Evaluation of Reference Genes for Real-Time Quantitative PCR Analysis in Tissues from Bumble Bees (Bombus Terrestris) of Different Lines
Abstract
1. Introduction
2. Materials and Methods
2.1. Sample Preparation and RNA Extraction
2.2. Candidate Genes and Primer Design
2.3. RNA Isolation and cDNA Synthesis
2.4. Quantitative Real-Time PCR
2.5. Evaluation of Reference Gene Expression Stability
2.6. Statistical Analyses
3. Results
3.1. Amplification Specificity and Efficiency
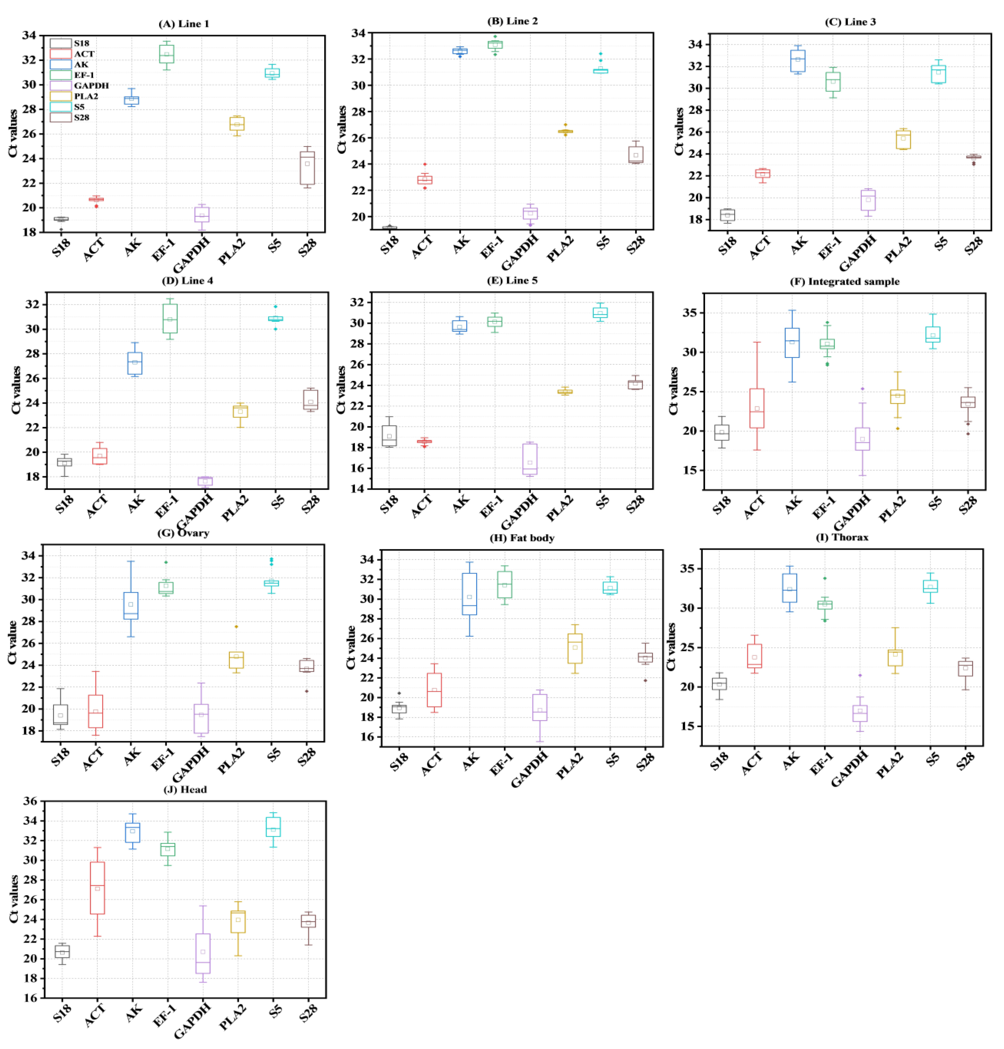
3.2. Cycle Threshold (Ct) Values and Expression Analysis of the Eight Reference Genes
3.3. Analysis of Expression Stability Using Four Programs
3.3.1. NormFinder Analysis
3.3.2. BestKeeper Analysis
3.3.3. GeNorm Analysis
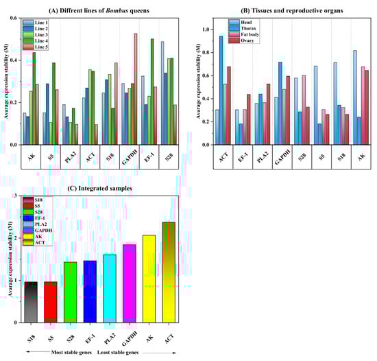
3.3.4. RefFinder Analysis
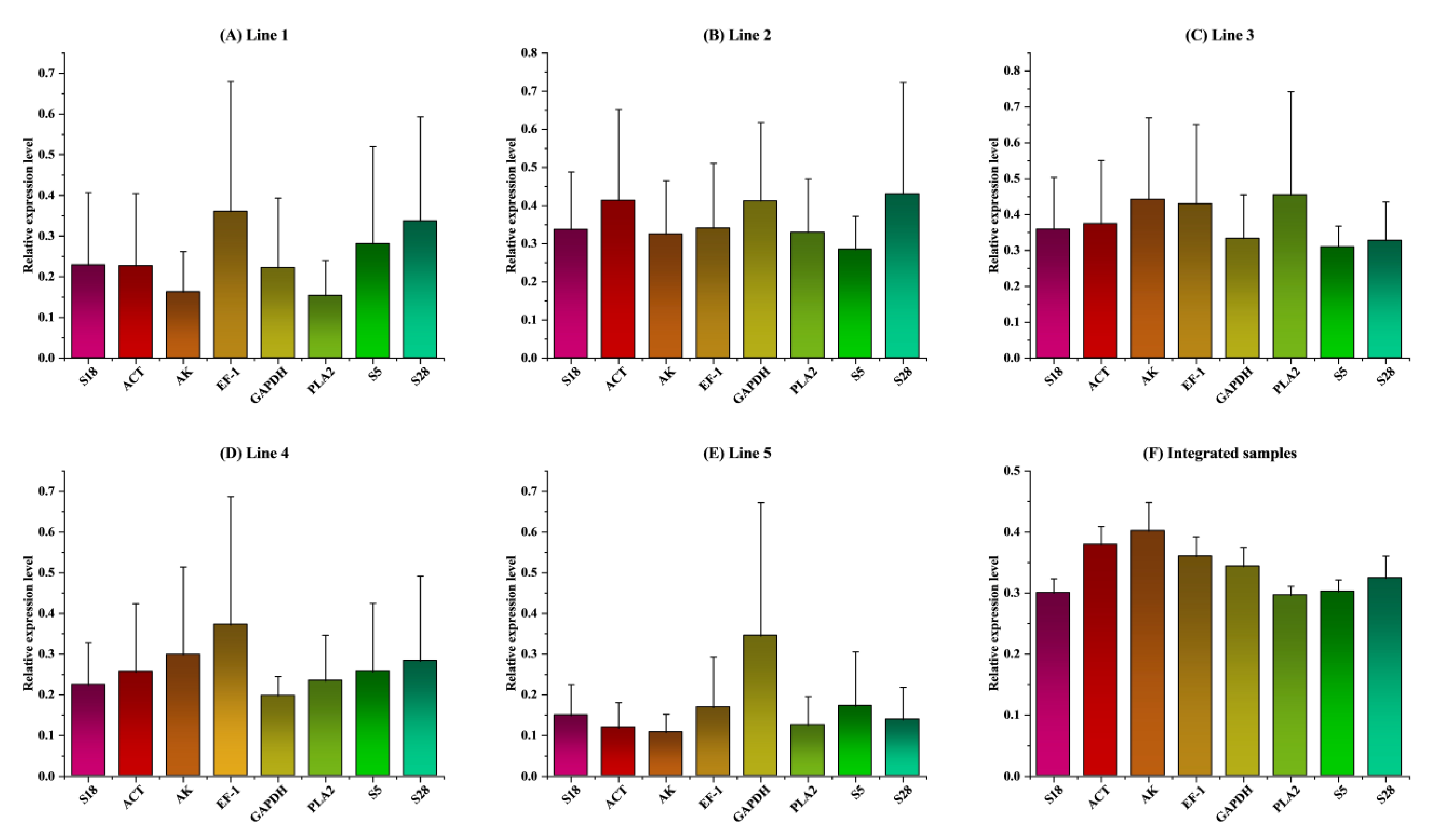
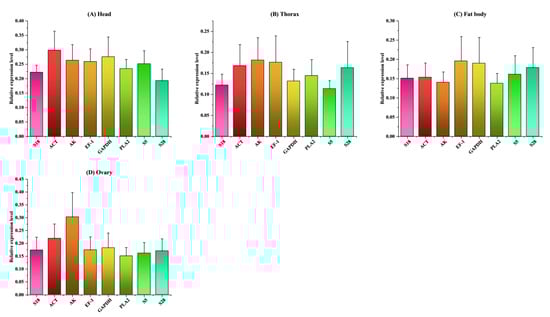
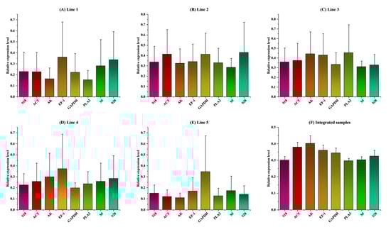
3.4. Validation of Reference Gene
4. Discussion
Supplementary Materials
Author Contributions
Funding
Institutional Review Board Statement
Informed Consent Statement
Data Availability Statement
Conflicts of Interest
References
- Leonhardt, S.; Gallai, N.N.; Garibaldi, L.A.; Kuhlmann, M.; Klein, A.M. Economic gain, stability of pollination and bee diversity decrease from southern to northern Europe. Basic Appl. Ecol. 2013, 14, 461–471. [Google Scholar] [CrossRef]
- Lee, K.-H.; Do, H.-K.; Kim, D.-Y.; Kim, W. Impact of chlorogenic acid on modulation of significant genes in dermal fibroblasts and epidermal keratinocytes. Biochem. Biophys. Res. Commun. 2021, 583, 22–28. [Google Scholar] [CrossRef]
- Young, A.E.; Mansour, T.A.; McNabb, B.R.; Owen, J.R.; Trott, J.F.; Brown, C.T.; Van Eenennaam, A.L. Genomic and phenotypic analyses of six offspring of a genome-edited hornless bull. Nat. Biotechnol. 2020, 38, 225–232. [Google Scholar] [CrossRef] [PubMed]
- VanGuilder, H.D.; Vrana, K.E.; Freeman, W.M. Twenty-five years of quantitative PCR for gene expression analysis. Biotechniques 2008, 44, 619–626. [Google Scholar] [CrossRef] [PubMed]
- Boulter, N.; Suarez, F.G.; Schibeci, S.; Sunderland, T.; Tolhurst, O.; Hunter, T.; Hodge, G.; Handelsman, D.; Simanainen, U.; Hendriks, E. A simple, accurate and universal method for quantification of PCR. BMC Biotechnol. 2016, 16, 1–14. [Google Scholar] [CrossRef] [PubMed]
- Jacob, F.; Guertler, R.; Naim, S.; Nixdorf, S.; Fedier, A.; Hacker, N.F.; Heinzelmann-Schwarz, V. Careful selection of reference genes is required for reliable performance of RT-qPCR in human normal and cancer cell lines. PLoS ONE 2013, 8, e59180. [Google Scholar] [CrossRef] [PubMed]
- De Spiegelaere, W.; Dern-Wieloch, J.; Weigel, R.; Schumacher, V.; Schorle, H.; Nettersheim, D.; Bergmann, M.; Brehm, R.; Kliesch, S.; Vandekerckhove, L. Reference gene validation for RT-qPCR, a note on different available software packages. PLoS ONE 2015, 10, e0122515. [Google Scholar] [CrossRef] [PubMed]
- Huggett, J.; Dheda, K.; Bustin, S.; Zumla, A. Real-time RT-PCR normalisation; strategies and considerations. Genes Immun. 2005, 6, 279–284. [Google Scholar] [CrossRef]
- Piazza, V.G.; Bartke, A.; Miquet, J.G.; Sotelo, A.I. Analysis of different approaches for the selection of reference genes in RT-qPCR experiments: A case study in skeletal muscle of growing mice. Int. J. Mol. Sci. 2017, 18, 1060. [Google Scholar] [CrossRef]
