Dual Modification of Porous Ca-P/PLA Composites with APTES and Alendronate Improves Their Mechanical Strength and Cytobiocompatibility towards Human Osteoblasts
Abstract
1. Introduction
2. Results and Discussion
2.1. Properties of the Ca-P Whiskers and Their Surface Modification
2.2. Properties of the Porous Composites with the Addition of Unmodified and Modified Ca-P Whiskers
2.2.1. Microstructure
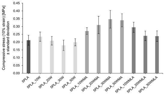
2.2.2. Mechanical Properties
2.3. Modification of Ca-P-Reinforced Composite with Sodium Alendronate
2.4. Properties of Dual-Modified Porous Composite
2.4.1. Microstructure and Mechanical Properties
2.4.2. Sodium Alendronate Release
2.5. Biological Properties
2.5.1. Cytobiocompatibility of Scaffolds
2.5.2. Immunocompatibility of Biomaterials with Human Monocytes
2.5.3. Visualization of Cell Adhesion
2.5.4. Osteoconductive Properties
3. Materials and Methods
3.1. Materials
3.2. Preparation and Surface Modification of Ca-P Whiskers
3.3. Preparation and Surface Modification of Ca-P/PLA Porous Composites
3.4. Characterization of the Obtained Materials
3.4.1. X-ray Diffraction
3.4.2. Fourier Transform Infrared Spectroscopy
3.4.3. Thermal Analysis
3.4.4. Scanning Electron Microscopy (SEM/STEM)
3.4.5. Compressive Strength
3.4.6. Sodium Alendronate Releasing
3.5. Biological Properties
3.5.1. In Vitro Cytocompatibility
3.5.2. In Vitro Immunocompatibility Assay on THP1-Blue™ NF-ĸB Monocytes
3.5.3. Complement Fixation Test
3.5.4. Visualization of Cell Adhesion
3.5.5. Quantification of the Osteoinductivity Markers
3.5.6. Osteoblast Quantification within the Ca-P/PLA Scaffold
3.5.7. Alkaline Phosphate Activity
3.5.8. Evaluation of the OC, OPN and IL-6 Release Profile
3.5.9. Osteoclast-Mediated Resorption Assay
3.5.10. Statistical Analysis
4. Conclusions
- The surface modification of Ca-P whiskers as composite-reinforcing fillers was successfully performed with two different compounds (LA or APTES). It was shown that APTES adsorbed on the surface of the whiskers resulted in a greater improvement in mutual compatibility and adhesion between the composite components than LA, and thus improved the strength properties of the material more successfully.
- The second stage of modification was also carried out successfully, and consisted in adsorbing sodium alendronate, the first-line drug for osteoporosis, on the surface of a selected composite obtained with 30% addition of APTES-modified Ca-P whiskers.
- The material, developed and produced with an innovative method of dual modification, was characterized by a microstructure suitable for porous materials dedicated to bone fillings, mechanical strength at the level of a natural cancellous bone and the ability to release an active substance.
- We showed that PLA-based composites were non-cytotoxic towards standard L929 and target hFOB 1.19 cell lines, and they did not activate the NF-κB signaling pathway in human THP1-Blue™ NF-ĸB monocytes. We proved that the dual-modified composite containing alendronate increased the proliferative potential and enabled cell growth of human fetal osteoblasts (hFOB 1.19) compared to the control material lacking alendronate. Most importantly, we showed that the presence of ALN stimulated osteoblasts to differentiate, which was manifested by the significant increase in OC and ALP production. Sodium alendronate binds to hydroxyapatites in the bones, and thus inhibits the activity of osteoclasts, which cause bone tissue resorption. However, sodium alendronate does not inhibit the bone formation process. Hence, the modification of the composites with alendronate resulted in efficient scaffold colonization, which in turn would be expected to translate to high-density bone tissue formation and an enhanced regenerative potential in such composites. Overall, the biological evaluation of the 5PLA_30WMA_ALN composite shows it to be a very promising candidate suitable for future biomedical engineering applications.
