-1 (e1880) | benomyl | 
| CB933 | unc-17 (e245) | aldicarb | 
Publisher’s Note: MDPI stays neutral with regard to jurisdictional claims in published maps and institutional affiliations.  | 
© 2022 by the authors. Licensee MDPI, Basel, Switzerland. This article is an open access article distributed under the terms and conditions of the Creative Commons Attribution (CC BY) license (https://creativecommons.org/licenses/by/4.0/).
Share and Cite
Liu, M.; Lu, J.-G.; Yang, M.-R.; Jiang, Z.-H.; Wan, X.; Luyten, W. Bioassay-Guided Isolation of Anthelmintic Components from Semen pharbitidis, and the Mechanism of Action of Pharbitin. Int. J. Mol. Sci. 2022, 23, 15739. https://doi.org/10.3390/ijms232415739
Liu M, Lu J-G, Yang M-R, Jiang Z-H, Wan X, Luyten W. Bioassay-Guided Isolation of Anthelmintic Components from Semen pharbitidis, and the Mechanism of Action of Pharbitin. International Journal of Molecular Sciences. 2022; 23(24):15739. https://doi.org/10.3390/ijms232415739
Chicago/Turabian StyleLiu, Maoxuan, Jing-Guang Lu, Ming-Rong Yang, Zhi-Hong Jiang, Xiaochun Wan, and Walter Luyten. 2022. "Bioassay-Guided Isolation of Anthelmintic Components from Semen pharbitidis, and the Mechanism of Action of Pharbitin" International Journal of Molecular Sciences 23, no. 24: 15739. https://doi.org/10.3390/ijms232415739
APA StyleLiu, M., Lu, J.-G., Yang, M.-R., Jiang, Z.-H., Wan, X., & Luyten, W. (2022). Bioassay-Guided Isolation of Anthelmintic Components from Semen pharbitidis, and the Mechanism of Action of Pharbitin. International Journal of Molecular Sciences, 23(24), 15739. https://doi.org/10.3390/ijms232415739
        

       


