- Radonić, A.; Thulke, S.; Mackay, I.M.; Landt, O.; Siegert, W.; Nitsche, A. Guideline to reference gene selection for quantitative real-time PCR. Biochem. Biophys. Res. Commun. 2004, 313, 856–862. [Google Scholar] [CrossRef]
- Artico, S.; Nardeli, S.M.; Brilhante, O.; Grossi-de-Sa, M.F.; Alves-Ferreira, M. Identification and evaluation of new reference genes in Gossypium hirsutumfor accurate normalization of real-time quantitative RT-PCR data. BMC Plant Biol. 2010, 10, 1–12. [Google Scholar] [CrossRef] [PubMed]
- Etschmann, B.; Wilcken, B.; Stoevesand, K.; Von Der Schulenburg, A.; Sterner-Kock, A. Selection of reference genes for quantitative real-time PCR analysis in canine mammary tumors using the GeNorm algorithm. Vet. Pathol. 2006, 43, 934–942. [Google Scholar] [CrossRef] [PubMed]
- Pfaffl, M.; Georgieva, T.M.; Georgiev, I.P.; Ontsouka, E.; Hageleit, M.; Blum, J. Real-time RT-PCR quantification of insulin-like growth factor (IGF)-1, IGF-1 receptor, IGF-2, IGF-2 receptor, insulin receptor, growth hormone receptor, IGF-binding proteins 1, 2 and 3 in the bovine species. Domest. Anim. Endocrinol. 2002, 22, 91–102. [Google Scholar] [CrossRef]
- Andersen, C.L.; Jensen, J.L.; Ørntoft, T.F. Normalization of real-time quantitative reverse transcription-PCR data: A model-based variance estimation approach to identify genes suited for normalization, applied to bladder and colon cancer data sets. Cancer Res. 2004, 64, 5245–5250. [Google Scholar] [CrossRef]
- Wang, Q.; Ishikawa, T.; Michiue, T.; Zhu, B.-L.; Guan, D.-W.; Maeda, H. Stability of endogenous reference genes in postmortem human brains for normalization of quantitative real-time PCR data: Comprehensive evaluation using geNorm, NormFinder, and BestKeeper. Int. J. Leg. Med. 2012, 126, 943–952. [Google Scholar] [CrossRef] [PubMed]
- Horňáková, D.; Matoušková, P.; Kindl, J.; Valterová, I.; Pichová, I. Selection of reference genes for real-time polymerase chain reaction analysis in tissues from Bombus terrestris and Bombus lucorum of different ages. Anal. Biochem. 2010, 397, 118–120. [Google Scholar] [CrossRef]
- Ingerslev, H.-C.; Pettersen, E.F.; Jakobsen, R.A.; Petersen, C.B.; Wergeland, H.I. Expression profiling and validation of reference gene candidates in immune relevant tissues and cells from Atlantic salmon (Salmo salar L.). Mol. Immunol. 2006, 43, 1194–1201. [Google Scholar] [CrossRef] [PubMed]
- McCurley, A.T.; Callard, G.V. Characterization of housekeeping genes in zebrafish: Male-female differences and effects of tissue type, developmental stage and chemical treatment. BMC Mol. Biol. 2008, 9, 1–12. [Google Scholar] [CrossRef]
- Su, J.; Zhang, R.; Dong, J.; Yang, C. Evaluation of internal control genes for qRT-PCR normalization in tissues and cell culture for antiviral studies of grass carp (Ctenopharyngodon idella). Fish Shellfish. Immunol. 2011, 30, 830–835. [Google Scholar] [CrossRef]
- Sullivan-Gunn, M.; Hinch, E.; Vaughan, V.; Lewandowski, P. Choosing a stable housekeeping gene and protein is essential in generating valid gene and protein expression results. Br. J. Cancer 2011, 104, 1055. [Google Scholar] [CrossRef]