Author Contributions
Funding
Institutional Review Board Statement
Informed Consent Statement
Data Availability Statement
Conflicts of Interest
References
- Saravanan, S.; Leena, R.S.; Selvamurugan, N. Chitosan based biocomposite scaffolds for bone tissue engineering. Int. J. Biol. Macromol. 2016, 93, 1354–1365. [Google Scholar] [CrossRef] [PubMed]
- Jodati, H.; Yılmaz, B.; Evis, Z. A review of bioceramic porous scaffolds for hard tissue applications: Effects of structural features. Ceram. Int. 2020, 46, 15725–15739. [Google Scholar] [CrossRef]
- Kim, B.S.; Park, I.K.; Hoshiba, T.; Jiang, H.L.; Choi, Y.J.; Akaike, T.; Cho, C.S. Design of artificial extracellular matrices for tissue engineering. Prog. Polym. Sci. 2011, 36, 238–268. [Google Scholar] [CrossRef]
- Bose, S.; Roy, M.; Bandyopadhyay, A. Recent advances in bone tissue engineering scaffolds. Trends Biotechnol. 2012, 30, 546–554. [Google Scholar] [CrossRef] [PubMed]
- ISO/EN10993-5; ISO 10993-5 Biological Evaluation of Medical Devices—Part 5: Tests for Cytotoxicity: In Vitro Methods. International Standard Organization–ISO: Geneva, Switzerland, 2009.
- Wynn, T.A.; Vannella, K.M. Macrophages in Tissue Repair, Regeneration, and Fibrosis. Immunity 2016, 44, 450–462. [Google Scholar] [CrossRef] [PubMed]
- Mantovani, A.; Sozzani, S.; Locati, M.; Allavena, P.; Sica, A. Macrophage polarization: Tumor-associated macrophages as a paradigm for polarized M2 mononuclear phagocytes. Trends Immunol. 2002, 23, 549–555. [Google Scholar] [CrossRef]
- Ogle, M.E.; Segar, C.E.; Sridhar, S.; Botchwey, E.A. Monocytes and macrophages in tissue repair: Implications for immunoregenerative biomaterial design. Exp. Biol. Med. 2016, 241, 1084–1097. [Google Scholar] [CrossRef]
- Nishida, Y.; Domura, R.; Sakai, R.; Okamoto, M.; Arakawa, S.; Ishiki, R.; Salick, M.R.; Turng, L.S. Fabrication of PLLA/HA composite scaffolds modified by DNA. Polymer 2015, 56, 73–81. [Google Scholar] [CrossRef]
- Davachi, S.M.; Kaffashi, B.; Torabinejad, B.; Zamanian, A.; Seyfi, J.; Hejazi, I. Investigating thermal, mechanical and rheological properties of novel antibacterial hybrid nanocomposites based on PLLA/triclosan/nano-hydroxyapatite. Polymer 2016, 90, 232–241. [Google Scholar] [CrossRef]
- Kane, R.J.; Roeder, R.K. Effects of hydroxyapatite reinforcement on the architecture and mechanical properties of freeze-dried collagen scaffolds. J. Mech. Behav. Biomed. Mater. 2012, 7, 41–49. [Google Scholar] [CrossRef]
- Yu, H.; Huang, N.; Wang, C.; Tang, Z. Modeling of poly(L-lactide) thermal degradation: Theoretical prediction of molecular weight and polydispersity index. J. Appl. Polym. Sci. 2003, 88, 2557–2562. [Google Scholar] [CrossRef]
- Teo, W.E.; Liao, S.; Chan, C.; Ramakrishna, S. Fabrication and characterization of hierarchically organized nanoparticle-reinforced nanofibrous composite scaffolds. Acta Biomater. 2011, 7, 193–202. [Google Scholar] [CrossRef] [PubMed]
- Suganuma, J.; Alexander, H. Biological response of intramedullary bone to poly-L.-lactic acid. J. Appl. Biomater. 1993, 4, 13–27. [Google Scholar] [CrossRef]
- Mohammadi, Z.; Mesgar, A.S.M.; Rasouli-Disfani, F. Reinforcement of freeze-dried chitosan scaffolds with multiphasic calcium phosphate short fibers. J. Mech. Behav. Biomed. Mater. 2016, 61, 590–599. [Google Scholar] [CrossRef]
- Fang, Z.; Feng, Q. Improved mechanical properties of hydroxyapatite whisker-reinforced poly(l-lactic acid) scaffold by surface modification of hydroxyapatite. Mater. Sci. Eng. C 2014, 35, 190–194. [Google Scholar] [CrossRef]
- Legeros, R.Z.; Lin, S.; Rohanizadeh, R.; Mijares, D.; Legeros, J.P. Biphasic calcium phosphate bioceramics: Preparation, properties and applications. J. Mater. Sci. Mater. Med. 2003, 14, 201–209. [Google Scholar] [CrossRef]
- Kobayashi, S.; Yamadi, S. Strain rate dependency of mechanical properties of TCP/PLLA composites after immersion in simulated body environments. Compos. Sci. Technol. 2010, 70, 1820–1825. [Google Scholar] [CrossRef]
- Dupraz, A.M.P.; Meer, S.A.T.V.D.; de Wijn, J.R.; Goedemoed, J.H. Biocompatibility screening of silane-treated hydroxyapatite powders, for use as filler in resorbable composites. J. Mater. Sci. Mater. Med. 1996, 7, 731–738. [Google Scholar] [CrossRef]
- Liu, Q.; de Wijn, J.R.; Bakker, D.; van Toledo, M.; van Blitterswijk, C.A. Polyacids as bonding agents in hydroxyapatite polyester-ether (Polyactive® 30/70) composites. J. Mater. Sci. Mater. Med. 1998, 9, 23–30. [Google Scholar] [CrossRef] [PubMed]
- Ma, F.; Chen, S.; Liu, P.; Geng, F.; Li, W.; Liu, X.; He, D.; Pan, D. Improvement of β-TCP/PLLA biodegradable material by surface modification with stearic acid. Mater. Sci. Eng. C 2016, 62, 407–413. [Google Scholar] [CrossRef]
- Chieng, B.W.; Ibrahim, N.A.; Yunus, W.M.Z.W.; Hussein, M.Z. Plasticized poly(lactic acid) with low molecular weight poly(ethylene glycol): Mechanical, thermal, and morphology properties. J. Appl. Polym. Sci. 2013, 130, 4576–4580. [Google Scholar] [CrossRef]
- Liuyun, J.; Lixin, J.; Chengdong, X.; Lijuan, X.; Ye, L. Effect of l-lysine-assisted surface grafting for nano-hydroxyapatite on mechanical properties and in vitro bioactivity of poly(lactic acid-co-glycolic acid). J. Biomater. Appl. 2016, 30, 750–758. [Google Scholar] [CrossRef] [PubMed]
- Gazińska, M.; Krokos, A.; Kobielarz, M.; Włodarczyk, M.; Skibińska, P.; Stępak, B.; Antończak, A.; Morawiak, M.; Płociński, P.; Rudnicka, K. Influence of hydroxyapatite surface functionalization on thermal and biological properties of poly(L-lactide)-and poly(l-lactide-co-glycolide)-based composites. Int. J. Mol. Sci. 2020, 21, 6711. [Google Scholar] [CrossRef]
- Oryan, A.; Alidadi, S.; Moshiri, A.; Bigham-Sadegh, A. Bone morphogenetic proteins: A powerful osteoinductive compound with non-negligible side effects and limitations. BioFactors 2014, 40, 459–481. [Google Scholar] [CrossRef] [PubMed]
- Kanczler, J.M.; Oreffo, R.O.C. Osteogenesis and angiogenesis: The potential for engineering bone. Eur. Cell Mater. 2008, 15, 100–114. [Google Scholar] [CrossRef]