- Goidin, D.; Mamessier, A.; Staquet, M.-J.; Schmitt, D.; Berthier-Vergnes, O. Ribosomal 18S RNA prevails over glyceraldehyde-3-phosphate dehydrogenase and β-actin genes as internal standard for quantitative comparison of mRNA levels in invasive and noninvasive human melanoma cell subpopulations. Anal. Biochem. 2001, 295, 17–21. [Google Scholar] [CrossRef]
- McCulloch, J.A.; Davar, D.; Rodrigues, R.R.; Badger, J.H.; Fang, J.R.; Cole, A.M.; Balaji, A.K.; Vetizou, M.; Prescott, S.M.; Fernandes, M.R. Intestinal microbiota signatures of clinical response and immune-related adverse events in melanoma patients treated with anti-PD-1. Nat. Med. 2022, 28, 545–556. [Google Scholar] [CrossRef] [PubMed]
- Yoon, H.-J.; Cho, Y.-H.; Baer, B. Development of the artificial insemination instrument of bumblebee queens. Korean J. Appl. Entomol. 2007, 46, 123–129. [Google Scholar] [CrossRef][Green Version]
- Yoon, H.J.; Lee, K.Y. A combination method of CO 2-narcosis and cold treatment for breaking diapause of Bombus ignitus and Bombus terrestris bumblebee queens. Int. J. Ind. Entomol. 2014, 28, 58–65. [Google Scholar]
- Xie, F.; Xiao, P.; Chen, D.; Xu, L.; Zhang, B. miRDeepFinder: A miRNA analysis tool for deep sequencing of plant small RNAs. Plant Mol. Biol. 2012, 80, 75–84. [Google Scholar] [CrossRef]
- Pfaffl, M.W. A new mathematical model for relative quantification in real-time RT–PCR. Nucleic Acids Res. 2001, 29, e45. [Google Scholar] [CrossRef] [PubMed]
- Silver, N.; Best, S.; Jiang, J.; Thein, S.L. Selection of housekeeping genes for gene expression studies in human reticulocytes using real-time PCR. BMC Mol. Biol. 2006, 7, 1–9. [Google Scholar] [CrossRef]
- Livak, K.J.; Schmittgen, T.D. Analysis of relative gene expression data using real-time quantitative PCR and the 2− ΔΔCT method. Methods 2001, 25, 402–408. [Google Scholar] [CrossRef]
- Bustin, S.A.; Benes, V.; Garson, J.A.; Hellemans, J.; Huggett, J.; Kubista, M.; Mueller, R.; Nolan, T.; Pfaffl, M.W.; Shipley, G.L. The MIQE Guidelines: Mnimum Information for Publication of Quantitative Real-Time PCR Experiments. In Clinical Chemistry; Oxford University Press: Oxford, UK, 2009; Volume 55, pp. 611–622. [Google Scholar]
- Cassan-Wang, H.; Soler, M.; Yu, H.; Camargo, E.L.O.; Carocha, V.; Ladouce, N.; Savelli, B.; Paiva, J.A.; Leplé, J.-C.; Grima-Pettenati, J. Reference genes for high-throughput quantitative reverse transcription–PCR analysis of gene expression in organs and tissues of Eucalyptus grown in various environmental conditions. Plant Cell Physiol. 2012, 53, 2101–2116. [Google Scholar] [CrossRef]
- D’haene, B.; Vandesompele, J.; Hellemans, J. Corrigendum to “Accurate and objective copy number profiling using real-time quantitative PCR” [Methods 50 (2010) 262–270]. Methods A Companion Methods Enzymol. 2011, 53, 326. [Google Scholar] [CrossRef]
- Moon, K.; Lee, S.H.; Kim, Y.H. Evaluation of reference genes for quantitative real-time PCR to investigate seasonal and labor-specific expression profiles of the honey bee abdomen. J. Asia-Pac. Entomol. 2018, 21, 1350–1358. [Google Scholar] [CrossRef]
- Scharlaken, B.; de Graaf, D.C.; Goossens, K.; Brunain, M.; Peelman, L.J.; Jacobs, F.J. Reference gene selection for insect expression studies using quantitative real-time PCR: The head of the honeybee, Apis mellifera, after a bacterial challenge. J. Insect Sci. 2008, 8, 33. [Google Scholar] [CrossRef]