- Biernat, M.; Ciołek, L.; Dzierżyńska, M.; Oziębło, A.; Sawicka, J.; Deptuła, M.; Bauer, M.; Kamysz, W.; Pikuła, M.; Jaegermann, Z.; et al. Porous chitosan/ZnO-doped bioglass composites as carriers of bioactive peptides. Int. J. Appl. Ceram. Technol. 2020, 17, 2807–2816. [Google Scholar] [CrossRef]
- Beare-Rogers, J.L.; Dieffenbacher, A.; Holm, J.V. Lexicon of lipid nutrition (IUPAC Technical Report). Pure Appl. Chem. 2007, 73, 685–744. [Google Scholar] [CrossRef]
- Yang, D.; Pornpattananangkul, D.; Nakatsuji, T.; Chan, M.; Carson, D.; Huang, C.M.; Zhang, L. The antimicrobial activity of liposomal lauric acids against Propionibacterium acnes. Biomaterials 2009, 30, 6035–6040. [Google Scholar] [CrossRef]
- Petschow, B.W.; Batema, R.P.; Ford, L.L. Susceptibility of Helicobacter pylori to bactericidal properties of medium-chain monoglycerides and free fatty acids. Antimicrob. Agents Chemother. 1996, 40, 302–306. [Google Scholar] [CrossRef]
- Ren, L.; Yang, T.Y.; Zhao, Y.G.; Zhao, N.R. Preparation and Characterization of APTES Modified Bioglass. Key Eng. Mater. 2008, 368, 1215–1217. [Google Scholar] [CrossRef]
- Wang, S.; Wen, S.; Shen, M.; Guo, R.; Cao, X.; Wang, J.; Shi, X. Aminopropyltriethoxysilane-mediated surface functionalization of hydroxyapatite nanoparticles: Synthesis, characterization, and in vitro toxicity assay. Int. J. Nanomed. 2011, 6, 3449–3459. [Google Scholar] [CrossRef]
- Dupraz, A.M.P.; de Wijn, J.R.; Meer, S.A.T.V.D.; de Groot, K. Characterization of silane-treated hydroxyapatite powders for use as filler in biodegradable composites. J. Biomed. Mater. Res. 1996, 30, 231–238. [Google Scholar] [CrossRef]
- Karakoy, M.; Gultepe, E.; Pandey, S.; Khashab, M.A.; Gracias, D.H. Silane surface modification for improved bioadhesion of esophageal stents. Appl. Surf. Sci. 2014, 311, 684–689. [Google Scholar] [CrossRef]
- Russell, R.G.G.; Watts, N.B.; Ebetino, F.H.; Rogers, M.J. Mechanisms of action of bisphosphonates: Similarities and differences and their potential influence on clinical efficacy. Osteoporos. Int. 2008, 19, 733–759. [Google Scholar] [CrossRef] [PubMed]
- Reszka, A.A.; Rodan, G.A. Mechanism of action of bisphosphonates. Curr. Osteoporos. Rep. 2013, 1, 45–52. [Google Scholar] [CrossRef]
- Lin, J.H. Bisphosphonates: A review of their pharmacokinetic properties. Bone 1996, 18, 75–85. [Google Scholar] [CrossRef]
- Papapetrou, P.D. Bisphosphonate-associated adverse events. Hormones 2009, 8, 96–110. [Google Scholar] [CrossRef]
- Dharmayanti, C.; Gillam, T.A.; Williams, D.B.; Blencowe, A. Drug-eluting biodegradable implants for the sustained release of bisphosphonates. Polymers 2020, 12, 2930. [Google Scholar] [CrossRef]
- Biernat, M.; Jaegermann, Z.; Tymowicz-Grzyb, P.; Konopka, G. Influence of low-temperature reaction time on morphology and phase composition of short calcium phosphate whiskers. Process. Appl. Ceram. 2019, 13, 57–64. [Google Scholar] [CrossRef]
- Martz, E.O.; Goel, V.K.; Pope, M.H.; Park, J.B. Materials and design of spinal implants—A review. J. Biomed. Mater. Res. 1997, 38, 267–288. [Google Scholar] [CrossRef]
- Sun, J.S.; Huang, Y.C.; Tsuang, Y.H.; Chen, L.T.; Lin, F.H. Sintered dicalcium pyrophosphate increases bone mass in ovariectomized rats. J. Biomed. Mater. Res. 2002, 59, 246–253. [Google Scholar] [CrossRef] [PubMed]
- Kitsugi, T.; Yamamuro, T.; Nakamura, T.; Kotani, S.; Kokubo, T.; Takeuchi, H. Four calcium phosphate ceramics as bone substitutes for non-weight-bearing. Biomaterials 1993, 14, 216–244. [Google Scholar] [CrossRef]
- Grover, L.M.; Wright, A.J.; Gbureck, U.; Bolarinwa, A.; Song, J.; Liu, Y.; Farrar, D.F.; Howling, G.; Rose, J.; Barralet, J.E. The effect of amorphous pyrophosphate on calcium phosphate cement resorption and bone generation. Biomaterials 2013, 34, 6631–6637. [Google Scholar] [CrossRef]
- Klein, C.P.A.T.; Driessen, A.A.; de Groot, K.; van den Hooff, A. Biodegradation behavior of various calcium phosphate materials in bone tissue. J. Biomed. Mater. Res. 1983, 17, 769–784. [Google Scholar] [CrossRef]
- Lee, J.H.; Chang, B.S.; Jeung, U.O.; Park, K.W.; Kim, M.S.; Lee, C.K. The first clinical trial of beta-calcium pyrophosphate as a novel bone graft extender in instrumented posterolateral Lumbar fusion. Clin. Orthop. Surg. 2011, 3, 238–244. [Google Scholar] [CrossRef] [PubMed]
- Lu, J.; Descamps, M.; Dejou, J.; Koubi, G.; Hardouin, P.; Lemaitre, J.; Proust, J.P. The biodegradation mechanism of calcium phosphate biomaterials in bone. J. Biomed. Mater. Res. 2002, 63, 408–412. [Google Scholar] [CrossRef] [PubMed]
- Mallick, P.K. Fiber-Reinforced Composites: Materials, Manufacturing, and Design, 3rd ed.; CRC Press: Boca Raton, FL, USA, 2007. [Google Scholar]
- Jalota, S.; Bhaduri, S.B.; Tas, A.C. In vitro testing of calcium phosphate (HA, TCP, and biphasic HA-TCP) whiskers. J. Biomed. Mater. Res. A 2006, 78, 481–490. [Google Scholar] [CrossRef]
- Roeder, R.K.; Converse, G.L.; Kane, R.J.; Yue, W. Hydroxyapatite-reinforced polymer biocomposites for synthetic bone substitutes. JOM 2008, 60, 38–45. [Google Scholar] [CrossRef]
- Mendelson, B.C.; Jacobson, S.R.; Lavoipierre, A.M.; Huggins, R.J. The fate of porous hydroxyapatite granules used in facial skeletal augmentation. Aesthetic Plast. Surg. 2010, 34, 455–461. [Google Scholar] [CrossRef]
- Tõnsuaadu, K.; Gross, K.A.; Pluduma, L.; Veiderma, M. A review on the thermal stability of calcium apatites. J. Therm. Anal. Calorim. 2012, 110, 647–659. [Google Scholar] [CrossRef]
- Liao, J.G.; Zhang, L.; Zuo, Y.; Wang, Y.L.; Li, Y.B. Surface modification of nano-hydroxyapatite with stearic acid. Chin. J. Inorg. Chem. 2009, 25, 1267–1273. [Google Scholar]
- Albu, P.; Doca, S.C.; Anghel, A.; Vlase, G.; Vlase, T. Thermal behavior of sodium alendronate: A kinetic study under non-isothermal conditions. J. Therm. Anal. Calorim. 2017, 127, 571–576. [Google Scholar] [CrossRef]
- Meaurio, E.; López-Rodríguez, N.; Sarasua, J.R. Infrared spectrum of poly(L-lactide): Application to crystallinity studies. Macromolecules 2006, 39, 9291–9310. [Google Scholar] [CrossRef]
- Budyanto, L.; Goh, Y.Q.; Ooi, C.P. Fabrication of porous poly(L-lactide) (PLLA) scaffolds for tissue engineering using liquid-liquid phase separation and freeze extraction. J. Mater. Sci. Mater. Med. 2009, 20, 105–111. [Google Scholar] [CrossRef]