- Eissa, N.; Hussein, H.; Wang, H.; Rabbi, M.F.; Bernstein, C.N.; Ghia, J.-E. Stability of reference genes for messenger RNA quantification by real-time PCR in mouse dextran sodium sulfate experimental colitis. PLoS ONE 2016, 11, e0156289. [Google Scholar] [CrossRef] [PubMed]
- Janovick-Guretzky, N.; Dann, H.; Carlson, D.; Murphy, M.; Loor, J.; Drackley, J. Housekeeping gene expression in bovine liver is affected by physiological state, feed intake, and dietary treatment. J. Dairy Sci. 2007, 90, 2246–2252. [Google Scholar] [CrossRef] [PubMed]
- Kim, Y.; Kim, Y.; Kim, Y.H. Evaluation of reference genes for gene expression studies using quantitative real-time PCR in Drosophila melanogaster after chemical exposures. J. Asia-Pac. Entomol. 2020, 23, 385–394. [Google Scholar] [CrossRef]
- Wang, Z.; Meng, Q.; Zhu, X.; Sun, S.; Gao, S.; Gou, Y.; Liu, A. Evaluation and validation of reference genes for quantitative real-time PCR in Helopeltis theivora Waterhouse (Hemiptera: Miridae). Sci. Rep. 2019, 9, 1–10. [Google Scholar] [CrossRef] [PubMed]
- Lourenço, A.P.; Mackert, A.; dos Santos Cristino, A.; Simões, Z.L.P. Validation of reference genes for gene expression studies in the honey bee, Apis mellifera, by quantitative real-time RT-PCR. Apidologie 2008, 39, 372–385. [Google Scholar] [CrossRef]
- McMillan, M.; Pereg, L. Evaluation of reference genes for gene expression analysis using quantitative RT-PCR in Azospirillum brasilense. PLoS ONE 2014, 9, e98162. [Google Scholar] [CrossRef] [PubMed]
- Wan, H.; Zhao, Z.; Qian, C.; Sui, Y.; Malik, A.A.; Chen, J. Selection of appropriate reference genes for gene expression studies by quantitative real-time polymerase chain reaction in cucumber. Anal. Biochem. 2010, 399, 257–261. [Google Scholar] [CrossRef]
- Yang, Z.; Chen, Y.; Hu, B.; Tan, Z.; Huang, B. Identification and validation of reference genes for quantification of target gene expression with quantitative real-time PCR for tall fescue under four abiotic stresses. PLoS ONE 2015, 10, e0119569. [Google Scholar] [CrossRef] [PubMed]
- Hoja-Łukowicz, D.; Maciążek, D.; Kościelniak, P.; Janik, M.E. Innovative GenExpA software for selecting suitable reference genes for reliable normalization of gene expression in melanoma. Sci. Rep. 2022, 12, 1–10. [Google Scholar] [CrossRef] [PubMed]







| Gene Symbol | Gene Description | Gene Bank ID | Primer Sequences (5′-3′) | Product Length (bp) | TM (°C) |
|---|---|---|---|---|---|
| S18 | s18 Ribosomal | XM_003400778.3 | F “AGCGTGCTGGAGAATGTTCA” | 101 | 59 |
| R “TCGTTCCAAGTCCTCACGAAG” | |||||
| ACT | Actin | XM_003396942.3 | F “CGACTACCTCATGAAGATT” | 101 | 59 |
| R “CGACAACAAAGTTTCTC” | |||||
| AK | Arginine Kinase | XM_003401454.4 | F “CACACGAGGTTCACTGCTCT” | 183 | 59 |
| R “GGAGAAGCCAGCTTCCAGTT” | |||||
| EF-1 | Elongation factor 1 alpha | XM_012314816.3 | F “GAGAAGTGCGCCGCTAGT” | 94 | 59 |
| R “AACGCGAATTAAGCGGATGC” | |||||
| GAPDH | Glyceraldehyde-3-phosphate | XM_003398087.3 | F “GCTGGAGCTGAATATGTTGTAGAATC” | 195 | 59 |
| R “AGTAGTGCAGGAAGCATTAGAGATAACT” | |||||
| PLA2 | Phospholipase A2 | XM_003400908.4 | F “TTGCGATGCGCATGACATTT” | 114 | 59 |
| R “ATCGCAGCCGATTGATACCC” | |||||
| S5 | s5 Ribosomal | XM_012308701.2 | F “TGCGCAATGTCCTATAGTCG” | 157 | 59 |