- Kasprzak, M.; Szabłowska, A.; Kurzyk, A.; Tymowicz-Grzyb, P.; Najmrodzki, A.; Woźniak, A.; Antosik, A.; Pagacz, J.; Szterner, P.; Plichta, A.; et al. Effects of Sterilization and Hydrolytic Degradation on the Structure, Morphology and Compressive Strength of Polylactide-Hydroxyapatite Composites. Int. J. Mol. Sci. 2022, 23, 10454. [Google Scholar] [CrossRef]
- Shao, C.S.; Chen, L.J.; Tang, R.M.; Zhang, B.; Tang, J.J.; Ma, W.N. Degradation and biological performance of porous osteomimetic biphasic calcium phosphate in vitro and in vivo. Rare Met. 2022, 41, 457–468. [Google Scholar] [CrossRef]
- Michael, F.M.; Khalid, M.; Walvekar, R.; Ratnam, C.T.; Ramarad, S.; Siddiqui, H.; Hoque, M.E. Effect of nanofillers on the physico-mechanical properties of load bearing bone implants. Mater. Sci. Eng. C 2016, 67, 792–806. [Google Scholar] [CrossRef] [PubMed]
- Zhu, G.; Zhang, T.; Chen, M.; Yao, K.; Huang, X.; Zhang, B.; Li, Y.; Liu, J.; Wang, Y.; Zhao, Z. Bone physiological microenvironment and healing mechanism: Basis for future bone-tissue engineering scaffolds. Bioact. Mater. 2021, 6, 4110–4140. [Google Scholar] [CrossRef]
- Karaman, D.Ş.; Karakaplan, M.B.; Erdoğan, N. Bacteriostatic Polylactic Acid Coatings Enriched with Zinc Oxide and Silica Nanoparticles for Titanium Pedicle Screws. JOM 2021, 73, 4410–4418. [Google Scholar] [CrossRef]
- Jimi, E.; Takakura, N.; Hiura, F.; Nakamura, I.; Hirata-Tsuchiya, S. The role of NF-κB in physiological bone development and inflammatory bone diseases: Is NF-κB inhibition “killing two birds with one stone”? Cells 2019, 8, 1636. [Google Scholar] [CrossRef]
- Mishra, R.; Sehring, I.; Cederlund, M.; Mulaw, M.; Weidinger, G. NF-κB Signaling Negatively Regulates Osteoblast Dedifferentiation during Zebrafish Bone Regeneration. Dev. Cell 2020, 52, 167–182. [Google Scholar] [CrossRef] [PubMed]
- Inoue, R.; Matsuki, N.A.; Jing, G.; Kanematsu, T.; Abe, K.; Hirata, M. The inhibitory effect of alendronate, a nitrogen-containing bisphosphonate on the PI3K-Akt-NFκB pathway in osteosarcoma cells. Br. J. Pharmacol. 2005, 146, 633–641. [Google Scholar] [CrossRef] [PubMed]
- Kuo, T.R.; Chen, C.H. Bone biomarker for the clinical assessment of osteoporosis: Recent developments and future perspectives. Biomark. Res. 2017, 5, 18. [Google Scholar] [CrossRef] [PubMed]
- Vimalraj, S. Alkaline phosphatase: Structure, expression and its function in bone mineralization. Gene 2020, 754, 144855. [Google Scholar] [CrossRef] [PubMed]
- Boanini, E.; Torricelli, P.; Gazzano, M.; Giardino, R.; Bigi, A. Alendronate-hydroxyapatite nanocomposites and their interaction with osteoclasts and osteoblast-like cells. Biomaterials 2008, 29, 790–796. [Google Scholar] [CrossRef] [PubMed]
- Komatsu, K.; Shimada, A.; Shibata, T.; Wada, S.; Ideno, H.; Nakashima, K.; Amizuka, N.; Noda, M.; Nifuji, A. Alendronate promotes bone formation by inhibiting protein prenylation in osteoblasts in rat tooth replantation model. J. Endocrinol. 2013, 219, 145–158. [Google Scholar] [CrossRef]