| R “AGCCGTCACAAGAACCTGTA” | |||||
| S28 | s28 Ribosomal | NW_025963548.1 | F “AGCGCGGATATCTTGGACTG” | 83 | 59 |
| R “TCAAGACGGGTCCTGAGAGT” | |||||
| Vg | Vitellogenin | XM_012308109.3 | F “AAGAATCATCTGAGCAACGTGA” | 106 | 59 |
| R “TAGTGCACTGTTTGCTTTTGGT” |
| Rank | Line 1 | Line 2 | ||||||
| Delta-Ct (SD) a | NormFinder (SV) b | Bestkeeper (SD) c | geNorm (MV) d | Delta-Ct (SD) | NormFinder (SV) | Bestkeeper (SD) | geNorm (MV) | |
| 1 | S18 (0.53) | S18 (0.13) | S18 (0.20) | EF-1|S5 (0.306) | S18 (0.08) | EF-1 (0.096) | S18 (0.08) | AK|PLA2 (0.133) |
| 2 | PLA2 (0.58) | PLA2 (0.27) | ACT (0.22) | EF-1|S5 (0.306) | PLA2 (0.15) | AK (0.169) | PLA2 (0.46) | AK|PLA2 (0.133) |
| 3 | EF-1 (0.6) | EF-1 (0.39) | S5 (0.34) | S18 (0.324) | AK (0.22) | ACT (0.197) | AK (0.22) | EF-1 (0.191) |
| 4 | S5 (0.61) | S5 (0.40) | AK (0.35) | PLA2 (0.366) | EF-1 (0.35) | PLA2 (0.204) | EF-1 (0.35) | GAPDH (0.246) |
| 5 | GAPDH (0.64) | GAPDH (0.42) | PLA2 (0.45) | GAPDH (0.482) | S5 (0.38) | S5 (0.247) | S5 (0.47) | ACT (0.269) |
| 6 | ACT (0.67) | ACT (0.47) | GAPDH (0.61) | ACT (0.528) | ACT (0.46) | GAPDH (0.265) | ACT (0.15) | S5 (0.289) |
| 7 | S28 (0.87) | S28 (0.79) | EF-1 (0.70) | S28 (0.603) | GAPDH (0.47) | S18 (0.352) | GAPDH (0.38) | S18 (0.308) |
| 8 | AK (0.9) | AK (0.83) | S28 (1.24) | AK (0.677) | S28 (0.63) | S28 (0.384) | S28 (0.63) | S28 (0.34) |
| Rank | Line 3 | Line 4 | ||||||
| Delta-Ct (SD) | NormFinder (SV) | Bestkeeper (SD) | geNorm (MV) | Delta-Ct (SD) | NormFinder (SV) | Bestkeeper (SD) | geNorm (MV) | |
| 1 | PLA2 (0.32) | PLA2 (0.085) | S28 (0.22) | PLA2|S5 (0.106) | ACT (0.41) | ACT (0.149) | GAPDH (0.33) | S18|PLA2 (0.173) |
| 2 | S5 (0.33) | S5 (0.132) | ACT (0.41) | PLA2|S5 (0.106) | S18 (0.43) | S18 (0.247) | S5 (0.42) | S18|PLA2 (0.173) |
| 3 | ACT (0.39) | S18 (0.261) | S18 (0.42) | EF-1 (0.23) | S28 (0.45) | S28 (0.257) | S18 (0.49) | GAPDH (0.29) |
| 4 | S18 (0.39) | ACT (0.265) | PLA2 (0.71) | AK (0.254) | PLA2 (0.47) | PLA2 (0.323) | PLA2 (0.56) | ACT (0.349) |
| 5 | GAPDH (0.42) | GAPDH (0.328) | S5 (0.71) | GAPDH (0.268) | AK (0.49) | AK (0.331) | ACT (0.61) | S5 (0.388) |
| 6 | AK (0.42) | EF-1 (0.337) | AK (0.81) | S18 (0.333) | GAPDH (0.52) | GAPDH (0.42) | S28 (0.71) | S28 (0.41) |
| 7 | EF-1 (0.42) | AK(0.346) | EF-1 (0.84) | ACT (0.356) | S5 (0.54) | S5 (0.423) | AK (0.75) | AK (0.437) |
| 8 | S28 (0.56) | S28 (0.538) | GAPDH (0.85) | S28 (0.408) | EF-1 (0.69) | EF-1 (0.638) | EF-1 (1.05) | EF-1 (0.501) |
| Rank | Line 5 | Integrated sample | ||||||
| Delta-Ct (SD) | NormFinder (SV) | Bestkeeper (SD) | geNorm (MV) | Delta-Ct (SD) | NormFinder (SV) | Bestkeeper (SD) | geNorm (MV) | |
| 1 | S5 (0.38) | S5 (0.056) | ACT (0.21) | ACT|PLA2 (0.097) | PLA2 (0.83) | PLA2 (0.207) | S28 (0.81) | S18|S5 (0.255) |
| 2 | AK (0.4) | AK (0.056) | PLA2 (0.21) | ACT|PLA2 (0.097) | EF-1 (0.87) | EF-1 (0.554) | S18 (0.95) | S18|S5 (0.255) |
| 3 | EF-1 (0.42) | EF-1 (0.147) | S28 (0.38) | S28 (0.189) | S5 (0.88) | GAPDH (0.56) | EF-1 (0.98) | EF-1 (0.282) |
| 4 | S28 (0.44) | S28 (0.279) | S5 (0.50) | S5 (0.261) | S18 (0.93) | S5 (0.567) | S5 (1.04) | S28 (0.383) |
| 5 | PLA2 (0.5) | PLA2 (0.433) | EF-1 (0.52) | EF-1 (0.274) | S28 (1.03) | AK (0.685) | PLA2 (1.19) | PLA2 (0.436) |