- Kim, S.E.; Yun, Y.P.; Lee, D.W.; Kang, E.Y.; Jeong, W.J.; Lee, B.; Jeong, M.S.; Kim, H.J.; Park, K.; Song, H.R. Alendronate-eluting biphasic calcium phosphate (BCP) scaffolds stimulate osteogenic differentiation. Biomed Res. Int. 2015, 2015, 320713. [Google Scholar] [CrossRef]
- Gallo, J.; Goodman, S.B.; Konttinen, Y.T.; Raska, M. Particle disease: Biologic mechanisms of periprosthetic osteolysis in total hip arthroplasty. Innate Immun. 2013, 19, 213–224. [Google Scholar] [CrossRef]
- Luukkonen, J.; Hilli, M.; Nakamura, M.; Ritamo, I.; Valmu, L.; Kauppinen, K.; Tuukkanen, J.; Lehenkari, P. Osteoclasts secrete osteopontin into resorption lacunae during bone resorption. Histochem. Cell. Biol. 2019, 151, 475–487. [Google Scholar] [CrossRef]
- Szustakiewicz, K.; Włodarczyk, M.; Gazińska, M.; Rudnicka, K.; Płociński, P.; Szymczyk-ziółkowska, P.; Ziółkowski, G.; Biernat, M.; Sieja, K.; Grzymajło, M.P. The effect of pore size distribution and l-lysine modified apatite whiskers (Hap) on osteoblasts response in plla/hap foam scaffolds obtained in the thermally induced phase separation process. Int. J. Mol. Sci. 2021, 22, 3607. [Google Scholar] [CrossRef]
- Korbut, A.; Włodarczyk, M.; Rudnicka, K.; Szwed, A.; Płociński, P.; Biernat, M.; Tymowicz-Grzyb, P.; Michalska, M.; Karska, N.; Rodziewicz-Motowidło, S.; et al. Three component composite scaffolds based on PCL, hydroxyapatite, and l-lysine obtained in TIPS-SL: Bioactive material for bone tissue engineering. Int. J. Mol. Sci. 2021, 22, 13589. [Google Scholar] [CrossRef] [PubMed]
- Piszko, P.; Włodarczyk, M.; Zielińska, S.; Gazińska, M.; Płociński, P.; Rudnicka, K.; Szwed, A.; Krupa, A.; Grzymajło, M.; Sobczak-Kupiec, A. PGS/HAp microporous composite scaffold obtained in the TIPS-TCL-SL method: An innovation for bone tissue engineering. Int. J. Mol. Sci. 2021, 22, 8587. [Google Scholar] [CrossRef] [PubMed]
- Takeshita, S.; Kaji, K.; Kudo, A. Identification and characterization of the new osteoclast progenitor with macrophage phenotypes being able to differentiate into mature osteoclasts. J. Bone Miner. Res. 2000, 15, 1477–1488. [Google Scholar] [CrossRef] [PubMed]

















| Sample | Compressive Modulus [MPa] | Compressive Stress (10% Strain) [MPa] | Compressive Stress (20% Strain) [MPa] | Compressive Stress (50% Strain) [MPa] |
|---|---|---|---|---|
| 5 PLA | 2.897 ± 1.451 | 0.212 ± 0.032 | 0.296 ± 0.036 | 0.662 ± 0.104 |
| 5 PLA_10W | 2.531 ± 0.842 | 0.235 ± 0.030 | 0.331 ± 0.029 | 0.646 ± 0.046 |
| 5 PLA_20W | 2.115 ± 0.423 | 0.209 ± 0.028 | 0.305 ± 0.034 | 0.626 ± 0.048 |
| 5 PLA_30W | 1.921 ± 0.595 | 0.179 ± 0.034 | 0.265 ± 0.041 | 0.577 ± 0.054 |
| 5 PLA_50W | 2.632 ± 1.397 | 0.199 ± 0.023 | 0.288 ± 0.016 | 0.604 ± 0.035 |
| 5 PLA_10WMA | 3.312 ± 1.005 | 0.271 ± 0.022 | 0.368 ± 0.016 | 0.704 ± 0.018 |
| 5 PLA_20WMA | 3.138 ± 1.473 | 0.310 ± 0.056 | 0.420 ± 0.040 | 0.760 ± 0.068 |
| 5 PLA_30WMA | 3.795 ± 1.189 | 0.347 ± 0.057 | 0.438 ± 0.049 | 0.769 ± 0.048 |
| 5 PLA_50WMA | 3.957 ± 0.374 | 0.340 ± 0.042 | 0.459 ± 0.037 | 0.841 ± 0.049 |
| 5 PLA_10WMLA | 4.044 ± 1.499 | 0.295 ± 0.033 | 0.404 ± 0.037 | 0.811 ± 0.075 |