| 6 | ACT (0.51) | ACT (0.446) | AK (0.56) | AK (0.286) | GAPDH (1.08) | S18 (0.713) | GAPDH (1.83) | GAPDH (0.665) |
| 7 | S18 (0.62) | S18 (0.468) | S18 (0.90) | S18 (0.388) | AK (1.14) | S28 (0.844) | AK (1.92) | AK (0.783) |
| 8 | GAPDH (0.94) | GAPDH (0.921) | GAPDH (1.26) | GAPDH (0.526) | ACT (2.06) | ACT (2.017) | ACT (2.76) | ACT (1.103) |
| Rank | Ovary | Fat body | ||||||
| Delta-Ct (SD) | NormFinder (SV) | Bestkeeper (SD) | geNorm (MV) | Delta-Ct (SD) | NormFinder (SV) | Bestkeeper (SD) | geNorm (MV) | |
| 1 | S18 (0.53) | S18 (0.139) | S28 (0.53) | EF-1|S5 (0.306) | EF-1 (0.63) | EF-1 (0.152) | S18 (0.47) | ACT|EF-1 (0.304) |
| 2 | PLA2 (0.58) | PLA2 (0.27) | S5 (0.75) | EF-1|RPS5 (0.306) | ACT (0.71) | ACT (0.376) | S5 (0.51) | ACT|EF-1 (0.304) |
| 3 | EF-1 (0.60) | EF-1 (0.398) | EF-1 (0.78) | S18 (0.324) | PLA2 (0.72) | PLA2 (0.396) | S28 (0.65) | PLA2 (0.359) |
| 4 | S5 (0.61) | S5 (0.404) | PLA2 (0.93) | PLA2 (0.366) | GAPDH (0.74) | GAPDH (0.433) | EF-1 (1.25) | GAPDH (0.412) |
| 5 | GAPDH (0.64) | GAPDH (0.425) | S18 (1.01) | GAPDH (0.482) | S28 (0.79) | S28 (0.567) | GAPDH (1.36) | S28 (0.58) |
| 6 | ACT (0.67) | ACT (0.476) | GAPDH (1.36) | ACT (0.528) | S5 (0.91) | S5 (0.804) | ACT (1.39) | S5 (0.684) |
| 7 | S28 (0.87) | S28 (0.793) | ACT (1.39) | S28 (0.603) | S18 (0.91) | S18 (0.812) | PLA2 (1.47) | S18 (0.713) |
| 8 | AK (0.9) | AK (0.833) | AK (1.69) | AK (0.677) | AK (1.13) | AK (1.066) | AK (1.96) | AK (0.817) |
| Rank | Thorax | Head | ||||||
| Delta-Ct (SD) | NormFinder (SV) | Bestkeeper (SD) | geNorm (MV) | Delta-Ct (SD) | NormFinder (SV) | Bestkeeper (SD) | geNorm (MV) | |
| 1 | S5 (0.58) | S5 (0.321) | S18 (0.73) | S18|S5 (0.264) | AK (0.68) | AK (0.178) | S18 (0.56) | EF-1|RPS5 (0.182) |
| 2 | PLA2 (0.62) | PLA2 (0.368) | EF-1 (0.84) | S18|S5 (0.264) | S5 (0.7) | EF-1 (0.286) | S28 (0.80) | EF-1|RPS5 (0.182) |
| 3 | EF-1 (0.65) | EF-1 (0.44) | S5 (0.85) | S28 (0.328) | EF-1 (0.71) | S5 (0.33) | S5 (0.89) | AK (0.242) |
| 4 | S28 (0.67) | S28 (0.507) | S28 (0.89) | EF-1 (0.437) | S28 (0.76) | PLA2 (0.362) | EF-1 (0.95) | S28 (0.286) |
| 5 | S18 (0.68) | S18 (0.534) | PLA2 (1.23) | PLA2 (0.528) | PLA2 (0.84) | S28 (0.533) | AK (0.99) | S18 (0.344) |
| 6 | GAPDH (0.71) | GAPDH (0.549) | GAPDH (1.30) | GAPDH (0.596) | S18 (0.92) | S18 (0.813) | PLA2 (1.25) | PLA2 (0.44) |
| 7 | AK (0.73) | AK (0.56) | AK (1.46) | AK (0.645) | GAPDH (1.31) | GAPDH (1.129) | GAPDH (2.13) | GAPDH (0.717) |
| 8 | ACT (0.78) | ACT (0.632) | ACT (1.51) | ACT (0.678) | ACT (1.62) | ACT (1.554) | ACT (2.44) | ACT (0.942) |
| Rank | Line 1 | Line 2 | ||||||||
| Gene | CV [% Ct] a | GM (Ct) b | CD [r^2] c | pValue | Gene | CV [% Ct] | GM (Ct) | CD [r^2] | pValue | |
| 1 | S18 | 1.05 | 19.01 | 0.736 | 0.003 | S18 | 0.39 | 19.15 | 0.945 | 0.001 |
| 2 | ACT | 1.08 | 20.62 | 0.910 | 0.001 | PLA2 | 0.57 | 26.49 | 0.891 | 0.001 |
| 3 | S5 | 1.11 | 30.92 | 0.854 | 0.001 | AK | 0.68 | 32.59 | 0.927 | 0.001 |
| 4 | AK | 1.21 | 28.86 | 0.924 | 0.001 | EF-1 | 1.06 | 33.07 | 0.927 | 0.001 |
| 5 | PLA2 | 1.69 | 26.77 | 0.976 | 0.001 | S5 | 1.22 | 31.28 | 0.801 | 0.001 |
| 6 | GAPDH | 3.17 | 19.36 | 0.980 | 0.001 | ACT | 2.00 | 22.83 | 0.980 | 0.001 |
| 7 | EF-1 | 2.16 | 32.46 | 0.982 | 0.001 | GAPDH | 2.34 | 20.23 | 0.882 | 0.001 |
| 8 | S28 | 5.25 | 23.55 | 0.937 | 0.001 | S28 | 2.56 | 24.66 | 0.904 | 0.001 |
| Rank | Line 3 | Line 4 | ||||||||
| Gene | CV [% Ct] | GM (Ct) | CD [r^2] | pValue | Gene | CV [% Ct] | GM (Ct) | CD [r^2] | pValue | |
| 1 | S28 | 0.93 | 23.61 | 0.830 | 0.001 | GAPDH | 1.87 | 17.63 | 0.910 | 0.001 |
| 2 | ACT | 1.85 | 22.15 | 0.970 | 0.001 | S5 | 1.35 | 30.93 | 0.689 | 0.006 |
| 3 | S18 | 2.26 | 18.40 | 0.982 | 0.001 | S18 | 2.59 | 19.08 | 0.891 | 0.001 |
| 4 | PLA2 | 2.78 | 25.42 | 0.980 | 0.001 | PLA2 | 2.41 | 23.30 | 0.824 | 0.001 |
| 5 | S5 | 2.26 | 31.45 | 0.972 | 0.001 | ACT | 3.10 | 19.70 | 0.933 | 0.001 |
| 6 | AK | 2.48 | 32.63 | 0.972 | 0.001 | S28 | 2.93 | 24.08 | 0.895 | 0.001 |
| 7 | EF-1 | 2.75 | 30.60 | 0.964 | 0.001 | AK | 2.74 | 27.30 | 0.953 | 0.001 |
| 8 | GAPDH | 4.30 | 19.78 | 0.976 | 0.001 | EF-1 | 3.40 | 30.78 | 0.990 | 0.001 |
| Rank | Line 5 | Integrated sample | ||||||||
| Gene | CV [% Ct] | GM (Ct) | CD [r^2] | pValue | Gene | CV [% Ct] | GM(Ct) | CD [r^2] | pValue | |
| 1 | ACT | 1.14 | 18.56 | 0.819 | 0.001 | S28 | 3.46 | 23.41 | 0.947 | 0.001 |
| 2 | PLA2 | 0.90 | 23.40 | 0.958 | 0.001 | S18 | 4.79 | 19.8 | 0.989 | 0.001 |
| 3 | S28 | 1.58 | 24.17 | 0.856 | 0.001 | EF-1 | 3.16 | 31.06 | 0.987 | 0.001 |
| 4 | S5 | 1.62 | 30.97 | 0.982 | 0.001 | S5 | 3.25 | 32.14 | 0.985 | 0.001 |
| 5 | EF-1 | 1.74 | 30.13 | 0.895 | 0.001 | PLA2 | 4.84 | 24.44 | 0.99 | 0.001 |
| 6 | AK | 1.88 | 29.63 | 0.974 | 0.001 | GAPDH | 9.64 | 18.84 | 0.993 | 0.001 |
| 7 | S18 | 4.71 | 19.06 | 0.982 | 0.001 | AK | 6.15 | 31.19 | 0.982 | 0.001 |
| 8 | GAPDH | 7.62 | 16.50 | 0.966 | 0.001 | ACT | 12.07 | 22.6 | 0.987 | 0.001 |
| Rank | Ovary | Fat body | ||||||||
| Gene | CV [% Ct] | GM (Ct) | CD [r^2] | pValue | Gene | CV [% Ct] | GM (Ct) | CD [r^2] | pValue | |
| 1 | S28 | 2.23 | 23.66 | 0.50 | 0.001 | S18 | 2.49 | 18.94 | 0.137 | 0.012 |
| 2 | S5 | 2.35 | 31.69 | 0.51 | 0.001 | S5 | 1.65 | 31.11 | 0.477 | 0.001 |
| 3 | EF-1 | 2.49 | 31.25 | 0.35 | 0.001 | S28 | 2.70 | 24.01 | 0.228 | 0.001 |
| 4 | PLA2 | 3.74 | 24.73 | 0.05 | 0.138 | EF-1 | 3.99 | 31.39 | 0.689 | 0.001 |
| 5 | S18 | 5.19 | 19.37 | 0.51 | 0.001 | GAPDH | 7.28 | 18.65 | 0.887 | 0.001 |
| 6 | GAPDH | 6.96 | 19.40 | 0.72 | 0.001 | ACT | 6.70 | 20.71 | 0.814 | 0.001 |
| 7 | ACT | 7.04 | 19.71 | 0.67 | 0.001 | PLA2 | 5.84 | 25.03 | 0.724 | 0.001 |
| 8 | AK | 5.70 | 29.49 | 0.53 | 0.001 | AK | 6.49 | 30.13 | 0.601 | 0.001 |
| Rank | Thorax | Head | ||||||||
| Gene | CV [% Ct] | GM (Ct) | CD [r^2] | pValue | Gene | CV [% Ct] | GM (Ct) | CD [r^2] | pValue | |
| 1 | S18 | 3.60 | 20.31 | 0.288 | 0.001 | S18 | 2.73 | 20.62 | 0.663 | 0.001 |
| 2 | EF-1 | 2.77 | 30.48 | 0.632 | 0.001 | S28 | 3.39 | 23.64 | 0.208 | 0.002 |
| 3 | S5 | 2.59 | 32.74 | 0.280 | 0.001 | S5 | 2.70 | 33.09 | 0.734 | 0.001 |
| 4 | S28 | 4.00 | 22.36 | 0.426 | 0.001 | EF-1 | 3.04 | 31.11 | 0.697 | 0.001 |
| 5 | PLA2 | 5.08 | 24.09 | 0.602 | 0.001 | AK | 3.00 | 32.94 | 0.733 | 0.001 |
| 6 | GAPDH | 7.67 | 16.90 | 0.558 | 0.001 | PLA2 | 5.23 | 23.89 | 0.796 | 0.001 |
| 7 | AK | 4.52 | 32.35 | 0.464 | 0.001 | GAPDH | 10.30 | 20.58 | 0.837 | 0.001 |
| 8 | ACT | 6.34 | 23.71 | 0.501 | 0.001 | ACT | 9.01 | 26.97 | 0.826 | 0.001 |
Rank | Line 1 | Line 2 | Line 3 | Line 4 | Line 5 | ||||||||||