| 5 PLA_20WMLA | 2.894 ± 1.100 | 0.240 ± 0.031 | 0.344 ± 0.027 | 0.709 ± 0.033 |
| 5 PLA_30WMLA | 2.645 ± 0.963 | 0.238 ± 0.034 | 0.333 ± 0.018 | 0.683 ± 0.010 |
| Sample | Compressive Modulus [MPa] | Compressive Stress (10% Strain) [MPa] | Compressive Stress (20% Strain) [MPa] | Compressive Stress (50% Strain) [MPa] |
|---|---|---|---|---|
| 5 PLA_30WMA_ALN | 4.832 ± 1.526 | 0.247 ± 0.027 | 0.325 ± 0.024 | 0.653 ± 0.042 |
| Sample | The Content of Individual Components in the Composite [% wt] | |||
|---|---|---|---|---|
| PLA | W | WMA | WMLA | |
| 5PLA | 100 | - | - | - |
| 5PLA_10W | 90 | 10 | - | - |
| 5PLA_20W | 80 | 20 | - | - |
| 5PLA_30W | 70 | 30 | - | - |
| 5PLA_50W | 50 | 50 | - | - |
| 5PLA_10WMA | 90 | - | 10 | - |
| 5PLA_20WMA | 80 | - | 20 | - |
| 5PLA_30WMA | 70 | - | 30 | - |
| 5PLA_50WMA | 50 | - | 50 | - |
| 5PLA_10WMLA | 90 | - | - | 10 |
| 5PLA_20WMLA | 80 | - | - | 20 |
| 5PLA_30WMLA | 70 | - | - | 30 |
Publisher’s Note: MDPI stays neutral with regard to jurisdictional claims in published maps and institutional affiliations. |
© 2022 by the authors. Licensee MDPI, Basel, Switzerland. This article is an open access article distributed under the terms and conditions of the Creative Commons Attribution (CC BY) license (https://creativecommons.org/licenses/by/4.0/).
Share and Cite
Biernat, M.; Szwed-Georgiou, A.; Rudnicka, K.; Płociński, P.; Pagacz, J.; Tymowicz-Grzyb, P.; Woźniak, A.; Włodarczyk, M.; Urbaniak, M.M.; Krupa, A.; et al. Dual Modification of Porous Ca-P/PLA Composites with APTES and Alendronate Improves Their Mechanical Strength and Cytobiocompatibility towards Human Osteoblasts. Int. J. Mol. Sci. 2022, 23, 14315. https://doi.org/10.3390/ijms232214315
Biernat M, Szwed-Georgiou A, Rudnicka K, Płociński P, Pagacz J, Tymowicz-Grzyb P, Woźniak A, Włodarczyk M, Urbaniak MM, Krupa A, et al. Dual Modification of Porous Ca-P/PLA Composites with APTES and Alendronate Improves Their Mechanical Strength and Cytobiocompatibility towards Human Osteoblasts. International Journal of Molecular Sciences. 2022; 23(22):14315. https://doi.org/10.3390/ijms232214315
Chicago/Turabian StyleBiernat, Monika, Aleksandra Szwed-Georgiou, Karolina Rudnicka, Przemysław Płociński, Joanna Pagacz, Paulina Tymowicz-Grzyb, Anna Woźniak, Marcin Włodarczyk, Mateusz M. Urbaniak, Agnieszka Krupa, and et al. 2022. "Dual Modification of Porous Ca-P/PLA Composites with APTES and Alendronate Improves Their Mechanical Strength and Cytobiocompatibility towards Human Osteoblasts" International Journal of Molecular Sciences 23, no. 22: 14315. https://doi.org/10.3390/ijms232214315
APA StyleBiernat, M., Szwed-Georgiou, A., Rudnicka, K., Płociński, P., Pagacz, J., Tymowicz-Grzyb, P., Woźniak, A., Włodarczyk, M., Urbaniak, M. M., Krupa, A., Rusek-Wala, P., Karska, N., & Rodziewicz-Motowidło, S. (2022). Dual Modification of Porous Ca-P/PLA Composites with APTES and Alendronate Improves Their Mechanical Strength and Cytobiocompatibility towards Human Osteoblasts. International Journal of Molecular Sciences, 23(22), 14315. https://doi.org/10.3390/ijms232214315