| Comprehensive Ranking | Comprehensive Ranking | Comprehensive Ranking | Comprehensive Ranking | Comprehensive Ranking | |||||||||||
| Gene | (SV) a | (MS) b | Gene | (SV) | (MS) | Gene | (SV) | (MS) | Gene | (SV) | (MS) | Gene | (SV) | (MS) | |
| 1 | AK | 2.21 | AK | EF-1 | 1.86 | EF-1 | PLA2 | 1.41 | PLA2 | S18 | 1.86 | S18 | S5 | 2.00 | S5 |
| 2 | PLA2 | 2.34 | PLA2 | AK | 1.86 | AK | S5 | 2.11 | S5 | ACT | 2.11 | ACT | ACT | 2.45 | ACT |
| 3 | S5 | 2.78 | PLA2 | 2.21 | ACT | 3.6 | PLA2 | 2.83 | PLA2 | 2.66 | |||||
| 4 | GAPDH | 3.22 | S18 | 4.30 | S18 | 3.83 | GAPDH | 3.22 | AK | 3.46 | |||||
| 5 | ACT | 3.94 | ACT | 4.36 | S28 | 4.76 | S28 | 4.24 | S28 | 3.46 | |||||
| 6 | S18 | 3.96 | S5 | 5.23 | EF-1 | 5.45 | S5 | 4.7 | EF-1 | 3.87 | |||||
| 7 | EF-1 | 5.86 | GAPDH | 5.63 | GAPDH | 5.62 | AK | 5.92 | S18 | 7.00 | |||||
| 8 | S28 | 8.00 | S28 | 8.00 | AK | 5.63 | EF-1 | 8.00 | GAPDH | 8.00 | |||||
| Rank | Ovary | Fat body | Thorax | Head | Integrated sample | ||||||||||
| Gene | (SV) | (MS) | Gene | (SV) | (MS) | Gene | (SV) | (MS) | Gene | (SV) | (MS) | Gene | (SV) | (MS) | |
| 1 | S18 | 1.97 | S18 | EF-1 | 1.41 | EF-1 | S5 | 1.32 | S5 | AK | 1.97 | AK | S18 | 1.41 | S18 |
| 2 | EF-1 | 2.28 | EF-1 | ACT | 2.21 | ACT | S18 | 2.24 | S18 | S5 | 2.06 | S5 | S5 | 1.68 | S5 |
| 3 | S5 | 2.38 | PLA2 | 3.71 | EF-1 | 2.91 | EF-1 | 2.21 | S28 | 2.63 | |||||
| 4 | PLA2 | 2.83 | GAPDH | 4.23 | PLA2 | 3.16 | S28 | 3.56 | EF-1 | 3.22 | |||||
| 5 | S28 | 4.30 | S18 | 4.30 | S28 | 3.72 | S18 | 3.66 | PLA2 | 5.00 | |||||
| 6 | GAPDH | 5.23 | S28 | 4.40 | GAPDH | 6.00 | PLA2 | 5.18 | GAPDH | 6.00 | |||||
| 7 | ACT | 6.24 | S5 | 4.56 | AK | 7.00 | GAPDH | 7.00 | AK | 7.00 | |||||
| 8 | AK | 8.00 | AK | 8.00 | ACT | 8.00 | ACT | 8.00 | ACT | 8.00 | |||||
Publisher’s Note: MDPI stays neutral with regard to jurisdictional claims in published maps and institutional affiliations. |
© 2022 by the authors. Licensee MDPI, Basel, Switzerland. This article is an open access article distributed under the terms and conditions of the Creative Commons Attribution (CC BY) license (https://creativecommons.org/licenses/by/4.0/).
Share and Cite
Sankar, K.; Yoon, H.J.; Lee, Y.B.; Lee, K.Y. Evaluation of Reference Genes for Real-Time Quantitative PCR Analysis in Tissues from Bumble Bees (Bombus Terrestris) of Different Lines. Int. J. Mol. Sci. 2022, 23, 14371. https://doi.org/10.3390/ijms232214371
Sankar K, Yoon HJ, Lee YB, Lee KY. Evaluation of Reference Genes for Real-Time Quantitative PCR Analysis in Tissues from Bumble Bees (Bombus Terrestris) of Different Lines. International Journal of Molecular Sciences. 2022; 23(22):14371. https://doi.org/10.3390/ijms232214371
Chicago/Turabian StyleSankar, Kathannan, Hyung Joo Yoon, Young Bo Lee, and Kyeong Yong Lee. 2022. "Evaluation of Reference Genes for Real-Time Quantitative PCR Analysis in Tissues from Bumble Bees (Bombus Terrestris) of Different Lines" International Journal of Molecular Sciences 23, no. 22: 14371. https://doi.org/10.3390/ijms232214371
APA StyleSankar, K., Yoon, H. J., Lee, Y. B., & Lee, K. Y. (2022). Evaluation of Reference Genes for Real-Time Quantitative PCR Analysis in Tissues from Bumble Bees (Bombus Terrestris) of Different Lines. International Journal of Molecular Sciences, 23(22), 14371. https://doi.org/10.3390/ijms232214371
